Sign in to use this feature.

Years

Between: -

Subjects

remove_circle_outline
remove_circle_outline
remove_circle_outline
remove_circle_outline
remove_circle_outline
remove_circle_outline
remove_circle_outline
remove_circle_outline

Journals

Article Types

Countries / Regions

Search Results (40)

Search Parameters:
Keywords = Meso-NH

Order results
Result details
Results per page
Select all
Export citation of selected articles as:
27 pages, 27225 KB  
Article
Can Hot Water Discharged from Industrial Processes Enhance the Likelihood of Waterspouts?
by Valerio Capecchi, Bernardo Gozzini and Mario Marcello Miglietta
Atmosphere 2026, 17(4), 345; https://doi.org/10.3390/atmos17040345 - 29 Mar 2026
Viewed by 400
Abstract
Italy and the surrounding seas are recognised as one of the European hotspots for tornadoes and waterspouts. In recent years, the town of Rosignano Solvay (on the Northern Tyrrhenian coast) experienced repeated waterspouts affecting the same areas, raising local concern about the possible [...] Read more.
Italy and the surrounding seas are recognised as one of the European hotspots for tornadoes and waterspouts. In recent years, the town of Rosignano Solvay (on the Northern Tyrrhenian coast) experienced repeated waterspouts affecting the same areas, raising local concern about the possible influence of heated wastewater discharged into the sea by a nearby industrial site. We reconstruct the mesoscale meteorological conditions of four intense waterspouts near Rosignano Solvay using a limited-area weather model at a high-to-very-high resolution (inner domain grid spacing of 500 m; sensitivity tests at 100 m). At the reported event times, the intensity of key mesoscale precursors (low-level wind shear, 1 km storm-relative helicity, maximum updraft intensity, and lifting condensation level) is consistent with the values typically associated with EF1 (or stronger) tornadoes and waterspouts. The model systematically predicts the peak of instability indices 2–3 h earlier than the reported event times. For one case study, we conduct two sea surface temperature sensitivity experiments to assess the potential atmospheric impact of heated wastewater discharge (temperature increases of +1.5 K and +5 K over a 10 km2 area). The resulting changes in instability indices are marginal, with differences of at most 3% relative to the control run. A simple mass-balance estimate for the modified sea patch suggests that, given the reported discharge rates, a plausible impact of the warm water released from the industrial site could lead to an increase in the local sea surface temperature of approximately +0.7 °C over two months. We conclude that synoptic and mesoscale conditions primarily govern waterspout initiation in this region, while the direct effect of the small warm coastal plume from the industrial discharge appears to be minor. Full article
(This article belongs to the Special Issue Highly Resolved Numerical Models in Regional Weather Forecasting)
Show Figures

Figure 1

25 pages, 8877 KB  
Article
Numerical Investigation of Surface–Atmosphere Interaction and Fire Danger in Northern Portugal: Insights into the Wildfires on July 29, 2025
by Flavio Tiago Couto, Cátia Campos, Federico Javier Beron de la Puente, Paulo Vítor de Albuquerque Mendes, Hugo Nunes Andrade, Katyelle Ferreira da Silva Bezerra, Nuno Andrade, Filippe Lemos Maia Santos, Natalia Verónica Revollo, André Becker Nunes and Rui Salgado
Fire 2026, 9(3), 111; https://doi.org/10.3390/fire9030111 - 2 Mar 2026
Viewed by 940
Abstract
The 2025 fire season in Portugal was marked by large fires, underscoring the vulnerability of the forested areas to fire. The study analyzes the main meteorological conditions during a critical period of fire activity and addresses the following question: Why can the northeast [...] Read more.
The 2025 fire season in Portugal was marked by large fires, underscoring the vulnerability of the forested areas to fire. The study analyzes the main meteorological conditions during a critical period of fire activity and addresses the following question: Why can the northeast (NE) weather pattern be so critical for fire danger in Portugal? Fire severity in the Arouca wildfire, the largest fire of the period, was estimated using a methodology that integrates foundation vision models with computer vision algorithms. ECMWF analyses and convection-permitting Meso-NH simulations are used to examine large-scale circulation and the mesoscale environment, respectively. Synoptic-scale analysis revealed the Azores anticyclone centered slightly northwest of the Iberian Peninsula (IP), with its eastern sector directly affecting the northern IP under north/northeast winds. The hectometric-scale simulation demonstrated that orographically enhanced wind gusts over the northern Portuguese mountains substantially intensified near-surface fire-weather conditions when the winds were nearly easterly. Furthermore, strong low-level winds and atmospheric stability constrained vertical plume growth, favoring horizontal smoke transport. In addition, the study highlights that Arouca’s fire had 88% of its area affected with moderate to high severity. Overall, the results demonstrate that the interaction between large-scale NE circulation and local orography plays a decisive role in amplifying fire danger in northern Portugal, emphasizing the need for high-resolution atmospheric modeling to identify fire-prone regions under specific synoptic patterns. Full article
Show Figures

Figure 1

26 pages, 8882 KB  
Article
Wildfires in the Southern Amazon: Insights into Pyro-Convective Cloud Development from Two Case Studies in August 2021
by Katyelle Ferreira da Silva Bezerra, Flavio Tiago Couto, Helber Barros Gomes, Janaína Nascimento, Paulo Vítor de Albuquerque Mendes, Dirceu Luís Herdies, Hakki Baltaci, Maria Cristina Lemos da Silva, Mayara Christine Correia Lins, Caroline Bresciani, Rafaela Lisboa Costa, Madson Tavares Silva, Heliofábio Barros Gomes, Daniel Milano Costa de Lima, José de Brito Silva, Fabrício Lopes de Araújo Paz and Fabrício Daniel dos Santos Silva
Atmosphere 2026, 17(2), 173; https://doi.org/10.3390/atmos17020173 - 6 Feb 2026
Cited by 2 | Viewed by 1034
Abstract
This study examines two wildfire events in the southern Amazon in August 2021, addressing the challenges in investigating the development of pyro-convective clouds in tropical regions. The analysis combines the Normalized Difference Vegetation Index, Fire Radiative Power derived from the Suomi-NPP and NOAA-20 [...] Read more.
This study examines two wildfire events in the southern Amazon in August 2021, addressing the challenges in investigating the development of pyro-convective clouds in tropical regions. The analysis combines the Normalized Difference Vegetation Index, Fire Radiative Power derived from the Suomi-NPP and NOAA-20 satellites, and meteorological conditions from thermodynamic profiles and atmospheric modeling. The Meso-NH model was applied exploratorily with two simulations that allow convection, at a 2.5 km resolution. In the first case, a pyro-convective cloud (PyroCu) formed directly from active fires. In the second, a deep convective cloud developed over dispersed fire hotspots, exhibiting characteristics compatible with pyro-convective activity, although uncertainties remain regarding its classification as a true PyroCb. The results indicate that background thermodynamic instability primarily controls vertical plume development, modulating the influence of fire intensity. Incorporating high-resolution thermodynamic profiles into coupled atmospheric and chemical dispersion models can improve estimates of smoke injection height, complementing information on fire power. The results provide a basis for future developments related to understanding tropical pyro-convective clouds, showing how smoke dispersion may occur in the tropical region depending on the vertical structure of the atmosphere and fire intensity. Full article
Show Figures

Graphical abstract

19 pages, 2020 KB  
Article
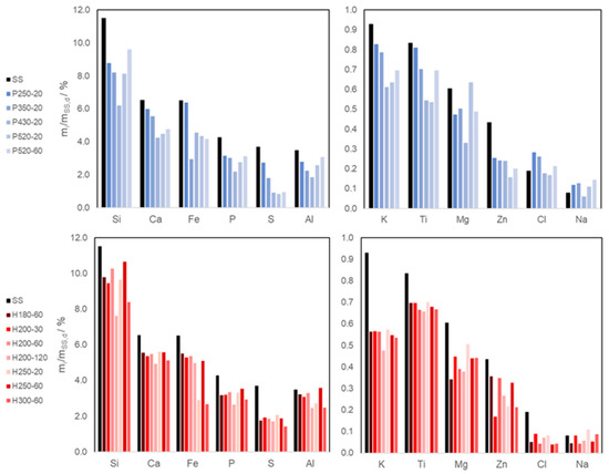
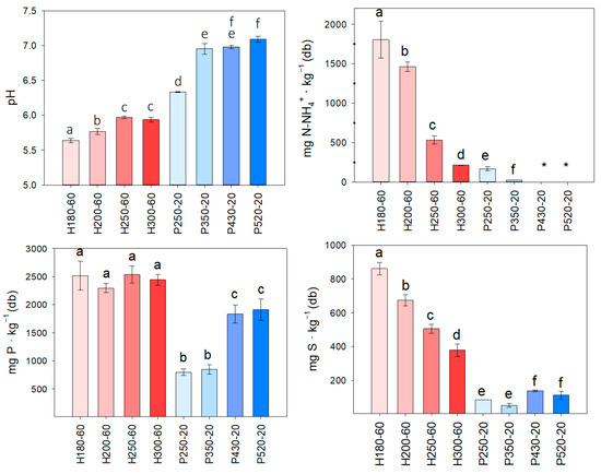
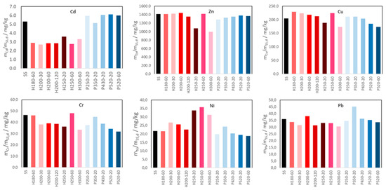
Agronomic Potential of Pyrochar and Hydrochar from Sewage Sludge: Effects of Carbonization Conditions
by Libardo Mendoza-Geney, Santiago Fonseca, Fredy Bermudez-Aguilar, María Martinez-Cordón, Alexánder Gómez-Mejía and Sonia Rincón-Prat
Sustainability 2026, 18(1), 223; https://doi.org/10.3390/su18010223 - 25 Dec 2025
Cited by 1 | Viewed by 913
Abstract
Thermochemical treatments such as pyrolysis and hydrothermal carbonization (HTC) are increasingly used to convert municipal sewage sludge into solid products, offering benefits in contaminant reduction, pathogen sanitization, and nutrient recovery. This study assesses the agronomic potential of pyrochars and hydrochars produced under varying [...] Read more.
Thermochemical treatments such as pyrolysis and hydrothermal carbonization (HTC) are increasingly used to convert municipal sewage sludge into solid products, offering benefits in contaminant reduction, pathogen sanitization, and nutrient recovery. This study assesses the agronomic potential of pyrochars and hydrochars produced under varying temperatures and residence times. Pyrolysis was performed at 250–520 °C for 20 and 60 min, while HTC was conducted at 180–300 °C for 30–120 min. Proximate and ultimate analyses revealed that pyrochars exhibit higher thermal stability and fixed carbon content, whereas hydrochars contain less condensed aromatic structures, indicating greater chemical reactivity but lower long-term stability. Surface area measurements showed meso- and macropore development in both materials, with hydrochars ranging from 14.7 to 86.0 m2·g−1 and pyrochars from 12.7 to 41.7 m2·g−1. Pyrochars tend to have a near-neutral pH, while hydrochars are slightly acidic. Hydrochars also retain higher levels of available nutrients (N, P, and S), particularly at lower temperatures, making them promising for agricultural applications. Agronomic evaluation confirmed greater N-NH4+ and phosphorus availability in hydrochars compared to pyrochars, suggesting their potential as soil amendments or fertilizer additives. However, the mobility of heavy metals requires further assessment to ensure environmental safety. Full article
Show Figures

Figure 1

20 pages, 14353 KB  
Article
Synoptic and Regional Meteorological Drivers of a Wildfire in the Wildland–Urban Interface of Faro (Portugal)
by Flavio Tiago Couto, Cátia Campos, Carolina Purificação, Filippe Lemos Maia Santos, Hugo Nunes Andrade, Nuno Andrade, André Becker Nunes, Nuno Guiomar and Rui Salgado
Fire 2025, 8(9), 362; https://doi.org/10.3390/fire8090362 - 11 Sep 2025
Cited by 3 | Viewed by 2766
Abstract
A major fire occurred in the wildland–urban interface in southern Portugal, on 13 July 2022, becoming uncontrolled due to weather conditions. This study investigates how atmospheric dynamics increased fire danger in Mainland Portugal during early July 2022. The synoptic circulation from European Centre [...] Read more.
A major fire occurred in the wildland–urban interface in southern Portugal, on 13 July 2022, becoming uncontrolled due to weather conditions. This study investigates how atmospheric dynamics increased fire danger in Mainland Portugal during early July 2022. The synoptic circulation from European Centre for Medium-Range Weather Forecasts (ECMWF) analysis and mesoscale conditions from Meso-NH model simulation at 1.5 km resolution revealed atmospheric conditions before and during the fire. Fire risk was assessed using the Fire Weather Index (FWI) from Meso-NH outputs. A blocking pattern was configured by an upper-level low-pressure system in early July, remaining semi-stationary west of Mainland Portugal until 18 July. The counter-clockwise circulation of the cut-off low resulted in dry, warm air advection from North Africa, enhancing fire danger over the Iberian Peninsula. In southern Portugal, a jet-like wind with strong east/southeasterly flow from Gibraltar Strait favored rapid fire spread. This circulation below 1 km altitude from the Mediterranean Sea enhanced fire danger through strong winds, independent of the large-scale blocking pattern. This study presents an atmospheric scenario for evaluating fire danger in Southern Portugal, important for pre-firefighting management that complemented previous studies for the region. Also, high-resolution FWI calculations using Meso-NH emphasized the importance of improved temporal and spatial resolution for fire danger assessment. Full article
(This article belongs to the Special Issue Effects of Climate Change on Fire Danger)
Show Figures

Figure 1

16 pages, 59182 KB  
Communication
A Case Study of the Possible Meteorological Causes of Unexpected Fire Behavior in the Pantanal Wetland, Brazil
by Flavio T. Couto, Filippe L. M. Santos, Cátia Campos, Carolina Purificação, Nuno Andrade, Juan M. López-Vega and Matthieu Lacroix
Earth 2024, 5(3), 548-563; https://doi.org/10.3390/earth5030028 - 18 Sep 2024
Cited by 6 | Viewed by 3129 | Correction
Abstract
This study provides insights into large fires in the Pantanal by analyzing the atmospheric conditions that influenced the rapid fire evolution between 13 and 14 November 2023, when fire fronts spread rapidly, leading to critical situations for firefighters. The observation-based analysis helped us [...] Read more.
This study provides insights into large fires in the Pantanal by analyzing the atmospheric conditions that influenced the rapid fire evolution between 13 and 14 November 2023, when fire fronts spread rapidly, leading to critical situations for firefighters. The observation-based analysis helped us to identify some characteristics of the fire’s evolution and the meteorological conditions in the region. Furthermore, two simulations were run with the Meso-NH model, which was configured with horizontal resolutions of 2.5 km and 5 km. The fire behavior, characterized by satellite observations, revealed periods with a sudden increase in active fire numbers. High temperatures and low relative humidity in the region characterized the fire weather conditions. The simulations confirmed the critical fire condition, showing the benefits of increasing the resolution of numerical models for the Pantanal region. The convection-resolving simulation at 2.5 km showed the repeated development of gust fronts in the late afternoon and early evening. This study highlights this dynamic that, coupled with intense surface wind gusts, was crucial for the intensification of the fire spread and unexpected behavior. This study is a first step toward better understanding fire dynamics in the Pantanal through atmospheric modeling, and it can support strategies for firefighting in the region. Full article
Show Figures

Figure 1

15 pages, 4792 KB  
Article
Encapsulating Halide Perovskite Quantum Dots in Metal–Organic Frameworks for Efficient Photocatalytic CO2 Reduction
by Jingwen Zhang, Wentian Zhou, Junying Chen and Yingwei Li
Catalysts 2024, 14(9), 590; https://doi.org/10.3390/catal14090590 - 3 Sep 2024
Cited by 9 | Viewed by 3230
Abstract
Halide perovskite has shown great potential in photocatalysis owing to its diversity, suitable energy band alignment, rapid charge transfer, and excellent optical properties. However, poor stability, especially under humid conditions, hinders their practical application in photocatalysis. In this work, we report the encapsulation [...] Read more.
Halide perovskite has shown great potential in photocatalysis owing to its diversity, suitable energy band alignment, rapid charge transfer, and excellent optical properties. However, poor stability, especially under humid conditions, hinders their practical application in photocatalysis. In this work, we report the encapsulation of inorganic–organic hybrid perovskite QDs into MIL-101(Cr) through an in situ growth strategy to prepare a series of MAPbBr3@MIL-101(Cr) (MA = CH3NH3+) composites. The perovskite precursors, i.e., MABr and PbBr2, were successively introduced into the pores of MOF, where the perovskite quantum dots were self-assembled in the confined environment. In photocatalytic CO2 reduction, 11%MAPbBr3@MIL-101(Cr) composite displayed the best performance among the composites with a total CO and CH4 yield of 875 μmol g−1 in 9 h, which was 8 times higher than that of the pure MAPbBr3. Such high gas production efficiency could be maintained for 78 h at least without structural and morphologic decomposition. The remarkable stability and catalytic activity of composites are mainly due to the synergistic effect and improved electron transfer between MAPbBr3 and MIL-101(Cr). Moreover, these composites revealed a novel mechanism, showing switched CH4 selectivity with the controlling of the perovskite location and contents. Those with perovskites encapsulated in the mesopores of MIL-101(Cr) were more preferential for CO production, while those with perovskites encapsulated in both meso- and micropores could produce CH4 dominantly. Full article
(This article belongs to the Section Photocatalysis)
Show Figures

Figure 1

20 pages, 21594 KB  
Article
The Role of Atmospheric Circulation in Favouring Forest Fires in the Extreme Southern Portugal
by Carolina Purificação, Alice Henkes, Stergios Kartsios and Flavio Tiago Couto
Sustainability 2024, 16(16), 6985; https://doi.org/10.3390/su16166985 - 15 Aug 2024
Cited by 3 | Viewed by 2492
Abstract
The study explores two forest fires in extreme southern Portugal aiming to increase the knowledge of how atmospheric circulation influenced the fire dynamics in each event. The meteorological conditions were simulated by the Meso-NH full-physics non-hydrostatic limited-area research model. The two numerical simulations [...] Read more.
The study explores two forest fires in extreme southern Portugal aiming to increase the knowledge of how atmospheric circulation influenced the fire dynamics in each event. The meteorological conditions were simulated by the Meso-NH full-physics non-hydrostatic limited-area research model. The two numerical simulations were performed using a two-way nested domain configuration with horizontal resolutions of 2500 m and 500 m. In both cases, the large-scale atmospheric environment was marked by the Azores Anticyclone west of Portugal which induced northerly winds over the coastal of Mainland Portugal. The analysis of Tavira’s fire (18–21 July 2012, 24,800 ha of total burned area) revealed flow characteristics resembling a low-level jet located below 1 km, with stronger winds during the second day resulting in enhanced fire spread rates. The second case study (Aljezur, 19–21 June 2020; 2302 ha of burned area) highlights a fire occurring under atypical fire weather conditions, namely lower air temperature and higher relative humidity; however, orographic effects produced downslope winds favouring fire propagation. This study provides a better understanding of the fire critical conditions in extreme South Portugal and investigates the atmosphere–orography interactions in the region that played an important role in the development of these two forest fires. Increasing knowledge about large fires in Southern Portugal can support fire management practices and encourage the sustainable development of the region. Full article
(This article belongs to the Section Hazards and Sustainability)
Show Figures

Figure 1

23 pages, 83064 KB  
Article
Study of the Atmospheric Transport of Sea-Spray Aerosols in a Coastal Zone Using a High-Resolution Model
by Alix Limoges, Jacques Piazzola, Christophe Yohia, Quentin Rodier, William Bruch, Elisa Canepa and Pierre Sagaut
Atmosphere 2024, 15(6), 702; https://doi.org/10.3390/atmos15060702 - 12 Jun 2024
Cited by 1 | Viewed by 2906
Abstract
Fine-scale models for the transport of marine aerosols are of great interest for the study of micro-climates and air quality in areas of complex topography, such as in urbanized coastal areas. To this end, the MIO laboratory implemented the Meso-NH model in its [...] Read more.
Fine-scale models for the transport of marine aerosols are of great interest for the study of micro-climates and air quality in areas of complex topography, such as in urbanized coastal areas. To this end, the MIO laboratory implemented the Meso-NH model in its LES version over the northwest Mediterranean coastal zone using a recent sea-spray source function. Simulated meteorological parameters and aerosol concentrations are compared to experimental data acquired in the Mediterranean coastal zone in spring 2008 on board the R/V Atalante. Key findings indicate that the large eddy simulation (LES) mode closely matches with the experimental data, enabling an in-depth analysis of the numerical model ability to predict variations in aerosol concentrations. These variations are influenced by different wind directions, which lead to various fetch distances typical of coastal zones. Full article
Show Figures

Figure 1

15 pages, 2605 KB  
Article
The Influence of Biowaste Type on the Physicochemical and Sorptive Characteristics of Corresponding Biochar Used as Sustainable Sorbent
by Nikolaos Mourgkogiannis, Ioannis Nikolopoulos, Eleana Kordouli, Alexis Lycourghiotis, Christos Kordulis and Hrissi K. Karapanagioti
Sustainability 2024, 16(7), 2889; https://doi.org/10.3390/su16072889 - 30 Mar 2024
Cited by 7 | Viewed by 2307
Abstract
Biowaste raw materials were used for biochar preparation through pyrolysis at 850 °C under a limited oxygen atmosphere. Raw materials and the corresponding biochar samples were characterized by XRD, FTIR, SEM, TGA, N2-sorption, pH-equilibrium, and ash content measurements. These samples were [...] Read more.
Biowaste raw materials were used for biochar preparation through pyrolysis at 850 °C under a limited oxygen atmosphere. Raw materials and the corresponding biochar samples were characterized by XRD, FTIR, SEM, TGA, N2-sorption, pH-equilibrium, and ash content measurements. These samples were evaluated as sustainable sorbents for use in methylene blue (MB) removal from artificial fresh water. All biochar samples exhibited high specific surface areas (367–870 m2·g−1), low crystallinity, and low population of functional groups (C–O–C, –COOH, –N–O, –N–H, and –OH) on their surfaces. They were mainly micro-porous materials with a significant fraction of pores in the meso-porous range. The specific surface area of the latter pores proved very important for the physical adsorption of MB from aqueous solution. Although the raw materials exhibited low MB sorption capacity, ranging from 29 to 54 mg·g−1, the corresponding biochar samples exhibited important MB sorption efficiency ranging from 58 to 370 mg·g−1. Among the biochar samples studied, those produced from coffee residues proved most promising for MB removal from water solution (sorption capacity: 280–370 mg·g−1), addressing the United Nations Sustainability Development Goal (SDG) 6: Clean Water and Sanitation by improving the index related to anthropogenic wastewater that has received treatment. Full article
Show Figures

Figure 1

16 pages, 4880 KB  
Article
Transformation of Light Alkanes into High-Value Aromatics
by Muhammad Naseem Akhtar
Catalysts 2024, 14(3), 196; https://doi.org/10.3390/catal14030196 - 16 Mar 2024
Cited by 3 | Viewed by 2432
Abstract
This research work is focused on the transformation of light alkane (propane) into high-value aromatics using gallo-alumino-silicate catalysts. Two sets of gallo-alumino-silicates were synthesized for this study. In the first set, the ratio of Ga/(Al+Ga) was modified, while the Si/(Al+Ga) ratio was held [...] Read more.
This research work is focused on the transformation of light alkane (propane) into high-value aromatics using gallo-alumino-silicate catalysts. Two sets of gallo-alumino-silicates were synthesized for this study. In the first set, the ratio of Ga/(Al+Ga) was modified, while the Si/(Al+Ga) ratio was held constant. In the subsequent set, the Si/(Al+Ga) ratio was adjusted, while maintaining a consistent Ga/(Al+Ga) ratio. This approach aimed to directly assess the impact of each ratio on catalyst performance. The comprehensive characterization of all catalysts was conducted using various instrumental techniques, i.e., BET surface area, XRD, NH3-TPD, 27Al, 71Ga and 29Si MAS NMR, and XPS. A gradual reduction in the percentage of crystallinity and rise in meso-surface area was noticed with a rise in Ga/(Al+Ga) ratio. The total acidity (NH3-TPD) demonstrated a decline as the Si/(Al+Ga) ratio increased, attributed to an overall decline in Al3+ or Ga3+ species. The XPS intensity of the Ga 2p3/2 peak rose in correlation with an elevated ratio of Ga/(Al+Ga), suggesting the formation of extra-framework Ga species. The propane conversion, aromatic yield, and aromatization/cracking ratio exhibited an increase with an increasing Ga/(Al+Ga) ratio, reaching an optimum value of 0.46 before declining. Conversely, an appreciable drop in the conversion of propane and yield of aromatics was detected with the rise in Si/(Al+Ga) ratio, attributing to the decline in acidity. The catalyst having a Ga/(Al+Ga) ration of 0.46 exhibited the highest propane conversion and aromatic yield of 83.0% and 55.0% respectively. Full article
(This article belongs to the Special Issue Zeolites and Zeolite-Based Catalysts in Industrial Catalysis)
Show Figures

Graphical abstract

14 pages, 6658 KB  
Communication
Triggering Pyro-Convection in a High-Resolution Coupled Fire–Atmosphere Simulation
by Flavio Tiago Couto, Jean-Baptiste Filippi, Roberta Baggio, Cátia Campos and Rui Salgado
Fire 2024, 7(3), 92; https://doi.org/10.3390/fire7030092 - 16 Mar 2024
Cited by 11 | Viewed by 3523
Abstract
This study aimed to assess fire–atmosphere interactions using the fully coupled Meso-NH–ForeFire system. We focused on the Pedrógão Grande wildfire (28,914 ha), which occurred in June 2017 and was one of the deadliest and most damaging fires in Portugal’s history. Two simulations (control [...] Read more.
This study aimed to assess fire–atmosphere interactions using the fully coupled Meso-NH–ForeFire system. We focused on the Pedrógão Grande wildfire (28,914 ha), which occurred in June 2017 and was one of the deadliest and most damaging fires in Portugal’s history. Two simulations (control and fully coupled fire–atmosphere) were performed for three two-way nested domains configured with horizontal resolutions of 2 km, 0.4 km, and 0.08 km, respectively, in the atmospheric model Meso-NH. Fire propagation was modeled within the innermost domain with ForeFire, which solves the fire front with a 20 m resolution, producing the heat and vapor fluxes which are then injected into the atmospheric model. A simplified homogeneous fuel distribution was used in this case study. The fully coupled experiment helped us to characterize the smoke plume structure and identify two different regimes: (1) a wind-driven regime, with the smoke plume transported horizontally southward and in the lower troposphere, and (2) a plume-dominated regime, in which the simulated smoke plume extended vertically up to upper levels, favoring the formation of a pyro-cloud. The simulations were compared, and the results suggest that the change in the fire regime was caused by an outflow that affected the main fire front. Furthermore, the fully coupled simulation allowed us to explore the change in meteorology caused by an extreme fire, namely through the development of a pyro-cloud that also induced outflows that reached the surface. We show that the Meso-NH–ForeFire system may strongly contribute to an improved understanding of extreme wildfires events and associated weather phenomena. Full article
Show Figures

Figure 1

24 pages, 6649 KB  
Article
The Impact of Functionality and Porous System of Nanostructured Carriers Based on Metal–Organic Frameworks of UiO-66-Type on Catalytic Performance of Embedded Au Nanoparticles in Hydroamination Reaction
by Vera I. Isaeva, Vladimir V. Chernyshev, Vadim V. Vergun, Danil A. Arkhipov, Grigory S. Deyko, Lev M. Glukhov, Gennady I. Kapustin, Olga P. Tkachenko and Leonid M. Kustov
Catalysts 2023, 13(1), 133; https://doi.org/10.3390/catal13010133 - 6 Jan 2023
Cited by 5 | Viewed by 3469
Abstract
New methods for the preparation of metal–organic frameworks UiO-66 and NH2-UiO-66 with a hierarchical porous structure were developed using the MW-assisted technique under atmospheric pressure. The synthesized nanostructured meso-UiO-66 and meso-NH2-UiO-66 matrices were utilized as Au nanoparticle carriers. The [...] Read more.
New methods for the preparation of metal–organic frameworks UiO-66 and NH2-UiO-66 with a hierarchical porous structure were developed using the MW-assisted technique under atmospheric pressure. The synthesized nanostructured meso-UiO-66 and meso-NH2-UiO-66 matrices were utilized as Au nanoparticle carriers. The resulting Au@meso-UiO-66 and Au@NH2-UiO-66 nanohybrids were studied in the reaction of phenylacetylene hydroamination with aniline into imine ([phenyl-(1-phenylethylydene)amine]) for the first time. Their catalytic behavior is significantly determined by a combination of factors, such as a small crystal size, micro–mesoporous structure, and functionality of the UiO-66 and NH2-UiO-66 carriers, as well as a high dispersion of embedded gold nanoparticles. The Au@meso-UiO-66 and Au@NH2-UiO-66 nanocatalysts demonstrate high activities (TOF), with conversion and selectivity values over 90. This excellent catalytic performance is comparable or even better than that demonstrated by heterogeneous systems based on conventional inorganic and inorganic supports known from the literature. Full article
(This article belongs to the Collection Gold Catalysts)
Show Figures

Graphical abstract

12 pages, 5558 KB  
Communication
Is Portugal Starting to Burn All Year Long? The Transboundary Fire in January 2022
by Flavio T. Couto, Filippe L. M. Santos, Cátia Campos, Nuno Andrade, Carolina Purificação and Rui Salgado
Atmosphere 2022, 13(10), 1677; https://doi.org/10.3390/atmos13101677 - 14 Oct 2022
Cited by 23 | Viewed by 4273
Abstract
Changes in the large fire seasons induced by climate variability may have implications in several sectors of modern society. This communication aims to investigate possible changes in the behaviour of active fires during the wintertime and document an event that occurred in the [...] Read more.
Changes in the large fire seasons induced by climate variability may have implications in several sectors of modern society. This communication aims to investigate possible changes in the behaviour of active fires during the wintertime and document an event that occurred in the transboundary mountainous region in the north-western Iberian Peninsula between Portugal and Spain on 28 January 2022. The VIIRS active fire data, a satellite product, were analysed for the period between December 2012 and February 2022. The Meso-NH model was used to explore the atmospheric conditions during the event that burned almost 2400 ha. It was configured in a single domain with a horizontal resolution of 1500 m (300 × 300 grid points). The study highlights an increase in fire occurrence during the winter of 2021/22 and indicates that climate variability may create atmospheric conditions propitious for fire development even during the winter. The mild temperatures, dry air, and easterly flow affecting northern Portugal played an important role in the fire that occurred on 28 January 2022. Local orographic effects associated with downslope flow favoured fire propagation. Given the lack of knowledge about large winter fires, this study can be a starting point for future research on this subject. Full article
(This article belongs to the Section Climatology)
Show Figures

Figure 1

15 pages, 14163 KB  
Article
Generation of ZSM-5 Nanocrystallites and Their Assembly into Hierarchical Architecture in a Phase-Transfer Synthesis
by Xiaoling Zhao, Jinlong He and Jinjin Li
Catalysts 2022, 12(10), 1216; https://doi.org/10.3390/catal12101216 - 12 Oct 2022
Cited by 2 | Viewed by 3266
Abstract
A method of phase-transfer water/toluene synthesis was developed to fabricate mesocrystals of Zeolite Socony Mobil-5 (ZSM-5) that contain both meso-/micropores and nanometer crystallites. The construction of a hierarchical architecture from nanozeolites via oriented attachment growth was achieved by a simple phase-transfer water/toluene synthesis [...] Read more.
A method of phase-transfer water/toluene synthesis was developed to fabricate mesocrystals of Zeolite Socony Mobil-5 (ZSM-5) that contain both meso-/micropores and nanometer crystallites. The construction of a hierarchical architecture from nanozeolites via oriented attachment growth was achieved by a simple phase-transfer water/toluene synthesis by minimizing classical atom-by-atom crystallization. This opens the way to the cheap, highly efficient engineering of zeolitic morphologies. The physicochemical properties of the crystal were revealed by powder X-ray diffraction (XRD), N2 physical adsorption, inductively coupled plasma atomic emission spectroscopy (ICP-AES), scanning electron microscopy (SEM), transmission electron microscopy (TEM), ammonia temperature-programmed desorption (NH3-TPD) and pyridine infrared spectroscopy (Py-IR), indicating that the material has a high specific surface area, mesopore volume and Lewis acid content. The hierarchical ZSM-5 exhibits a prolonged catalytic lifetime in dimethyl ether–methyl ether (DTO) conversion and enhanced selectivity for propylene owing to the enhanced structural properties. The method can be extended to the synthesis of other graded zeolites controlled by the crystallization process and produce crystals comprising traversing mesoporosity and ultrasmall crystallites that are crucial for mass transfer enhancement. Full article
Show Figures

Graphical abstract

Back to TopTop