Sign in to use this feature.

Years

Between: -

Subjects

remove_circle_outline
remove_circle_outline
remove_circle_outline
remove_circle_outline
remove_circle_outline
remove_circle_outline
remove_circle_outline
remove_circle_outline
remove_circle_outline

Journals

remove_circle_outline
remove_circle_outline
remove_circle_outline
remove_circle_outline
remove_circle_outline
remove_circle_outline

Article Types

Countries / Regions

remove_circle_outline
remove_circle_outline
remove_circle_outline

Search Results (243)

Search Parameters:
Keywords = Lpp20

Order results
Result details
Results per page
Select all
Export citation of selected articles as:
18 pages, 1752 KB  
Article
Dietary Omega-3 Supplementation with Linseed and Padina pavonica Protects Rabbit Spermatozoa Against In Vitro LPS-Induced Damage
by Alda Quattrone, Nour Elhouda Fehri, Olimpia Barbato, Majlind Sulçe, Cesare Castellini, Simona Mattioli, Enkeleda Ozuni, Daniele Vigo, Francesca Falcinelli, Livio Galosi, Lucia Biagini, Giacomo Rossi, Giovanni Ricci, Elena Moretti, Maria Laura Marongiu, Giulia Collodel, Gabriele Brecchia, Giulio Curone and Laura Menchetti
Antioxidants 2026, 15(3), 289; https://doi.org/10.3390/antiox15030289 - 26 Feb 2026
Viewed by 206
Abstract
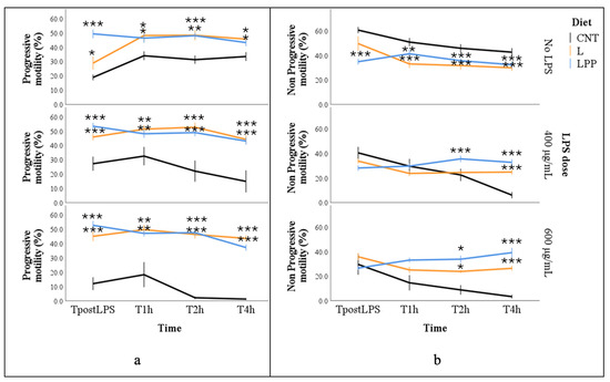
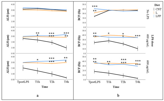
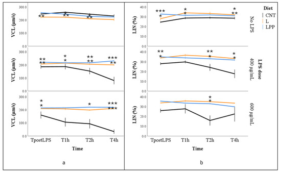
Omega-3 polyunsaturated fatty acids (n-3 PUFAs) are recognized for their beneficial effects on male fertility. This study evaluated the protective effects of dietary n-3 PUFAs from extruded linseed, alone or combined with the alga Padina pavonica, against in vitro lipopolysaccharide (LPS)-induced sperm [...] Read more.
Omega-3 polyunsaturated fatty acids (n-3 PUFAs) are recognized for their beneficial effects on male fertility. This study evaluated the protective effects of dietary n-3 PUFAs from extruded linseed, alone or combined with the alga Padina pavonica, against in vitro lipopolysaccharide (LPS)-induced sperm dysfunction in rabbits. Twelve bucks were fed for 60 days a control diet (CNT), a diet containing 5% extruded linseed (L), or 5% extruded linseed plus 0.2% P. pavonica extract (LPP). Ejaculates were exposed in vitro to increasing LPS concentrations (0, 400, and 600 µg/mL), and sperm motility was evaluated at 0, 1, 2, and 4 h using computer-assisted sperm analysis. LPS markedly impaired sperm motility in the CNT group, increasing the percentage of static spermatozoa (p < 0.001) and reducing sperm progressive motility (p < 0.001), with complete immobility observed at 600 µg/mL after 4 h. Conversely, sperm from L and LPP groups maintained significantly higher progressive motility, lower static sperm, and improved kinematic parameters throughout the LPS challenge (p < 0.05). Dietary n-3 PUFA supplementation also attenuated LPS-induced TLR4 activation and reduced lipid peroxidation, as indicated by lower seminal TBARS levels. No histological alterations were detected in the male reproductive tract. These findings indicate that n-3 PUFA supplementation, particularly linseed combined with algae, mitigates LPS-induced sperm dysfunction in vitro. Full article
(This article belongs to the Section Health Outcomes of Antioxidants and Oxidative Stress)
Show Figures

Figure 1

22 pages, 3542 KB  
Article
Land Use Classification, Prediction, and the Relationship Between Land Use and Sediment Loss in the Lam Phra Phlong Watershed, Thailand
by Uma Seeboonruang, Ranadheer Mandadi, Prapas Thammaboribal, Arlene L. Gonzales and Satya Venkata Sai Aditya Bharadwaz Ganni
Agriculture 2026, 16(4), 448; https://doi.org/10.3390/agriculture16040448 - 14 Feb 2026
Cited by 1 | Viewed by 196
Abstract
This study aims to assess the evolution of land cover in the Lam Phra Phloeng (LPP) watershed and predict future land use patterns. By employing the Gray Level Co-occurrence Matrix (GLCM) and several spectral indices, high classification accuracy (>92%) was achieved using the [...] Read more.
This study aims to assess the evolution of land cover in the Lam Phra Phloeng (LPP) watershed and predict future land use patterns. By employing the Gray Level Co-occurrence Matrix (GLCM) and several spectral indices, high classification accuracy (>92%) was achieved using the Random Forest (RF) algorithm. Based on classified land use maps from 2003 and 2023, future land use predictions for 2030, and 2050 were generated using the CA-Markov chain model. The predictions suggest a gradual trend toward deforestation and the expansion of croplands, driven by population growth and increased anthropogenic activity in the region. The Sediment Delivery Ratio (SDR) model, part of the Integrated Valuation of Ecosystem Services and Tradeoffs (InVEST) suite, was used to simulate soil loss in the LPP watershed. The results indicate minimal soil loss in vegetated areas and significant erosion in regions adjacent to water bodies, primarily due to rainfall erosivity. This research highlights the social, ecological, and economic implications of land use change. Furthermore, best management practices (BMPs) are identified as effective strategies for land restoration and erosion reduction. The study also discusses three widely adopted soil erosion control techniques, providing recommendations for reforestation and erosion mitigation programmes. Full article
(This article belongs to the Section Agricultural Water Management)
Show Figures

Figure 1

14 pages, 884 KB  
Article
Lipid Peroxidation Products 4-ONE and 4-HNE Modulate Voltage-Gated Sodium Channels in Neuronal Cell Lines and DRG Action Potentials
by Ming-Zhe Yin, Na Kyeong Park, Mi Seon Seo, Jin Ryeol An, Hyun Jong Kim, JooHan Woo, Jintae Kim, Min Yan, Sung Joon Kim and Seong Woo Choi
Antioxidants 2026, 15(2), 206; https://doi.org/10.3390/antiox15020206 - 4 Feb 2026
Viewed by 597
Abstract
Oxidative stress-induced lipid peroxidation products (LPPs), particularly 4-hydroxy-nonenal (4-HNE) and 4-oxo-nonenal (4-ONE), have recently gained attention for their direct regulation of ion channels essential for pain signaling. In this study, we investigated how these two LPPs affect the electrophysiological properties of neurons, specifically [...] Read more.
Oxidative stress-induced lipid peroxidation products (LPPs), particularly 4-hydroxy-nonenal (4-HNE) and 4-oxo-nonenal (4-ONE), have recently gained attention for their direct regulation of ion channels essential for pain signaling. In this study, we investigated how these two LPPs affect the electrophysiological properties of neurons, specifically voltage-gated sodium (NaV) channels, thereby influencing sensory neuron excitability and pain pathways. Using human neuroblastoma (SH-SY5Y) and ND7/23 cells (a fusion cell line exhibiting partial sensory neuron properties), we measured changes in NaV channel-mediated sodium currents following treatment with 4-HNE or 4-ONE. Whole-cell patch-clamp experiments showed that 4-ONE (10 µM) and 4-HNE (100 µM) did not significantly alter the peak sodium current amplitude in SH-SY5Y cells. However, in ND7/23 cells, both 4-HNE and 4-ONE induced a negative shift in NaV channel activation voltage dependence, enabling sodium channel activation at lower membrane potentials. Furthermore, current-clamp recordings in primary mouse dorsal root ganglion neurons demonstrated that treatment with 4-ONE and 4-HNE reduced the current threshold required to elicit action potentials and significantly increased action potential firing frequency. These findings indicate that LPPs enhance pain sensitivity by modulating NaV channels, which play a crucial role in pain transmission. In conclusion, 4-HNE and 4-ONE shift the voltage-dependent activation of sodium channels toward more negative potentials, thereby increasing the excitability of primary sensory neurons and amplifying pain signals. This study provides molecular insights into how oxidative stress-related lipid peroxidation contributes to sensory mechanisms and offers potential avenues for developing new treatments for oxidative stress- or inflammation-associated pain. Full article
(This article belongs to the Special Issue Lipid Peroxidation in Physiology and Chronic Inflammatory Diseases)
Show Figures

Figure 1

16 pages, 759 KB  
Article
Adolescent Neural Reactivity to Alcohol Cues: The Role of Violence Exposure and Coping Motives
by Kathryn C. Jenkins, Alexa House, Kayla Kreutzer, K. Luan Phan and Stephanie M. Gorka
Behav. Sci. 2026, 16(2), 218; https://doi.org/10.3390/bs16020218 - 3 Feb 2026
Viewed by 351
Abstract
Exposure to violence (physical, domestic, or sexual assault) increases risk for alcohol problems and alcohol use disorder (AUD), consistent with self-medication and drinking-to-cope theories of alcohol use, which posit that some individuals may misuse alcohol to alleviate distress associated with trauma. Yet how [...] Read more.
Exposure to violence (physical, domestic, or sexual assault) increases risk for alcohol problems and alcohol use disorder (AUD), consistent with self-medication and drinking-to-cope theories of alcohol use, which posit that some individuals may misuse alcohol to alleviate distress associated with trauma. Yet how violence exposure and coping motives interact to influence objective AUD risk markers remains unclear. Emerging evidence suggests that trauma type affects psychiatric outcomes, but its role in moderating AUD risk via coping motives remains unknown. We examined these gaps in the literature in a cohort of youth (ages 16–19; n = 157) over-sampled for violence exposure. Participants completed a structured trauma interview and an assessment of drinking motives. A total of 60 participants reported experiencing sexual assault (SA), 54 physical assault (PA), and 32 domestic violence (DV). AUD risk was captured using the alcohol cue reactivity paradigm. Participants were exposed to images of alcoholic beverages, high-calorie foods (reward-related control), and neutral objects. The late positive potential (LPP), an event-related potential captured via electroencephalogram, was used to index cue reactivity. We ran two linear regression analyses to assess the relationship between trauma type and coping motives to drink on LPP to alcohol and food cues (>neutral). For alcohol cues, there was a significant SA and coping interaction. At high levels of coping motivations, SA was associated with enhanced LPP to alcohol cues. At low levels of coping motivations there was no association. No effects were observed for food cues. Our results demonstrate that heightened coping motives to drink are associated with enhanced alcohol cue reactivity among SA victims, indicating increased vulnerability for AUD risk. Full article
(This article belongs to the Special Issue Stress and Drinking)
Show Figures

Graphical abstract

14 pages, 1587 KB  
Article
Application Method Determines Effects of Beauveria bassiana on Eucalyptus grandis Growth and Leaf-Cutting Ant Foraging
by Raymyson Rhuryo de Sousa Queiroz, Thais Berçot Pontes Teodoro, Aline Teixeira Carolino, Ricardo de Oliveira Barbosa Bitencourt and Richard Ian Samuels
Insects 2026, 17(2), 134; https://doi.org/10.3390/insects17020134 - 24 Jan 2026
Viewed by 442
Abstract
Beauveria bassiana can colonize plants, acting against insect pests and promoting plant growth. This study evaluated how different fungal inoculation methods affected Eucalyptus grandis growth and the foraging behavior of ants. An isolate (LPP 139) was identified as B. bassiana based on ITS [...] Read more.
Beauveria bassiana can colonize plants, acting against insect pests and promoting plant growth. This study evaluated how different fungal inoculation methods affected Eucalyptus grandis growth and the foraging behavior of ants. An isolate (LPP 139) was identified as B. bassiana based on ITS sequences. Seedlings were submitted to three inoculation methods using fungal suspensions at 1 × 108 conidia mL−1: (1) soil drenching at sowing (SD), (2) soil drenching 20 days after sowing (20SD), and (3) foliar spraying 20 days after sowing (20F) when compared to controls. SD treatment enhanced plant height (mean 25 cm with a 31.6% increase compared to the controls; p = 0.0353) and shoot fresh weight (mean 1.5 g, a 50% increase; p = 0.0154), while 20SD increased leaf number (141.4% increase; p = 0.0419). The 20F treatment increased leaf number (287.9% compared to the controls; p = 0.0006), shoot weight (mean fresh weight 1.5 g, a 50% increase; p = 0.0213 and mean dry weight 0.7 g, a 75% increase; p = 0.0236), and reduced leaf-cutting ant foraging (mean 26 cm2, a reduction of 53.6%; p = 0.0134). These findings highlight the dual action of B. bassiana, promoting plant growth and reducing the activity of ants. Full article
(This article belongs to the Section Insect Behavior and Pathology)
Show Figures

Graphical abstract

14 pages, 632 KB  
Article
Substrate-Driven Differential Sensitivity of Gram-Positive and Gram-Negative Bacteria to Pine and Birch Liquid Pyrolysis Products
by Grażyna B. Dąbrowska, Marcel Antoszewski, Filip Rejman, Tomasz Jędrzejewski, Monika Bartkowiak, Zbigniew Katolik, Jakub Brózdowski, Grzegorz Cofta and Magdalena Zborowska
Processes 2026, 14(2), 344; https://doi.org/10.3390/pr14020344 - 19 Jan 2026
Viewed by 309
Abstract
Recent studies have shown that wood tar exhibits excellent potential as an additive to polymers for food packaging. In this study, we demonstrated that the differential temperature of dry pyrolysis of wood affects the antioxidant and antibacterial activities of the liquid pyrolysis products [...] Read more.
Recent studies have shown that wood tar exhibits excellent potential as an additive to polymers for food packaging. In this study, we demonstrated that the differential temperature of dry pyrolysis of wood affects the antioxidant and antibacterial activities of the liquid pyrolysis products (LPP). Birch LPP showed, on average, approximately 16% higher reducing power in the ferric-reducing antioxidant power (FRAP) assay and, on average, approximately 29% lower free radical scavenging activity than pine LPP. Thermal characterization suggests a qualitatively similar chemical composition among the tested fractions, with the 500 °C pyrolysis fraction showing the highest thermal resistance (lowest mass loss). Thermal characterization indicated similarities in the qualitative chemical composition of the tested fractions. Analyzed products demonstrated bactericidal activity against human- or plant-pathogenic bacteria and exhibited poor antimicrobial activity towards probiotic bacteria. Specifically, Lactoplantibacillus sp. and L. rhamnosus were, on average, approximately 61% and 45% less affected, respectively, compared to the most sensitive E. coli. We demonstrate apparent, predominantly substrate-driven differences in antibacterial activity, with Gram-negative bacteria being more susceptible to pine products and Gram-positive bacteria being more susceptible to birch products. Full article
(This article belongs to the Special Issue Biomass Pyrolysis Characterization and Energy Utilization)
Show Figures

Figure 1

20 pages, 640 KB  
Article
Effects of Bacterial Inoculants and Ground Corn Grain on Fermentation Profile and In Situ Rumen Degradability of Tropical Grass Silage
by Luciano Saraiva dos Santos, Alex Lopes da Silva, Bernardo Magalhães Martins, Kellen Ribeiro Oliveira, Jessica Marcela Vieira Pereira, Odilon Gomes Pereira, Wellington Paulo Fernandes Amorim, João Vitor Coelho Rodrigues, Poliana Teixeira Rocha Salgado, Luis Henrique Rodrigues Silva and Polyana Pizzi Rotta
Agriculture 2026, 16(2), 248; https://doi.org/10.3390/agriculture16020248 - 18 Jan 2026
Viewed by 445
Abstract
The aim of this study was to evaluate different doses of bacterial inoculants and the inclusion of 8% ground corn grain (GCG) on fermentative characteristics, chemical composition, and in situ ruminal degradability of low-DM elephant grass (cv. BRS Capiaçu) silage. The experiment followed [...] Read more.
The aim of this study was to evaluate different doses of bacterial inoculants and the inclusion of 8% ground corn grain (GCG) on fermentative characteristics, chemical composition, and in situ ruminal degradability of low-DM elephant grass (cv. BRS Capiaçu) silage. The experiment followed a completely randomized design in a 6 × 3 factorial arrangement (six treatments × three fermentation periods). Treatments were a control without additive (CTR); 0.5 or 1 g/ton of Lentilactobacillus buchneri (LBU0.5 and LBU1); 1 or 2 g/ton of a Lactiplantibacillus plantarum + Pediococcus acidilactici inoculant (LPP1 and LPP2); and 8% GCG. After 60 d of fermentation, in situ ruminal degradability was evaluated using rumen-fistulated lactating cows with incubation times from 0 to 240 h. The GCG treatment increased DM, CP, and ether extract concentrations and reduced NDF, ADF, and lignin contents. Additionally, GCG silage exhibited lower pH, butyric acid, and ammonia nitrogen concentrations, along with higher lactic acid levels. No treatment effects were observed for water-soluble carbohydrates or total DM losses. The effective NDF degradability, degradation rate of the slowly degradable fraction, and undigested NDF after 240 h were not affected by treatments. In conclusion, the inclusion of GCG improved the fermentative profile of low-DM elephant grass silage, whereas bacterial inoculants did not significantly enhance the silage quality under the conditions evaluated. Full article
Show Figures

Figure 1

17 pages, 1869 KB  
Article
Global Phase Portraits of Homogeneous Polynomial Planar Hamiltonian Systems with Finitely Many Isotropic Points
by Jian Gao, Changxin Tang, Rong Wang and Wennan Zou
Symmetry 2026, 18(1), 151; https://doi.org/10.3390/sym18010151 - 14 Jan 2026
Viewed by 152
Abstract
The global phase portrait (GPP) classification of polynomial planar Hamiltonian systems with finitely many isotropic points is a challenging problem. Only homogeneous Hamiltonian systems of degrees up to five have been dealt with in existing literature. In this paper, through a polar coordinate [...] Read more.
The global phase portrait (GPP) classification of polynomial planar Hamiltonian systems with finitely many isotropic points is a challenging problem. Only homogeneous Hamiltonian systems of degrees up to five have been dealt with in existing literature. In this paper, through a polar coordinate compactification, we prove that the GPP of a homogeneous planar Hamiltonian system is uniquely determined by the phase portrait around its isotropic point, referred to as the local phase portrait (LPP). Thus, the global classification can be reduced to the local classification. Secondly, two distinct approaches, topological index analysis and algebraic factorization, are proposed to establish both the local classification and the global one. And finally, the corresponding physical flows are discussed, and the consistency of results from the two approaches is validated through four examples. Full article
(This article belongs to the Section Mathematics)
Show Figures

Figure 1

33 pages, 3619 KB  
Article
Obesity and Insulin Resistance Alter Neural Processing of Unpleasant, but Not Pleasant, Visual Stimuli in Young Adults
by Brittany A. Larsen, Brandon S. Klinedinst, Tovah Wolf, Kelsey E. McLimans, Qian Wang, Parvin Mohammadiarvejeh, Mohammad Fili, Azizi A. Seixas and Auriel A. Willette
Brain Sci. 2026, 16(1), 3; https://doi.org/10.3390/brainsci16010003 - 19 Dec 2025
Viewed by 1175
Abstract
Background/Objectives: Obesity and insulin resistance (IR) increase the risk of mood disorders, which often manifest during young adulthood. However, neuroelectrophysiological investigations of whether adiposity and IR modify electrocortical activity and emotional processing outcomes remain underexplored, particularly in young adults. Therefore, this study [...] Read more.
Background/Objectives: Obesity and insulin resistance (IR) increase the risk of mood disorders, which often manifest during young adulthood. However, neuroelectrophysiological investigations of whether adiposity and IR modify electrocortical activity and emotional processing outcomes remain underexplored, particularly in young adults. Therefore, this study used electroencephalography (EEG) to investigate whether obesity and/or IR moderate the relationships between brain potentials and affective processing in younger adults. Methods: Thirty younger adults completed a passive picture-viewing task utilizing the International Affective Picture System while real-time electroencephalography was simultaneously recorded. Two event-related potentials—early posterior negativity (EPN) and late positive potential (LPP)—were quantified. Affective processing parameters included mean valence ratings and stimulus-to-response-onset reaction times in response to unpleasant, pleasant, and neutral images. Body fat percentage and Homeostatic Model Assessment for Insulin Resistance values were measured. Hierarchical moderated regression analysis was utilized to test the interrelationships between brain potentials, adiposity, IR, and affective processing. Results: In the Negative−Neutral condition, lean and insulin-sensitive participants gave less negative valence ratings to unpleasant versus neutral images when late-window LPP amplitudes were larger, whereas this relationship was reversed in participants with obesity and absent in those with IR. Contrariwise, neither obesity nor IR moderated LPP responses to affective processing parameters in the Positive−Neutral or Negative−Positive valence conditions. Additionally, obesity and IR did not moderate the links between EPN responses and affective processing parameters in any of the valence conditions. Conclusions: Lean, insulin-sensitive young adults showed attenuated affective processing of unpleasant stimuli through stronger neural responses, whereas neural responses to pleasant stimuli did not vary across levels of body fat or IR. These preliminary findings suggest that both obesity and IR increase the vulnerability to mood disorders in young adulthood. Full article
(This article belongs to the Special Issue Advances in Emotion Processing and Cognitive Neuropsychology)
Show Figures

Figure 1

17 pages, 1617 KB  
Article
Transposable Element-Derived miR-28-5p and miR-708-5p: Exploring Potential Roles in Lung Cancer
by Sergiu Chira, Cornelia Braicu, Stefan Strilciuc, George A. Calin and Ioana Berindan-Neagoe
Non-Coding RNA 2025, 11(6), 81; https://doi.org/10.3390/ncrna11060081 - 18 Dec 2025
Viewed by 598
Abstract
Background: Transposable elements are normally silenced by epigenetic mechanisms; however, during malignant transformation, epigenetic alterations enable transposons to produce functional molecules like miRNAs. Among these, LINE-2 (L2) elements can generate miRNAs capable of regulating key genes, including tumor suppressors. Two L2-derived miRNAs, miR-28 [...] Read more.
Background: Transposable elements are normally silenced by epigenetic mechanisms; however, during malignant transformation, epigenetic alterations enable transposons to produce functional molecules like miRNAs. Among these, LINE-2 (L2) elements can generate miRNAs capable of regulating key genes, including tumor suppressors. Two L2-derived miRNAs, miR-28 and miR-708, have been linked to lung cancer, yet the mechanisms underlying their dysregulation remain poorly understood. Our study reveals how genomic context contributes to aberrant gene expression through comprehensive bioinformatic analyses. Methods: Using bioinformatics analysis, we evaluated the expression of miR-28 and miR-708 in lung adenocarcinoma (LUAD) and lung squamous cell carcinoma (LUSC) datasets from TCGA. Further, we assessed the expression and methylation status of miR-28 and miR-708 host genes, LPP and TENM4, respectively, using computational tools. Finaly, we searched for potential candidate tumor suppressor genes targeted by miR-28 and miR-708, which are downregulated in LUAD and LUSC. Results: We found that intragenic L2-derived miR-28 and miR-708 are significantly upregulated in LUAD and LUSC. While TENM4 gene also displays a marked increase in expression in LUAD and LUSC, in tumor versus normal tissue, this difference is less obvious for the LPP gene. We suggest that such dysregulations in expression might be linked to specific methylation patterns of their genomic locations. Furthermore, we emphasize that miR-28 and miR-708 might contribute to lung cancer pathogenesis by targeting key tumor suppressor genes. Conclusions: Alterations in the methylation status of L2-miRNAs genomic loci might result in elevated levels of miRNAs and subsequent targeting of tumor suppressor genes with potential implications in lung cancer pathogenesis. Full article
Show Figures

Figure 1

19 pages, 2453 KB  
Article
The Discrepancy of Risk Perception Between Workers and Managers: Evidence from ERP
by Shu Zhang, Jiabin Li, Xinyu Hua, Yifan Li, Shufen Ye, Xiuzhi Shi and Yan Zhang
Buildings 2025, 15(24), 4444; https://doi.org/10.3390/buildings15244444 - 9 Dec 2025
Viewed by 373
Abstract
Differences in risk perception between frontline construction workers and managers can create communication barriers and lower the efficiency of safety management. In this study, we focused on frontline construction workers and managers and used event-related potentials (ERPs) to examine discrepancies in risk perception [...] Read more.
Differences in risk perception between frontline construction workers and managers can create communication barriers and lower the efficiency of safety management. In this study, we focused on frontline construction workers and managers and used event-related potentials (ERPs) to examine discrepancies in risk perception across two processes: hazard identification and risk judgment. During hazard identification, workers identified fewer hazards correctly than managers (p = 0.009 < 0.05). Managers also showed larger N200 amplitudes than workers (p = 0.040 < 0.05), which suggests that managers engaged conflict monitoring and inhibitory control more strongly. During risk judgment, workers responded more slowly than managers (p = 0.012 < 0.05). They also showed lower P100 (p = 0.026 < 0.05) and LPP amplitudes (p = 0.024 < 0.05), indicating weaker early visual–attentional gating and less sustained evaluative engagement with hazardous scenes. These patterns indicate that workers rely more on irrelevant information, whereas managers respond more sensitively to potential hazards. By revealing when and how role-based differences emerge, our findings offer a neurocognitive explanation for the persistent gap in risk perception and highlight specific targets for training. These insights can guide risk communication between managers and workers, extend research on risk-perception differences beyond self-report measures, and illustrate the value of ERP as a time-resolved tool for studying risk perception. Full article
(This article belongs to the Special Issue Advances in Digital Intelligence for Construction Safety)
Show Figures

Figure 1

22 pages, 6232 KB  
Article
Assessing the Combined Impacts of Future Climate and Land Use Changes on Soil Loss and Sediment Retention in the Lam Phra Phloeng Watershed, Thailand
by Uma Seeboonruang, Ranadheer Mandadi, Prapas Thammaboribal, Arlene L. Gonzales, Arun Kanchan and Satya Venkata Sai Aditya Bharadwaz Ganni
Agriculture 2025, 15(23), 2511; https://doi.org/10.3390/agriculture15232511 - 3 Dec 2025
Cited by 1 | Viewed by 677
Abstract
Soil erosion is a significant challenge to the environment, ecology, and economy, and areas that undergo fast land use change and climate change are the most affected. This research evaluates the effects that climate change and Land-Use/Land-Cover (LULC) change have, separately and together, [...] Read more.
Soil erosion is a significant challenge to the environment, ecology, and economy, and areas that undergo fast land use change and climate change are the most affected. This research evaluates the effects that climate change and Land-Use/Land-Cover (LULC) change have, separately and together, on soil loss and sediment retention in the Lam Phra Phloeng (LPP) watershed, Thailand. The InVEST Sediment Delivery Ratio (SDR) model was applied under the Shared from Socioeconomic Pathways (SSP2-4.5 and SSP5-8.5), using projected LULC for 2050 and 2100. The Cellular Automata–Markov (CA–Markov) model has been utilized to generate future land use/land cover (LULC) scenarios demonstrating how land changes over spatial and temporal scale. Results show a marked decline in sediment retention and a rise in soil loss, especially under high-emission scenarios and cropland expansion. By 2100, cropland soil loss increased by 57.35%, while forest cover—a key determinant of sediment retention—declined from 45.41% in 2020 to 22.19%. When climate and land-use changes are considered together, they have a much greater effect on sediment loss, especially in cropland and built-up areas. These results highlight the vital role that forest conservation and adaptive land management, e.g., afforestation and sustainable agriculture, play in ensuring the continued availability of clean water in watersheds and in erosion control. The research provides policy-makers with real-life scenarios to draw on when sketching integrated watershed management plans aimed at reducing the negative effects of land use and climate change on soil stability and water resources in the LPP watershed. Full article
(This article belongs to the Section Agricultural Water Management)
Show Figures

Figure 1

19 pages, 2242 KB  
Article
Deriving Real-World Evidence from Non-English Electronic Medical Records in Hormone Receptor-Positive Breast Cancer Using Large Language Models
by Daur Meretukov, Katerina Grechukhina, Vladimir Evdokimov, Dmitry Didych, Sofia Kondratieva, Olga Rakitina, Alexander Gordeev, Polina Shilo, Igor Khatkov and Lyudmila Zhukova
Cancers 2025, 17(23), 3836; https://doi.org/10.3390/cancers17233836 - 29 Nov 2025
Viewed by 857
Abstract
Background/Objectives: Large language models (LLMs) have been proposed as a means of converting unstructured electronic medical records (EMRs) into structured datasets. However, concerns regarding the reliability of these models in non-English clinical text and their capacity to generate novel insights remain unresolved. We [...] Read more.
Background/Objectives: Large language models (LLMs) have been proposed as a means of converting unstructured electronic medical records (EMRs) into structured datasets. However, concerns regarding the reliability of these models in non-English clinical text and their capacity to generate novel insights remain unresolved. We aimed to utilize an LLM to identify a hypothetical “Luminal B poor-prognosis” breast cancer subgroup (LPP) based on progesterone receptor (PR), the Ki-67 proliferation index, and grade characteristics, while concurrently validating the LLM’s accuracy. Methods: We retrospectively compiled the EMRs on 7756 female breast cancer patients from five Moscow oncology centers. An LLM with a domain-engineered prompt extracted eight clinicopathological variables (Ki-67, estrogen receptor (ER)/PR Allred status, HER2 status, grade, relapse dates, and multiple primaries). The accuracy of the model was validated in 366 randomly sampled cases against oncologist annotations using Intraclass Correlation Coefficient (ICC) and weighted κ. Following data post-processing, the complete-case cohort (n = 2347) and the HR+/HER2− stage I–III sub-cohort (n = 1419) were analyzed. Survival was estimated with Kaplan–Meier/log-rank and modeled with Cox regression (adjusted for age, stage, and treatment). Ki-67 was modeled continuously; prespecified LPP definitions were compared. Results: LLM–human agreement was high (Ki-67 ICC = 0.882; grade κ = 0.887; ER κ = 0.997; PR κ = 0.975; HER2 κ = 0.935). Date extraction was characterized by a high degree of missing data. In HR+/HER2− stage I–III disease, ER < 5 was non-prognostic; however, PR < 4 and Ki-67 ≥ 40% were indicative of inferior survival (HR 2.25 and 1.85). The most effective LPP definition (PR < 4 and Ki-67 ≥ 40%) identified a subgroup (~5.3%) of patients with markedly poorer outcomes (age, stage, and treatment adjusted HR 2.60, 95% CI 1.53–4.43) compared to the Luminal B (HER2−) subgroup. Conclusions: The developed LLM has demonstrated the ability to reliably structure non-English EMRs and enable discovery of clinically meaningful subgroups. The discovered LPP phenotype defines a small, high-risk subset warranting external validation. Given the retrospective, single-system design of the study, it is imperative to interpret the discovered phenotype features as hypothesis-generating, rather than as definitive evidence. Full article
(This article belongs to the Section Cancer Informatics and Big Data)
Show Figures

Figure 1

20 pages, 5819 KB  
Article
Estimation of Soil Erosion and Enhancing Sediment Retention in the Lam Phra Phloeng Watershed: Insights from RUSLE and InVEST Modelling
by Uma Seeboonruang, Ranadheer Mandadi, Prapas Thammaboribal, Arlene L. Gonzales and Ganni S. V. S. A. Bharadwaz
Water 2025, 17(23), 3339; https://doi.org/10.3390/w17233339 - 21 Nov 2025
Cited by 3 | Viewed by 1110
Abstract
The increasing rate of land use change, particularly deforestation and agricultural expansion, has intensified soil degradation, leading to reduced sediment retention and accelerated soil erosion. This study aims to analyze soil erosion and sediment retention in the Lam Phra Phloeng (LPP) watershed, Thailand, [...] Read more.
The increasing rate of land use change, particularly deforestation and agricultural expansion, has intensified soil degradation, leading to reduced sediment retention and accelerated soil erosion. This study aims to analyze soil erosion and sediment retention in the Lam Phra Phloeng (LPP) watershed, Thailand, using a coupled modelling approach integrating the Revised Universal Soil Loss Equation (RUSLE) and the Sediment Delivery Ratio (SDR) model from the Integrated Valuation of Ecosystem Services and Tradeoffs (InVEST) suite. Six land use classes (forest, cropland, rangeland, flooded vegetation, built-up areas, and water bodies) were identified using Sentinel-2 MSI satellite data, with a Random Forest (RF) classification algorithm achieving an overall accuracy of 91.3% (Kappa coefficient = 0.89). The results indicate that forested areas exhibit the highest sediment retention, whereas croplands and rangelands experience the most significant soil loss due to erosion. The RUSLE model estimated an average annual soil loss ranging between 50 and 90 tons/ha/year, with the highest erosion rates observed in agricultural lands with steep slopes and minimal vegetation cover. The InVEST SDR model further corroborates these findings, showing that sediment retention is predominantly concentrated in densely vegetated areas, reinforcing the crucial role of natural forests in preventing soil displacement. This complementary modelling approach identifies priority areas for soil conservation practices. This study is the first study to integrate the RUSLE and InVEST models for the Lam Phra Phloeng watershed, providing a coupled assessment of erosion risk and sediment retention capacity and offering a novel and transferable framework for watershed-scale conservation planning and soil management in tropical monsoonal environments. Full article
(This article belongs to the Section Water Erosion and Sediment Transport)
Show Figures

Figure 1

32 pages, 33001 KB  
Article
Two Novel Sparse Models for Support Vector Machines
by Shuanghong Qu, Renato De Leone and Min Huang
Symmetry 2025, 17(11), 2004; https://doi.org/10.3390/sym17112004 - 19 Nov 2025
Viewed by 516
Abstract
Based on the Support Vector Machine (SVM) and Twin Parametric Margin SVM (TPMSVM), this paper proposes two sparse models, named Sparse SVM (SSVM) and Sparse TPMSVM (STPMSVM). The study aims to achieve high sparsity, rapid prediction, and strong generalization capability by transforming the [...] Read more.
Based on the Support Vector Machine (SVM) and Twin Parametric Margin SVM (TPMSVM), this paper proposes two sparse models, named Sparse SVM (SSVM) and Sparse TPMSVM (STPMSVM). The study aims to achieve high sparsity, rapid prediction, and strong generalization capability by transforming the classical quadratic programming problems (QPPs) into linear programming problems (LPPs). The core idea stems from a clear geometric motivation: introducing an 1-norm penalty on the dual variables to break the inherent rotational symmetry of the traditional 2-norm on the normal vector. Through a theoretical reformulation using the Karush–Kuhn–Tucker (KKT) conditions, we achieve a transformation from explicit symmetry-breaking to implicit structural constraints—the 1 penalty term does not appear explicitly in the final objective function, while the sparsity-inducing effect is fundamentally encoded within the objective functions and their constraints. Ultimately, the derived linear programming models naturally yield highly sparse solutions. Extensive experiments are conducted on multiple synthetic datasets under various noise conditions, as well as on 20 publicly available benchmark datasets. Results demonstrate that the two sparse models achieve significant sparsity at the support vectors level—on the benchmark datasets, SSVM, and STPMSVM reduce the number of support vectors by an average of 56.21% compared with conventional SVM, while STPMSVM achieves an average reduction of 39.11% compared with TPMSVM—thereby greatly improving prediction efficiency. Notably, SSVM maintains accuracy comparable to conventional SVM under low-noise conditions while attaining extreme sparsity and prediction efficiency. In contrast, STPMSVM offers enhanced robustness to noise and maintains a better balance between sparsity and accuracy, preserving the desirable properties of TPMSVM while improving prediction efficiency and robustness. Full article
(This article belongs to the Section Mathematics)
Show Figures

Figure 1

Back to TopTop