error_outline You can access the new MDPI.com website here. Explore and share your feedback with us.
 
 
Sign in to use this feature.

Years

Between: -

Subjects

remove_circle_outline
remove_circle_outline
remove_circle_outline
remove_circle_outline
remove_circle_outline
remove_circle_outline
remove_circle_outline
remove_circle_outline
remove_circle_outline

Journals

remove_circle_outline
remove_circle_outline
remove_circle_outline
remove_circle_outline
remove_circle_outline
remove_circle_outline
remove_circle_outline
remove_circle_outline
remove_circle_outline

Article Types

Countries / Regions

Search Results (191)

Search Parameters:
Keywords = Lithuanian case

Order results
Result details
Results per page
Select all
Export citation of selected articles as:
36 pages, 20755 KB  
Article
Advancing Geothermal Energy Recovery Through Reactive Transport Modelling and Horizontal Well Analysis: A Case Study of Lithuanian Reservoirs
by Abdul Rashid Abdul Nabi Memon and Mayur Pal
Processes 2026, 14(2), 203; https://doi.org/10.3390/pr14020203 - 7 Jan 2026
Abstract
The study underpins the geothermal energy potential of Cambrian reservoirs in Lithuania, which utilizes the use of reactive transport modelling to examine how different reinjection temperatures and flow rates affect mineral changes. The results are then applied to design field development plans, using [...] Read more.
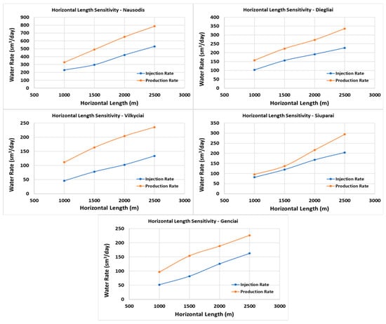
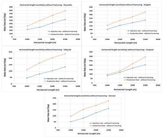
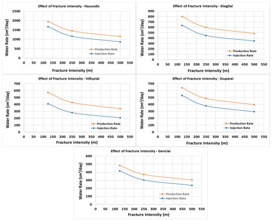
The study underpins the geothermal energy potential of Cambrian reservoirs in Lithuania, which utilizes the use of reactive transport modelling to examine how different reinjection temperatures and flow rates affect mineral changes. The results are then applied to design field development plans, using petroleum engineering methods such as horizontal wells and induced fracturing. The research study indicates that there are some changes in porosity and permeability over time due to mineral dissolution and precipitation because of injection rates, but no adverse effect of re-injection temperature was observed. Hence, a reinjection temperature of 40 °C is geochemically stable and suitable for long-term operation, with no significant effect on mineral behavior. Moreover, application of horizontal wells proves that there is a significant increase in water production and power (thermal) output due to improved reservoir exposure. Hydraulic fracturing further enhanced the performance and flow rates, concluding that, among all the sites studied, Nausodis demonstrated the highest thermal output, while Genciai showed the lowest potential due to limited reservoir temperature and productivity. Thus, research aims to improve power output by studying how well design, reinjection methods, and chemical reactions affect the reservoir, and it shows that using horizontal wells, fracturing, and proper reinjection temperature can help increase geothermal energy recovery in Lithuania. Full article
Show Figures

Figure 1

25 pages, 1704 KB  
Article
Creating Written Stories for Primary School Students Based on Personalized Mnemonics: The Case of One Lithuanian School
by Daiva Jakavonytė-Staškuvienė and Gabija Šarūnaitė
Educ. Sci. 2026, 16(1), 63; https://doi.org/10.3390/educsci16010063 - 3 Jan 2026
Viewed by 228
Abstract
Today, literacy is defined much more broadly, i.e., as the enabling ability to recognize, understand, interpret, create, and use various written materials in different contexts. Creative writing skills are developed in primary school, but it is difficult for students to express their thoughts [...] Read more.
Today, literacy is defined much more broadly, i.e., as the enabling ability to recognize, understand, interpret, create, and use various written materials in different contexts. Creative writing skills are developed in primary school, but it is difficult for students to express their thoughts in writing. This article presents how personalized creative writing prompts can help primary school students with different abilities improve their Lithuanian & General P narrative writing skills. Third-grade students (N = 14) from a private school in a large city participated in the study. An action research approach was applied, preceded by a diagnostic assessment of students’ creative writing skills, during which the essays were written without the aid of prompts. The experiences of each student were also described, as the children composed written narratives using prompts. After analysing the students’ work, progress was noted in all areas of text creation: from the use of vivid language elements in writing, the use of connecting words in sentences, to corrected spelling and punctuation errors. Full article
Show Figures

Figure 1

15 pages, 333 KB  
Article
The Role of Digital Innovation in Fostering Sustainability: A Lithuanian Comparative Case Study of Public and Private Museums
by Tomas Kačerauskas and Salvatore Schinello
Sustainability 2025, 17(24), 11297; https://doi.org/10.3390/su172411297 - 17 Dec 2025
Viewed by 271
Abstract
The aim of this study is to analyze how public and private museums adopt digital innovations and to evaluate their contribution to sustainability strategies. The study explores the reasons for implementing digital innovation in museums, how digital innovation contributes to museums’ sustainability, and [...] Read more.
The aim of this study is to analyze how public and private museums adopt digital innovations and to evaluate their contribution to sustainability strategies. The study explores the reasons for implementing digital innovation in museums, how digital innovation contributes to museums’ sustainability, and how museums’ governance model (state-funded or private) influences their capacity for digital innovation and sustainability. The analysis uses a multiple-case study in Lithuania, focusing on the following three museums in Vilnius: the state-funded Lithuanian National Museum, the privately managed MO Museum, and the Lithuanian Art Centre TARTLE. Empirical insights come from semi-structured interviews with museum representatives. Data are collected through online interaction and included in the study dataset. The findings show a clear tendency among museums to adopt digital innovations both to make the visitor experience more interactive and immersive, and to enhance internal management. The results suggest that the adoption of such innovations depends less on the museum’s form (public or private) and more on its size and related financial capacities. Large museums—whether public or private—have more financial capacity to implement digital innovations than smaller ones. Still, the results show that the lack of funds for technological innovations does not prevent museums from achieving sustainability. This research contributes to the field of sustainability by reviewing the scientific literature on the aspects of sustainability (economic, social, environmental, cultural, communicative) in museums’ digital innovation, and by offering exploratory insights from the Lithuanian context into the strategies that museums use to implement digital innovation and promote sustainable development. Full article
Show Figures

Figure 1

15 pages, 259 KB  
Article
Confronting Patients’ Refusal to Undergo Treatment: A Cross-Sectional Study of Ethical Attitudes and Intended Behaviour Among Lithuanian Physicians
by Asta Čekanauskaitė, Karolina Lukošienė, Jelizaveta Krotova, Džiugilė Kersnauskaitė, Benedikt Bachmetjev, Artur Airapetian and Marija Jakubauskienė
Healthcare 2025, 13(22), 2974; https://doi.org/10.3390/healthcare13222974 - 19 Nov 2025
Viewed by 653
Abstract
Introduction: Refusal to undergo treatment, including one of its manifestations, discharge against medical advice, must be informed, just as consent is, which is considered a core ethical principle in contemporary medical ethics. The aim of this study was to explore physicians’ attitudes and [...] Read more.
Introduction: Refusal to undergo treatment, including one of its manifestations, discharge against medical advice, must be informed, just as consent is, which is considered a core ethical principle in contemporary medical ethics. The aim of this study was to explore physicians’ attitudes and intended behaviour toward patients’ refusal of necessary treatment and to identify factors associated with their clinical decisions in such situations. Methods: A cross-sectional anonymous online survey of 393 physicians working in Lithuanian public hospitals was conducted between November 2020 and March 2021 using the secure national platform manoapklausa.lt. A convenience sampling strategy ensured representation of both large university and smaller regional hospitals, and all responses were complete due to mandatory fields in the questionnaire. Results: Most physicians (85%; 95% CI 81.2 to 88.5) have encountered situations of refusal to undergo treatment. Women (p < 0.05) and senior physicians (aged 51 years and over) (p < 0.05) tend to apply treatment without patients’ consent more often in all clinical cases, especially in surgical ones (VN1 and VN2). Difficulty in the decision-making process was associated with chronic conditions and the influence of individual religious beliefs. Insufficient patient information on the intervention was indicated as the main cause of refusal to undergo treatment (62.9%; 95% CI 58.0 to 67.4). Refusal to undergo treatment was associated with physicians’ concern about the patient (57.5%; 95% CI 52.7 to 62.3) and anxiety (38.9%; 95% CI 34.1 to 43.8). Physicians’ attitudes towards patients’ refusal to undergo treatment reflect paternalistic patterns and are mainly associated with the physician’s older age, gender, and duration of professional experience. Insufficient patient information on the intervention was indicated as the most important factor determining patients’ refusal to undergo treatment. Under Lithuanian law, patients have a clear legal right to refuse treatment, and physicians who proceed without consent may face criminal liability. Conclusions: Our findings show that, despite the legal restrictions, many physicians would still choose to treat against a patient’s will, reflecting a persistent paternalistic attitude even in the presence of clear legal prohibitions. Full article
(This article belongs to the Section Public Health and Preventive Medicine)
28 pages, 4866 KB  
Article
Modelling the Impact of Engineered Barrier Degradation on Radionuclide Release from a Lithuanian Near-Surface Repository
by Povilas Balčius, Dalia Grigaliūnienė, Gytis Bartkus and Povilas Poškas
Appl. Sci. 2025, 15(22), 12253; https://doi.org/10.3390/app152212253 - 18 Nov 2025
Viewed by 349
Abstract
Cementitious materials are widely used as engineered barriers in radioactive waste repositories due to their low permeability and ability to sorb radionuclides. However, the degradation of concrete under detrimental environmental impacts alters its ability to sorb radionuclides and may increase radionuclide release from [...] Read more.
Cementitious materials are widely used as engineered barriers in radioactive waste repositories due to their low permeability and ability to sorb radionuclides. However, the degradation of concrete under detrimental environmental impacts alters its ability to sorb radionuclides and may increase radionuclide release from the repository. The aim of this work was to investigate the effect of concrete barrier degradation on radionuclide migration in the near field of the Lithuanian near-surface repository. At first, changes in geochemical conditions in the repository were evaluated, and concrete degradation stages were defined using a reactive transport model. Then, sorption values (Kd values) corresponding to concrete degradation stages at different locations in the repository were selected, and radionuclide migration from the repository was modelled. Temporal as well as spatial changes in radionuclide sorption were taken into account. Long-lived weakly, moderately and strongly sorbed radionuclides (129I, 59Ni and 239Pu, respectively) were considered. It was found that, under the assumed conditions, changes in sorption values had no impact on 129I flux from the repository. Considering concrete degradation, 59Ni release was twice as high as in the case of non-degrading concrete, while 239Pu flux was similar to that obtained assuming constant sorption, as in degraded concrete. Full article
(This article belongs to the Section Environmental Sciences)
Show Figures

Figure 1

17 pages, 658 KB  
Article
Learning Through Cooperation in the Activities of 1st-Grade Pupils (7 Years Old) Using the Lesson Study Methodology: The Case of One Lithuanian School
by Daiva Jakavonytė-Staškuvienė and Renata Bernotienė
Educ. Sci. 2025, 15(10), 1303; https://doi.org/10.3390/educsci15101303 - 2 Oct 2025
Viewed by 964
Abstract
The aim of the study is to describe the behavior of 1st-grade pupils (7 years old) when they work together in small groups of 3, based on data from teacher observation protocols. This article aims to reveal the characteristics of cooperative learning among [...] Read more.
The aim of the study is to describe the behavior of 1st-grade pupils (7 years old) when they work together in small groups of 3, based on data from teacher observation protocols. This article aims to reveal the characteristics of cooperative learning among 1st-grade primary school pupils. Teachers in 1st grade often avoid doing this, arguing that pupils are too young and unable to work and learn together with others. In order to reveal the deeper aspects of cooperative learning, a Lesson study methodology was chosen, and elements of cooperative learning were developed in three different 1st-grade mathematics classes at the same school, teaching the same content. The participants were all first-grade pupils in the school (82 pupils in 1st grade in total) and their 3 teachers. The research data was collected by teachers filling out protocols for observing pupils’ cooperation. The empirical part presents a qualitative content analysis of the observation sheets filled in by the teachers, revealing the experiences of cooperative learning in all three episodes of the Lesson study. The results show that 7-year-olds were able to work smoothly in cooperative groups of three because they were able to get along and help each other. Full article
(This article belongs to the Section Teacher Education)
Show Figures

Figure 1

11 pages, 2175 KB  
Case Report
First Case in Lithuania of an Autosomal Recessive Mutation in the DNAJC30 Gene as a Cause of Leber’s Hereditary Optic Neuropathy
by Liveta Sereikaite, Alvita Vilkeviciute, Brigita Glebauskiene, Rasa Traberg, Arvydas Gelzinis, Raimonda Piskiniene, Reda Zemaitiene, Rasa Ugenskiene and Rasa Liutkeviciene
Genes 2025, 16(9), 993; https://doi.org/10.3390/genes16090993 - 23 Aug 2025
Viewed by 947
Abstract
Background: Leber’s hereditary optic neuropathy (LHON) is the most common mitochondrial disorder and an inherited optic neuropathy. Recently, two different LHON inheritance types have been discovered: mitochondrially inherited LHON (mtLHON) and autosomal recessive LHON (arLHON). Our case report is the first diagnosed case [...] Read more.
Background: Leber’s hereditary optic neuropathy (LHON) is the most common mitochondrial disorder and an inherited optic neuropathy. Recently, two different LHON inheritance types have been discovered: mitochondrially inherited LHON (mtLHON) and autosomal recessive LHON (arLHON). Our case report is the first diagnosed case of arLHON in a patient of Lithuanian descent and confirms the DnaJ Heat Shock Protein Family (Hsp40) Member C30 (DNAJC30) c.152A>G p.(Tyr51Cys) founder variant. Case Presentation: A 34-year-old Lithuanian man complained of headache and sudden, painless loss of central vision in his right eye. On examination, the visual acuity of the right and left eyes was 0.1 and 1.0, respectively. Visual-field examination revealed a central scotoma in the right eye, and visual evoked potentials (VEPs) showed prolonged latency in both eyes. Optical coherence tomography showed thickening of the retinal nerve fiber layer in the upper quadrant of the optic disk in the left eye. Magnetic resonance imaging of the head showed evidence of optic nerve inflammation in the right eye. Blood tests were within normal range and showed no signs of inflammation. Retrobulbar neuritis of the right eye was suspected, and the patient was treated with steroids, which did not improve visual acuity. He later developed visual loss in the left eye as well. A genetic origin of the optic neuropathy was suspected, and a complete mitochondrial DNA analysis was performed, but it did not reveal any pathologic mutations. Over time, the visual acuity of both eyes slowly deteriorated, and the retinal nerve fiber layer (RNFL) thinning of the optic disks progressed. A multidisciplinary team of specialists concluded that vasculitis or infectious disease was unlikely to be the cause of the vision loss, and a genetic cause for the disease was still suspected, although a first-stage genetic test did not yield the diagnosis. Thirty-three months after disease onset, whole-exome sequencing revealed a pathogenic variant in the DNAJC30 gene, leading to the diagnosis of arLHON. Treatment with Idebenone was started 35 months after the onset of the disease, resulting in no significant worsening of the patient’s condition. Conclusion: This case highlights the importance of considering arLHON as a possible diagnosis for patients with optic neuropathy, because the phenotype of arLHON appears to be identical to that of mtLHON and cannot be distinguished by clinicians. Full article
(This article belongs to the Section Human Genomics and Genetic Diseases)
Show Figures

Figure 1

20 pages, 1819 KB  
Article
Empowering Industry 5.0: A Multicriteria Framework for Energy Sustainability in Industrial Companies
by Simona Skėrė, Paula Bastida-Molina, Paulius Skėrys and Pilar Molina-Palomares
Appl. Sci. 2025, 15(16), 9170; https://doi.org/10.3390/app15169170 - 20 Aug 2025
Viewed by 1057
Abstract
Industry 5.0 introduces a transformative vision for manufacturing by emphasizing human-centricity, sustainability, and resilience in tandem with advanced technologies. While Industry 4.0 focused on automation and connectivity, Industry 5.0 shifts the paradigm toward enhancing human involvement, environmental responsibility, and adaptive capacity. Despite growing [...] Read more.
Industry 5.0 introduces a transformative vision for manufacturing by emphasizing human-centricity, sustainability, and resilience in tandem with advanced technologies. While Industry 4.0 focused on automation and connectivity, Industry 5.0 shifts the paradigm toward enhancing human involvement, environmental responsibility, and adaptive capacity. Despite growing interest, there remains a lack of standardized metrics for evaluating Industry 5.0 implementation within companies. This paper proposes a comprehensive multicriteria evaluation framework to assess a company’s alignment with Industry 5.0 principles across ten key criteria from the human-centricity, sustainability and resilience sectors. A structured scoring system—ranging from A (full alignment) to E (no alignment)—was developed to quantify implementation maturity. The framework was applied to a medium-sized Lithuanian manufacturing company specializing in furniture components, providing a real-world case study to validate the method. The company received a low Industry 5.0 score, indicating poor alignment; however, targeted recommendations were proposed that could improve the score by nearly 70%, moving the company toward a well-aligned status. This study offers a practical tool for evaluating and guiding Industry 5.0 transitions in manufacturing contexts. Full article
Show Figures

Figure 1

13 pages, 365 KB  
Article
Lithuanian Study on COL4A3 and COL4A4 Genetic Variants in Alport Syndrome: Clinical Characterization of 52 Individuals from 38 Families
by Agne Cerkauskaite-Kerpauskiene, Milda Navickaite, Judy Savige, Gabija Mazur, Deimante Brazdziunaite, Karolis Azukaitis, Gerda Slazaite, Arvydas Laurinavicius, Marius Miglinas, Vija Vainutiene, Rasa Strupaite-Sileikiene, Ausrine Misevice, Vaiva Mickeviciene and Rimante Cerkauskiene
Int. J. Mol. Sci. 2025, 26(15), 7639; https://doi.org/10.3390/ijms26157639 - 7 Aug 2025
Viewed by 1541
Abstract
Variants in COL4A3 and COL4A4 cause autosomal dominant and recessive Alport syndrome, yet data on their distribution and clinical expression in different populations remain limited. This study investigated genotype–phenotype correlations and the distribution of COL4A3/COL4A4 variants in a Lithuanian Alport syndrome [...] Read more.
Variants in COL4A3 and COL4A4 cause autosomal dominant and recessive Alport syndrome, yet data on their distribution and clinical expression in different populations remain limited. This study investigated genotype–phenotype correlations and the distribution of COL4A3/COL4A4 variants in a Lithuanian Alport syndrome cohort. A total of 221 individuals from Lithuania were analyzed for COL4A3 and COL4A4 variants using either next-generation sequencing or Sanger sequencing in order to assess variant distribution and associated clinical features. Only individuals with pathogenic, likely pathogenic, or uncertain significance variants were included. Fifty-two individuals (38 index cases) with pathogenic, likely pathogenic, or variants of uncertain significance were identified, as follows: forty-eight were heterozygous, four had autosomal recessive, and four had digenic Alport syndrome. COL4A3 variants were found in 9.5% (21/221) and COL4A4 in 17.6% (39/221). Among the 28 identified variants, 18 were novel. Glycine substitutions (n = 8) were the most frequent and associated with worse kidney outcomes and increased hearing abnormalities. Hematuria was diagnosed significantly earlier than proteinuria (p = 0.05). Most individuals with autosomal dominant Alport syndrome had normal kidney function (eGFR > 90 mL/min/1.73 m2), while those with autosomal recessive Alport syndrome had more severe disease. Kidney failure occurred in 2/4 (50%) autosomal recessive Alport syndrome and 2/48 (4%) autosomal dominant Alport syndrome cases. A significant inverse correlation was found between eGFR and age in proteinuric individuals (r = –0.737; p = 0.013). This study expands knowledge of Alport syndrome in the Lithuanian population and contributes novel variant data to the global Alport syndrome genetic database. Full article
(This article belongs to the Special Issue Molecular Mechanisms and Regulation in Chronic Kidney Diseases)
Show Figures

Figure 1

10 pages, 250 KB  
Article
Bullying Experiences Among Lithuanian Adolescents: The Associations Between Subjective Happiness and Well-Being
by Margarita Kubilevičiūtė Sakalauskienė, Rokas Šambaras and Sigita Lesinskienė
Psychiatry Int. 2025, 6(3), 97; https://doi.org/10.3390/psychiatryint6030097 - 6 Aug 2025
Viewed by 1427
Abstract
Background: Bullying is a significant problem worldwide and in Lithuania, especially among children and adolescents. This study aimed to assess the associations of bullying with adolescents’ subjective sense of happiness and general health. Methods: A cross-sectional study was conducted using an anonymous written [...] Read more.
Background: Bullying is a significant problem worldwide and in Lithuania, especially among children and adolescents. This study aimed to assess the associations of bullying with adolescents’ subjective sense of happiness and general health. Methods: A cross-sectional study was conducted using an anonymous written questionnaire. Adolescents at various schools across Lithuanian cities and districts were surveyed to investigate the frequency of bullying among them over the past six months and its impact on their subjective sense of happiness and well-being. Results: This study included 4124 students from seventh to tenth grade; their average age was 14.48 ± 1.15 years, with 49.35% being boys. Over the past six months, the highest bullying incidence occurred at school, accounting for 25.79% of the cases. Only half of the respondents (48.81%) felt happy, and a little more than half felt healthy (63.11%). It was found that bullying at school (ρs = −0.224; ρs = −0.197), outside school (ρs = −0.207; ρs = −0.180), and online (ρs = −0.175; ρs = −0.110) is associated with adolescents’ sense of happiness and health. Conclusion: Bullying is common among Lithuanian adolescents and has a negative impact on their subjective happiness and well-being. It is crucial to develop prevention initiatives to decrease bullying in schools and within the community. Full article
26 pages, 1670 KB  
Article
The Impact of the Mobility Package on the Development of Sustainability in Logistics Companies: The Case of Lithuania
by Kristina Čižiūnienė, Monika Viduto, Artūras Petraška and Aldona Jarašūnienė
Sustainability 2025, 17(15), 6947; https://doi.org/10.3390/su17156947 - 31 Jul 2025
Viewed by 1297
Abstract
To ensure stability and transparency in the European logistics sector, in May 2017, the European Commission presented several proposals to change the regulation of the market—in particular, market access, driving and rest periods, and business trips. In the development of this package, several [...] Read more.
To ensure stability and transparency in the European logistics sector, in May 2017, the European Commission presented several proposals to change the regulation of the market—in particular, market access, driving and rest periods, and business trips. In the development of this package, several unfavourable decisions were made that go against Lithuanian transport companies, which will have a significant impact on the companies’ finances, as the frequent return of trucks will lead to additional fuel costs and is also in contradiction with the concept of green logistics. Thus, it is essential to study the Mobility Package’s pros and cons and compare researchers’ views. Accordingly, the subject of this article is the impact of the Mobility Package on Lithuanian logistics companies. This article employs various methods, including an analysis of the scientific literature and legislation, statistical data analysis, PEST analysis, and qualitative research based on expert interviews. The results allow us to identify that the content of the Mobility Package is driven by the goal of ensuring equivalent working conditions throughout the EU, which in this case is the most important object of the legal changes. Also, based on the results obtained, it can be stated that Lithuanian logistics companies that want to remain in the market have several solutions they can employ to achieve that goal, and to support their efforts, a competitiveness improvement model for Lithuanian logistics companies has been developed. Full article
(This article belongs to the Section Sustainable Transportation)
Show Figures

Figure 1

26 pages, 6390 KB  
Article
The Impact of Land Use Patterns on Nitrogen Dioxide: A Case Study of Klaipėda City and Lithuanian Resort Areas
by Aistė Andriulė, Erika Vasiliauskienė, Remigijus Dailidė and Inga Dailidienė
Sustainability 2025, 17(15), 6939; https://doi.org/10.3390/su17156939 - 30 Jul 2025
Viewed by 1022
Abstract
Urban air pollution remains a significant environmental and public health issue, especially in European coastal cities such as Klaipėda. However, there is still a lack of local-scale knowledge on how land use structure influences pollutant distribution, highlighting the need to address this gap. [...] Read more.
Urban air pollution remains a significant environmental and public health issue, especially in European coastal cities such as Klaipėda. However, there is still a lack of local-scale knowledge on how land use structure influences pollutant distribution, highlighting the need to address this gap. This study addresses this by examining the spatial distribution of nitrogen dioxide (NO2) concentrations in Klaipėda’s seaport city and several inland and coastal resort towns in Lithuania. The research specifically asks how different land cover types and demographic factors affect NO2 variability and population exposure risk. Data were collected using passive sampling methods and analyzed within a GIS environment. The results revealed clear air quality differences between industrial/port zones and greener resort areas, confirmed by statistically significant associations between land cover types and pollutant levels. Based on these findings, a Land Use Pollution Pressure index (LUPP) and its population-weighted variant (PLUPP) were developed to capture demographic sensitivity. These indices provide a practical decision-support tool for sustainable urban planning, enabling the assessment of pollution risks and the forecasting of air quality changes under different land use scenarios, while contributing to local climate adaptation and urban environmental governance. Full article
(This article belongs to the Special Issue Sustainable Land Use and Management, 2nd Edition)
Show Figures

Figure 1

19 pages, 459 KB  
Article
Exploring Opportunities and Challenges of AI in Primary Healthcare: A Qualitative Study with Family Doctors in Lithuania
by Kotryna Ratkevičiūtė and Vygintas Aliukonis
Healthcare 2025, 13(12), 1429; https://doi.org/10.3390/healthcare13121429 - 14 Jun 2025
Cited by 2 | Viewed by 2241
Abstract
Background and Objectives: AI is transforming healthcare, with family doctors at the forefront. As primary care providers, they play a key role in integrating AI into patient care. Despite AI’s potential, concerns about trust, data privacy, and physician autonomy persist. Little research exists [...] Read more.
Background and Objectives: AI is transforming healthcare, with family doctors at the forefront. As primary care providers, they play a key role in integrating AI into patient care. Despite AI’s potential, concerns about trust, data privacy, and physician autonomy persist. Little research exists on family doctors’ perspectives. This study investigates the views of Lithuanian family physicians on AI’s ethical challenges and benefits, aiming to support responsible implementation. Materials and Methods: A review of the literature was conducted (2015–2025) using Google Scholar, PubMed, and Scopus. This qualitative study explored family physicians’ perceptions of AI in Lithuania, focusing on ethics, AI’s role, experience, training, and concerns about replacement. Informed consent and ethical guidelines were followed. Results: AI has strong potential in family medicine, automating administrative tasks, improving diagnostic accuracy, and supporting patient autonomy. AI tools, like clinical documentation systems and smart devices save time, allowing physicians to focus on patient care. They also improve diagnostic precision, enabling earlier detection of conditions such as cancer and coronary artery disease. Physicians express concerns about AI’s reliability, biases, and data privacy. While AI boosts efficiency, many emphasize the importance of human oversight in decision-making, especially in complex cases. Privacy concerns around health data and the need for stricter regulations are crucial. Lithuanian family physicians generally accept AI as a helpful tool for routine tasks but remain cautious regarding its trustworthiness. Job displacement concerns were not prevalent, with AI seen as a tool to augment rather than replace their role. Successful AI integration requires training, transparency, and ethical guidelines to build trust and ensure patient safety. Conclusions: AI enhances efficiency in family medicine but requires structured training and ethical safeguards to address concerns about data privacy, accountability, and bias. AI is viewed as supportive, not as a replacement. Full article
Show Figures

Figure 1

20 pages, 650 KB  
Article
From Policy to Outcome: How Economic Conditions and National Funding Affect Graduation Rates: Case of Lithuanian Universities
by Gintarė Židonė and Rytis Krušinskas
Economies 2025, 13(6), 170; https://doi.org/10.3390/economies13060170 - 12 Jun 2025
Cited by 1 | Viewed by 1516
Abstract
This study examines how national public funding and macroeconomic conditions affect higher education performance, measured by graduation rates. A panel dataset covering 2013–2022 and ten Lithuanian public universities integrates economic, financial, and institutional variables. Lithuania applies a mixed higher education funding model that [...] Read more.
This study examines how national public funding and macroeconomic conditions affect higher education performance, measured by graduation rates. A panel dataset covering 2013–2022 and ten Lithuanian public universities integrates economic, financial, and institutional variables. Lithuania applies a mixed higher education funding model that combines institutional support with elements of student-based financing, where part of the public resources follow individual enrollment patterns. Both immediate and lagged effects are analyzed using multiple regression models with time-lag factors. A review of academic literature indicates that increased funding does not necessarily lead to better outcomes; instead, the strategic allocation of resources to priority areas is particularly important. The results confirm that macroeconomic factors are statistically significant and that overall public funding does not have a positive impact unless it is allocated efficiently. On the contrary, funding directed toward research and infrastructure consistently shows a positive effect. These findings underscore the importance of evaluating the effectiveness of education policy through lagged impact analysis. Full article
Show Figures

Figure 1

21 pages, 2830 KB  
Article
Identifying and Assessing Vulnerable Micro-Enterprises in Lithuania
by Viktorija Bobinaite, Eimantas Neniskis, Inga Konstantinaviciute and Dalius Tarvydas
Sustainability 2025, 17(12), 5405; https://doi.org/10.3390/su17125405 - 11 Jun 2025
Viewed by 1181
Abstract
The aim of this research was to clarify the concept of vulnerable micro-enterprises (MEs) and develop a set of indicators for identifying and analyzing developments in vulnerable MEs in “catching up” economies in the context of the regulation on the Social Climate Fund [...] Read more.
The aim of this research was to clarify the concept of vulnerable micro-enterprises (MEs) and develop a set of indicators for identifying and analyzing developments in vulnerable MEs in “catching up” economies in the context of the regulation on the Social Climate Fund (SCF). The case of Lithuania is studied. A retrospective analysis of business structure research indicators during the period from 2010 to 2023 was carried out. The method of the median was applied to determine thresholds of indicators above (below) which a ME is considered vulnerable. Absolute and relative business structure research indicators were calculated to provide estimates of the number of vulnerable MEs and reveal their role in the economy. The results revealed the number and share of vulnerable MEs which experienced high fuel expenditure (above the median (1M), 1.5M, or 2M). Historically, these MEs created a share of added value and provided employment opportunities. The share was found to vary in accordance with economic activity and the Lithuanian municipality, suggesting that the distribution of financing from the SCF should consider aspects of economic activity and regionality. A number of MEs had an essential share of fuel expenditure in their total operating costs. Vulnerable MEs demonstrate low or negative profitability, and may be insolvent; therefore, they cannot invest in building renovation or environmentally friendly transport. Thus, the research results indicate the need for discussions regarding financing vulnerable MEs in Lithuania. Full article
Show Figures

Figure 1

Back to TopTop