Sign in to use this feature.

Years

Between: -

Subjects

remove_circle_outline
remove_circle_outline
remove_circle_outline
remove_circle_outline
remove_circle_outline
remove_circle_outline
remove_circle_outline

Journals

Article Types

Countries / Regions

Search Results (24)

Search Parameters:
Keywords = Lifshitz forces

Order results
Result details
Results per page
Select all
Export citation of selected articles as:
38 pages, 792 KB  
Article
First and Second Law of Thermodynamics Constraints in the Lifshitz Theory of Dispersion Forces
by Fabrizio Pinto
Atoms 2025, 13(11), 87; https://doi.org/10.3390/atoms13110087 - 5 Nov 2025
Viewed by 181
Abstract
The presence of dominant interatomic dispersion forces on the nanoscale holds the promise for breakthrough applications in key areas of quantum sensing, such as accelerometry, as well as nano-manipulation and energy storage. In order to do work, nano-machines enabled by dispersion forces must [...] Read more.
The presence of dominant interatomic dispersion forces on the nanoscale holds the promise for breakthrough applications in key areas of quantum sensing, such as accelerometry, as well as nano-manipulation and energy storage. In order to do work, nano-machines enabled by dispersion forces must exchange energy with the surrounding environment. Such processes can be described in terms of thermodynamical engine cycles involving individual atoms or material boundaries, separated by possibly empty gaps and interacting via time-dependent dispersion forces. The fundamental strategy indispensable to achieve dispersion force time-modulation, demonstrated experimentally by independent groups on different scales, is based on the illumination of interacting, semiconducting elements by appropriate radiation beams. Here we analyze the operation of ideal nano-engines in the quasi-static regime by means of the Lifshitz theory of dispersion forces involving semiconducting boundary or atom irradiation. Firstly, we verify that the First Law of Thermodynamics is satisfied so that the total energy of the system is rigorously conserved. Secondly, we show that, within this first approximate treatment, the Second Law of Thermodynamics may be violated for extremely small interboundary gap widths. We identify important limitations to be addressed to determine whether this is a reliable conclusion. The technological and historic backdrops are presented, and important topics for future research are identified. Full article
Show Figures

Figure 1

18 pages, 1348 KB  
Article
Adhesion Energy for Nonideal Cantilever and Its Relation to Casimir–Lifshitz Forces
by Ivan A. Soldatenkov and Vitaly B. Svetovoy
Physics 2024, 6(4), 1204-1221; https://doi.org/10.3390/physics6040074 - 23 Oct 2024
Cited by 4 | Viewed by 1881
Abstract
The method of the adhered cantilever, borrowed from microtechnology, can help in gaining fundamental knowledge about dispersion forces acting at distances of about 10 nm, which are problematic to access in the usual Casimir-type experiments. A recently presented setup measures the shape of [...] Read more.
The method of the adhered cantilever, borrowed from microtechnology, can help in gaining fundamental knowledge about dispersion forces acting at distances of about 10 nm, which are problematic to access in the usual Casimir-type experiments. A recently presented setup measures the shape of cantilevers with high precision, which is needed for analyzing the involved forces. The first measurements reveal several nonidealities crucial for the data analysis. In this paper, a generalized formula is deduced that relates the parameters of a cantilever to the adhesion energy. The application of the formula is demonstrated using the first test result from the setup, where a silicon cantilever adhered to a substrate sputters with ruthenium. Detailed information of the roughness of interacting surfaces, which deviates significantly from the normal distribution, is emphasized. Although not crucial, the electrostatic contribution can be significant due to the slight twisting of the cantilever. The theoretical prediction of the adhesion energy is based on Lifshitz theory. Comparing theory and experiment yields a contact distance of 45 nm and an adhesion energy of 1.3 µJ/m2, resulting from the Casimir–Lifshitz forces. Significant uncertainties arise from the uncontrolled electrostatic contribution. Factors that need to be addressed to measure weak adhesion between rough surfaces are highlighted. Full article
(This article belongs to the Section Classical Physics)
Show Figures

Figure 1

12 pages, 305 KB  
Article
Semi-Classical Electrodynamics and the Casimir Effect
by Mathias Boström, Ayda Gholamhosseinian, Subhojit Pal, Yang Li and Iver Brevik
Physics 2024, 6(1), 456-467; https://doi.org/10.3390/physics6010030 - 19 Mar 2024
Cited by 4 | Viewed by 2917
Abstract
From the late 1960s onwards, the groups of Barry Ninham and Adrian Parsegian, and their many collaborators, made a number of essential contributions to theory and experiment of intermolecular forces. In particular, they explored the semi-classical theory: Maxwell’s equations and Planck quantization of [...] Read more.
From the late 1960s onwards, the groups of Barry Ninham and Adrian Parsegian, and their many collaborators, made a number of essential contributions to theory and experiment of intermolecular forces. In particular, they explored the semi-classical theory: Maxwell’s equations and Planck quantization of light leads to Lifshitz and Casimir interactions. We discuss some selected thought-provoking results from Ninham and his group. Some of the results have been conceived as controversial but, we would say, never uninteresting. Full article
(This article belongs to the Special Issue 75 Years of the Casimir Effect: Advances and Prospects)
18 pages, 3846 KB  
Article
Casimir–Lifshitz Frictional Heating in a System of Parallel Metallic Plates
by George V. Dedkov
Physics 2024, 6(1), 13-30; https://doi.org/10.3390/physics6010002 - 27 Dec 2023
Cited by 4 | Viewed by 1742
Abstract
The Casimir–Lifshitz force of friction between neutral bodies in relative motion, along with the drag effect, causes their heating. This paper considers this frictional heating in a system of two metal plates within the framework of fluctuation electromagnetic theory. Analytical expressions for the [...] Read more.
The Casimir–Lifshitz force of friction between neutral bodies in relative motion, along with the drag effect, causes their heating. This paper considers this frictional heating in a system of two metal plates within the framework of fluctuation electromagnetic theory. Analytical expressions for the friction force in the limiting cases of low (zero) temperature and low and high speeds, as well as general expressions describing the kinetics of heating, have been obtained. It is shown that the combination of low temperatures (T < 10 K) and velocities of 10–103 m/s provides the most favorable conditions when measuring the Casimir–Lifshitz friction force from heat measurements. In particular, the friction force of two coaxial disks of gold 10 cm in diameter and 500 nm in thickness, one of which rotates at a frequency of 10–103 rps (revolutions per second), can be measured using the heating effect of 1–2 K in less than 1 min. A possible experimental layout is discussed. Full article
(This article belongs to the Special Issue 75 Years of the Casimir Effect: Advances and Prospects)
Show Figures

Figure 1

18 pages, 1078 KB  
Article
The Casimir Force between Two Graphene Sheets: 2D Fresnel Reflection Coefficients, Contributions of Different Polarizations, and the Role of Evanescent Waves
by Galina L. Klimchitskaya and Vladimir M. Mostepanenko
Physics 2023, 5(4), 1013-1030; https://doi.org/10.3390/physics5040066 - 25 Oct 2023
Cited by 6 | Viewed by 2699
Abstract
We consider the Casimir pressure between two graphene sheets and contributions to it determined by evanescent and propagating waves with different polarizations. For this purpose, the derivation of the 2-dimensional (2D) Fresnel reflection coefficients on a graphene sheet is presented in terms of [...] Read more.
We consider the Casimir pressure between two graphene sheets and contributions to it determined by evanescent and propagating waves with different polarizations. For this purpose, the derivation of the 2-dimensional (2D) Fresnel reflection coefficients on a graphene sheet is presented in terms of the transverse and longitudinal dielectric permittivities of graphene with due account of the spatial dispersion. The explicit expressions for both dielectric permittivities as the functions of the 2D wave vector, frequency, and temperature are written along the real frequency axis in the regions of propagating and evanescent waves and at the pure imaginary Matsubara frequencies using the polarization tensor of graphene. It is shown that in the application region of the Dirac model nearly the total value of the Casimir pressure between two graphene sheets is determined by the electromagnetic field with transverse magnetic (TM) polarization. By using the Lifshitz formula written along the real frequency axis, the contributions of the TM-polarized propagating and evanescent waves into the total pressure are determined. By confronting these results with the analogous results found for plates made of real metals, the way for bringing the Lifshitz theory using the realistic response functions in agreement with measurements of the Casimir force between metallic test bodies is pointed out. Full article
(This article belongs to the Special Issue 75 Years of the Casimir Effect: Advances and Prospects)
Show Figures

Figure 1

16 pages, 482 KB  
Article
Casimir Effect Invalidates the Drude Model for Transverse Electric Evanescent Waves
by Galina L. Klimchitskaya and Vladimir M. Mostepanenko
Physics 2023, 5(4), 952-967; https://doi.org/10.3390/physics5040062 - 27 Sep 2023
Cited by 14 | Viewed by 3345
Abstract
We consider the Casimir pressure between two metallic plates and calculate the four contributions to it determined by the propagating and evanescent waves and by the transverse magnetic and transverse electric polarizations of the electromagnetic field. The range of interplate separations is considered [...] Read more.
We consider the Casimir pressure between two metallic plates and calculate the four contributions to it determined by the propagating and evanescent waves and by the transverse magnetic and transverse electric polarizations of the electromagnetic field. The range of interplate separations is considered where nearly the whole pressure has its origin in the electromagnetic response of conduction electrons. In the Casimir physics, this response is described either by the dissipative Drude model resulting in contradictions with the measurement data or by the experimentally consistent but dissipationless plasma model. It is shown that the total transverse magnetic contribution to the Casimir pressure due to both the propagating and evanescent waves and the transverse electric contribution due to only the propagating waves, computed by means of the Drude model, correlate well with the corresponding results obtained using the plasma model. We conclude that the disagreement between the theoretical predictions obtained using the Drude model and precision measurements of the Casimir force is not caused by the account of dissipation in itself, but arises from an incorrect description of the response of metals to the low-frequency transverse electric evanescent waves by this model. It is demonstrated that the Drude model has no supporting experimental evidence in the range of transverse electric evanescent waves, so that the above conclusion is consistent with all available information. The alternative test of the Drude model for the transverse electric evanescent waves suggested in the framework of classical electrodynamics is discussed. Full article
(This article belongs to the Special Issue 75 Years of the Casimir Effect: Advances and Prospects)
Show Figures

Figure 1

20 pages, 644 KB  
Article
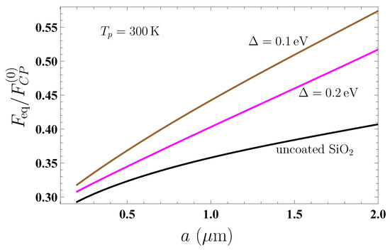
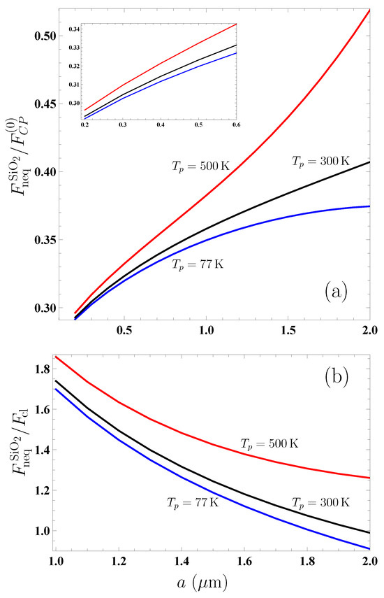
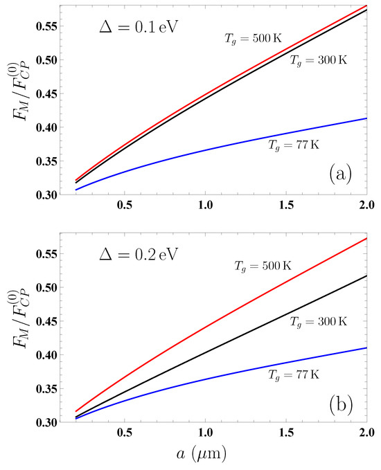
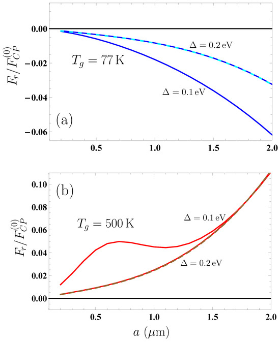
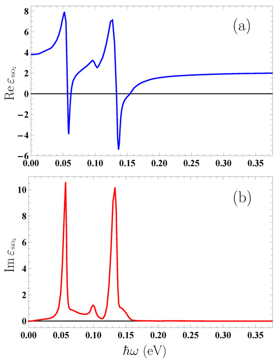
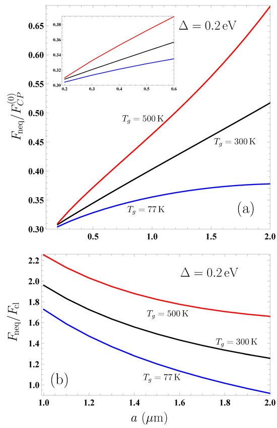
Nonequilibrium Casimir–Polder Interaction between Nanoparticles and Substrates Coated with Gapped Graphene
by Galina L. Klimchitskaya, Constantine C. Korikov, Vladimir M. Mostepanenko and Oleg Yu. Tsybin
Symmetry 2023, 15(8), 1580; https://doi.org/10.3390/sym15081580 - 13 Aug 2023
Cited by 6 | Viewed by 1397 | Correction
Abstract
The out-of-thermal-equilibrium Casimir–Polder force between nanoparticles and dielectric substrates coated with gapped graphene is considered in the framework of the Dirac model using the formalism of the polarization tensor. This is an example of physical phenomena violating the time-reversal symmetry. After presenting the [...] Read more.
The out-of-thermal-equilibrium Casimir–Polder force between nanoparticles and dielectric substrates coated with gapped graphene is considered in the framework of the Dirac model using the formalism of the polarization tensor. This is an example of physical phenomena violating the time-reversal symmetry. After presenting the main points of the used formalism, we calculate two contributions to the Casimir–Polder force acting on a nanoparticle on the source side of a fused silica glass substrate coated with gapped graphene, which is either cooler or hotter than the environment. The total nonequilibrium force magnitudes are computed as a function of separation for different values of the energy gap and compared with those from an uncoated plate and with the equilibrium force in the presence of graphene coating. According to our results, the presence of a substrate increases the magnitude of the nonequlibrium force. The force magnitude becomes larger with higher and smaller with lower temperature of the graphene-coated substrate as compared to the equilibrium force at the environmental temperature. It is shown that, with increasing energy gap, the magnitude of the nonequilibrium force becomes smaller, and the graphene coating makes a lesser impact on the force acting on a nanoparticle from the uncoated substrate. Possible applications of the obtained results are discussed. Full article
(This article belongs to the Section Physics)
Show Figures

Figure 1

17 pages, 1005 KB  
Article
Casimir–Polder Force on Atoms or Nanoparticles from Gapped and Doped Graphene: Asymptotic Behavior at Large Separations
by Galina L. Klimchitskaya and Vladimir M. Mostepanenko
C 2023, 9(3), 64; https://doi.org/10.3390/c9030064 - 4 Jul 2023
Cited by 2 | Viewed by 2202
Abstract
The Casimir–Polder force acting on atoms and nanoparticles spaced at large separations from real graphene sheets possessing some energy gaps and chemical potentials is investigated in the framework of the Lifshitz theory. The reflection coefficients expressed via the polarization tensor of graphene, found [...] Read more.
The Casimir–Polder force acting on atoms and nanoparticles spaced at large separations from real graphene sheets possessing some energy gaps and chemical potentials is investigated in the framework of the Lifshitz theory. The reflection coefficients expressed via the polarization tensor of graphene, found based on the first principles of thermal quantum field theory, are used. It is shown that for graphene the separation distances, starting from which the zero-frequency term of the Lifshitz formula contributes more than 99% of the total Casimir–Polder force, are less than the standard thermal length. According to our results, however, the classical limit for graphene, where the force becomes independent of the Planck constant, may be reached at much larger separations than the limit of the large separations determined by the zero-frequency term of the Lifshitz formula, depending on the values of the energy gap and chemical potential. The analytic asymptotic expressions for the zero-frequency term of the Lifshitz formula at large separations are derived. These asymptotic expressions agree up to 1% with the results of numerical computations starting from some separation distances that increase with increasing energy gaps and decrease with increasing chemical potentials. The possible applications of the obtained results are discussed. Full article
Show Figures

Figure 1

16 pages, 1016 KB  
Article
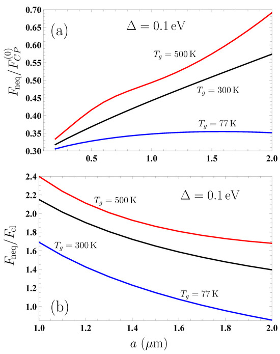
Impact of Mass-Gap on the Dispersion Interaction of Nanoparticles with Graphene out of Thermal Equilibrium
by Galina L. Klimchitskaya, Constantine C. Korikov, Vladimir M. Mostepanenko and Oleg Yu. Tsybin
Appl. Sci. 2023, 13(13), 7511; https://doi.org/10.3390/app13137511 - 25 Jun 2023
Cited by 6 | Viewed by 1669
Abstract
We consider the nonequilibrium dispersion force acting on nanoparticles on the source side of a gapped graphene sheet. Nanoparticles are kept at the environmental temperature, whereas the graphene sheet may be either cooler or hotter than the environment. Calculation of the dispersion force [...] Read more.
We consider the nonequilibrium dispersion force acting on nanoparticles on the source side of a gapped graphene sheet. Nanoparticles are kept at the environmental temperature, whereas the graphene sheet may be either cooler or hotter than the environment. Calculation of the dispersion force as a function of separation at different values of the mass-gap parameter is performed using the generalization of the fundamental Lifshitz theory to out-of-thermal-equilibrium conditions. The response of the gapped graphene to quantum and thermal fluctuations in the electromagnetic field is described by the polarization tensor in (2+1)-dimensional space–time in the framework of the Dirac model. The explicit expressions for the components of this tensor in the area of evanescent waves are presented. The nontrivial impact of the mass-gap parameter of graphene on the nonequilibrium dispersion force, as compared to the equilibrium one, is determined. It is shown that, unlike the case of pristine graphene, the nonequilibrium force preserves an attractive character. The possibilities of using the obtained results in the design of micro- and nanodevices, incorporating nanoparticles and graphene sheets for their functionality, is discussed. Full article
Show Figures

Figure 1

13 pages, 1007 KB  
Article
Comparison of the Lifshitz Theory Using the Nonconventional Fit of Response Functions with Precise Measurements of the Casimir Force
by Galina L. Klimchitskaya and Vladimir M. Mostepanenko
Symmetry 2023, 15(5), 1011; https://doi.org/10.3390/sym15051011 - 1 May 2023
Viewed by 1826
Abstract
It is known that the fundamental Lifshitz theory, which is based on the first principles of thermal quantum field theory, experiences difficulties when compared with precise measurements of the Casimir force. We analyzed the nonconventional fit of the response functions of many materials [...] Read more.
It is known that the fundamental Lifshitz theory, which is based on the first principles of thermal quantum field theory, experiences difficulties when compared with precise measurements of the Casimir force. We analyzed the nonconventional fit of the response functions of many materials along the imaginary frequency axis to the empirical model of “modified” oscillators, which was recently proposed in the literature. According to our results, this model is unacceptable because at high frequencies it leads to the asymptotic behavior of the response functions, which is in contradiction with that following from the fundamental physical principles. We calculated the Casimir interaction in the configurations of several precise experiments using the Lifshitz theory and the response functions to the quantized electromagnetic field expressed in terms of modified oscillators and demonstrated that the obtained results are excluded by the measurement data. This invalidated a claim made in the literature that the Casimir–van der Waals forces calculated using these response functions are in remarkable agreement with the experimental values. Possible reasons for a disagreement between experiment and theory are discussed, and the way to improve the situation is indicated. Full article
Show Figures

Figure 1

9 pages, 1030 KB  
Communication
Finite-Size Effects of Casimir–van der Waals Forces in the Self-Assembly of Nanoparticles
by Raul Esquivel-Sirvent
Physics 2023, 5(1), 322-330; https://doi.org/10.3390/physics5010024 - 21 Mar 2023
Cited by 12 | Viewed by 4005
Abstract
Casimir–van der Waals forces are important in the self-assembly processes of nanoparticles. In this paper, using a hybrid approach based on Lifshitz theory of Casimir–van der Waals interactions and corrections due to the shape of the nanoparticles, it is shown that for non-spherical [...] Read more.
Casimir–van der Waals forces are important in the self-assembly processes of nanoparticles. In this paper, using a hybrid approach based on Lifshitz theory of Casimir–van der Waals interactions and corrections due to the shape of the nanoparticles, it is shown that for non-spherical nanoparticles, the usual Hamaker approach overestimates the magnitude of the interaction. In particular, the study considers nanoplates of different thicknesses, nanocubes assembled with their faces parallel to each other, and tilted nanocubes, where the main interaction is between edges. Full article
(This article belongs to the Special Issue Vacuum Fluctuations)
Show Figures

Figure 1

25 pages, 15127 KB  
Article
Surface Properties of the Polyethylene Terephthalate (PET) Substrate Modified with the Phospholipid-Polypeptide-Antioxidant Films: Design of Functional Biocoatings
by Klaudia Szafran, Małgorzata Jurak, Robert Mroczka and Agnieszka Ewa Wiącek
Pharmaceutics 2022, 14(12), 2815; https://doi.org/10.3390/pharmaceutics14122815 - 15 Dec 2022
Cited by 11 | Viewed by 3395
Abstract
Surface properties of polyethylene terephthalate (PET) coated with the ternary monolayers of the phospholipid 1,2-dioleoyl-sn-glycero-3-phosphocholine (DOPC), the immunosuppressant cyclosporine A (CsA), and the antioxidant lauryl gallate (LG) were examined. The films were deposited, by means of the Langmuir–Blodgett (LB) technique, on [...] Read more.
Surface properties of polyethylene terephthalate (PET) coated with the ternary monolayers of the phospholipid 1,2-dioleoyl-sn-glycero-3-phosphocholine (DOPC), the immunosuppressant cyclosporine A (CsA), and the antioxidant lauryl gallate (LG) were examined. The films were deposited, by means of the Langmuir–Blodgett (LB) technique, on activated by air low temperature plasma PET plates (PETair). Their topography and surface chemistry were determined with the help of atomic force microscopy (AFM) and time-of-flight secondary ion mass spectrometry (TOF-SIMS), respectively, while wettability was evaluated by the contact angle measurements. Then, the surface free energy and its components were calculated from the Lifshitz–van der Waals/Acid–Base (LWAB) approach. The AFM imaging showed that the Langmuir monolayers were transferred effectively and yielded smoothing of the PETair surface. Mass spectrometry confirmed compatibility of the quantitative and qualitative compositions of the monolayers before and after the transfer onto the substrate. Moreover, the molecular arrangement in the LB films and possible mechanisms of DOPC-CsA-LG interactions were determined. The wettability studies provided information on the type and magnitude of the interactions that can occur between the biocoatings and the liquids imitating different environments. It was found that the changes from open to closed conformation of CsA molecules are driven by the hydrophobic environment ensured by the surrounding DOPC and LG molecules. This process is of significance to drug delivery where the CsA molecules can be released directly from the biomaterial surface by passive diffusion. The obtained results showed that the chosen techniques are complementary for the characterization of the molecular organization of multicomponent LB films at the polymer substrate as well as for designing biocompatible coatings with precisely defined wettability. Full article
(This article belongs to the Collection Advanced Pharmaceutical Science and Technology)
Show Figures

Graphical abstract

12 pages, 4089 KB  
Article
Field-Driven Magnetic Phase Diagram and Vortex Stability in Fe Nanometric Square Prisms
by Mauricio Galvis, Fredy Mesa and Johans Restrepo
Nanomaterials 2022, 12(23), 4243; https://doi.org/10.3390/nano12234243 - 29 Nov 2022
Cited by 2 | Viewed by 2376
Abstract
In this work, we deal with the zero temperature hysteretic properties of iron (Fe) quadrangular nanoprisms and the size conditions underlying magnetic vortex states formation. Different aspect ratios of a square base prism of thickness t with free boundary conditions were [...] Read more.
In this work, we deal with the zero temperature hysteretic properties of iron (Fe) quadrangular nanoprisms and the size conditions underlying magnetic vortex states formation. Different aspect ratios of a square base prism of thickness t with free boundary conditions were considered in order to summarize our results in a proposal of a field-driven magnetic phase diagram where such vortex states are stable along the hysteresis loops. To do that, a Hamiltonian consisting of exchange, magnetostatic, Zeeman and cubic anisotropy energies was considered. The time dynamics at each magnetic field step was performed by solving the time-dependent Landau–Lifshitz–Gilbert differential equation. The micromagnetic simulations were performed using the Ubermag package based on the Object Oriented Micromagnetic Framework (OOMMF). Circular magnetic textures were also characterized by means of topological charge calculations. The aspect ratio dependencies of the coercive force, nucleation and annihilation fields are also analyzed. Computations agree with related experimental observations and other micromagnetic calculations. Full article
(This article belongs to the Topic Advances in Phase Change Materials)
Show Figures

Figure 1

28 pages, 615 KB  
Article
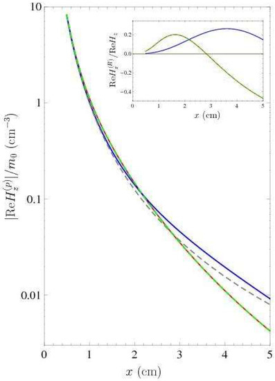
Experimentum crucis for Electromagnetic Response of Metals to Evanescent Waves and the Casimir Puzzle
by Galina L. Klimchitskaya, Vladimir M. Mostepanenko and Vitaly B. Svetovoy
Universe 2022, 8(11), 574; https://doi.org/10.3390/universe8110574 - 31 Oct 2022
Cited by 10 | Viewed by 1888
Abstract
It is well known that the Casimir force calculated at large separations using the Lifshitz theory differs by a factor of 2 for metals described by the Drude or plasma models. We argue that this difference is entirely determined by the contribution of [...] Read more.
It is well known that the Casimir force calculated at large separations using the Lifshitz theory differs by a factor of 2 for metals described by the Drude or plasma models. We argue that this difference is entirely determined by the contribution of transverse electric (s) evanescent waves. Taking into account that there is a lack of experimental information on the electromagnetic response of metals to low-frequency evanescent waves, we propose an experiment on measuring the magnetic field of an oscillating magnetic dipole spaced in a vacuum above a thick metallic plate. According to our results, the lateral components of this field are governed by the transverse electric evanescent waves and may vary by orders of magnitude depending on the model describing the permittivity of the plates used in calculations and the oscillation frequency of the magnetic dipole. Measuring the lateral component of the magnetic field for typical parameters of the magnetic dipole designed in the form of a 1-mm coil, one could either validate or disprove the applicability of the Drude model as a response function of metal in the range of low-frequency evanescent waves. This will elucidate the roots of the Casimir puzzle lying in the fact that the theoretical predictions of the Lifshitz theory using the Drude model are in contradiction with the high-precision measurements of the Casimir force at separations exceeding 150 nm. Possible implications of the suggested experiment for a wide range of topics in optics and condensed matter physics dealing with evanescent waves are discussed. Full article
(This article belongs to the Section Field Theory)
Show Figures

Figure 1

19 pages, 4823 KB  
Article
Effect of TiO2 Nanoparticles on Capillary-Driven Flow in Water Nanofilters Based on Chitosan Cellulose and Polyvinylidene Fluoride Nanocomposites: A Theoretical Study
by Noureddine Mahdhi, Norah Salem Alsaiari, Abdelfattah Amari and Mohamed Ali Chakhoum
Polymers 2022, 14(14), 2908; https://doi.org/10.3390/polym14142908 - 17 Jul 2022
Cited by 4 | Viewed by 2448
Abstract
In this study, a novel concept of nanofiltration process of drinking water based on capillary-driven nanofiltration is demonstrated using a bio-based nanocomposites’ nanofilter as free power: a green and sustainable solution. Based on Lifshitz and Young–Laplace theories, we show that the chitosan (CS), [...] Read more.
In this study, a novel concept of nanofiltration process of drinking water based on capillary-driven nanofiltration is demonstrated using a bio-based nanocomposites’ nanofilter as free power: a green and sustainable solution. Based on Lifshitz and Young–Laplace theories, we show that the chitosan (CS), cellulose acetate (CLA), and Polyvinylidene fluoride (PVDF) polymer matrixes demonstrate hydrophobic behavior, which leads to the draining of water from nanopores when negative capillary pressure is applied and consequently prevents the capillary-driven nanofiltration process. By incorporating 10%, 20%, and 30% volume fraction of titanium dioxide (TiO2) nanoparticles (NPs) to the polymers’ matrixes, we demonstrate a wetting conversion from hydrophobic to hydrophilic behavior of these polymer nanocomposites. Subsequently, the threshold volume fraction of the TiO2 NPs for the conversion from draining (hydrophobic) to filling (hydrophilic) by capillary pressure were found to be equal to 5.1%, 10.9%, and 13.9%, respectively, for CS/TiO2, CLA/TiO2, and PVDF/TiO2 nanocomposites. Then, we demonstrated the negligible effect of the gravity force on capillary rise as well as the capillary-driven flow for nanoscale pore size. For nanofilters with the same effective nanopore radius, porosity, pore shape factor, and tortuosity, results from the modified Lucas–Washburn model show that the capillary rise as well as the capillary-driven water volume increase with increased volume fraction of the TiO2 NPs for all nanocomposite nanofilter. Interestingly, the capillary-driven water volume was in range (5.26–6.39) L/h·m2 with 30% volume fraction of TiO2 NPs, which support our idea for capillary-driven nanofiltration as zero energy consumption nano-filtration process. Correspondingly, the biodegradable CS/TiO2 and CLA/TiO2 nanocomposites nanofilter demonstrate capillary-driven water volume higher, ~1.5 and ~1.2 times, respectively, more than the synthetic PVDF/TiO2 nanocomposite. Full article
(This article belongs to the Special Issue Novel Wastewater Treatment Applications Using Polymeric Materials)
Show Figures

Figure 1

Back to TopTop