Adhesion Energy for Nonideal Cantilever and Its Relation to Casimir–Lifshitz Forces
Abstract
1. Introduction
2. Adhered Cantilever
2.1. Ideal Case
2.2. Shape of the Minicantilever in a Realistic Case
2.2.1. Nonzero Gravity and Slope
2.2.2. Factor of Twisting
2.3. Adhesion Energy
2.3.1. General Formula
2.3.2. Universality of the Solution
3. Interaction Energy
3.1. Parallel Plates
3.2. Tilted Plates
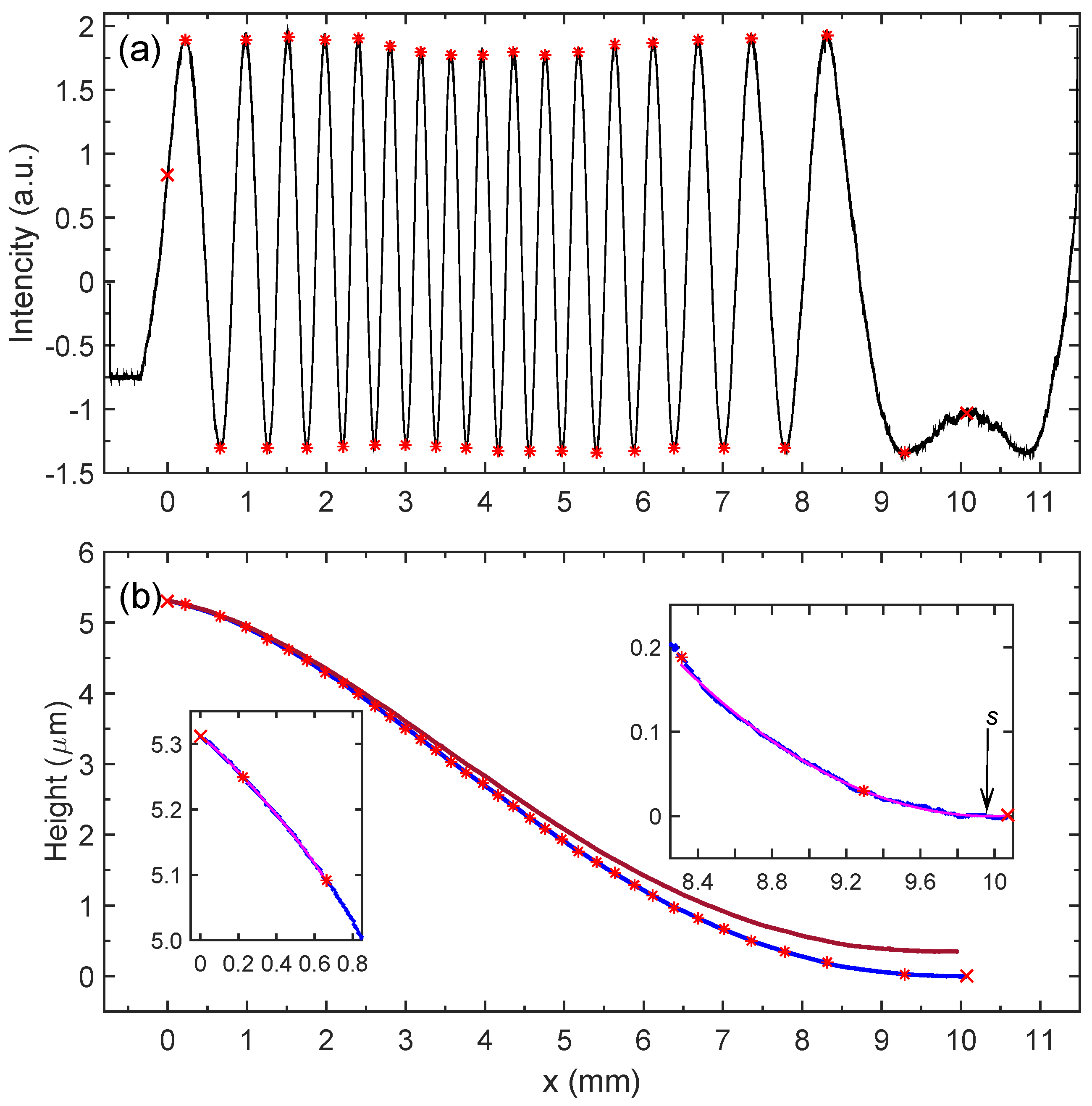
4. Experimental Example
4.1. Determination of
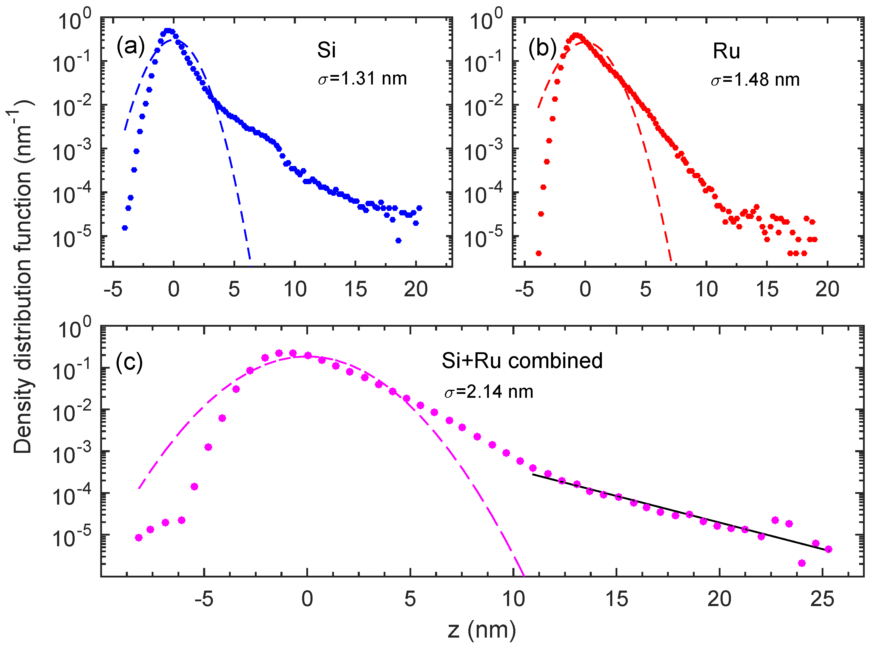
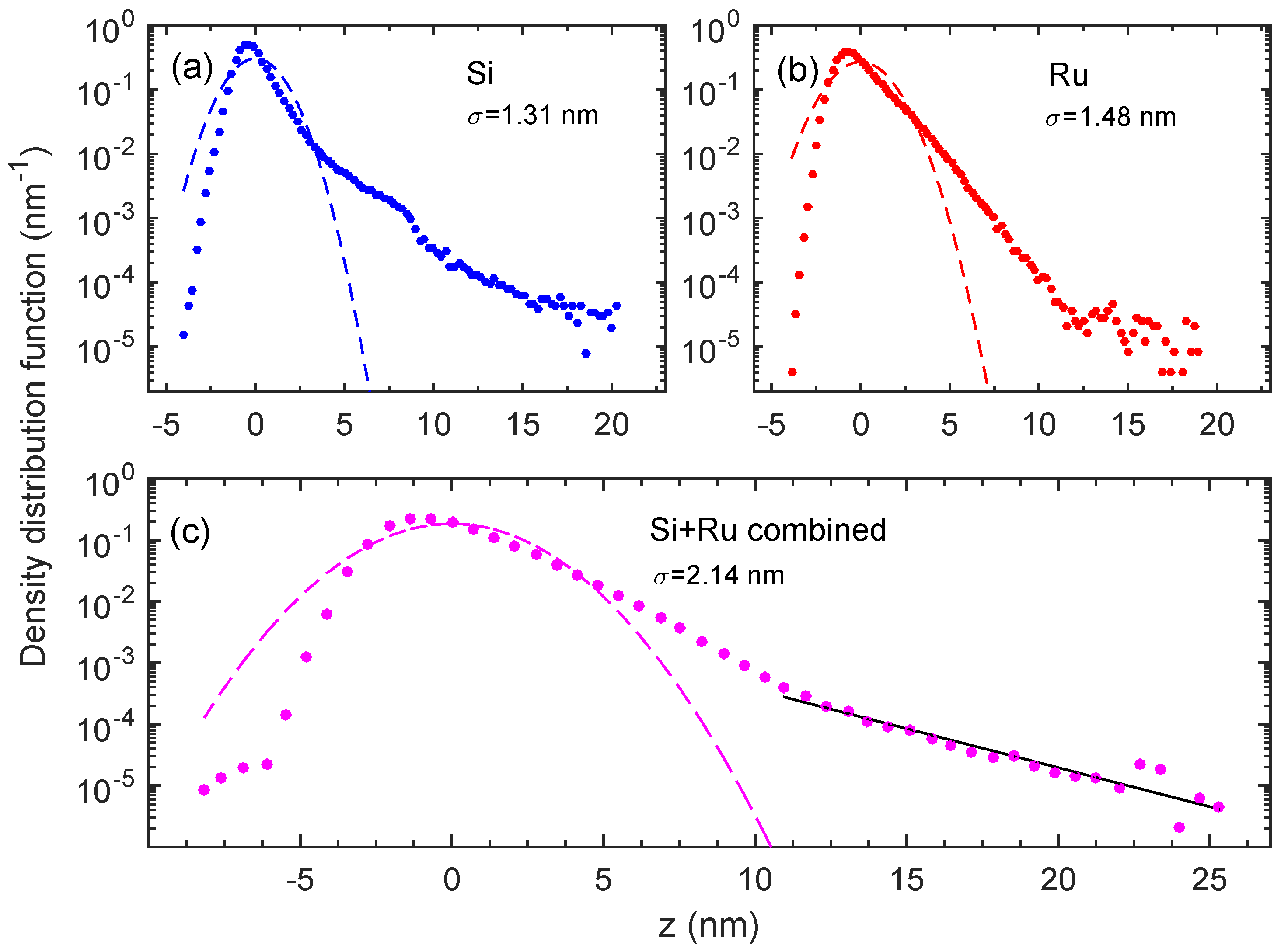
4.2. Roughness
4.3. Relation Between and
4.4. Discussion
5. Conclusions
Author Contributions
Funding
Data Availability Statement
Conflicts of Interest
References
- Casimir, H.B.G. On the attraction between two perfectly conducting plates. Proc. Kon. Ned. Akad. Wetensch. B 1948, 51, 793–795. Available online: https://dwc.knaw.nl/DL/publications/PU00018547.pdf (accessed on 10 October 2024).
- Lifshitz, E.M. The theory of molecular attractive forces between solids. Sov. Phys. JETP 1956, 2, 73–83. Available online: http://jetp.ras.ru/cgi-bin/e/index/e/2/1/p73?a=list (accessed on 10 October 2024).
- Dzyaloshinskii, I.E.; Lifshitz, E.M.; Pitaevskii, L.P. General theory of van der Waals’ forces. Sov. Phys. Uspekhi 1961, 4, 153–176. [Google Scholar] [CrossRef]
- Klimchitskaya, G.L.; Mohideen, U.; Mostepanenko, V.M. The Casimir force between real materials: Experiment and theory. Rev. Mod. Phys. 2009, 81, 1827–1885. [Google Scholar] [CrossRef]
- Rodriguez, A.W.; Capasso, F.; Johnson, S.G. The Casimir effect in microstructured geometries. Nat. Photonics 2011, 3, 211–221. [Google Scholar] [CrossRef]
- Palasantzas, G.; Sedighi, M.; Svetovoy, V.B. Applications of Casimir forces: Nanoscale actuation and adhesion. Appl. Phys. Lett. 2020, 117, 120501. [Google Scholar] [CrossRef]
- Lamoreaux, S.K. Demonstration of the Casimir force in the 0.6 to 6 μm range. Phys. Rev. Lett. 1997, 78, 5–8. [Google Scholar] [CrossRef]
- Harris, B.W.; Chen, F.; Mohideen, U. Precision measurement of the Casimir force using gold surfaces. Phys. Rev. A 2000, 62, 052109. [Google Scholar] [CrossRef]
- Chan, H.B.; Aksyuk, V.A.; Kleiman, R.N.; Bishop, D.J.; Capasso, F. Quantum mechanical actuation of microelectromechanical systems by the Casimir force. Science 2001, 291, 1941–1944. [Google Scholar] [CrossRef]
- Decca, R.S.; López, D.; Fischbach, E.; Krause, D.E. Measurement of the Casimir force between dissimilar metals. Phys. Rev. Lett. 2003, 91, 050402. [Google Scholar] [CrossRef]
- Bressi, G.; Carugno, G.; Onofrio, R.; Ruoso, G. Measurement of the Casimir force between parallel metallic surfaces. Phys. Rev. Lett. 2002, 88, 041804. [Google Scholar] [CrossRef] [PubMed]
- Decca, R.; López, D.; Fischbach, E.; Klimchitskaya, G.; Krause, D.; Mostepanenko, V. Precise comparison of theory and new experiment for the Casimir force leads to stronger constraints on thermal quantum effects and long-range interactions. Ann. Phys. (N. Y.) 2005, 318, 37–80. [Google Scholar] [CrossRef]
- London, F. Zur Theorie und Systematik der Molekularkräfte. Z. Phys. 1930, 63, 245–279. [Google Scholar] [CrossRef]
- Liu, M.; Xu, J.; Klimchitskaya, G.L.; Mostepanenko, V.M.; Mohideen, U. Precision measurements of the gradient of the Casimir force between ultraclean metallic surfaces at larger separations. Phys. Rev. A 2019, 100, 052511. [Google Scholar] [CrossRef]
- Bimonte, G.; Spreng, B.; Maia Neto, P.A.; Ingold, G.L.; Klimchitskaya, G.L.; Mostepanenko, V.M.; Decca, R.S. Measurement of the Casimir force between 0.2 and 8 µm: Experimental procedures and comparison with theory. Universe 2021, 7, 93. [Google Scholar] [CrossRef]
- Tonck, A.; Houzé, F.; Boyer, L.; Loubet, J.-L.; Georges, J.-M. Electrical and mechanical contact between rough gold surfaces in air. J. Phys. Cond. Matt. 1991, 3, 5195–5201. [Google Scholar] [CrossRef]
- van Zwol, P.J.; Palasantzas, G.; van de Schootbrugge, M.; De Hosson, J.T.M. Measurement of dispersive forces between evaporated metal surfaces in the range below 100nm. Appl. Phys. Lett. 2008, 92, 054101. [Google Scholar] [CrossRef]
- Torricelli, G.; van Zwol, P.J.; Shpak, O.; Binns, C.; Palasantzas, G.; Kooi, B.J.; Svetovoy, V.B.; Wuttig, M. Switching Casimir forces with phase-change materials. Phys. Rev. A 2010, 82, 010101. [Google Scholar] [CrossRef]
- Sedighi, M.; Svetovoy, V.B.; Palasantzas, G. Casimir force measurements from silicon carbide surfaces. Phys. Rev. B 2016, 93, 085434. [Google Scholar] [CrossRef]
- DelRio, F.W.; de Boer, M.P.; Knapp, J.A.; Reedy, E.D.; Clews, P.J.; Dunn, M.L. The role of van der Waals forces in adhesion of micromachined surfaces. Nat. Mater. 2005, 4, 629–634. [Google Scholar] [CrossRef]
- Hariri, A.; Zu, J.W.; Mrad, R.B. Modeling of dry stiction in micro electro-mechanical systems (MEMS). J. Micromech. Microeng. 2006, 16, 1195. [Google Scholar] [CrossRef]
- Xue, X.; Polycarpou, A.A.; Phinney, L.M. Measurement and modeling of adhesion energy between two rough microelectromechanical system (MEMS) surfaces. J. Adhes. Sci. Technol. 2008, 22, 429–455. [Google Scholar] [CrossRef]
- Pastewka, L.; Robbins, M.O. Contact between rough surfaces and a criterion for macroscopic adhesion. Proc. Natl. Acad. Sci. USA 2014, 111, 3298–3303. [Google Scholar] [CrossRef] [PubMed]
- Parsons, D.F.; Walsh, R.B.; Craig, V.S.J. Surface forces: Surface roughness in theory and experiment. J. Chem. Phys. 2014, 140, 164701. [Google Scholar] [CrossRef] [PubMed]
- Svetovoy, V.B.; Postnikov, A.V.; Uvarov, I.V.; Stepanov, F.I.; Palasantzas, G. Measuring the dispersion forces near the van der Waals–Casimir transition. Phys. Rev. Appl. 2020, 13, 064057. [Google Scholar] [CrossRef]
- Legtenberg, R.; Tilmans, H.A.; Elders, J.; Elwenspoek, M. Stiction of surface micromachined structures after rinsing and drying: Model and investigation of adhesion mechanisms. Sens. Actuators A Phys. 1994, 43, 230–238. [Google Scholar] [CrossRef]
- Tas, N.; Sonnenberg, T.; Jansen, H.; Legtenberg, R.; Elwenspoek, M. Stiction in surface micromachining. J. Micromech. Microeng. 1996, 6, 385–397. [Google Scholar] [CrossRef]
- Man, P.; Gogoi, B.; Mastrangelo, C. Elimination of post-release adhesion in microstructures using conformal fluorocarbon coatings. J. Microelectromech. Syst. 1997, 6, 25–34. [Google Scholar] [CrossRef]
- Maboudian, R.; Ashurst, W.; Carraro, C. Self-assembled monolayers as anti-stiction coatings for MEMS: Characteristics and recent developments. Sens. Actuators A Phys. 2000, 82, 219–223. [Google Scholar] [CrossRef]
- Ashurst, W.; Carraro, C.; Maboudian, R.; Frey, W. Wafer level anti-stiction coatings for MEMS. Sens. Actuators A Phys. 2003, 104, 213–221. [Google Scholar] [CrossRef]
- Romig, A.; Dugger, M.T.; McWhorter, P.J. Materials issues in microelectromechanical devices: Science, engineering, manufacturability and reliability. Acta Mater. 2003, 51, 5837–5866. [Google Scholar] [CrossRef]
- Mastrangelo, C.H.; Hsu, C.H. Mechanical stability and adhesion of microstructures under capillary forces. I. Basic theory. J. Microelectromech. Syst. 1993, 2, 33–43. [Google Scholar] [CrossRef]
- Mastrangelo, C.H.; Hsu, C.H. Mechanical stability and adhesion of microstructures under capillary forces. II. Experiments. J. Microelectromech. Syst. 1993, 2, 44–55. [Google Scholar] [CrossRef]
- Maboudian, R.; Howe, R.T. Critical Review: Adhesion in surface micromechanical structures. J. Vac. Sci. Technol. B 1997, 15, 1–20. [Google Scholar] [CrossRef]
- Parker, E.E.; Ashurst, W.R.; Carraro, C.; Maboudian, R. Adhesion characteristics of MEMS in microfluidic environments. J. Microelectromech. Syst. 2005, 14, 947–953. [Google Scholar] [CrossRef]
- de Boer, M.P.; Michalske, T.A. Accurate method for determining adhesion of cantilever beams. J. Appl. Phys. 1999, 86, 817–827. [Google Scholar] [CrossRef]
- Knapp, J.A.; de Boer, M.P. Mechanics of microcantilever beams subject to combined electrostatic and adhesive forces. J. Microelectromech. Syst. 2002, 11, 754–764. [Google Scholar] [CrossRef]
- Zhang, Y.; Zhao, Y.-p. A precise model for the shape of an adhered microcantilever. Sens. Actuators A Phys. 2011, 171, 381–390. [Google Scholar] [CrossRef]
- Zhang, Y.; Zhao, Y.-p. Flexural contact in MEMS stiction. Int. J. Solids Struct. 2012, 49, 2203–2214. [Google Scholar] [CrossRef][Green Version]
- Mastrangelo, C.H.; Hsu, C.H. A simple experimental technique for the measurement of the work of adhesion of microstructures. In Proceedings of the Technical Digest IEEE Solid-State Sensor and Actuator Workshop, Hilton Head Island, SC, USA, 22–25 June 1992; Institut of Electrical and Electronics Engineers (IEEE): New York, NY, USA, 1992; pp. 208–212. [Google Scholar] [CrossRef]
- Svetovoy, V.B.; Melenev, A.E.; Lokhanin, M.V.; Palasantzas, G. Global consequences of a local Casimir force: Adhered cantilever. App. Phys. Lett. 2017, 111, 011603. [Google Scholar] [CrossRef]
- Postnikov, A.V.; Uvarov, I.V.; Svetovoy, V.B. Experimental setup for measuring the dispersion forces by the adhered cantilever method. Rev. Sci. Instrum. 2023, 94, 043907. [Google Scholar] [CrossRef] [PubMed]
- Lang, W. Nomarski differential interference-contrast microscopy. Zeiss Inf. 1968, 70, 114–120. Available online: https://zeiss-campus.magnet.fsu.edu/referencelibrary/abstracts/dic01.html (accessed on 10 October 2024).
- Jensen, B.; de Boer, M.; Masters, N.; Bitsie, F.; LaVan, D. Interferometry of actuated microcantilevers to determine material properties and test structure nonidealities in MEMS. J. Microelectromech. Syst. 2001, 10, 336–346. [Google Scholar] [CrossRef]
- Soylemez, E.; de Boer, M.P. Van der Waals force-induced crack healing in dry rough interfaces. J. Phys. D 2016, 49, 075303. [Google Scholar] [CrossRef]
- Soldatenkov, I.A.; Stepanov, F.I.; Svetovoy, V.B. Dispersion forces and equilibrium distance between deposited rough films in contact. Phys. Rev. B 2022, 105, 075401. [Google Scholar] [CrossRef]
- Svetovoy, V.B.; Soldatenkov, I.A. Weak adhesion between contacting rough surfaces as applied to micro/nanotechnologies. Colloid J. 2022, 84, 321–331. [Google Scholar] [CrossRef]
- Soldatenkov, I.A.; Palasantzas, G.; Svetovoy, V.B. Weak adhesion between deposited rough films: Relation to the dispersion forces. Phys. Rev. B 2021, 104, L121404. [Google Scholar] [CrossRef]
- Babamahdi, Z.; Svetovoy, V.B.; Enache, M.; Stöhr, M.; Palasantzas, G. Comparison of Casimir forces and electrostatics from conductive SiC-Si/C and Ru surfaces. Phys. Rev. B 2019, 100, 245422. [Google Scholar] [CrossRef]
- Palik, E.D. (Ed.) Handbook of Optical Constants of Solids; Academic Press, Inc.: San Diego, CA, USA, 1985. [Google Scholar] [CrossRef]
- Derjaguin, B. Untersuchungen über die Reibung und Adhäsion, IV. Theorie des Anhaftens kleiner Teilchen. Koll.-Zeitsch. 1934, 69, 155–164. [Google Scholar] [CrossRef]
- Hopcroft, M.A.; Nix, W.D.; Kenny, T.W. What is the Young’s modulus of silicon? J. Microelectromech. Syst. 2010, 19, 229–238. [Google Scholar] [CrossRef]
- Feodosyev, V. Strength of Materials; Mir Publishers: Moscow, Russia, 1968. [Google Scholar]
- Kim, J.; Cho, D.-i.; Muller, R.S. Why is (111) silicon a better mechanical material for MEMS? In Transducers ’01 Eurosensors XV; Obermeier, E., Ed.; Springer: Berlin/Heidelberg, Germany, 2001; pp. 662–665. [Google Scholar] [CrossRef]
- Muravyeva, T.I.; Uvarov, I.V.; Naumov, V.V.; Palasantzas, G.; Svetovoy, V.B. Excessive number of high asperities for sputtered rough films. Phys. Rev. B 2021, 104, 035415. [Google Scholar] [CrossRef]








Disclaimer/Publisher’s Note: The statements, opinions and data contained in all publications are solely those of the individual author(s) and contributor(s) and not of MDPI and/or the editor(s). MDPI and/or the editor(s) disclaim responsibility for any injury to people or property resulting from any ideas, methods, instructions or products referred to in the content. |
© 2024 by the authors. Licensee MDPI, Basel, Switzerland. This article is an open access article distributed under the terms and conditions of the Creative Commons Attribution (CC BY) license (https://creativecommons.org/licenses/by/4.0/).
Share and Cite
Soldatenkov, I.A.; Svetovoy, V.B. Adhesion Energy for Nonideal Cantilever and Its Relation to Casimir–Lifshitz Forces. Physics 2024, 6, 1204-1221. https://doi.org/10.3390/physics6040074
Soldatenkov IA, Svetovoy VB. Adhesion Energy for Nonideal Cantilever and Its Relation to Casimir–Lifshitz Forces. Physics. 2024; 6(4):1204-1221. https://doi.org/10.3390/physics6040074
Chicago/Turabian StyleSoldatenkov, Ivan A., and Vitaly B. Svetovoy. 2024. "Adhesion Energy for Nonideal Cantilever and Its Relation to Casimir–Lifshitz Forces" Physics 6, no. 4: 1204-1221. https://doi.org/10.3390/physics6040074
APA StyleSoldatenkov, I. A., & Svetovoy, V. B. (2024). Adhesion Energy for Nonideal Cantilever and Its Relation to Casimir–Lifshitz Forces. Physics, 6(4), 1204-1221. https://doi.org/10.3390/physics6040074

