Sign in to use this feature.

Years

Between: -

Subjects

remove_circle_outline
remove_circle_outline
remove_circle_outline
remove_circle_outline
remove_circle_outline
remove_circle_outline
remove_circle_outline
remove_circle_outline
remove_circle_outline

Journals

Article Types

Countries / Regions

remove_circle_outline
remove_circle_outline
remove_circle_outline
remove_circle_outline

Search Results (188)

Search Parameters:
Keywords = Levy distribution

Order results
Result details
Results per page
Select all
Export citation of selected articles as:
27 pages, 2382 KB  
Article
EST-GNN: An Explainable Spatio-Temporal Graph Framework with Lévy-Optuna Optimization for CO2 Emission Forecasting in Electrified Transportation
by Rabab Hamed M. Aly, Shimaa A. Hussien, Marwa M. Ahmed and Aziza I. Hussein
Machines 2026, 14(5), 463; https://doi.org/10.3390/machines14050463 - 22 Apr 2026
Viewed by 237
Abstract
The accurate and explainable prediction of carbon emissions is crucial for the efficient operation of hybrid and electrified transportation systems and their integration with energy grids. An Explainable Spatio-Temporal Graph Neural Network (EST-GNN) is proposed for highly precise CO2 emission forecasting using [...] Read more.
The accurate and explainable prediction of carbon emissions is crucial for the efficient operation of hybrid and electrified transportation systems and their integration with energy grids. An Explainable Spatio-Temporal Graph Neural Network (EST-GNN) is proposed for highly precise CO2 emission forecasting using Lévy Flight-guided Optuna optimization. By modelling vehicles and their operational characteristics as nodes in a dynamic graph, the proposed framework can jointly learn timing and spatial correlations while sustaining interpretability. The accuracy of the EST-GNN model is compared with models based on one-hot encoded features, SMOTE-enhanced datasets, and ensemble regressors. Using a real-world dataset of 7385 vehicle registrations with 12 predictive features experiments are conducted. When applied the EST-GNN model outperformed all baseline and traditional models achieving the highest reliability (R2 = 0.98754) while solving competitive error metrics (RMSE = 6.55, MAE = 2.556). There is strong indication that reasonable machine learning (ML) models can be used accurately to confirm their suitability for resource-prevented and real-time applications, while predictable ML techniques have relatively low reliability. The optimal solution ensures scalability, robustness, and independence of the deployment environment. The distribution analysis of best performing models develops the ability of EST-GNN, which accounts for the largest proportion of best results across evaluation metrics. To achieve superior predictive accuracy, graph-based learning, explainability, and advanced hyperparameter optimization are combined. EST-GNN provides a powerful tool for analyzing fleet emission levels, making energy-aware decisions, and planning sustainable transportation, while ML models continue to be a useful complement for deployment states with high computation costs and quick responses. Full article
(This article belongs to the Special Issue Dynamics and Control of Electric Vehicles)
Show Figures

Graphical abstract

26 pages, 1349 KB  
Article
ICOA: An Improved Coati Optimization Algorithm with Multi-Strategy Enhancement for Global Optimization and Engineering Design Problems
by Xiangyu Cheng, Min Zhou, Liping Zhang and Zikai Zhang
Biomimetics 2026, 11(4), 254; https://doi.org/10.3390/biomimetics11040254 - 7 Apr 2026
Viewed by 403
Abstract
Metaheuristic optimization algorithms have attracted considerable research interest for solving complex optimization problems, yet many existing algorithms suffer from premature convergence and an inadequate balance between exploration and exploitation. The Coati Optimization Algorithm (COA) is a recently proposed nature-inspired metaheuristic that models the [...] Read more.
Metaheuristic optimization algorithms have attracted considerable research interest for solving complex optimization problems, yet many existing algorithms suffer from premature convergence and an inadequate balance between exploration and exploitation. The Coati Optimization Algorithm (COA) is a recently proposed nature-inspired metaheuristic that models the hunting and escape behaviors of coatis; however, it exhibits limited search diversity and tends to stagnate in local optima on high-dimensional, multimodal landscapes. This paper proposes an Improved Coati Optimization Algorithm (ICOA) that integrates four complementary enhancement strategies: (1) a Dynamic Adaptive Step-Size strategy that combines Lévy flights with Student’s t-distribution perturbations for heavy-tailed exploration; (2) a Population-Adaptive Dynamic Perturbation strategy that incorporates differential evolution operators with fitness-proportional scaling; (3) an Iterative-Cyclic Differential Perturbation strategy that employs sinusoidal scheduling and population-differential guidance; and (4) a Cosine-Adaptive Gaussian Perturbation strategy for refined exploitation with time-decaying intensity. ICOA is evaluated on 29 CEC2017, 10 CEC2020, and 12 CEC2022 benchmark functions across dimensions ranging from 10 to 100, compared against seven state-of-the-art algorithms in each benchmark suite. A statistical analysis using the Friedman test and the Wilcoxon rank-sum test confirms that ICOA achieves overall rank 1 on all three benchmark suites, with Friedman mean ranks of 1.207 (CEC2017, D=100), 1.000 (CEC2020, D=10), and 2.208 (CEC2022, D=10); the CEC2020 result should be interpreted in the context of its low dimensionality. A scalability analysis across four dimensionalities (10D, 30D, 50D, 100D) demonstrates consistent first-place rankings with mean ranks between 1.000 and 1.207. An ablation study and a sensitivity analysis of the strategy activation probability validate the contribution of each individual strategy and the optimality of the 50% activation setting. Furthermore, ICOA achieves the best results on all six constrained engineering design problems tested, with all improvements confirmed as statistically significant (p<0.05). Full article
(This article belongs to the Section Biological Optimisation and Management)
Show Figures

Graphical abstract

23 pages, 5269 KB  
Article
A SLIC-KMeans-GJO Method for Oil Spill Detection in Marine Radar Image
by Jin Xu, Mengxin Sun, Haihui Dong, Zekun Guo, Yutong Deng, Binghui Chen, Gaorui Tu, Minghao Yan, Lihui Qian and Peng Wu
Remote Sens. 2026, 18(7), 1096; https://doi.org/10.3390/rs18071096 - 6 Apr 2026
Viewed by 392
Abstract
Oil slicks pose a severe threat to marine ecosystems, making accurate and real-time detection increasingly urgent. Marine X-band radar has become an essential tool for oil slick monitoring due to its high temporal resolution and its ability to sensitively capture the damping of [...] Read more.
Oil slicks pose a severe threat to marine ecosystems, making accurate and real-time detection increasingly urgent. Marine X-band radar has become an essential tool for oil slick monitoring due to its high temporal resolution and its ability to sensitively capture the damping of capillary waves on the sea surface caused by oil films. Building upon this, an unsupervised and lightweight SLIC-KMeans-GJO detection framework is proposed. The method first generates superpixels by using Simple Linear Iterative Clustering (SLIC) and then applies K-means clustering to extract region of interest (ROI). An improved Golden Jackal Optimizer (GJO) is adaptively initialized based on the grayscale distribution and information entropy. To enhance optimization performance, Lévy flight and stochastic perturbation mechanisms are incorporated to improve global exploration and local convergence precision. Experimental results demonstrate that the proposed method significantly outperforms conventional thresholding approaches and other intelligent optimization-based segmentation algorithms in terms of noise suppression, target identification accuracy, and discrimination precision for oil slick targets. It effectively mitigates over-segmentation and false detections while preserving fine edge details and the true spatial extent of oil slicks. The proposed framework offers a novel and practical solution for real-time oil slick monitoring, holding strong potential for operational maritime emergency response. Full article
Show Figures

Figure 1

29 pages, 23079 KB  
Article
Reinforced Arctic Puffin Optimization: A Multi-Strategy Fusion Approach with a Case Study in Manipulator Trajectory Planning
by Qi Xie, Mingyang Yu, Yongxiang Li, Guanzheng Jiang and Qiaoling Du
Electronics 2026, 15(6), 1186; https://doi.org/10.3390/electronics15061186 - 12 Mar 2026
Viewed by 280
Abstract
In agricultural automation, trajectory planning for fruit-picking robot arms must satisfy dynamic obstacle avoidance and real-time control constraints in complex orchards, forming a high-dimensional, constrained optimization problem. Due to strong nonlinearity and steep gradients, traditional planners often yield high-cost trajectories with unstable quality. [...] Read more.
In agricultural automation, trajectory planning for fruit-picking robot arms must satisfy dynamic obstacle avoidance and real-time control constraints in complex orchards, forming a high-dimensional, constrained optimization problem. Due to strong nonlinearity and steep gradients, traditional planners often yield high-cost trajectories with unstable quality. This paper introduces a Reinforced Arctic Puffin Optimization (RAPO) algorithm for trajectory planning in high-dimensional, complex, constrained scenarios. RAPO improves Arctic Puffin Optimization (APO), which uses a two-stage foraging strategy but may suffer premature convergence, insufficient population diversity, and weak boundary handling. Dynamic fitness–distance balance (DFDB) adaptively coordinates exploration and exploitation. An elite-pool dynamic search strategy (DEPSS) combines t-distribution perturbation and Lévy flight to maintain diversity and enhance exploitation. A convex-lens opposition-learning boundary control method (CLOBC) improves out-of-bounds handling and reduces invalid search. Stochastic centroid opposition learning (SOBL) further suppresses premature convergence and expands coverage. On the CEC2017 benchmark (30/50/100 dimensions), RAPO outperforms nine algorithms in convergence speed and solution quality, verified by Wilcoxon and Friedman tests. In dense, narrow, and dynamic obstacle scenarios, RAPO achieves the lowest path cost, converges within 30 iterations, reduces variance, and generates smoother trajectories. This case study demonstrates RAPO’s robust mathematical performance, providing a robust and efficient framework for agricultural picking robots. Full article
Show Figures

Figure 1

16 pages, 928 KB  
Article
Optimizing the Configuration of MOGWO’s Distributed Energy Storage for Low-Carbon Enhancements
by Haizhu Yang, Qilong Ma, Peng Zhang, Zhongwen Li, Zhiping Cheng and Lulu Wang
Energies 2026, 19(6), 1393; https://doi.org/10.3390/en19061393 - 10 Mar 2026
Viewed by 369
Abstract
With the deepening implementation of the dual-carbon strategy, the penetration rates of distributed power sources and flexible loads in new distribution grids continue to rise, posing significant challenges to system security and stability due to output fluctuations and randomness. To enhance voltage quality [...] Read more.
With the deepening implementation of the dual-carbon strategy, the penetration rates of distributed power sources and flexible loads in new distribution grids continue to rise, posing significant challenges to system security and stability due to output fluctuations and randomness. To enhance voltage quality and achieve low-carbon economic operation in distribution grids, this paper proposes a multi-objective optimization model for Distributed Energy Storage System allocation. The model integrates power quality, economic benefits, and net carbon emissions. To efficiently solve this high-dimensional nonlinear problem, an improved Multi-Objective Gray Wolf Optimization algorithm is proposed. It employs a chaotic map to initialize the population, enhancing global distribution uniformity. A nonlinear convergence factor is introduced to dynamically balance global exploration and local exploitation. A dynamic grouping collaboration strategy is designed, combining Lévy flight and the elite crossover strategy to enhance search capability and convergence accuracy. Simulations on an IEEE 33-node system show that the improved MOGWO-optimized energy storage scheme reduces average voltage deviation by 37.0%, total operating costs by 7.0%, and net carbon emissions by 4.1%, compared to a no-storage scenario. Compared to the standard MOGWO algorithm, the proposed method achieves further optimization across all objectives, validating its effectiveness and superiority in realizing coordinated energy storage planning that balances safety, economy, and low-carbon goals. Full article
(This article belongs to the Special Issue Advancements in the Integrated Energy System and Its Policy)
Show Figures

Figure 1

24 pages, 2131 KB  
Article
Adaptive Multi-Strategy Grey Wolf Optimizer with Reinforcement Learning for Multi-Objective Precision Irrigation Optimization
by Guangluan Yin, Wuke Li and Qi Xiong
Algorithms 2026, 19(3), 168; https://doi.org/10.3390/a19030168 - 24 Feb 2026
Viewed by 369
Abstract
Precision irrigation is crucial for sustainable agriculture, yet conventional single-objective optimization methods struggle to balance conflicting demands such as crop yield, operational cost, and environmental sustainability. This study introduces an Adaptive Multi-Strategy Grey Wolf Optimizer with Reinforcement Learning for Multi-Objective Optimization (AMSGWO-RL-MO) to [...] Read more.
Precision irrigation is crucial for sustainable agriculture, yet conventional single-objective optimization methods struggle to balance conflicting demands such as crop yield, operational cost, and environmental sustainability. This study introduces an Adaptive Multi-Strategy Grey Wolf Optimizer with Reinforcement Learning for Multi-Objective Optimization (AMSGWO-RL-MO) to enhance precision irrigation decision-making. AMSGWO-RL-MO integrates four strategies: standard GWO exploitation, Lévy flight exploration, differential evolution-based diversity enhancement, and Stochastic Elite Opposition-Based Learning. A Q-learning mechanism dynamically adjusts these strategies, adapting to real-time search conditions to select the optimal approach. We constructed a comprehensive three-objective framework incorporating soil moisture dynamics, crop growth models, and environmental impact assessments. Experimental simulations over a 40-day growth cycle demonstrate AMSGWO-RL-MO’s rapid convergence by the sixth generation, consistently achieving a high-quality Pareto front across 30 independent runs. The knee-point solution yielded a mean crop yield of 96.96%, outperforming standard GWO and multi-strategy variants by approximately 3.8%. Statistical analysis confirms its superior robustness and well-distributed solutions along the Pareto front. These results indicate that the RL-driven adaptive mechanism effectively balances exploration and exploitation. The proposed method offers a more diverse array of Pareto-optimal solutions, presenting a broader trade-off space for balancing crop yield and environmental sustainability compared to traditional weighted-sum approaches. This enhancement facilitates scientific agricultural decision-making under various operational constraints. Full article
Show Figures

Figure 1

40 pages, 7762 KB  
Article
Spatiotemporal Prediction of Electric Vehicle Charging Demand Integrating Multidimensional Features and Its Application in Dynamic Scheduling of Mobile Charging Vehicles
by Haihong Bian, Shuo Yan, Qingshan Xu, Tianze Jiang, Wanzhong Shi, Yuanzhe Bao and Cheng Chen
World Electr. Veh. J. 2026, 17(3), 111; https://doi.org/10.3390/wevj17030111 - 24 Feb 2026
Viewed by 498
Abstract
To address the uneven spatiotemporal distribution of electric vehicle (EV) charging demand and the high complexity of mobile charging vehicle (MCV) scheduling, this study proposes an integrated “prediction–pre-scheduling–real-time scheduling” solution. It focuses on optimizing the charging demand prediction model while refining the MCV [...] Read more.
To address the uneven spatiotemporal distribution of electric vehicle (EV) charging demand and the high complexity of mobile charging vehicle (MCV) scheduling, this study proposes an integrated “prediction–pre-scheduling–real-time scheduling” solution. It focuses on optimizing the charging demand prediction model while refining the MCV scheduling strategy. First, a new red-billed blue magpie optimizer (NRBMO) is proposed. By integrating three improved strategies—initialization via a Circle chaotic map with opposition-based learning, adaptive Lévy flight search, and dynamic attack intensity adjustment—over the original red-billed blue magpie optimizer (RBMO), the NRBMO algorithm optimizes the membership function parameters of a fuzzy neural network (FNN), thus establishing the NRBMO-FNN charging demand prediction model. Second, MCV scheduling is implemented in phases based on the predictive results: during the pre-scheduling phase, macro-level vehicle allocation is achieved to minimize the total system cost; in the real-time scheduling phase, a multi-objective optimization model is constructed and integrated with a four-input, four-output adaptive fuzzy controller to realize the coordinated optimization of the total system cost, service time, and user inconvenience. Finally, the results demonstrate that under the G = 3 test set, the prediction accuracy of NRBMO-FNN outperformed other algorithms by at least 26.3%, 33.4%, and 6.6% in RMSE, MAE, and R2, respectively. The proposed scheduling model reduced the three objective function values by an average of 3.41 yuan, 1.39 min, and 11.95 units during testing. Full article
Show Figures

Figure 1

25 pages, 6594 KB  
Article
Blockchain-Enabled Microgrid IoT with Accurate Predictions of Renewable Energy and Electricity Load Using LevySSA-LSTM-GRU
by Yuting Sun, Zhipeng Chang, Jianan Yu and Zongxiang Chen
Sustainability 2026, 18(3), 1653; https://doi.org/10.3390/su18031653 - 5 Feb 2026
Viewed by 417
Abstract
Smart microgrid is promising in providing a more affordable, efficient, and sustainable energy solution with increasing energy production from distributed renewable sources and diverse household electricity usage with large amounts of connected smart devices. Accurate prediction of the household electricity load and renewable [...] Read more.
Smart microgrid is promising in providing a more affordable, efficient, and sustainable energy solution with increasing energy production from distributed renewable sources and diverse household electricity usage with large amounts of connected smart devices. Accurate prediction of the household electricity load and renewable energy production plays a significant role in achieving optimized efficiency of the microgrid. Meanwhile, the privacy and security of data sharing over the smart grid are crucial. This paper proposes a blockchain-enabled microgrid Internet of Things (MIoT) with accurate predictions of renewable energy production and household electricity load. The blockchain framework can guarantee the privacy and security of data sharing over the microgrid. An improved model by stacking long short-term memory (LSTM) and gated recurrent units (GRUs) is proposed for energy generation and electricity load predictions using historical data in the microgrid and the weather forecasting data. The sparrow search algorithm optimized by Levy flights (LevySSA) is used to optimize the hyperparameters of the stacked LSTM-GRU method. The experimental results verify the accuracy and robustness of the proposed method in the prediction of electricity load and renewable energy production for effective smart microgrid operation. For PV forecasting, the proposed LevySSA-LSTM-GRU achieves nRMSE = 0.0535, nMAE = 0.0455, and R2 = 0.9898, outperforming the strongest baseline. For load forecasting, averaged over four test intervals, it yields nRMSE = 0.1034, nMAE = 0.0836, with R2 = 0.9340, demonstrating consistent superiority compared with conventional baseline models. Overall, the proposed framework enables secure data sharing and high-accuracy forecasting, offering strong potential to support real-time energy management and operational optimization in smart microgrids. Full article
Show Figures

Figure 1

25 pages, 4695 KB  
Article
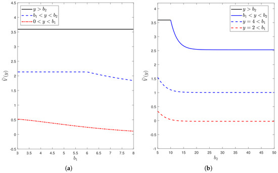
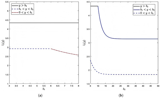
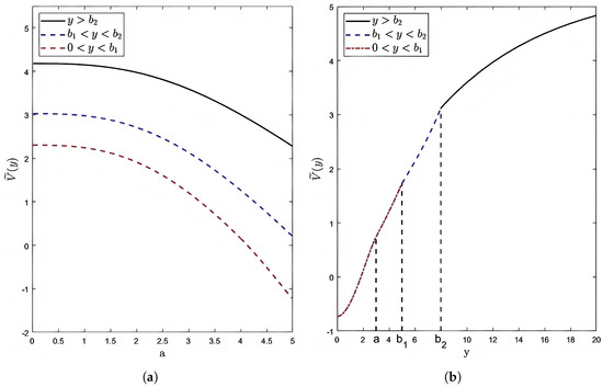
Spectrally Negative Lévy Risk Model Under Multi-Layer Ratcheting Dividend Strategy and Capital Injections
by Fuyun Sun and Yongxia Zhao
Axioms 2026, 15(2), 101; https://doi.org/10.3390/axioms15020101 - 30 Jan 2026
Viewed by 381
Abstract
In this study, we investigate the mixed n-layer ratcheting dividend and capital injection policies for a spectrally negative Lévy risk model, where dividend distributions are implemented continuously in a non-decreasing manner, and capital injections are conducted discretely at the jump instants of [...] Read more.
In this study, we investigate the mixed n-layer ratcheting dividend and capital injection policies for a spectrally negative Lévy risk model, where dividend distributions are implemented continuously in a non-decreasing manner, and capital injections are conducted discretely at the jump instants of an independent Poisson process. We incorporate both terminal values and transaction costs into the analysis, making the model more in line with practical scenarios. The value function and the Laplace transform of the ruin time are derived by leveraging Lévy fluctuation theory, and all the obtained results are formulated in terms of scale functions. Furthermore, numerical examples based on the classic risk model are provided to illustrate the theoretical findings. Full article
Show Figures

Figure 1

35 pages, 8498 KB  
Article
Research on Short-Term Wind Power Forecasting Based on VMD-IDBO-SVM
by Gengda Li, Chaoying Li, Jian Qian, Zilong Ma, Hao Sun, Ridong Jiao, Wei Jia, Yibo Yao and Tiefeng Zhang
Electronics 2026, 15(3), 533; https://doi.org/10.3390/electronics15030533 - 26 Jan 2026
Viewed by 502
Abstract
To enhance the accuracy of wind power forecasting, this paper proposes a hybrid model that integrates Variational Mode Decomposition (VMD), Improved Dung Beetle Optimization (IDBO) and Support Vector Machine (SVM). First, to reduce the volatility and non-stationarity of wind power data, VMD is [...] Read more.
To enhance the accuracy of wind power forecasting, this paper proposes a hybrid model that integrates Variational Mode Decomposition (VMD), Improved Dung Beetle Optimization (IDBO) and Support Vector Machine (SVM). First, to reduce the volatility and non-stationarity of wind power data, VMD is applied to decompose the original signal into several intrinsic mode functions (IMFs). Subsequently, the Dung Beetle Optimization (DBO) algorithm is improved using chaotic mapping, a Lévy flight search strategy and adaptive t-distribution. Finally, the penalty coefficient of the SVM is optimized using IDBO, and the VMD-IDBO-SVM model is constructed. This study proposes an improved IDBO algorithm and, for the first time, integrates VMD and IDBO-SVM within the context of wind power forecasting. Experimental results show that the proposed VMD-IDBO-SVM model achieves a MAE of 3.315, an RMSE of 4.130, and an R2 of 0.985 on test data from a wind farm, demonstrating a significant improvement compared with the traditional SVM model. It has demonstrated excellent stability and significance in both multi-time-slice validation and statistical testing. Full article
(This article belongs to the Special Issue Applications of Artificial Intelligence in Electric Power Systems)
Show Figures

Figure 1

18 pages, 963 KB  
Article
An Improved Dung Beetle Optimizer with Kernel Extreme Learning Machine for High-Accuracy Prediction of External Corrosion Rates in Buried Pipelines
by Yiqiong Gao, Zhengshan Luo, Bo Wang and Dengrui Mu
Symmetry 2026, 18(1), 167; https://doi.org/10.3390/sym18010167 - 16 Jan 2026
Viewed by 328
Abstract
Accurately predict the external corrosion rate is crucial for the integrity management and risk assessment of buried pipelines. However, existing prediction models often suffer from limitations such as low accuracy, instability, and overfitting. To address these challenges, this study proposes a novel hybrid [...] Read more.
Accurately predict the external corrosion rate is crucial for the integrity management and risk assessment of buried pipelines. However, existing prediction models often suffer from limitations such as low accuracy, instability, and overfitting. To address these challenges, this study proposes a novel hybrid model, FA-IDBO-KELM. Firstly, Factor Analysis (FA) was employed to reduce the dimensionality of ten original corrosion-influencing factors, extracting seven principal components to mitigate multicollinearity. Subsequently, the hyperparameters (penalty coefficient C and kernel parameter γ) of the Kernel Extreme Learning Machine (KELM) were optimized using an Improved Dung Beetle Optimizer (IDBO). The IDBO included four key enhancements compared to the standard DBO: spatial pyramid mapping (SPM) for population initialization, a spiral search strategy, Lévy flight, and an adaptive t-distribution mutation strategy to prevent premature convergence. The model was validated using a dataset from the West–East Gas Pipeline, with 90% of the data being used for training and 10% for testing. The results demonstrate the superior performance of FA-IDBO-KELM, which achieved a root mean square error (RMSE) of 0.0028, a mean absolute error (MAE) of 0.0021, and a coefficient of determination (R2) of 0.9954 on the test set. Compared to benchmark models (FA-KELM, FA-SSA-KELM, FA-DBO-KELM), the proposed model reduced the RMSE by 93.0%, 89.1%, and 85.3%, and improved the R2 by 85.7%, 10.6%, and 7.4%, respectively. The FA-IDBO-KELM model provides a highly accurate and reliable tool for predicting the external corrosion rate, which can significantly support pipeline maintenance decision-making. Full article
(This article belongs to the Section Engineering and Materials)
Show Figures

Figure 1

20 pages, 11896 KB  
Article
Improved Secretary Bird Optimization Algorithm for UAV Path Planning
by Huanlong Zhang, Hang Cheng, Xin Wang, Liao Zhu, Dian Jiao and Zhoujingzi Qiu
Algorithms 2026, 19(1), 64; https://doi.org/10.3390/a19010064 - 12 Jan 2026
Viewed by 421
Abstract
In view of the complex flight scenarios existing in UAV path planning, it is necessary to model the UAV flight trajectory. When constructing the model, cost factors such as the minimum flight path of the UAV, obstacle avoidance, flight altitude, and trajectory smoothness [...] Read more.
In view of the complex flight scenarios existing in UAV path planning, it is necessary to model the UAV flight trajectory. When constructing the model, cost factors such as the minimum flight path of the UAV, obstacle avoidance, flight altitude, and trajectory smoothness are fully taken into account. To reduce the overall flight cost, a novel secretary bird optimization algorithm (NSBOA) is proposed in this paper, which effectively addresses the limitations of traditional algorithms in handling UAV path planning tasks. First of all, the Singer chaotic map is adopted to initialize the population instead of the conventional random initialization method. This improvement increases population diversity, enables the initial population to be more evenly distributed in the search space, and further accelerates the algorithm’s convergence speed in the subsequent optimization process. Second, an adaptive adjustment mechanism is integrated with the Levy flight mechanism to optimize the core logic of the algorithm, with a specific focus on improving the exploitation stage. By introducing appropriate perturbations near the current optimal solution, the algorithm is guided to jump out of local optimal traps, thereby enhancing its global optimization capability and avoiding premature convergence caused by insufficient population diversity. By comparing and analyzing NSBOA with SBOA, WOA, PSO, POA, NGO, and HHO algorithms in 12 common evaluation functions and CEC 2017 test functions, and applying NSBOA to the UAV path optimization problem, the simulation results show the effectiveness and superiority of the proposed scheme. Full article
Show Figures

Figure 1

29 pages, 5636 KB  
Article
High-Precision Permanent Magnet Localization Using an Improved Artificial Lemming Algorithm Integrated with Levenberg–Marquardt Optimization
by Weihong Bi, Chunlong Zhang, Guangwei Fu, Mengye Wang and Zengjie Guo
Electronics 2026, 15(1), 135; https://doi.org/10.3390/electronics15010135 - 27 Dec 2025
Viewed by 598
Abstract
Magnetic localization technology plays a significant role in medical device navigation and human–computer interaction. However, existing localization methods based on local optimization suffer from poor initial solutions and slow convergence. To address the aforementioned challenges, this paper presents a hybrid localization approach, referred [...] Read more.
Magnetic localization technology plays a significant role in medical device navigation and human–computer interaction. However, existing localization methods based on local optimization suffer from poor initial solutions and slow convergence. To address the aforementioned challenges, this paper presents a hybrid localization approach, referred to as the Improved Artificial Lemming Algorithm (IALA) Integrated with Levenberg–Marquardt (LM) Optimization. Building upon the Artificial Lemming Algorithm (ALA), the proposed method incorporates an adaptive Gaussian–Lévy hybrid mutation strategy designed to enhance search performance through improved exploration–exploitation dynamics, as quantitatively demonstrated by the diversity-based analysis where IALA maintains higher exploration percentages on multimodal functions while achieving superior optimization results on high-dimensional problems. By introducing a competitive foraging mechanism inspired by the aggressive behavior of the Tasmanian Devil Optimization (TDO) algorithm, it enhances population diversity and search initiative. Furthermore, a time-varying tracking and escape strategy is adopted to improve dynamic optimization performance in complex solution spaces. The proposed method leverages IALA to generate high-quality initial solutions, significantly accelerating the convergence speed and stability of the LM algorithm, thereby improving the overall performance of the permanent magnet localization system. The experimental results show that, using a horizontal test platform of 60 mm × 60 mm with 41 uniformly distributed test points, and acquiring data at vertical heights ranging from 15 mm to 65 mm in 5 mm increments for two distinct orientations of the permanent magnet, the IALA-LM algorithm achieves an average localization success rate of 96.9% over 902 trials, with a mean position error of 1.1 mm and a mean orientation error of 0.17°. Compared with the standard LM algorithm, the proposed IALA-LM algorithm reduces the position error by approximately 66.7% (from 3.3 mm to 1.1 mm) and the orientation error by approximately 94.3% (from 3.0° to 0.17°). Consequently, the proposed method enables high-precision, high-stability, and high-efficiency localization of permanent magnets. It can provide reliable spatial pose estimation support for demanding applications such as miniature implantable or ingestible medical devices (e.g., capsule endoscopy, intramedullary nail fixation, and tumor localization), human–computer interaction, and industrial inspection. Full article
Show Figures

Figure 1

41 pages, 7185 KB  
Article
Two-Stage Dam Displacement Analysis Framework Based on Improved Isolation Forest and Metaheuristic-Optimized Random Forest
by Zhihang Deng, Qiang Wu and Minshui Huang
Buildings 2025, 15(24), 4467; https://doi.org/10.3390/buildings15244467 - 10 Dec 2025
Cited by 1 | Viewed by 545
Abstract
Dam displacement monitoring is crucial for assessing structural safety; however, conventional models often prioritize single-task prediction, leading to an inherent difficulty in balancing monitoring data quality with model performance. To bridge this gap, this study proposes a novel two-stage analytical framework that synergistically [...] Read more.
Dam displacement monitoring is crucial for assessing structural safety; however, conventional models often prioritize single-task prediction, leading to an inherent difficulty in balancing monitoring data quality with model performance. To bridge this gap, this study proposes a novel two-stage analytical framework that synergistically integrates an improved isolation forest (iForest) with a metaheuristic-optimized random forest (RF). The first stage focuses on data cleaning, where Kalman filtering is applied for denoising, and a newly developed Dynamic Threshold Isolation Forest (DTIF) algorithm is introduced to effectively isolate noise and outliers amidst complex environmental loads. In the second stage, the model’s predictive capability is enhanced by first employing the LASSO algorithm for feature importance analysis and optimal subset selection, followed by an Improved Reptile Search Algorithm (IRSA) for fine-tuning RF hyperparameters, thereby significantly boosting the model’s robustness. The IRSA incorporates several key improvements: Tent chaotic mapping during initialization to ensure population diversity, an adaptive parameter adjustment mechanism combined with a Lévy flight strategy in the encircling phase to dynamically balance global exploration and convergence, and the integration of elite opposition-based learning with Gaussian perturbation in the hunting phase to refine local exploitation. Validated against field data from a concrete hyperbolic arch dam, the proposed DTIF algorithm demonstrates superior anomaly detection accuracy across nine distinct outlier distribution scenarios. Moreover, for long-term displacement prediction tasks, the IRSA-RF model substantially outperforms traditional benchmark models in both predictive accuracy and generalization capability, providing a reliable early risk warning and decision-support tool for engineering practice. Full article
(This article belongs to the Special Issue Structural Health Monitoring Through Advanced Artificial Intelligence)
Show Figures

Figure 1

49 pages, 2669 KB  
Article
On a Three-Parameter Bounded Gamma–Gompertz Distribution, with Properties, Estimation, and Applications
by Tassaddaq Hussain, Mohammad Shakil and Mohammad Ahsanullah
AppliedMath 2025, 5(4), 177; https://doi.org/10.3390/appliedmath5040177 - 8 Dec 2025
Viewed by 786
Abstract
A novel statistical model, the Bounded Gamma–Gompertz Distribution (BGGD), is presented alongside a full characterization of its properties. Our investigation identifies maximum-likelihood estimation (MLE) as the most effective fitting procedure, proving it to be more consistent and efficient than alternative approaches like L-moments [...] Read more.
A novel statistical model, the Bounded Gamma–Gompertz Distribution (BGGD), is presented alongside a full characterization of its properties. Our investigation identifies maximum-likelihood estimation (MLE) as the most effective fitting procedure, proving it to be more consistent and efficient than alternative approaches like L-moments and Bayesian estimation. Empirical validation on Tesla (TSLA) financial records—spanning open, high, low, close prices, and trading volume—showcased the BGGD’s superior performance. It delivered a better fit than several competing heavy-tailed distributions, including Student-t, Log-Normal, Lévy, and Pareto, as indicated by minimized AIC and BIC statistics. The results substantiate the distribution’s robustness in capturing extreme-value behavior, positioning it as a potent tool for financial modeling applications. Full article
Show Figures

Figure 1

Back to TopTop