Sign in to use this feature.

Years

Between: -

Subjects

remove_circle_outline
remove_circle_outline
remove_circle_outline
remove_circle_outline
remove_circle_outline
remove_circle_outline
remove_circle_outline
remove_circle_outline

Journals

Article Types

Countries / Regions

Search Results (77)

Search Parameters:
Keywords = LST uncertainty

Order results
Result details
Results per page
Select all
Export citation of selected articles as:
22 pages, 3447 KB  
Article
Leveraging Machine Learning Flood Forecasting: A Multi-Dimensional Approach to Hydrological Predictive Modeling
by Ghazi Al-Rawas, Mohammad Reza Nikoo, Nasim Sadra and Malik Al-Wardy
Water 2026, 18(2), 192; https://doi.org/10.3390/w18020192 - 12 Jan 2026
Viewed by 227
Abstract
Flash flood events are some of the most life-threatening natural disasters, so it is important to predict extreme rainfall events effectively. This study introduces an LSTM model that utilizes a customized loss function to effectively predict extreme rainfall events. The proposed model incorporates [...] Read more.
Flash flood events are some of the most life-threatening natural disasters, so it is important to predict extreme rainfall events effectively. This study introduces an LSTM model that utilizes a customized loss function to effectively predict extreme rainfall events. The proposed model incorporates dynamic environmental variables, such as rainfall, LST, and NDVI, and incorporates additional static variables such as soil type and proximity to infrastructure. Wavelet transformation decomposes the time series into low- and high-frequency components to isolate long-term trends and short-term events. Model performance was compared against Random Forest (RF), Support Vector Machines (SVMs), Artificial Neural Networks (ANNs), and an LSTM-RF ensemble. The custom loss LSTM achieved the best performance (MAE = 0.022 mm/day, RMSE = 0.110 mm/day, R2 = 0.807, SMAPE = 7.62%), with statistical validation via a Kruskal–Wallis ANOVA, confirming that the improvement is significant. Model uncertainty is quantified using a Bayesian MCMC framework, yielding posterior estimates and credible intervals that explicitly characterize predictive uncertainty under extreme rainfall conditions. The sensitivity analysis highlights rainfall and LST as the most influential predictors, while wavelet decomposition provides multi-scale insights into environmental dynamics. The study concludes that customized loss functions can be highly effective in extreme rainfall event prediction and thus useful in managing flash flood events. Full article
(This article belongs to the Section Hydrology)
Show Figures

Figure 1

45 pages, 54738 KB  
Article
A Deep Learning Approach to Downscaling Microwave Land Surface Temperatures for a Clear-Sky Merged Infrared-Microwave Product
by Abigail Marie Waring, Darren Ghent, David Moffat, Carlos Jimenez and John Remedios
Remote Sens. 2025, 17(23), 3893; https://doi.org/10.3390/rs17233893 - 30 Nov 2025
Viewed by 554
Abstract
Reliable land surface temperature (LST) data are required for monitoring climate variability, hydrological processes, and land–atmosphere interactions. Yet existing satellite-derived LST products, such as those from thermal infrared (TIR) sensors, are limited by gaps due to clouds, while passive microwave (PMW) observations, though [...] Read more.
Reliable land surface temperature (LST) data are required for monitoring climate variability, hydrological processes, and land–atmosphere interactions. Yet existing satellite-derived LST products, such as those from thermal infrared (TIR) sensors, are limited by gaps due to clouds, while passive microwave (PMW) observations, though less affected by atmospheric interference, suffer from coarse resolution and larger uncertainty. This study presents the first validated clear-sky merged LST product for the USA and combines downscaled PMW data from AMSR-E and AMSR2 with MODIS TIR observations, using a modified U-Net deep learning network. The merged dataset covers 2004–2021 at 5 km resolution, providing a compromise between spatial detail and robustness. The model performs well, with low mean squared errors and R2 values of 0.80 (day) and 0.75 (night). The merged time series captures seasonal trends and shows a marked reduction in cloud-contamination artefacts compared to MODIS and AMSR signals. Spatially, the product is consistent across sensor transitions and reduces artefacts from TIR cloud contamination. Validation against ground stations shows results between those of TIR and PMW, with better accuracy at night and moderate positive biases influenced by land cover and terrain. Although the merged product does not match the fine resolution of TIR data by choice, it enhances spatial coverage over AMSR alone and temporal completeness over MODIS alone, where single-sensor products are limited. Residual temporal and seasonal biases are moderate, with systematic warm and cold deviations linked to land cover, propagation of emissivity errors, and sampling differences. Strong positive biases remain over terrain with complex surface properties as the downscaled AMSR is closer to MODIS temperatures. Results demonstrate the combined benefits of PMW’s broader coverage and cloud tolerance with TIR’s spatial detail. Overall, results demonstrate the potential of sensor fusion for producing spatially consistent LST records suitable for long-term environmental and climate monitoring. Full article
(This article belongs to the Section Earth Observation Data)
Show Figures

Figure 1

23 pages, 2155 KB  
Article
Identification of Groundwater Recharge Potential Zones in Islamabad and Rawalpindi for Sustainable Water Management
by Hijab Zahra, Asif Sajjad, Ghayas Haider Sajid, Mazhar Iqbal and Aqib Hassan Ali Khan
Water 2025, 17(23), 3392; https://doi.org/10.3390/w17233392 - 28 Nov 2025
Cited by 1 | Viewed by 933
Abstract
Groundwater is a vital freshwater resource for Pakistan, particularly in the rapidly urbanizing cities of Rawalpindi and Islamabad. However, rising demand, changing land use, and climate uncertainty pose significant risks to its long-term availability. This study employs the Analytic Hierarchy Process (AHP), Remote [...] Read more.
Groundwater is a vital freshwater resource for Pakistan, particularly in the rapidly urbanizing cities of Rawalpindi and Islamabad. However, rising demand, changing land use, and climate uncertainty pose significant risks to its long-term availability. This study employs the Analytic Hierarchy Process (AHP), Remote Sensing (RS), and Geographic Information System (GIS) to map groundwater potential zones (GWPZs). A total of eleven parameters, including Rainfall, slope, elevation, drainage density, soil type, water table depth, land use/land cover (LULC), and remote sensing indices (NDVI, MSI, TWI, and LST), were used for the identification of groundwater potential zones. The results showed that 51.96% of the study area is classified as having “moderate” groundwater potential, while 5.64% and 33.09% are categorized as “very high” and “high” potential zones, respectively. Conversely, 8.25% and 1.04% of the area are classified as “low” and “very low” zones, respectively. Parameters such as steep slopes, urbanization, and high land surface temperatures hinder recharge, whereas gentle slopes, vegetation, and shallow water tables enhance recharge potential. In semi-arid, urbanizing areas, the integrated AHP–GIS–RS techniques provide a reliable and cost-effective method for mapping GWPZs, offering essential decision support for sustainable water resource management. Full article
Show Figures

Figure 1

22 pages, 3687 KB  
Article
Spatial Sampling Uncertainty for MODIS Terra Land Surface Temperature Retrievals
by Claire E. Bulgin, Darren J. Ghent and Mike Perry
Remote Sens. 2025, 17(20), 3435; https://doi.org/10.3390/rs17203435 - 15 Oct 2025
Viewed by 508
Abstract
Land surface temperature (LST) data are often required at coarser resolutions than the native satellite data for user applications. LST products from infrared sensors are clear-sky only, and thus, coarsening such data introduces a sampling uncertainty where the target domain is not fully [...] Read more.
Land surface temperature (LST) data are often required at coarser resolutions than the native satellite data for user applications. LST products from infrared sensors are clear-sky only, and thus, coarsening such data introduces a sampling uncertainty where the target domain is not fully sampled. In this manuscript, we calculate sampling uncertainty as a function of clear-sky fraction for 0.01° products re-gridded to 0.05° and 0.1°. We find that sampling uncertainty is dependent on both the underlying land cover (biome) and the solar geometry at the time of the observation. The largest sampling uncertainties are seen for mixed pixels (encompassing a variety of biomes) at 0.05° resolution (0.98 K) and for urban pixels at 0.1° resolution (2.5 K). The spatial sampling uncertainty methodology presented here is applicable to any infrared LST products provided at these resolutions (from a native resolution of 0.01°/~1 km), irrespective of retrieval algorithm or satellite, provided that the uncertainty due to noise can be removed. Full article
Show Figures

Figure 1

20 pages, 575 KB  
Article
Uncertainty-Driven Stability Analysis of Minimum Spanning Tree Under Multiple Risk Variations
by Ahmad Hosseini
Mathematics 2025, 13(19), 3100; https://doi.org/10.3390/math13193100 - 27 Sep 2025
Viewed by 758
Abstract
The Minimum Spanning Tree (MST) problem addresses the challenge of identifying optimal network pathways for critical infrastructure systems, including transportation grids, communication backbones, power distribution networks, and reliability optimization frameworks. However, inherent uncertainties stemming from disruptive events demand robust analytical models for effective [...] Read more.
The Minimum Spanning Tree (MST) problem addresses the challenge of identifying optimal network pathways for critical infrastructure systems, including transportation grids, communication backbones, power distribution networks, and reliability optimization frameworks. However, inherent uncertainties stemming from disruptive events demand robust analytical models for effective decision-making. This research introduces an uncertainty-theoretic framework to assess MST stability in uncertain network environments through novel constructs: lower set tolerance (LST) and dual lower set tolerance (DLST). Both LST and DLST provide quantifiable measures characterizing the resilience of element sets relative to edge-weighted MST configurations. LST captures the maximum simultaneous risk variation preserving current MST optimality, while DLST identifies the minimal variation required to invalidate it. We evaluate MST robustness by integrating uncertain reliability measures and risk factors, with emphasis on computational methods for set tolerance determination. To overcome computational hurdles in set tolerance derivation, we establish bounds and exact formulations within an uncertainty programming paradigm, offering enhanced efficiency compared with conventional re-optimization techniques. Full article
(This article belongs to the Section E: Applied Mathematics)
Show Figures

Figure 1

24 pages, 20414 KB  
Article
Impact of Internal and External Landscape Patterns on Urban Greenspace Cooling Effects: Analysis from Maximum and Accumulative Perspectives
by Lujia Tang, Qingming Zhan, Huimin Liu and Yuli Fan
Buildings 2025, 15(4), 573; https://doi.org/10.3390/buildings15040573 - 13 Feb 2025
Cited by 7 | Viewed by 1459
Abstract
Urban greenspace is an effective strategy to mitigate the urban heat island (UHI) effect. While its cooling effects are well-established, uncertainties remain regarding the combined impact of internal and external landscape patterns, particularly the role of morphological spatial patterns. Taking 40 urban greenspaces [...] Read more.
Urban greenspace is an effective strategy to mitigate the urban heat island (UHI) effect. While its cooling effects are well-established, uncertainties remain regarding the combined impact of internal and external landscape patterns, particularly the role of morphological spatial patterns. Taking 40 urban greenspaces in Wuhan as the sample, this study quantified cooling effects from maximum and accumulative perspectives and investigated the impacts of internal and external landscape patterns. First, using land surface temperature (LST) data, four cooling indexes—greenspace cooling area (GCA), cooling efficiency (GCE), cooling intensity (GCI), and cooling gradient (GCG)—were quantified. Then, the relationships between these indexes and landscape patterns, including scale and landscape composition, morphological spatial pattern, and surrounding environmental characteristics, were investigated by correlation analysis and multiple stepwise regression. The results showed that the cooling effects of greenspace varied across different perspectives. Both greenspace area and perimeter exerted non-linear impacts on cooling effects, and morphological spatial pattern significantly influenced cooling effects. Core proportion was positively correlated with cooling effects, with an optimal threshold of 55%, whereas bridge and branch proportions had negative impacts. External landscape patterns, particularly the proportion of impervious surfaces and building coverage, also affected cooling effects. Additionally, cluster analysis using Ward’s system clustering method revealed five cooling bundles, indicating that urban greenspaces with diverse cooling needs exhibited different cooling effects. This study offers valuable insights for optimizing urban greenspace design to enhance cooling effects and mitigate UHI. Full article
(This article belongs to the Special Issue Advanced Studies in Urban and Regional Planning—2nd Edition)
Show Figures

Figure 1

24 pages, 18018 KB  
Article
Analysis of Land Surface Performance Differences and Uncertainty in Multiple Versions of MODIS LST Products
by Ruoyi Zhao, Wenping Yu, Xiangyi Deng, Yajun Huang, Wen Yang and Wei Zhou
Remote Sens. 2024, 16(22), 4255; https://doi.org/10.3390/rs16224255 - 15 Nov 2024
Cited by 7 | Viewed by 3261
Abstract
Moderate Resolution Imaging Spectroradiometer (MODIS) Land Surface Temperature (LST) products are essential data sources for global and regional climate change research. Currently, several versions of the MODIS LST product have been released, yet the performance differences and uncertainties they introduce in land surface [...] Read more.
Moderate Resolution Imaging Spectroradiometer (MODIS) Land Surface Temperature (LST) products are essential data sources for global and regional climate change research. Currently, several versions of the MODIS LST product have been released, yet the performance differences and uncertainties they introduce in land surface studies remain insufficiently addressed. To bridge this gap, this study focuses on four distinct versions of the LST product: MxD11A1 Collection 5 (C5), Collection 6 (C6), Collection 6.1 (C6.1), and MxD21A1 Collection 6.1 (MxD21). The spatial resolution of all product generations is 1 km, and the temporal resolution is 0.5 days. This study provides a comprehensive analysis of the errors arising from different generations of these products in various land surface process studies. The error assessment includes cross-comparisons between product versions and evaluations of the absolute errors generated. Absolute errors in evaluation data were collected from 13 surface sites within the Heihe Watershed Allied Telemetry Experimental Research (HiWATER) project during the period 2013–2018. Cross-validation results show that the largest difference between C5 and C6.1 occurs over bare land, with an RMSE of approximately 1.45 K, while there is no significant change between C6 and C6.1. MOD21 shows considerable variation compared to C6.1 at night across different land cover types, with RMSE over cropland exceeding 2 K. The temperature difference between MOD21 and C6.1 is more pronounced at night (2.01 K) than during the day (0.30 K). Validation results based on temperature indicate that C5 has greater uncertainty compared to C6, especially over bare land, where errors are 2.06 K and 1.06 K, respectively. Furthermore, MxD21 demonstrates significant day–night performance discrepancies, with an average bias of 0.10 K at night, while daytime errors over bare land can reach 2 K, potentially influenced by atmospheric conditions. Based on the research in this paper, it is possible to clarify the performance of different versions of MODIS products, reflecting the appropriateness of their past applications; on the other hand, it is recommended to prioritize the use of the MxD11A1 C6 and C6.1 products for monitoring and applications in bare soil areas to ensure higher accuracy. Furthermore, for day and night monitoring, it may be beneficial to alternate between the MxD11A1 and MxD21A1 products to fully leverage their respective advantages and enhance overall monitoring effectiveness. Full article
(This article belongs to the Special Issue Remote Sensing for Land Surface Temperature and Related Applications)
Show Figures

Figure 1

26 pages, 11851 KB  
Article
Development and Evaluation of Machine Learning Models for Air-to-Land Temperature Conversion Using the Newly Established Kunlun Mountain Gradient Observation System
by Yongkang Li, Qing He, Yongqiang Liu, Amina Maituerdi, Yang Yan and Jiao Tan
Land 2024, 13(11), 1903; https://doi.org/10.3390/land13111903 - 13 Nov 2024
Cited by 2 | Viewed by 1338
Abstract
Mountainous land types are characterized by a scarcity of observational data, particularly in remote areas such as the Kunlun Mountains, where conventional Automatic Weather Stations (AWSs) typically do not record land surface temperature (LST) data. This study aims to develop and evaluate models [...] Read more.
Mountainous land types are characterized by a scarcity of observational data, particularly in remote areas such as the Kunlun Mountains, where conventional Automatic Weather Stations (AWSs) typically do not record land surface temperature (LST) data. This study aims to develop and evaluate models for converting air temperature (TA) to LST using newly established meteorological station data from the Kunlun Mountain Gradient Observation System, thereby providing time-continuous LST data for AWSs. We constructed a conceptual model to explore the relationship between 1.5 m TA and LST and instantiated it using three machine learning algorithms: Support Vector Machine (SVR), Convolutional Neural Network (CNN), and CatBoost. The results demonstrated that the CatBoost algorithm outperformed the others under complex terrain and climatic conditions, achieving a coefficient of determination (R2) of 0.997 and the lowest root mean square error (RMSE) of 0.627 °C, indicating superior robustness and accuracy. Consequently, CatBoost was selected as the optimal model. Additionally, this study analyzed the spatiotemporal distribution characteristics of cloud cover in the Kunlun Mountain region using the MOD11A1 product and assessed the uncertainties introduced by the 8-day average compositing method of the MOD11A2 product. The results revealed significant discrepancies between the monthly average LST derived from polar-orbiting satellites and the hourly composite monthly LST measured on-site or under ideal cloud-free conditions. These differences were particularly pronounced in high-altitude regions (4000 m and above), with the greatest differences occurring in winter, reaching up to 10.2 °C. These findings emphasize the importance of hourly LST calculations based on AWSs for accurately assessing the spatiotemporal characteristics of LST in the Kunlun Mountains, thus providing more precise spatiotemporal support for remote sensing applications in high-altitude regions. Full article
(This article belongs to the Section Land Innovations – Data and Machine Learning)
Show Figures

Figure 1

19 pages, 24334 KB  
Article
A 40-Year Time Series of Land Surface Emissivity Derived from AVHRR Sensors: A Fennoscandian Perspective
by Mira Barben, Stefan Wunderle and Sonia Dupuis
Remote Sens. 2024, 16(19), 3686; https://doi.org/10.3390/rs16193686 - 2 Oct 2024
Cited by 3 | Viewed by 2673
Abstract
Accurate land surface temperature (LST) retrieval depends on precise knowledge of the land surface emissivity (LSE). Neglecting or inaccurately estimating the emissivity introduces substantial errors and uncertainty in LST measurements. The emissivity, which varies across different surfaces and land uses, reflects material composition [...] Read more.
Accurate land surface temperature (LST) retrieval depends on precise knowledge of the land surface emissivity (LSE). Neglecting or inaccurately estimating the emissivity introduces substantial errors and uncertainty in LST measurements. The emissivity, which varies across different surfaces and land uses, reflects material composition and surface roughness. Satellite data offer a robust means to determine LSE at large scales. This study utilises the Normalised Difference Vegetation Index Threshold Method (NDVITHM) to produce a novel emissivity dataset spanning the last 40 years, specifically tailored for the Fennoscandian region, including Norway, Sweden, and Finland. Leveraging the long and continuous data series from the Advanced Very High Resolution Radiometer (AVHRR) sensors aboard the NOAA and MetOp satellites, an emissivity dataset is generated for 1981–2022. This dataset incorporates snow-cover information, enabling the creation of annual emissivity time series that account for winter conditions. LSE time series were extracted for six 15 × 15 km study sites and compared against the Moderate Resolution Imaging Spectroradiometer (MODIS) MOD11A2 LSE product. The intercomparison reveals that, while both datasets generally align, significant seasonal differences exist. These disparities are attributable to differences in spectral response functions and temporal resolutions, as well as the method considering fixed values employed to calculate the emissivity. This study presents, for the first time, a 40-year time series of the emissivity for AVHRR channels 4 and 5 in Fennoscandia, highlighting the seasonal variability, land-cover influences, and wavelength-dependent emissivity differences. This dataset provides a valuable resource for future research on long-term land surface temperature and emissivity (LST&E) trends, as well as land-cover changes in the region, particularly with the use of Sentinel-3 data and upcoming missions such as EUMETSAT’s MetOp Second Generation, scheduled for launch in 2025. Full article
Show Figures

Graphical abstract

20 pages, 6797 KB  
Article
Feasibility of Urban–Rural Temperature Difference Method in Surface Urban Heat Island Analysis under Non-Uniform Rural Landcover: A Case Study in 34 Major Urban Agglomerations in China
by Menglin Si, Na Yao, Zhao-Liang Li, Xiangyang Liu, Bo-Hui Tang and Françoise Nerry
Remote Sens. 2024, 16(7), 1232; https://doi.org/10.3390/rs16071232 - 31 Mar 2024
Cited by 4 | Viewed by 2323
Abstract
The urban–rural temperature difference is widely used in measuring surface urban heat island intensity (SUHII), where the accurate determination of rural background is crucial. However, traditionally, the entire permeable rural surface has been selected to represent the background temperature, leaving uncertainty about the [...] Read more.
The urban–rural temperature difference is widely used in measuring surface urban heat island intensity (SUHII), where the accurate determination of rural background is crucial. However, traditionally, the entire permeable rural surface has been selected to represent the background temperature, leaving uncertainty about the impact of non-uniform rural surfaces with multiple land covers on the accuracy of SUHII quantification. In this study, we proposed two quantifications of SUHII derived from the primary (SUHII1) and secondary (SUHII2) land types, respectively, which successively occupy over 40–50% of whole rural regions. The spatial integration and temporal variation of SUHII1 and SUHII2 were compared with the result from whole rural regions (SUHII) within 34 urban agglomerations (UAs) in China. The results showed that the SUHII1 and SUHII2 differed slightly with SUHII, and the correlation coefficients of SUHII and SUHII1/SUHII2 are generally above 0.9 in most (32) UAs. Regarding the long-term SUHII between 2003 and 2019, the three methods demonstrated similar seasonal patterns, although SUHII1 (or SUHII2) tended to overestimate or underestimate compared to SUHII. As for the multi-year integration at the regional scale, the day–night cycle and monthly variations of SUHII1 and SUHII were found to be identical for each geographical division separately, indicating that the spatiotemporal pattern revealed by SUHII is minimally affected by the diversity of rural landcover types. The findings confirmed the viability of the urban–rural LST difference method for measuring long-term regional SUHII patterns under non-uniform rural land cover types. Full article
Show Figures

Figure 1

25 pages, 4684 KB  
Article
Improvements in the Estimation of Air Temperature with Empirical Models on Livingston and Deception Islands in Maritime Antarctica (2000–2016) Using C6 MODIS LST
by Alejandro Corbea-Pérez, Carmen Recondo and Javier F. Calleja
Remote Sens. 2024, 16(6), 1084; https://doi.org/10.3390/rs16061084 - 20 Mar 2024
Cited by 2 | Viewed by 1692
Abstract
Temperature analysis is of special interest in polar areas because temperature is an essential variable in the energy exchange between the Earth’s surface and atmosphere. Although land surface temperature (LST) obtained using satellites and air temperature (Ta) have different physical [...] Read more.
Temperature analysis is of special interest in polar areas because temperature is an essential variable in the energy exchange between the Earth’s surface and atmosphere. Although land surface temperature (LST) obtained using satellites and air temperature (Ta) have different physical meanings and are measured with different techniques, LST has often been successfully employed to estimate Ta. For this reason, in this work, we estimated Ta from LST MODIS collection 6 (C6) and used other predictor variables. Daily mean Ta was calculated from Spanish State Meteorological Agency (AEMET) stations data on the Livingston and Deception Islands, and from the PERMASNOW project stations on Livingston Island; both islands being part of the South Shetland Islands (SSI) archipelago. In relation to our previous work carried out in the study area with collection 5 (C5) data, we obtained higher R2 values (R2CV = 0.8, in the unique model with Terra daytime data) and lower errors (RMSECV = 2.2 °C, MAECV = 1.6 °C). We corroborated significant improvements in MODIS C6 LST data. We analyzed emissivity as a possible factor of discrepancies between C5 and C6, but we did not find conclusive results, therefore we could not affirm that emissivity is the factor that causes differences between one collection and another. The results obtained with the applied filters indicated that MODIS data can be used to study Ta in the area, as these filters contribute to the reduction of uncertainties in the modeling of Ta from satellites. Full article
(This article belongs to the Special Issue Remote Sensing for Land Surface Temperature and Related Applications)
Show Figures

Graphical abstract

27 pages, 6828 KB  
Article
Investigating the Spatial, Proximity, and Multiscale Effects of Influencing Factors in the Snowmelt Process in the Manas River Basin Using a Novel Zonal Spatial Panel Model
by Haixing Li, Jinrong Liu, Mengge Xiao and Xiaolong Bao
Remote Sens. 2024, 16(1), 26; https://doi.org/10.3390/rs16010026 - 20 Dec 2023
Cited by 1 | Viewed by 1720
Abstract
It is essential to investigate the influences of environmental elements on snow cover to understand the mechanism of the snowmelt process. These elements, as influencing factors, have spatial heterogeneity, which results in significant differences and uncertainties in the extent and range of their [...] Read more.
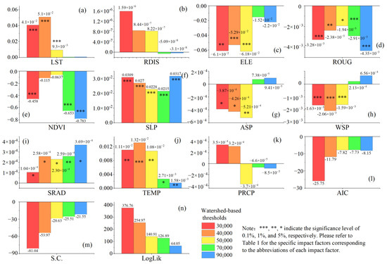
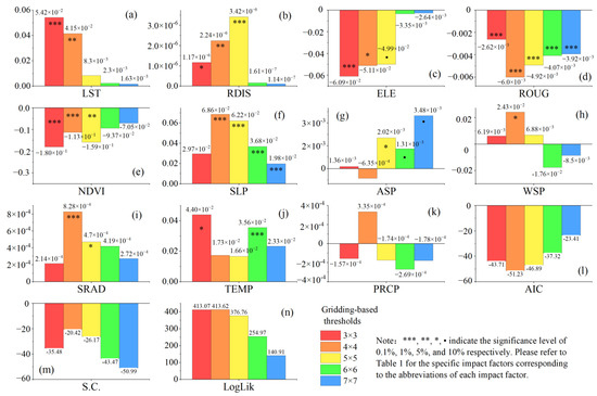
It is essential to investigate the influences of environmental elements on snow cover to understand the mechanism of the snowmelt process. These elements, as influencing factors, have spatial heterogeneity, which results in significant differences and uncertainties in the extent and range of their effects at different scales. However, little research has been conducted on the spatial interaction and mechanisms of these factors at multiple scales. This study selected the Manas River basin in the Tianshan Mountains as the study area. The study period is 2015–2020. The snow cover status index is calculated based on available Landsat8-OLS/TIRS data; influencing factors are collected from multiple datasets. Their relationships are explored using a novel zonal spatial panel model, fully considering the spatial, proximity, and scale effects. The findings are as follows: (1) There is a robust spatial interaction and proximity effect between snowmelt and various factors, and such effects display distinct spatial heterogeneity. The elevation (ELE), slope (SLP), land surface temperature (LST), and normalized digital vegetation index (NDVI) showed significant overall dominant effects on the snow melting process. The influencing factors with apparent proximity effects are LST, ELE, SLP, NDVI, and air temperature (TEMP), and their influence ranges are different. (2) The relative importance and significance rank of dominant influencing factors vary under different partition schemes and scales. As the scale decreases, the significance of terrain- and vegetation-related factors increases, whereas the significance of temperature- and elevation-related factors decreases, and the number of dominant factors also decreases. (3) The influencing factors represent distinct characteristics among each zone at the optimally partitioned scale we defined. The overall influencing pattern demonstrates a characteristic of being globally dictated by elevation and temperature, with local terrain factors, vegetation, and wind speed modifying this pattern. Our study provides practical data support and a theoretical basis for deepening our understanding of the influence mechanism of the snow melting process. Full article
Show Figures

Figure 1

19 pages, 8321 KB  
Article
Improving the Accuracy of Landsat 8 Land Surface Temperature in Arid Regions by MODIS Water Vapor Imagery
by Fahime Arabi Aliabad, Mohammad Zare, Hamidreza Ghafarian Malamiri and Ebrahim Ghaderpour
Atmosphere 2023, 14(10), 1589; https://doi.org/10.3390/atmos14101589 - 21 Oct 2023
Cited by 12 | Viewed by 3233
Abstract
Land surface temperature (LST) is a significant environmental factor in many studies. LST estimation methods require various parameters, such as emissivity, temperature, atmospheric transmittance and water vapor. Uncertainty in these parameters can cause error in LST estimation. The present study shows how the [...] Read more.
Land surface temperature (LST) is a significant environmental factor in many studies. LST estimation methods require various parameters, such as emissivity, temperature, atmospheric transmittance and water vapor. Uncertainty in these parameters can cause error in LST estimation. The present study shows how the moderate resolution imaging spectroradiometer (MODIS) water vapor imagery can improve the accuracy of Landsat 8 LST in different land covers of arid regions of Yazd province in Iran. For this purpose, water vapor variation is analyzed for different land covers within different seasons. Validation is performed using T-based and cross-validation methods. The image of atmospheric water vapor is estimated using the MODIS sensor, and its changes are investigated in different land covers. The bare lands and sparse vegetation show the highest and lowest accuracy levels for T-based validation, respectively. The root mean square error (RMSE) is also calculated as 0.57 °C and 1.41 °C for the improved and general split-window (SW) algorithms, respectively. The cross-validation results show that the use of the MODIS water vapor imagery in the SW algorithm leads to a reduction of about 2.2% in the area where the RMSE group is above 5 °C. Full article
(This article belongs to the Section Atmospheric Techniques, Instruments, and Modeling)
Show Figures

Figure 1

28 pages, 15640 KB  
Article
Real-Time Retrieval of Daily Soil Moisture Using IMERG and GK2A Satellite Images with NWP and Topographic Data: A Machine Learning Approach for South Korea
by Soo-Jin Lee, Eunha Sohn, Mija Kim, Ki-Hong Park, Kyungwon Park and Yangwon Lee
Remote Sens. 2023, 15(17), 4168; https://doi.org/10.3390/rs15174168 - 24 Aug 2023
Cited by 3 | Viewed by 3445
Abstract
Soil moisture (SM) is an indicator of the moisture status of the land surface, which is useful for monitoring extreme weather events. Representative global SM datasets include the National Aeronautics and Space Administration (NASA) Soil Moisture Active Passive (SMAP), the Global Land Data [...] Read more.
Soil moisture (SM) is an indicator of the moisture status of the land surface, which is useful for monitoring extreme weather events. Representative global SM datasets include the National Aeronautics and Space Administration (NASA) Soil Moisture Active Passive (SMAP), the Global Land Data Assimilation System (GLDAS), and the European Centre for Medium-Range Weather Forecasts (ECMWF) Reanalysis 5 (ERA5), but due to their low spatial resolutions, none of these datasets well describe SM changes in local areas, and they tend to have a low accuracy. Machine learning (ML)-based SM predictions have demonstrated high accuracy, but obtaining semi-real-time SM information remains challenging, and the dependence of the validation accuracy on the data sampling method used, such as random or yearly sampling, has led to uncertainties. In this study, we aimed to develop an ML-based model for real-time SM estimation that can capture local-scale variabilities in SM and have reliable accuracy, regardless of the sampling method. This study was conducted in South Korea, and satellite image data, numerical weather prediction (NWP) data, and topographic data provided within one day were used as the input data. For SM modeling, 13 input variables affecting the surface SM status were selected: 10- and 20-day cumulative standardized precipitation indexes (SPI10 and SPI20), a normalized difference vegetation index (NDVI), downward shortwave radiation (DSR), air temperature (Tair), land surface temperature (LST), soil temperature (Tsoil), relative humidity (RH), latent heat flux (LE), slope, elevation, topographic ruggedness index (TRI), and aspect. Then, SM models based on random forest (RF) and automated machine learning (AutoML) were constructed, trained, and validated using random sampling and leave-one-year-out (LOYO) cross-validation. The RF- and AutoML-based SM models had significantly high accuracy rates based on comparisons with in situ SM (mean absolute error (MAE) = 2.212–4.132%; mean bias error (MBE) = −0.110–0.136%; root mean square error (RMSE) = 3.186–5.384%; correlation coefficient (CC) = 0.732–0.913), while the AutoML-based SM model tended to have a higher accuracy than the RF-based SM model, regardless of the data sampling method used. In addition, when compared to in situ SM data, the SM models demonstrated the highest accuracy, outperforming both GLDAS and ERA5 SM data and well representing changes in the dryness/wetness of the land surface according to meteorological events (heatwave, drought, and rainfall). The SM models proposed in this study can, thus, offer semi-real-time SM data, aiding in the monitoring of moisture changes in the land surface, as well as short-term meteorological disasters, like flash droughts or floods. Full article
(This article belongs to the Special Issue Satellite Soil Moisture Estimation, Assessment, and Applications)
Show Figures

Figure 1

23 pages, 7228 KB  
Article
Land Cover Impacts on Surface Temperatures: Evaluation and Application of a Novel Spatiotemporal Weighted Regression Approach
by Chao Fan, Xiang Que, Zhe Wang and Xiaogang Ma
ISPRS Int. J. Geo-Inf. 2023, 12(4), 151; https://doi.org/10.3390/ijgi12040151 - 3 Apr 2023
Cited by 9 | Viewed by 3815
Abstract
The urban heat island (UHI) effect is an important topic for many cities across the globe. Previous studies, however, have mostly focused on UHI changes along either the spatial or temporal dimension. A simultaneous evaluation of the spatial and temporal variations is essential [...] Read more.
The urban heat island (UHI) effect is an important topic for many cities across the globe. Previous studies, however, have mostly focused on UHI changes along either the spatial or temporal dimension. A simultaneous evaluation of the spatial and temporal variations is essential for understanding the long-term impacts of land cover on the UHI. This study presents the first evaluation and application of a newly developed spatiotemporal weighted regression framework (STWR), the performance of which was tested against conventional models including the ordinary least squares (OLS) and the geographically weighted regression (GWR) models. We conducted a series of simulation tests followed by an empirical study over central Phoenix, AZ. The results show that the STWR model achieves better parameter estimation and response prediction results with significantly smaller errors than the OLS and GWR models. This finding holds true when the regression coefficients are constant, spatially heterogeneous, and spatiotemporally heterogeneous. The empirical study reveals that the STWR model provides better model fit than the OLS and GWR models. The LST has a negative relationship with GNDVI and LNDVI and a positive relationship with GNDBI for the three years studied. Over the last 20 years, the cooling effect from green vegetation has weakened and the warming effect from built-up features has intensified. We suggest the wide adoption of the STWR model for spatiotemporal studies, as it uses past observations to reduce uncertainty and improve estimation and prediction results. Full article
Show Figures

Figure 1

Back to TopTop