Sign in to use this feature.

Years

Between: -

Subjects

remove_circle_outline
remove_circle_outline
remove_circle_outline
remove_circle_outline
remove_circle_outline
remove_circle_outline
remove_circle_outline

Journals

Article Types

Countries / Regions

Search Results (190)

Search Parameters:
Keywords = Janus structure

Order results
Result details
Results per page
Select all
Export citation of selected articles as:
19 pages, 823 KB  
Review
Pyroptosis in Alopecia Areata: Synthesizing Emerging Hypotheses and Charting a Path to New Therapies
by Mateusz Łysek, Justyna Putek, Beata Jastrząb-Miśkiewicz, Jacek C. Szepietowski and Piotr K. Krajewski
Biomedicines 2025, 13(12), 2940; https://doi.org/10.3390/biomedicines13122940 - 29 Nov 2025
Viewed by 258
Abstract
Background/Objectives: Alopecia areata (AA) is a common, noncicatricial autoimmune hair loss disorder characterized by relapsing inflammation and breakdown of hair follicle immune privilege. Increasing amounts of evidence suggest that pyroptosis, a lytic and inflammatory form of programmed cell death mediated by gasdermins [...] Read more.
Background/Objectives: Alopecia areata (AA) is a common, noncicatricial autoimmune hair loss disorder characterized by relapsing inflammation and breakdown of hair follicle immune privilege. Increasing amounts of evidence suggest that pyroptosis, a lytic and inflammatory form of programmed cell death mediated by gasdermins and inflammasome activation, may play a role in AA pathogenesis. This review aims to synthesize current data on the molecular mechanisms linking inflammasome-driven pyroptosis with AA and to highlight emerging therapeutic opportunities. Methods: A comprehensive literature review was conducted focusing on mechanistic studies, ex vivo human scalp models, murine AA models, and interventional clinical data. A structured system of Levels of Evidence (LoE) and standardized nomenclature for experimental models was applied to ensure transparency in evaluating the role of pyroptosis and treatment strategies in AA. Results: Available evidence indicates that outer root sheath keratinocytes express functional inflammasome components, including NOD-like receptor family, pyrin domain containing 3 (NLRP3), adaptor-apoptosis-associated-speck-like protein (ASC), and caspase-1, and contribute to interleukin (IL)-1β release and pyroptotic cell death. Mitochondrial dysfunction, mediated by regulators such as PTEN and PINK1, amplifies NLRP3 activation and cytokine secretion, linking mitophagy impairment with follicular damage. Animal and human biopsy studies confirm increased inflammasome activity in AA lesions. Therapeutic approaches targeting pyroptosis include Janus kinase (JAK) inhibitors, biologics, Phosphodiesterase 4 (PDE4) inhibitors, mesenchymal stem cell therapy, natural compounds, and inflammasome inhibitors such as MCC950. While some agents demonstrated efficacy in clinical trials, most strategies remain at preclinical or early clinical stages. Conclusions: Pyroptosis represents a critical mechanism driving hair follicle structural and functional disruption and immune dysregulation in AA. By integrating evidence from molecular studies, disease models, and early clinical data, this review underscores the potential of targeting inflammasome-driven pyroptosis as a novel therapeutic strategy. Full article
Show Figures

Figure 1

19 pages, 11997 KB  
Article
Electronic and Optical Properties of 2D-TMD/Janus Heterostructures Under the Influence of an Electric Field: First-Principles Calculations
by Daulet Sergeyev, Ainur Duisenova and Kuanyshbek Shunkeyev
Materials 2025, 18(23), 5378; https://doi.org/10.3390/ma18235378 - 28 Nov 2025
Viewed by 132
Abstract
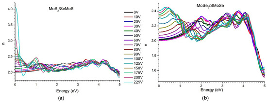
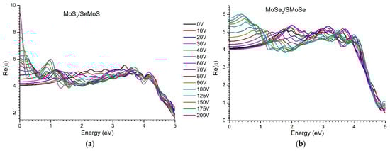
This work presents the results of a theoretical investigation of the electronic and optical properties of van der Waals Janus nanoheterostructures MoS2/SeMoS and MoSe2/SMoSe, carried out within the framework of density functional theory (DFT) using the generalized gradient approximation [...] Read more.
This work presents the results of a theoretical investigation of the electronic and optical properties of van der Waals Janus nanoheterostructures MoS2/SeMoS and MoSe2/SMoSe, carried out within the framework of density functional theory (DFT) using the generalized gradient approximation (GGA-PBE) together with the Grimme-D3 dispersion correction. The calculated band structures show that both heterostructures possess an indirect bandgap whose magnitude is highly sensitive to an external electric field. In the MoS2–SeMoS system, increasing the applied field leads to a gradual narrowing of the bandgap and a transition to a metallic state at approximately 75 V, whereas in MoSe2–SMoSe, the bandgap first increases (up to 20 V) and then decreases, indicating a nonlinear field-dependent behavior. Analysis of the dielectric function reveals an enhancement of the static dielectric permittivity and a red shift in the absorption spectra with increasing field strength, which can be attributed to charge redistribution and an increased contribution from ionic polarizability. These results demonstrate the possibility of effectively controlling the bandgap width, polarizability, and optical response of Janus nanoheterostructures using an external electric field. This opens up promising prospects for their application in tunable photodetectors, light modulators, valleytronic components, and next-generation optoelectronic systems. Full article
(This article belongs to the Special Issue Ab Initio Modeling of 2D Semiconductors and Semimetals)
Show Figures

Figure 1

25 pages, 11153 KB  
Article
Structure-Guided Identification of JAK2 Inhibitors: From Similarity to Stability and Specificity
by Muhammad Yasir, Jinyoung Park, Jongseon Choe, Jin-Hee Han, Eun-Taek Han, Won Sun Park and Wanjoo Chun
Future Pharmacol. 2025, 5(4), 66; https://doi.org/10.3390/futurepharmacol5040066 - 5 Nov 2025
Viewed by 641
Abstract
Background/Objectives: Janus kinase 2 (JAK2) is a pivotal signaling protein implicated in various hematological malignancies and inflammatory disorders, making it a compelling target for therapeutic intervention. Methods: In this study, we employed an integrative computational approach combining ligand-based screening, pharmacophore modeling, [...] Read more.
Background/Objectives: Janus kinase 2 (JAK2) is a pivotal signaling protein implicated in various hematological malignancies and inflammatory disorders, making it a compelling target for therapeutic intervention. Methods: In this study, we employed an integrative computational approach combining ligand-based screening, pharmacophore modeling, molecular docking, molecular dynamics (MD) simulations, and MM/PBSA free energy calculations to identify JAK2 inhibitors from the ChEMBL database. A comprehensive virtual screening of over 1,900,000 compounds was conducted using Tanimoto similarity and a validated pharmacophore model, resulting in the identification of 39 structurally promising candidates. Docking analyses prioritized compounds with favorable interaction energies, while MD simulations over 100 ns assessed the dynamic behavior and binding stability of top hits. Results: Four compounds, CHEMBL4169802, CHEMBL4162254, CHEMBL4286867, and CHEMBL2208033, exhibited consistently superior performance, forming stable hydrogen bonds, favorable RMSD profiles (≤0.5 nm), and strong binding interactions, including salt bridges. Notably, the binding free energies revealed ΔG values as low as −29.91 kcal/mol, surpassing that of the reference inhibitor, momelotinib (−24.17 kcal/mol). Conclusions: Among these, CHEMBL4169802 emerged as the most promising candidate due to its synergistic electrostatic and hydrophobic interactions. Collectively, our results highlight these compounds as probable, JAK2-selective inhibitors with strong potential for further biological validation and optimization. Full article
Show Figures

Graphical abstract

19 pages, 5326 KB  
Article
Preparation of Temperature-Responsive Janus Nanosheets and Their Application in Emulsions
by Yue Gao, Xuan Qi, Hao Yan, Dan Xue, Xuefeng Xu, Suixin He, Wei Xia and Junfeng Zhang
Crystals 2025, 15(10), 891; https://doi.org/10.3390/cryst15100891 - 15 Oct 2025
Viewed by 375
Abstract
In this study, patch-structured C8/CHO template microspheres were successfully synthesized through in situ reduction and sol–gel reactions, providing a reusable platform for subsequent modifications. Based on these templates, temperature-responsive PW12O403−-PILs/PNIPAM Janus nanosheets were prepared via sequential [...] Read more.
In this study, patch-structured C8/CHO template microspheres were successfully synthesized through in situ reduction and sol–gel reactions, providing a reusable platform for subsequent modifications. Based on these templates, temperature-responsive PW12O403−-PILs/PNIPAM Janus nanosheets were prepared via sequential Schiff-base coupling and ATRP. Structural characterizations (XRD, SEM, TEM, FTIR, and TGA) confirmed successful functionalization and nanosheet formation. The PNIPAM moiety endowed the nanosheets with temperature responsiveness, while the incorporation of polymerized ionic liquids and phosphotungstate anions further enhanced amphiphilicity and dispersion stability. When applied as particulate emulsifiers in water/toluene systems, the Janus nanosheets formed stable Pickering emulsions at elevated temperatures and underwent reversible emulsification–demulsification upon temperature cycling. These findings demonstrate the potential of PW12O403−-PILs/PNIPAM Janus nanosheets as smart emulsifiers for responsive separation and formulation technologies. Full article
(This article belongs to the Section Macromolecular Crystals)
Show Figures

Figure 1

14 pages, 885 KB  
Review
Epigallocatechin Gallate as a Targeted Therapeutic Strategy Against the JAK2V617F Mutation: New Perspectives for the Treatment of Myeloproliferative Neoplasms and Acute Myeloid Leukemia
by Leidivan Sousa Da Cunha, Isabelle Magalhães Farias, Beatriz Maria Dias Nogueira, Caio Bezerra Machado, Flávia Melo Cunha De Pinho Pessoa, Deivide De Sousa Oliveira, Guilherme Passos de Morais, André Pontes Thé, Patrícia Maria Pontes Thé, Manoel Odorico De Moraes Filho, Maria Elisabete Amaral De Moraes and Caroline Aquino Moreira-Nunes
Int. J. Transl. Med. 2025, 5(3), 43; https://doi.org/10.3390/ijtm5030043 - 15 Sep 2025
Viewed by 4135
Abstract
The JAK2V617F mutation is a major molecular factor in Philadelphia chromosome-negative myeloproliferative neoplasms (MPNs) and has been increasingly associated with clonal progression to acute myeloid leukemia (AML), resulting in a poorer prognosis and resistance to conventional therapies. This study integrates a comprehensive literature [...] Read more.
The JAK2V617F mutation is a major molecular factor in Philadelphia chromosome-negative myeloproliferative neoplasms (MPNs) and has been increasingly associated with clonal progression to acute myeloid leukemia (AML), resulting in a poorer prognosis and resistance to conventional therapies. This study integrates a comprehensive literature review with bioinformatic approaches to investigate the potential inhibitory activity of Epigallocatechin Gallate (EGCG), a green tea polyphenol widely recognized for its antioxidant and anticancer properties, on the JAK2V617F mutation. Clinical data from case reports demonstrated heterogeneity in disease progression and frequent therapeutic failures. Molecular docking analysis using the Janus Kinase 2 (JAK2) protein structure (PDB ID: 6D2I) identified a high-affinity binding pocket for EGCG near the V617F mutation site. EGCG exhibited strong binding affinity (−9.2 kcal/mol), forming key interactions with residues Lys581, Ile559, and Leu680, suggesting allosteric modulation of the JH2 pseudokinase domain. To validate our docking protocol, redocking of the known inhibitor AT9283 yielded a favorable Root Mean Square Deviation (RMSD) 2.683 Å and binding energy (−8.3 kcal/mol), confirming the reliability of our approach. Notably, EGCG demonstrated superior binding affinity compared to AT9283 and targets a distinct allosteric site, highlighting its unique mechanism of action and potential as a selective allosteric inhibitor. These findings position EGCG as a promising candidate for future preclinical evaluation, offering a novel strategy to overcome therapy resistance in JAK2V617F-driven malignancies. Full article
Show Figures

Figure 1

15 pages, 4406 KB  
Review
Synthesis of Janus Particles by Seeded Emulsion Polymerization
by Yingying Wu, Yingchun Long, Guolin Zhang, Qiuhua Wu and Fuxin Liang
Molecules 2025, 30(18), 3691; https://doi.org/10.3390/molecules30183691 - 10 Sep 2025
Viewed by 1174
Abstract
Janus particles (JPs), as a special material with anisotropic chemical or physical partitioning, show great potential for application in the fields of material science, biomedicine, energy, and environment. How to achieve fine structural control and large-scale synthesis of JPs is the key point [...] Read more.
Janus particles (JPs), as a special material with anisotropic chemical or physical partitioning, show great potential for application in the fields of material science, biomedicine, energy, and environment. How to achieve fine structural control and large-scale synthesis of JPs is the key point and difficulty for JPs. Seeded emulsion polymerization, as a simple and efficient method, plays an important role in the controlled fabrication of JPs. Here, we provide a comprehensive review of the research progress in the preparation of JPs via seeded emulsion polymerization. We systematically summarize the process mechanisms and key parameters influencing the formation of Janus structures, with particular emphasis on the effects of seed characteristics, polymerization conditions, and component selection on particle morphology and anisotropy. Full article
Show Figures

Figure 1

44 pages, 14233 KB  
Review
Janus Hydrogels: Design, Properties, and Applications
by Wei Guo, Mahta Mirzaei and Lei Nie
Gels 2025, 11(9), 717; https://doi.org/10.3390/gels11090717 - 8 Sep 2025
Viewed by 1693
Abstract
Janus hydrogels have attracted significant attention in materials science and biomedicine owing to their anisotropic dual-faced architecture. Unlike conventional homogeneous hydrogels, these heterogeneous systems exhibit structural and functional asymmetry, endowing them with remarkable adaptability to dynamic environmental stimuli. Their inherent biocompatibility, biodegradability, and [...] Read more.
Janus hydrogels have attracted significant attention in materials science and biomedicine owing to their anisotropic dual-faced architecture. Unlike conventional homogeneous hydrogels, these heterogeneous systems exhibit structural and functional asymmetry, endowing them with remarkable adaptability to dynamic environmental stimuli. Their inherent biocompatibility, biodegradability, and unique “adhesion–antiadhesion” duality have demonstrated exceptional potential in biomedical applications ranging from advanced wound healing and internal tissue adhesion prevention to cardiac tissue regeneration. Furthermore, “hydrophilic–hydrophobic” Janus configurations, synergistically integrated with tunable conductivity and stimuli-responsiveness, showcase the great potential in emerging domains, including wearable biosensing, high-efficiency desalination, and humidity regulation systems. This review systematically examines contemporary synthesis strategies for Janus hydrogels using various technologies, including layer-by-layer, self-assembly, and one-pot methods. We elucidate the properties and applications of Janus hydrogels in biomedicine, environmental engineering, and soft robotics, and we emphasize recent developments in this field while projecting future trajectories and challenges. Full article
(This article belongs to the Special Issue Structure and Properties of Functional Hydrogels (2nd Edition))
Show Figures

Figure 1

18 pages, 2756 KB  
Article
Triboelectric-Enhanced Piezoelectric Nanogenerator with Pressure-Processed Multi-Electrospun Fiber-Based Polymeric Layer for Wearable and Flexible Electronics
by Inkyum Kim, Jonghyeon Yun, Geunchul Kim and Daewon Kim
Polymers 2025, 17(17), 2295; https://doi.org/10.3390/polym17172295 - 25 Aug 2025
Cited by 1 | Viewed by 1499
Abstract
A triboelectricity-enhanced piezoelectric nanogenerator (PENG) based on pressure-processed multi-electrospun polymeric layers is herein developed for efficient vibrational energy harvesting. The hybridization of piezoelectric and triboelectric mechanisms through electrospinning has been utilized to enhance electrical output by increasing contact areas and promoting alignment within [...] Read more.
A triboelectricity-enhanced piezoelectric nanogenerator (PENG) based on pressure-processed multi-electrospun polymeric layers is herein developed for efficient vibrational energy harvesting. The hybridization of piezoelectric and triboelectric mechanisms through electrospinning has been utilized to enhance electrical output by increasing contact areas and promoting alignment within piezoelectric materials. A multi-layer structure comprising alternating poly (vinylidene fluoride) (PVDF) and poly (hexamethylene adipamide) (PA 6/6) exhibits superior electrical performance. A lateral Janus configuration, providing distinct positive and negative triboelectric polarities, has further optimized device efficiency. This approach introduces a novel operational mechanism, enabling superior performance compared to conventional methods. The fiber-based architecture ensures exceptional flexibility, low weight, and a high surface-to-volume ratio, enabling enhanced energy harvesting. Experimentally, the PENG achieved an open-circuit voltage of 14.59 V, a short-circuit current of 205.7 nA, and a power density of 7.5 mW m−2 at a resistance of 30 MΩ with a five-layer structure subjected to post-processing under pressure. A theoretical model has mathematically elucidated the output results. Long-term durability (over 345,600 cycles) has confirmed its robustness. Demonstrations of practical applications include monitoring human joint motion and respiratory activity. These results highlight the potential of the proposed triboelectricity-enhanced PENG for vibrational energy harvesting in flexible and wearable electronic systems. Full article
(This article belongs to the Special Issue Advances in Polymer Composites for Nanogenerator Applications)
Show Figures

Graphical abstract

17 pages, 6759 KB  
Review
Novel Structural Janus Hydrogels for Battery Applications: Structure Design, Properties, and Prospects
by Ping Li and Qiushi Wang
Colloids Interfaces 2025, 9(4), 48; https://doi.org/10.3390/colloids9040048 - 19 Jul 2025
Cited by 5 | Viewed by 1293
Abstract
Janus hydrogels, defined by their asymmetric architectures and bifunctional interfaces, have emerged as a transformative class of solid-state electrolytes in electrochemical energy storage. By integrating spatially distinct chemomechanical and ionic functionalities within a single matrix, they overcome the intrinsic limitations of conventional isotropic [...] Read more.
Janus hydrogels, defined by their asymmetric architectures and bifunctional interfaces, have emerged as a transformative class of solid-state electrolytes in electrochemical energy storage. By integrating spatially distinct chemomechanical and ionic functionalities within a single matrix, they overcome the intrinsic limitations of conventional isotropic hydrogels, offering enhanced interfacial stability, directional ion transport, and dendrite suppression in lithium- and zinc-based batteries. This mini-review systematically highlights recent breakthroughs in Janus hydrogel design, including interfacial polymerization and layer-by-layer assembly, which collectively enable precise modulation of crosslinking gradients and ion transport pathways. This review uniquely frames Janus hydrogels from a battery-centric and interface-engineering perspective. It elucidates key structure–function correlations, identifies current limitations in scalable fabrication and electrochemical longevity, and outlines future directions toward intelligent, multifunctional platforms for next-generation flexible and biointegrated energy systems. Full article
(This article belongs to the Special Issue State of the Art of Colloid and Interface Science in Asia)
Show Figures

Graphical abstract

37 pages, 8085 KB  
Review
Scaling Amphiphilicity with Janus Nanoparticles: A New Frontier in Nanomaterials and Interface Science
by Mirela Honciuc and Andrei Honciuc
Nanomaterials 2025, 15(14), 1079; https://doi.org/10.3390/nano15141079 - 11 Jul 2025
Cited by 2 | Viewed by 2043
Abstract
Janus nanoparticles (JNPs) extend the concept of amphiphilicity beyond classical molecular surfactants into the nanoscale. Amphiphilic behavior is defined by the presence of hydrophobic and hydrophilic moieties within a single molecular structure. Traditionally, such molecular structures are known as surfactants or amphiphiles and [...] Read more.
Janus nanoparticles (JNPs) extend the concept of amphiphilicity beyond classical molecular surfactants into the nanoscale. Amphiphilic behavior is defined by the presence of hydrophobic and hydrophilic moieties within a single molecular structure. Traditionally, such molecular structures are known as surfactants or amphiphiles and are capable of reducing interfacial tension, adsorbing spontaneously at interfaces, stabilizing emulsions and foams, and forming micelles, bilayers, or vesicles. Recent experimental, theoretical, and computational studies demonstrate that these behaviors are scalable to nanostructured colloids such as JNPs. Amphiphilic JNPs, defined by anisotropic surface chemistry on distinct hemispheres, display interfacial activity driven by directional wetting, variable interfacial immersion depth, and strong interfacial anchoring. They can stabilize liquid/liquid and liquid/gas interfaces, and enable templated or spontaneous self-assembly into supra-structures, such as monolayer sheets, vesicles, capsules, etc., both in bulk and at interfaces. Their behavior mimics the “soft” molecular amphiphiles but also includes additional particularities given by their “hard” structure, as well as contributions from capillary, van der Waals, hydrophobic, and shape-dependent forces. This review focuses on compiling the evidence supporting amphiphilicity as a scalable property, discussing how JNPs function as colloidal amphiphiles and how geometry, polarity contrast, interfacial interactions, and environmental parameters influence their behavior. By comparing surfactant behavior and JNP assembly, this work aims to clarify the transferable principles, the knowledge gap, as well as the emergent properties associated with amphiphilic Janus colloids. Full article
(This article belongs to the Special Issue Morphological Design and Synthesis of Nanoparticles (Second Edition))
Show Figures

Graphical abstract

32 pages, 16283 KB  
Article
Artemisia absinthium L. Extract Targeting the JAK2/STAT3 Pathway to Ameliorate Atherosclerosis
by Jiayi Yang, Tian Huang, Lijie Xia and Jinyao Li
Foods 2025, 14(13), 2381; https://doi.org/10.3390/foods14132381 - 5 Jul 2025
Cited by 1 | Viewed by 1517
Abstract
Artemisia absinthium L. contributes to ecological stabilization in arid regions through its deep root system for sand fixation and soil microenvironment modulation, thereby effectively mitigating desertification. Total terpenoids have been extracted from A. absinthium (AATP) and found to have antioxidant and anti-inflammatory activities. [...] Read more.
Artemisia absinthium L. contributes to ecological stabilization in arid regions through its deep root system for sand fixation and soil microenvironment modulation, thereby effectively mitigating desertification. Total terpenoids have been extracted from A. absinthium (AATP) and found to have antioxidant and anti-inflammatory activities. Terpenoids are a class of natural products derived from methyl hydroxypropanoic acid, for which their structural units consist of multiple isoprene (C5) units. They are one of the largest and most structurally diverse classes of natural compounds. However, there are still large gaps in knowledge regarding their exact biological activities and effects. Atherosclerosis (AS) is a prevalent cardiovascular disease marked by the chronic inflammation of the vascular system, and lipid metabolism plays a key role in its pathogenesis. This study determined the extraction and purification processes of AATP through single-factor experiments and response surface optimization methods. The purity of AATP was increased from 20.85% ± 0.94 before purification to 52.21% ± 0.75, which is 2.5 times higher than before purification. Studies have shown that the total terpenoids of A. absinthium significantly reduced four indices of serum lipids in atherosclerosis (AS) rats, thereby promoting lipid metabolism, inhibiting inflammatory processes, and hindering aortic wall thickening and hepatic fat accumulation. It is known from network pharmacology studies that AATP regulates the Janus kinase/signal transducer (JAK/STAT) signaling axis. Molecular docking studies have indicated that the active component of AATP effectively binds to Janus kinase (JAK2) and signal transducer (STAT3) target proteins. The results indicate that AATP can inhibit the release of pro-inflammatory mediators (such as reactive oxygen species (ROS)) in LPS-induced RAW264.7 macrophages. It also inhibits the M1 polarization of RAW264.7 macrophages. Protein immunoblotting analysis revealed that it significantly reduces the phosphorylation levels of Janus kinase (JAK2) and the signal transducer and activator of transcription 3 (STAT3). Research indicates that the active components in A. absinthium may exert anti-atherosclerotic effects by regulating lipid metabolism and inhibiting inflammatory responses. It holds potential value for development as a functional food or drug for the prevention and treatment of atherosclerosis. Full article
(This article belongs to the Section Food Nutrition)
Show Figures

Graphical abstract

11 pages, 423 KB  
Article
An Analysis of Major Adverse Cardiovascular Events, Other Adverse Events, and Efficacy in Patients with Rheumatic Disease Receiving Targeted Therapy: Experience from a Third-Level Hospital
by Marta Rojas-Giménez, Paloma Muñoz-Reinoso, María Dolores Arcila-Durán, Virginia Moreira-Navarrete, Manuel Maqueda López, María Dolores Fernández-Alba, Rafael Ariza-Ariza, Maria Daniela Decan-Bardasz, Blanca Hernández Cruz, Francisco Javier Toyos, Dolores Virginia Mendoza Mendoza and José Javier Pérez Venegas
J. Clin. Med. 2025, 14(13), 4693; https://doi.org/10.3390/jcm14134693 - 2 Jul 2025
Viewed by 810
Abstract
Objectives: We wished to evaluate the safety profile of the Janus kinase (JAK) inhibitors used in the Spanish population; to study the onset of major adverse cardiovascular events (MACEs) and thrombotic events (arterial and venous); and to analyze the factors associated with the [...] Read more.
Objectives: We wished to evaluate the safety profile of the Janus kinase (JAK) inhibitors used in the Spanish population; to study the onset of major adverse cardiovascular events (MACEs) and thrombotic events (arterial and venous); and to analyze the factors associated with the onset of these events. Methods: We conducted a retrospective observational study of a cohort of patients with rheumatoid arthritis (RA), spondyloarthritis (SpA), and psoriatic arthritis (PsA) included in the biological therapy registry of the Rheumatology Department of Virgen Macarena University Hospital (HUVM), Seville, Spain, who started targeted treatment between 2019 and late 2024. We collected data on disease activity, traditional cardiovascular risk factors, the Charlson comorbidity index, previous synthetic or biologic drug therapy, the use of corticosteroids (and their dose), severity data (structural damage, extra-articular manifestations), and adverse events at the end of follow-up (e.g., MACEs, infections, neoplasms, and herpes zoster). We performed a descriptive bivariate analysis and a multivariate logistic regression analysis (dependent variable: MACEs) to identify factors that were independently associated with MACEs. Results: The study population comprised 137 patients (110 with RA, 18 with PsA, and 9 with SpA) who were followed up for a mean of 3.9 (2.6) years. Most patients had received JAK inhibitors as their second-line or subsequent treatment. At the end of the follow-up, 82 patients (66.7%) continued their treatment. Nine patients (6.6%) experienced a MACE, and five experienced a heart attack. All of these patients had RA. We found no differences between JAK inhibitors in terms of the incidence of the adverse events studied. Patients who experienced MACEs were more often male and smokers (current or former) and more often had hypertension and diabetes. No significant differences were found in the association with disease activity or previous or concomitant treatment. The factors that were independently associated with MACEs were a previous cardiovascular event (OR, 10.74; 95%CI, 1.05–113.7; p = 0.036), male sex (OR, 9.7; 95%CI, 1.6–76.5; p = 0.016), diabetes mellitus (OR, 10.3; 95%CI, 1.75–83; p = 0.013), and the duration of treatment with JAK inhibitors (OR, 1.47; 95%CI, 1.13–2.01; p = 0.005). Conclusions: We found no differences in the onset of adverse events, specifically MACEs, between the different JAK inhibitors analyzed. These events are more common in patients who already have cardiovascular risk factors, such as diabetes mellitus, or who have already experienced a cardiovascular event. JAK inhibitors broadly suppress cytokines in patients whose disease is refractory to other treatments. However, we must continue to evaluate their long-term safety in real-world studies. Full article
(This article belongs to the Section Cardiovascular Medicine)
Show Figures

Figure 1

36 pages, 5287 KB  
Review
Preparation, Properties, and Applications of 2D Janus Transition Metal Dichalcogenides
by Haoyang Zhao and Jeffrey Chor Keung Lam
Crystals 2025, 15(6), 567; https://doi.org/10.3390/cryst15060567 - 16 Jun 2025
Cited by 4 | Viewed by 3433
Abstract
Structural symmetry significantly influences the fundamental characteristics of two-dimensional (2D) materials. In conventional transition metal dichalcogenides (TMDs), the absence of in-plane symmetry introduces distinct optoelectronic behaviors. To further enrich the functionality of such materials, recent efforts have focused on disrupting out-of-plane symmetry—often through [...] Read more.
Structural symmetry significantly influences the fundamental characteristics of two-dimensional (2D) materials. In conventional transition metal dichalcogenides (TMDs), the absence of in-plane symmetry introduces distinct optoelectronic behaviors. To further enrich the functionality of such materials, recent efforts have focused on disrupting out-of-plane symmetry—often through the application of external electric fields—which leads to the generation of an intrinsic electric field within the lattice. This internal field alters the electronic band configuration, broadening the material’s applicability in fields like optoelectronics and spintronics. Among various engineered 2D systems, Janus transition metal dichalcogenides (JTMDs) have shown as a compelling class. Their intrinsic structural asymmetry, resulting from the replacement of chalcogen atoms on one side, naturally breaks out-of-plane symmetry and surpasses certain limitations of traditional TMDs. This unique arrangement imparts exceptional physical properties, such as vertical piezoelectric responses, pronounced Rashba spin splitting, and notable changes in Raman modes. These distinctive traits position JTMDs as promising candidates for use in sensors, spintronic devices, valleytronic applications, advanced optoelectronics, and catalytic processes. In this Review, we discuss the synthesis methods, structural features, properties, and potential applications of 2D JTMDs. We also highlight key challenges and propose future research directions. Compared with previous reviews, this work focusing on the latest scientific research breakthroughs and discoveries in recent years, not only provides an in-depth discussion of the out-of-plane asymmetry in JTMDs but also emphasizes recent advances in their synthesis techniques and the prospects for scalable industrial production. In addition, it highlights the rapid development of JTMD-based applications in recent years and explores their potential integration with machine learning and artificial intelligence for the development of next-generation intelligent devices. Full article
Show Figures

Figure 1

11 pages, 7517 KB  
Article
Effect of Size on Phase Mixing Patterns in Rapidly Solidified Au–Ge Nanoparticles
by Olha Khshanovska, Vladyslav Ovsynskyi and Aleksandr Kryshtal
Nanomaterials 2025, 15(12), 924; https://doi.org/10.3390/nano15120924 - 14 Jun 2025
Viewed by 808
Abstract
We investigated the morphological patterns, crystalline structures and their thermal stability in solidified Au–Ge nanoparticles ranging in size from 10 to 500 nm. Liquid Au–Ge alloy nanoparticles with hypoeutectic composition were rapidly cooled from a temperature of 500 °C in a TEM and [...] Read more.
We investigated the morphological patterns, crystalline structures and their thermal stability in solidified Au–Ge nanoparticles ranging in size from 10 to 500 nm. Liquid Au–Ge alloy nanoparticles with hypoeutectic composition were rapidly cooled from a temperature of 500 °C in a TEM and characterized using advanced TEM techniques. We demonstrated that Au–Ge nanoparticles 10–80 nm in size predominantly solidified into a Janus-like morphology with nearly pure single-crystalline hcp Au and diamond cubic Ge domains. These particles remained stable up to the eutectic temperature, indicating that Ge doping and particle size play key roles in stabilizing the hcp Au phase. In turn, larger nanoparticles exhibited a metastable core–shell morphology with polycrystalline Ge shell and hcp Au-Ge alloy core under solidification. It was shown that the mentioned morphology and crystalline structure evolved into the equilibrium Janus morphology with fcc Au and diamond Ge domains at temperatures above ≈160 °C. Full article
(This article belongs to the Special Issue Nanoscale Microscopy Techniques for Energy Materials)
Show Figures

Graphical abstract

16 pages, 9987 KB  
Article
Preparation of Janus-Structured Evaporators for Enhanced Solar-Driven Interfacial Evaporation and Seawater Desalination
by Junjie Liao, Luyang Hu, Haoran Wang, Zhe Yang, Xiaonan Wu and Yumin Zhang
Gels 2025, 11(5), 368; https://doi.org/10.3390/gels11050368 - 17 May 2025
Cited by 3 | Viewed by 2467
Abstract
Solar-driven interfacial evaporation has emerged as a sustainable and highly efficient technology for seawater desalination, attracting considerable attention for its potential to address global water scarcity. However, challenges such as low evaporation rates and salt accumulation significantly hinder the performance and operational lifespan [...] Read more.
Solar-driven interfacial evaporation has emerged as a sustainable and highly efficient technology for seawater desalination, attracting considerable attention for its potential to address global water scarcity. However, challenges such as low evaporation rates and salt accumulation significantly hinder the performance and operational lifespan of evaporators. Here, we present an innovative Janus-structured evaporator featuring distinct operational mechanisms through the integration of a hydrophobic PVDF-HFP@PPy photothermal membrane and a hydrophilic PVA-CF@TA-Fe3+ hydrogel, coupled with a unidirectional flow configuration. Distinct from conventional Janus evaporators that depend on interfacial water transport through asymmetric layers, our design achieves two pivotal innovations: (1) the integration of a lateral fluid flow path with the Janus architecture to enable sustained brine replenishment and salt rejection and (2) the creation of dual vapor escape pathways (hydrophobic and hydrophilic layers) synergized with hydrogel-mediated water activation to elevate evaporation kinetics. Under 1 sun illumination, the evaporator achieves a maximum evaporation rate of 2.26 kg m−2 h−1 with a photothermal efficiency of 84.6%, in both unidirectional flow and suspension modes. Notably, the evaporation performance remains stable across a range of saline conditions, demonstrating remarkable resistance to salt accumulation. Even during continuous evaporation of highly saline water (10% brine), the evaporator maintains an evaporation rate of 2.10 kg m−2 h−1 without observable salt precipitation. The dual anti-salt strategies—enabled by the Janus structure and unidirectional flow design—underscore the evaporator’s capability for sustained high performance and long-term stability in saline environments. These findings provide valuable insights into the development of next-generation solar evaporators that deliver high performance, long-term stability, and robustness in saline and hypersaline environments. Full article
(This article belongs to the Section Gel Processing and Engineering)
Show Figures

Graphical abstract

Back to TopTop