Sign in to use this feature.

Years

Between: -

Subjects

remove_circle_outline
remove_circle_outline
remove_circle_outline
remove_circle_outline
remove_circle_outline
remove_circle_outline
remove_circle_outline
remove_circle_outline
remove_circle_outline

Journals

remove_circle_outline
remove_circle_outline
remove_circle_outline
remove_circle_outline
remove_circle_outline
remove_circle_outline

Article Types

Countries / Regions

remove_circle_outline
remove_circle_outline
remove_circle_outline

Search Results (580)

Search Parameters:
Keywords = IoV network

Order results
Result details
Results per page
Select all
Export citation of selected articles as:
26 pages, 1921 KB  
Article
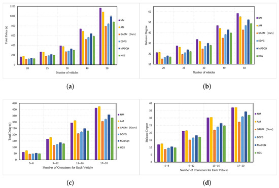
Research on Dependency-Aware Service Migration Strategy in the Internet of Vehicles Integrating a Graph Attention Network and Deep Reinforcement Learning
by Ying Liu, Zhaofu Liu and Yu Yao
Appl. Sci. 2026, 16(2), 943; https://doi.org/10.3390/app16020943 - 16 Jan 2026
Viewed by 75
Abstract
The integration of Mobile Edge Computing and container virtualization technologies provides crucial support for low-latency and highly resilient service deployment in Internet of Vehicles (IoV) applications. However, the high mobility of vehicles poses challenges to service continuity, necessitating dynamic adjustment of service deployment [...] Read more.
The integration of Mobile Edge Computing and container virtualization technologies provides crucial support for low-latency and highly resilient service deployment in Internet of Vehicles (IoV) applications. However, the high mobility of vehicles poses challenges to service continuity, necessitating dynamic adjustment of service deployment locations through container migration. Existing research predominantly focuses on independent service migration while overlooking the complex interdependencies among multiple subtasks in practical applications. In this paper, we investigate the container migration problem for dependency-aware services in IoV environments. We first formulate the problem as a dual-objective optimization problem centered on minimizing both the average service delay and system load imbalance. To address the complex dependencies among containers and the highly dynamic nature of IoV environments, we propose an intelligent migration algorithm named GADM that integrates Graph Attention Networks with Deep Reinforcement Learning. The GADM algorithm leverages Graph Attention Networks to capture critical paths in task dependencies, and combines this with an actor–critic-based Deep Reinforcement Learning framework to achieve adaptive decision-making in dynamic environments. Validation using real-world vehicle trajectory datasets and Alibaba cluster trace datasets demonstrates the effectiveness of the proposed algorithm. Experimental results indicate that compared to other methods, GADM significantly improves system load balancing while reducing average service latency. Full article
(This article belongs to the Special Issue Mobile Computing and Intelligent Sensing, 2nd Edition)
Show Figures

Figure 1

37 pages, 4259 KB  
Article
Image-Based Segmentation of Hydrogen Bubbles in Alkaline Electrolysis: A Comparison Between Ilastik and U-Net
by José Pereira, Reinaldo Souza, Arthur Normand and Ana Moita
Algorithms 2026, 19(1), 77; https://doi.org/10.3390/a19010077 - 16 Jan 2026
Viewed by 174
Abstract
This study aims to enhance the efficiency of hydrogen production through alkaline water electrolysis by analyzing hydrogen bubble dynamics using high-speed image processing and machine learning algorithms. The experiments were conducted to evaluate the effects of electrical current and ultrasound oscillations on the [...] Read more.
This study aims to enhance the efficiency of hydrogen production through alkaline water electrolysis by analyzing hydrogen bubble dynamics using high-speed image processing and machine learning algorithms. The experiments were conducted to evaluate the effects of electrical current and ultrasound oscillations on the system performance. The bubble formation and detachment process were recorded and analyzed using two segmentation models: Ilastik, a GUI-based tool, and U-Net, a deep learning convolutional network implemented in PyTorch. v. 2.9.0. Both models were trained on a dataset of 24 images under varying experimental conditions. The evaluation metrics included Intersection over Union (IoU), Root Mean Square Error (RMSE), and bubble diameter distribution. Ilastik achieved better accuracy and lower RMSE, while U-Net. U-Net offered higher scalability and integration flexibility within Python environments. Both models faced challenges when detecting small bubbles and under complex lighting conditions. Improvements such as expanding the training dataset, increasing image resolution, and adopting patch-based processing were proposed. Overall, the result demonstrates the automated image segmentation can provide reliable bubble characterization, contributing to the optimization of electrolysis-based hydrogen production. Full article
Show Figures

Graphical abstract

19 pages, 6052 KB  
Article
SGMT-IDS: A Dual-Branch Semi-Supervised Intrusion Detection Model Based on Graphs and Transformers
by Yifei Wu and Liang Wan
Electronics 2026, 15(2), 348; https://doi.org/10.3390/electronics15020348 - 13 Jan 2026
Viewed by 225
Abstract
Network intrusion behaviors exhibit high concealment and diversity, making intrusion detection methods based on single-behavior modeling unable to accurately characterize such activities. To overcome this limitation, we propose SGMT-IDS, a dual-branch semi-supervised intrusion detection model based on Graph Neural Networks (GNNs) and Transformers. [...] Read more.
Network intrusion behaviors exhibit high concealment and diversity, making intrusion detection methods based on single-behavior modeling unable to accurately characterize such activities. To overcome this limitation, we propose SGMT-IDS, a dual-branch semi-supervised intrusion detection model based on Graph Neural Networks (GNNs) and Transformers. By constructing two views of network attacks, namely structural and behavioral semantics, the model performs collaborative analysis of intrusion behaviors from both perspectives. The model adopts a dual-branch architecture. The SGT branch captures the structural embeddings of network intrusion behaviors, and the GML-Transformer branch extracts the semantic information of intrusion behaviors. In addition, we introduce a two-stage training strategy that optimizes the model through pseudo-labeling and contrastive learning, enabling accurate intrusion detection with only a small amount of labeled data. We conduct experiments on the NF-Bot-IoT-V2, NF-ToN-IoT-V2, and NF-CSE-CIC-IDS2018-V2 datasets. The experimental results demonstrate that SGMT-IDS achieves superior performance across multiple evaluation metrics. Full article
(This article belongs to the Section Computer Science & Engineering)
Show Figures

Figure 1

25 pages, 3861 KB  
Article
Semantically Guided 3D Reconstruction and Body Weight Estimation Method for Dairy Cows
by Jinshuo Zhang, Xinzhong Wang, Hewei Meng, Junzhu Huang, Xinran Zhang, Kuizhou Zhou, Yaping Li and Huijie Peng
Agriculture 2026, 16(2), 182; https://doi.org/10.3390/agriculture16020182 - 11 Jan 2026
Viewed by 133
Abstract
To address the low efficiency and stress-inducing nature of traditional manual weighing for dairy cows, this study proposes a semantically guided 3D reconstruction and body weight estimation method for dairy cows. First, a dual-viewpoint Kinect V2 camera synchronous acquisition system captures top-view and [...] Read more.
To address the low efficiency and stress-inducing nature of traditional manual weighing for dairy cows, this study proposes a semantically guided 3D reconstruction and body weight estimation method for dairy cows. First, a dual-viewpoint Kinect V2 camera synchronous acquisition system captures top-view and side-view point cloud data from 150 calves and 150 lactating cows. Subsequently, the CSS-PointNet++ network model was designed. Building upon PointNet++, it incorporates Convolutional Block Attention Module (CBAM) and Attention-Weighted Hybrid Pooling Module (AHPM) to achieve precise semantic segmentation of the torso and limbs in the side-view point cloud. Based on this, point cloud registration algorithms were applied to align the dual-view point clouds. Missing parts were mirrored and completed using semantic information to achieve 3D reconstruction. Finally, a body weight estimation model was established based on volume and surface area through surface reconstruction. Experiments demonstrate that CSS-PointNet++ achieves an Overall Accuracy (OA) of 98.35% and a mean Intersection over Union (mIoU) of 95.61% in semantic segmentation tasks, representing improvements of 2.2% and 4.65% over PointNet++, respectively. In the weight estimation phase, the BP neural network (BPNN) delivers optimal performance: For the calf group, the Mean Absolute Error (MAE) was 1.8409 kg, Root Mean Square Error (RMSE) was 2.4895 kg, Mean Relative Error (MRE) was 1.49%, and Coefficient of Determination (R2) was 0.9204; for the lactating cows group, MAE was 12.5784 kg, RMSE was 14.4537 kg, MRE was 1.75%, and R2 was 0.8628. This method enables 3D reconstruction and body weight estimation of cows during walking, providing an efficient and precise body weight monitoring solution for precision farming. Full article
(This article belongs to the Section Farm Animal Production)
Show Figures

Figure 1

24 pages, 10860 KB  
Article
Performance Evaluation of Deep Learning Models for Forest Extraction in Xinjiang Using Different Band Combinations of Sentinel-2 Imagery
by Hang Zhou, Kaiyue Luo, Lingzhi Dang, Fei Zhang and Xu Ma
Forests 2026, 17(1), 88; https://doi.org/10.3390/f17010088 - 9 Jan 2026
Viewed by 138
Abstract
Remote sensing provides an efficient approach for monitoring ecosystem dynamics in the arid and semi-arid regions of Xinjiang, yet traditional forest-land extraction methods (e.g., spectral indices, threshold segmentation) show limited adaptability in complex environments affected by terrain shadows, cloud contamination, and spectral confusion [...] Read more.
Remote sensing provides an efficient approach for monitoring ecosystem dynamics in the arid and semi-arid regions of Xinjiang, yet traditional forest-land extraction methods (e.g., spectral indices, threshold segmentation) show limited adaptability in complex environments affected by terrain shadows, cloud contamination, and spectral confusion with grassland or cropland. To overcome these limitations, this study used three convolutional neural network-based models (FCN, DeepLabV3+, and PSPNet) for accurate forest-land extraction. Four tri-band training datasets were constructed from Sentinel-2 imagery using combinations of visible, red-edge, near-infrared, and shortwave infrared bands. Results show that the FCN model trained with B4–B8–B12 achieves the best performance, with an mIoU of 89.45% and an mFscore of 94.23%. To further assess generalisation in arid landscapes, ESA WorldCover and Dynamic World products were introduced as benchmarks. Comparative analyses of spatial patterns and quantitative metrics demonstrate that the FCN model exhibits robustness and scalability across large areas, confirming its effectiveness for forest-land extraction in arid regions. This study innovatively combines band combination optimization strategies with multiple deep learning models, offering a novel approach to resolving spectral confusion between forest areas and similar vegetation types in heterogeneous arid ecosystems. Its practical significance lies in providing a robust data foundation and methodological support for forest monitoring, ecological restoration, and sustainable land management in Xinjiang and similar regions. Full article
(This article belongs to the Section Forest Inventory, Modeling and Remote Sensing)
Show Figures

Figure 1

14 pages, 498 KB  
Article
Intrusion Detection for Internet of Vehicles CAN Bus Communications Using Machine Learning: An Empirical Study on the CICIoV2024 Dataset
by Hop Le and Izzat Alsmadi
Future Internet 2026, 18(1), 42; https://doi.org/10.3390/fi18010042 - 9 Jan 2026
Viewed by 227
Abstract
The rapid integration of connectivity and automation in modern vehicles has significantly expanded the attack surface of in-vehicle networks, particularly the Controller Area Network (CAN) bus, which lacks native security mechanisms. This study investigates machine learning-based intrusion detection for Internet of Vehicles (IoV) [...] Read more.
The rapid integration of connectivity and automation in modern vehicles has significantly expanded the attack surface of in-vehicle networks, particularly the Controller Area Network (CAN) bus, which lacks native security mechanisms. This study investigates machine learning-based intrusion detection for Internet of Vehicles (IoV) environments using the CICIoV2024 dataset. Unlike prior studies that rely on highly redundant traffic traces, this work applies strict de-duplication to eliminate repetitive CAN frames, resulting in a dataset of unique attack signatures. To ensure statistical robustness despite the reduced data size, Stratified K-Fold Cross-Validation was employed. Experimental results reveal that while traditional models like Random Forest (optimized with ANOVA feature selection) maintain stability (F1-Macro ≈ 0.64), Deep Learning models fail to generalize (F1-Macro < 0.55) when denied the massive redundancy they typically require. These findings challenge the “near-perfect” detection rates reported in the literature, suggesting that previous benchmarks may reflect data leakage rather than true anomaly detection capabilities. The study concludes that lightweight models offer superior resilience for resource-constrained vehicular environments when evaluated on realistic, non-redundant data. Full article
Show Figures

Figure 1

31 pages, 2120 KB  
Article
Secure TPMS Data Transmission in Real-Time IoV Environments: A Study on 5G and LoRa Networks
by D. K. Niranjan, Muthuraman Supriya and Walter Tiberti
Sensors 2026, 26(2), 358; https://doi.org/10.3390/s26020358 - 6 Jan 2026
Viewed by 277
Abstract
The advancement of Automotive Industry 4.0 has promoted the development of Vehicle to Vehicle (V2V) and Internet of Vehicles (IoV) communication, which marks the new era for intelligent, connected and automated transportation. Despite the benefits of this metamorphosis in terms of effectiveness and [...] Read more.
The advancement of Automotive Industry 4.0 has promoted the development of Vehicle to Vehicle (V2V) and Internet of Vehicles (IoV) communication, which marks the new era for intelligent, connected and automated transportation. Despite the benefits of this metamorphosis in terms of effectiveness and convenience, new obstacles to safety, inter-connectivity, and cybersecurity emerge. The tire pressure monitoring system (TPMS) is one prominent feature that senses tire pressure, which is closely related to vehicle stability, braking performance and fuel efficiency. However, the majority of TPMSs currently in use are based on the use of insecure and proprietary wireless communication links that can be breached by attackers so as to interfere with not only tire pressure readings but also sensor data manipulation. For this purpose, we design a secure TPMS architecture suitable for real-time IoV sensing. The framework is experimentally implemented using a Raspberry Pi 3B+ (Raspberry Pi Ltd., Cambridge, UK) as an independent autonomous control unit (ACU), interfaced with vehicular pressure sensors and a LoRa SX1278 (Semtech Corporation, Camarillo, CA, USA) module to support low-power, long-range communication. The gathered sensor data are encrypted, their integrity checked, source authenticated by lightweight cryptographic algorithms and sent to a secure server locally. To validate this approach, we show a three-node exhibition where Node A (raw data and tampered copy), B (unprotected copy) and C (secure auditor equipped with alerting of tampering and weekly rotation of the ID) realize detection of physical level threats at top speeds. The validated datasets are further enriched in a MATLAB R2024a simulator by replicating the data of one vehicle by 100 virtual vehicles communicating using over 5G, LoRaWAN and LoRa P2P as communication protocols under urban, rural and hill-station scenarios. The presented statistics show that, despite 5G ultra-low latency, LoRa P2P consistently provides better reliability and energy efficiency and is more resistant to attacks in the presence of various terrains. Considering the lack of private vehicular 5G infrastructure and the regulatory restrictions, this work simulated and evaluated the performance of 5G communication, while LoRa-based communication was experimentally validated with a hardware prototype. The results underline the trade-offs among LoRa P2P and an infrastructure-based uplink 5G mode, when under some specific simulation conditions, as opposed to claiming superiority over all 5G modes. In conclusion, the presented Raspberry Pi–MATLAB hybrid solution proves to be an effective and scalable approach to secure TPMS in IoV settings, intersecting real-world sensing with large-scale network simulation, thus enabling safer and smarter next-generation vehicular systems. Full article
(This article belongs to the Section Internet of Things)
Show Figures

Figure 1

39 pages, 3907 KB  
Article
RoadMark-cGAN: Generative Conditional Learning to Directly Map Road Marking Lines from Aerial Orthophotos via Image-to-Image Translation
by Calimanut-Ionut Cira, Naoto Yokoya, Miguel-Ángel Manso-Callejo, Ramon Alcarria, Clifford Broni-Bediako, Junshi Xia and Borja Bordel
Electronics 2026, 15(1), 224; https://doi.org/10.3390/electronics15010224 - 3 Jan 2026
Viewed by 263
Abstract
Road marking lines can be extracted from aerial images using semantic segmentation (SS) models; however, in this work, a conditional generative adversarial network, RoadMark-cGAN, is proposed for direct extraction of these representations with image-to-image translation techniques. The generator features residual and attention blocks [...] Read more.
Road marking lines can be extracted from aerial images using semantic segmentation (SS) models; however, in this work, a conditional generative adversarial network, RoadMark-cGAN, is proposed for direct extraction of these representations with image-to-image translation techniques. The generator features residual and attention blocks added in a functional bottleneck, while the discriminator features a modified PatchGAN, with an optimized encoder and an attention block added. The proposed model is improved in three versions (v2 to v4), in which dynamic dropout techniques and a novel “Morphological Boundary-Sensitive Class-Balanced” (MBSCB) loss are progressively added to better handle the high class imbalance present in the data. All models were trained on a novel “RoadMarking-binary” dataset (29,405 RGB orthoimage tiles of 256 × 256 pixels and their corresponding ground truth masks) to learn the distribution of road marking lines found on pavement. The metrical evaluation on the test set containing 2045 unseen images showed that the best proposed model achieved average improvements of 45.2% and 1.7% in the Intersection-over-Union (IoU) score for the positive, underrepresented class when compared to the best Pix2Pix and SS models, respectively, trained for the same task. Finally, a qualitative, visual comparison was conducted to assess the quality of the road marking predictions of the best models and their mapping performance. Full article
Show Figures

Figure 1

29 pages, 10006 KB  
Article
A BIM-Guided Virtual-to-Real Framework for Component-Level Semantic Segmentation of Construction Site Point Clouds
by Yiquan Zou, Tianxiang Liang, Jafri Syed Riaz un Nabi, Zhendong Xu, Liang Zhou and Biao Xiong
Sensors 2026, 26(1), 308; https://doi.org/10.3390/s26010308 - 3 Jan 2026
Viewed by 447
Abstract
LiDAR point cloud semantic segmentation is pivotal for scan-to-BIM workflows; however, contemporary deep learning approaches remain constrained by their reliance on extensive annotated datasets, which are challenging to acquire in actual construction environments due to prohibitive labeling costs, structural occlusion, and sensor noise. [...] Read more.
LiDAR point cloud semantic segmentation is pivotal for scan-to-BIM workflows; however, contemporary deep learning approaches remain constrained by their reliance on extensive annotated datasets, which are challenging to acquire in actual construction environments due to prohibitive labeling costs, structural occlusion, and sensor noise. This study proposes a BIM-guided Virtual-to-Real (V2R) framework that requires no real annotations. The method is trained entirely on a large synthetic point cloud (SPC) dataset consisting of 132 scans and approximately 8.75×109 points, generated directly from BIM models with component-level labels. A multi-feature fusion network combines the global contextual modeling of PCT with the local geometric encoding of PointNet++, producing robust representations across scales. A learnable point cloud augmentation module and multi-level domain adaptation strategies are incorporated to mitigate differences in noise, density, occlusion, and structural variation between synthetic and real scans. Experiments on real construction floors from high-rise residential buildings, together with the BIM-Net benchmark, show that the proposed method achieves 70.89% overall accuracy, 53.14% mean IoU, 69.67% mean accuracy, 54.75% FWIoU, and 59.66% Cohen’s κ, consistently outperforming baseline models. The Fusion model achieves 73 of 80 best scene–metric results and 31 of 70 best component-level scores, demonstrating stable performance across the evaluated scenes and floors. These results confirm the effectiveness of BIM-generated SPC and indicate the potential of the V2R framework for BIM–reality updates and automated site monitoring within similar building contexts. Full article
(This article belongs to the Section Intelligent Sensors)
Show Figures

Figure 1

28 pages, 6632 KB  
Article
Reliable Crack Evolution Monitoring from UAV Remote Sensing: Bridging Detection and Temporal Dynamics
by Canwei Wang and Jin Tang
Remote Sens. 2026, 18(1), 51; https://doi.org/10.3390/rs18010051 - 24 Dec 2025
Cited by 1 | Viewed by 465
Abstract
Surface crack detection and temporal evolution analysis are fundamental tasks in remote sensing and photogrammetry, providing critical information for slope stability assessment, infrastructure safety inspection, and long-term geohazard monitoring. However, current unmanned aerial vehicle (UAV)-based crack detection pipelines typically treat spatial detection and [...] Read more.
Surface crack detection and temporal evolution analysis are fundamental tasks in remote sensing and photogrammetry, providing critical information for slope stability assessment, infrastructure safety inspection, and long-term geohazard monitoring. However, current unmanned aerial vehicle (UAV)-based crack detection pipelines typically treat spatial detection and temporal change analysis as separate processes, leading to weak geometric consistency across time and limiting the interpretability of crack evolution patterns. To overcome these limitations, we propose the Longitudinal Crack Fitting Network (LCFNet), a unified and physically interpretable framework that achieves, for the first time, integrated time-series crack detection and evolution analysis from UAV remote sensing imagery. At its core, the Longitudinal Crack Fitting Convolution (LCFConv) integrates Fourier-series decomposition with affine Lie group convolution, enabling anisotropic feature representation that preserves equivariance to translation, rotation, and scale. This design effectively captures the elongated and oscillatory morphology of surface cracks while suppressing background interference under complex aerial viewpoints. Beyond detection, a Lie-group-based Temporal Crack Change Detection (LTCCD) module is introduced to perform geometrically consistent matching between bi-temporal UAV images, guided by a partial differential equation (PDE) formulation that models the continuous propagation of surface fractures, providing a bridge between discrete perception and physical dynamics. Extensive experiments on the constructed UAV-Filiform Crack Dataset (10,588 remote sensing images) demonstrate that LCFNet surpasses advanced detection frameworks such as You only look once v12 (YOLOv12), RT-DETR, and RS-Mamba, achieving superior performance (mAP50:95 = 75.3%, F1 = 85.5%, and CDR = 85.6%) while maintaining real-time inference speed (88.9 FPS). Field deployment on a UAV–IoT monitoring platform further confirms the robustness of LCFNet in multi-temporal remote sensing applications, accurately identifying newly formed and extended cracks under varying illumination and terrain conditions. This work establishes the first end-to-end paradigm that unifies spatial crack detection and temporal evolution modeling in UAV remote sensing, bridging discrete deep learning inference with continuous physical dynamics. The proposed LCFNet provides both algorithmic robustness and physical interpretability, offering a new foundation for intelligent remote sensing-based structural health assessment and high-precision photogrammetric monitoring. Full article
(This article belongs to the Special Issue Advances in Remote Sensing Technology for Ground Deformation)
Show Figures

Figure 1

19 pages, 2718 KB  
Article
Lightweight Power-Line Visual Detection in Agricultural UAV Scenarios Based on an Improved YOLOv12n Model
by Yi-Tong Ge, Bao-Ju Wang, Shuai Sun and Yu-Bin Lan
Sensors 2026, 26(1), 109; https://doi.org/10.3390/s26010109 - 23 Dec 2025
Viewed by 408
Abstract
To address the problems of low detection accuracy, slow inference speed, and high computational cost in power-line detection during autonomous operations of agricultural UAVs, this study proposes an improved object detection model based on YOLOv12n. A power-line dataset was constructed using real-field images [...] Read more.
To address the problems of low detection accuracy, slow inference speed, and high computational cost in power-line detection during autonomous operations of agricultural UAVs, this study proposes an improved object detection model based on YOLOv12n. A power-line dataset was constructed using real-field images supplemented with the TTPLA dataset. The lightweight EfficientNetV2 was introduced as the backbone network to replace the original backbone. In the neck, dynamic snake convolution and a multi-scale cross-axis attention mechanism were incorporated, while the region attention partitioning and residual efficient layer aggregation network from the baseline model were retained. In the head, a Mixture of Experts (MoE) layer from ParameterNet was integrated. The improved model achieved 80.07%, 43.07%, and 77.35% of the original model’s parameters, computation, and weight size, respectively. With an IoU threshold greater than 0.5, the mean average precision (mAP0.5) reached 75.5%, representing improvements of 13.53%, 15.09%, 7.5% and 7.54% over YOLOv8n, YOLOv11n, YOLOv5n, and Line-YOLO, respectively. Only inferior to RF-DETR-Nano. On mobile-end testing, the inference speed reached 88.36 FPS and exhibits the highest inference speed across all experimental models. The improved model demonstrates excellent generalization, robustness, detection accuracy, target localization, and processing speed, making it highly suitable for power-line detection in agricultural UAV applications and providing technical support for future autonomous and intelligent agricultural operations. Full article
(This article belongs to the Section Remote Sensors)
Show Figures

Figure 1

35 pages, 1045 KB  
Article
Increasing the Fault Tolerance of the Pseudo-Random Code Generator with Substitution–Permutation Network “Kuznechik” Transformation Through the Use of Residue Code
by Igor Anatolyevich Kalmykov, Alexandr Anatolyevich Olenev, Vladimir Vyacheslavovich Kopytov, Daniil Vyacheslavovich Dukhovnyj and Vladimir Sergeyevich Slyadnev
Appl. Sci. 2026, 16(1), 129; https://doi.org/10.3390/app16010129 - 22 Dec 2025
Viewed by 213
Abstract
The emergence and widespread use of low-orbit satellite communication systems has become one of the triggers for the development of the Internet of Vehicles (IoV) technology. The main goal of this integration was to increase the level of vehicle safety not only in [...] Read more.
The emergence and widespread use of low-orbit satellite communication systems has become one of the triggers for the development of the Internet of Vehicles (IoV) technology. The main goal of this integration was to increase the level of vehicle safety not only in cities and their suburbs but especially in remote areas of the country. Despite its effectiveness, satellite IoV remains susceptible to attacks on the radio channel. One of the effective ways to counter such attacks is to use wireless transmission systems with the Frequency-Hopping Spread Spectrum (FHSS) method. The effectiveness of FHSS systems largely depends on the operation of the pseudorandom code generator (PRCG), which is used to calculate the new operating frequency code (number). This generator must have the following properties. Firstly, it must have high cryptographic resistance to guessing a new operating frequency number by an attacker. Secondly, since this generator will be located on board the spacecraft, it must have high fault tolerance. The conducted studies have shown that substitution–permutation network “Kuznechik” (SPNK) meets these requirements. To ensure the property of resilience to failures and malfunctions, it is proposed to implement SPNK in codes of redundant residual class systems in polynomials (RCSP) using the isomorphism of the Chinese Remainder Theorem in polynomials. RCSP codes are an effective means of eliminating computation errors caused by failures and malfunctions. The aim of this work is to increase the fault tolerance of PRCG based on SPNK transformation by using the developed error correction algorithm, which has lower hardware and time costs for implementation compared to the known ones. The comparative analysis showed that the developed algorithm for error correction in RCSP codes provides higher fault tolerance of PRCG compared with other redundancy methods. Unlike the “2 out of 3” method of duplication, the developed algorithm ensures the operational state of PRCG not only when the first failure occurs but also during the subsequent second one. In the event of a third failure, RCSP is able to correct 73% of errors in the informational residues of code combination, while the “2 out of 3” duplication method makes it possible to fend off the consequences of only the first failure. Full article
Show Figures

Figure 1

22 pages, 3358 KB  
Article
Driving into the Unknown: Investigating and Addressing Security Breaches in Vehicle Infotainment Systems
by Minrui Yan, George Crane, Dean Suillivan and Haoqi Shan
Sensors 2026, 26(1), 77; https://doi.org/10.3390/s26010077 - 22 Dec 2025
Viewed by 861
Abstract
The rise of connected and automated vehicles has transformed in-vehicle infotainment (IVI) systems into critical gateways linking user interfaces, vehicular networks, and cloud-based fleet services. A concerning architectural reality is that hardcoded credentials like access point names (APNs) in IVI firmware create a [...] Read more.
The rise of connected and automated vehicles has transformed in-vehicle infotainment (IVI) systems into critical gateways linking user interfaces, vehicular networks, and cloud-based fleet services. A concerning architectural reality is that hardcoded credentials like access point names (APNs) in IVI firmware create a cross-layer attack surface where local exposure can escalate into entire vehicle fleets being remotely compromised. To address this risk, we propose a cross-layer security framework that integrates firmware extraction, symbolic execution, and targeted fuzzing to reconstruct authentic IVI-to-backend interactions and uncover high-impact web vulnerabilities such as server-side request forgery (SSRF) and broken access control. Applied across seven diverse automotive systems, including major original equipment manufacturers (OEMs) (Mercedes-Benz, Tesla, SAIC, FAW-VW, Denza), Tier-1 supplier Bosch, and advanced driver assistance systems (ADAS) vendor Minieye, our approach exposes systemic anti-patterns and demonstrates a fully realized exploit that enables remote control of approximately six million Mercedes-Benz vehicles. All 23 discovered vulnerabilities, including seven CVEs, were patched within one month. In closed automotive ecosystems, we argue that the true measure of efficacy lies not in maximizing code coverage but in discovering actionable, fleet-wide attack paths, which is precisely what our approach delivers. Full article
(This article belongs to the Section Internet of Things)
Show Figures

Figure 1

21 pages, 2001 KB  
Article
A Unified Fault-Tolerant Batch Authentication Scheme for Vehicular Networks
by Yifan Zhao, Hu Liu, Xinghua Li, Yunwei Wang, Zhe Ren and Peiyao Wang
Electronics 2025, 14(24), 4973; https://doi.org/10.3390/electronics14244973 - 18 Dec 2025
Viewed by 298
Abstract
This paper proposes a unified fault-tolerant batch authentication scheme for vehicular networks, designed to address key limitations in existing approaches, namely the segregation between in-vehicle and V2I authentication scenarios and the lack of fault tolerance in traditional batch authentication methods. Based on a [...] Read more.
This paper proposes a unified fault-tolerant batch authentication scheme for vehicular networks, designed to address key limitations in existing approaches, namely the segregation between in-vehicle and V2I authentication scenarios and the lack of fault tolerance in traditional batch authentication methods. Based on a hardware–software co-design philosophy, the scheme deeply integrates the security features of hardware such as Tamper-Proof Devices (TPDs) and Physical Unclonable Functions (PUFs) with the efficiency of cryptographic primitives like Aggregate Message Authentication Codes (MACs) and the Chinese Remainder Theorem (CRT). It establishes an end-to-end, integrated authentication framework spanning from in-vehicle electronic control units (ECUs) to external roadside units (RSUs), effectively meeting the diverse requirements for secure and efficient authentication among the three core entities involved in Internet of Vehicles (IoV) data collection: in-vehicle ECUs, vehicle gateways, and RSUs. Security analysis demonstrates that the proposed scheme fulfills the necessary security requirements. And extensive experimental results confirm its high efficiency and practical utility. Full article
(This article belongs to the Special Issue Cryptography and Computer Security)
Show Figures

Figure 1

20 pages, 3287 KB  
Article
Dual-Branch Superpixel and Class-Center Attention Network for Efficient Semantic Segmentation
by Yunting Zhang, Hongbin Yu, Haonan Wang, Mengru Zhou, Tao Zhang and Yeh-Cheng Chen
Sensors 2025, 25(24), 7637; https://doi.org/10.3390/s25247637 - 16 Dec 2025
Viewed by 382
Abstract
With the advancement of deep learning, image semantic segmentation has achieved remarkable progress. However, the complexity and real-time requirements of practical applications pose greater challenges for segmentation algorithms. To address these, we propose a dual-branch network guided by attention mechanisms that tackles common [...] Read more.
With the advancement of deep learning, image semantic segmentation has achieved remarkable progress. However, the complexity and real-time requirements of practical applications pose greater challenges for segmentation algorithms. To address these, we propose a dual-branch network guided by attention mechanisms that tackles common limitations in existing methods, such as coarse edge segmentation, insufficient contextual understanding, and high computational overhead. Specifically, we introduce a superpixel sampling weighting module that models pixel dependencies based on different regional affiliations, thereby enhancing the network’s sensitivity to object boundaries while preserving local features. Furthermore, a class-center attention module is designed to extract class-centered features and facilitate category-aware modeling. This module reduces the computational overhead and redundancy of traditional self-attention mechanisms, thereby improving the network’s global feature representation. Additionally, learnable parameters are employed to adaptively fuse features from both branches, enabling the network to better focus on critical information. We validate our method on three benchmark datasets (PASCAL VOC 2012, Cityscapes, and ADE20K) by comparing it with mainstream models including FCN, DeepLabV3+, and DANet, with evaluation metrics of mIoU and PA. Our method delivers superior segmentation performance in these experiments. These results underscore the effectiveness of the proposed algorithm in balancing segmentation accuracy and model efficiency. Full article
(This article belongs to the Section Sensing and Imaging)
Show Figures

Figure 1

Back to TopTop