Next Article in Journal
Symmetries of Confined H2+ Molecule
Previous Article in Journal
Research on Peak Characteristics of Turbulent Flow in Horizontal Annuli with Varying Curvatures Based on Numerical Simulation
 
 
Font Type:
Arial Georgia Verdana
Font Size:
Aa Aa Aa
Line Spacing:
Column Width:
Background:
Article

Integrated Blockchain and Federated Learning for Robust Security in Internet of Vehicles Networks

1
School of Mechanical and Vehicle Engineering, Changsha University of Science and Technology, Changsha 410114, China
2
Chengnan College, Changsha University of Science and Technology, Changsha 410114, China
3
School of City and Regional Planning, Georgia Institute of Technology, Atlanta, GA 30332, USA
4
School of Artificial Intelligence, Anhui University of Science and Technology, Hefei 231131, China
5
School of Information and Electronics, Beijing Institute of Technology, Beijing 100080, China
6
James Watt School of Engineering, University of Glasgow, Glasgow G12 8QQ, UK
7
School of Transportation Science and Engineering, Beihang University, Beijing 100080, China
*
Author to whom correspondence should be addressed.
Symmetry 2025, 17(7), 1168; https://doi.org/10.3390/sym17071168
Submission received: 15 June 2025 / Revised: 5 July 2025 / Accepted: 10 July 2025 / Published: 21 July 2025
(This article belongs to the Section Computer)

Abstract

The Internet of Vehicles (IoV) operates in an environment characterized by asymmetric security threats, where centralized vulnerabilities create a critical imbalance that can be disproportionately exploited by attackers. This study addresses this imbalance by proposing a symmetrical security framework that integrates Blockchain and Federated Learning (FL) to restore equilibrium in the Vehicle–Road–Cloud ecosystem. The evolution toward sixth-generation (6G) technologies amplifies both the potential of vehicle-to-everything (V2X) communications and its inherent security risks. The proposed framework achieves a delicate balance between robust security and operational efficiency. By leveraging blockchain’s symmetrical and decentralized distribution of trust, the framework ensures data and model integrity. Concurrently, the privacy-preserving approach of FL balances the need for collaborative intelligence with the imperative of safeguarding sensitive vehicle data. A novel Cloud Proxy Re-Encryption Offloading (CPRE-IoV) algorithm is introduced to facilitate efficient model updates. The architecture employs a partitioned blockchain and a smart contract-driven FL pipeline to symmetrically neutralize threats from malicious nodes. Finally, extensive simulations validate the framework’s effectiveness in establishing a resilient and symmetrically secure foundation for next-generation IoV networks.

1. Introduction

The rise of 6G communication technology represents a significant leap forward in the realm of digital connectivity. Characterized by ultra-fast data rates, low latency, and massive connectivity, 6G is set to transform various industries and applications [1]. The Internet of Vehicles (IoV) has emerged as a transformative paradigm in smart city ecosystems, driven by advancements in vehicular communications (V2X), Geographic Information Systems (GIS), and artificial intelligence. By integrating real-time spatial data from GIS with V2X technologies, IoVs enable dynamic route optimization, traffic flow prediction, and infrastructure coordination within urban environments. For instance, GIS facilitates the aggregation of geospatial data from sensors, traffic cameras, and autonomous vehicles to generate adaptive navigation models that mitigate congestion and enhance emergency response efficiency in smart cities. However, significant challenges persist, including the need for robust data privacy frameworks to secure heterogeneous data streams from IoT sensors and social media, as well as ensuring interoperability between legacy urban systems and emerging IoV architectures [2]. Addressing these issues will solidify the IoV’s role in shaping resilient, data-driven smart cities. Vehicles are outfitted with sensors, control and computing units, communication devices, storage, and learning capabilities. This allows IoVs to integrate seamlessly with the Internet, transportation infrastructure, and other road users via V2X communications.
In this framework, vehicles are equipped with sensors, control and computing units, communication tools, storage, and learning capabilities, enabling their integration with the Internet, transportation infrastructure, and other road users through V2X communications. Historically, the primary V2X solution was Dedicated Short-Range Communication (DSRC) in accordance with the IEEE 802.11p standard [3]. For future applications, systems are expected to be fully automated with intelligent connections, enabling them to execute services and actions with speed, efficiency, and intelligence.
6G technology has the potential to revolutionize V2X communication, encompassing concepts like Connected Autonomous Vehicles (CAVs), the IoV, intra-vehicular communication, Vehicle-to-Vehicle (V2V) communication, and Vehicle-to-Infrastructure (V2I) communication [4]. These advanced techniques are poised to modernize transportation by making it safer and more efficient. V2X communication facilitates the exchange of data among an ego vehicle and other transport participants, which includes other vehicles, road infrastructure, and even pedestrians. This capability is designed to improve the safety and efficiency of transportation systems by enabling real-time communication between vehicles and their surroundings [5]. Moreover, V2X communication with 6G can be seen as a crucial technological component for the advancement of automated vehicles and intelligent transportation systems [6]. It provides essential information that ensures vehicles can navigate safely and perform efficiently in various complex traffic conditions. As such, 6G-enabled V2X is expected to play an important role in the design and deployment of future automated vehicles and intelligent transportation.
The growing demand for enhancing smart and intelligent features, especially in the realm of intelligent cybersecurity, has become a prime concern. Achieving maximum security with minimal associated costs is critical. Intelligent systems play a crucial role in assisting Automated Vehicles (AVs) in maintaining vulnerable components, preventing reckless driving, mitigating serious accidents, improving instructive driving, and making informed decisions [7]. These advancements reduce maintenance costs and prevent hindrances to national economic growth, highlighting the importance of integrating intelligent cybersecurity measures in the evolving IoV landscape.
V2X communication is the vital technique that facilitates interaction among vehicles, pedestrians, road facilities, and other devices. With the advent of 6G, this communication is designed to significantly improve traffic safety and operational efficiency [8]. However, integrating V2X with 6G will introduce a variety of new risks and threats. The primary security challenge in V2X communication is to maintain the confidentiality, integrity, availability, authentication, and access control (CIA3) of data transmitted among IoV nodes and facilities [9]. Ensuring secure and accurate communication is crucial for the safe operation of automated vehicles. Cybersecurity threats such as eavesdropping, data alteration, and Denial-of-Service (DoS) attacks can jeopardize the integrity of V2X communication, potentially resulting in severe road safety issues.
One of the key challenges in securing the IoV is maintaining trust among nodes for credible message dissemination [10]. Unverified messages are inherently untrusted because malicious nodes can generate false reports about non-existent incidents. With the rapid development of V2X communication, numerous security challenges have emerged, prompting the need for advanced measures. To effectively safeguard V2X networks, a holistic framework is essential for security, which integrates all components of the V2X ecosystem, encompassing IoVs, edge computing units, and central clouds.
This study addresses these pressing challenges by proposing a novel system architecture that integrates blockchain and federated learning (FL) to enhance the security and resilience of V2X communication in the emerging 6G era. The main contributions of this work are as follows:
  • Integrated Security Architecture: A novel system architecture is proposed that synergistically combines a partitioned blockchain with an FL pipeline. This design leverages blockchain’s decentralization for tamper-proof data exchange and FL’s distributed nature for privacy-preserving collaborative model training.
  • Malicious Node Mitigation Mechanism: A smart contract-based mechanism, incorporating a Random Forest classifier, is introduced to detect and isolate malicious nodes that attempt data poisoning or model corruption attacks, thereby enhancing the trustworthiness of the collaborative learning process.
  • Efficient and Secure Data Offloading: A Cloud Proxy Re-Encryption Offloading (CPRE-IoV) algorithm is developed that enables secure data handling and efficient model updates, specifically designed to address the high mobility and stringent latency requirements of vehicular networks.
  • Comprehensive Validation: The framework’s effectiveness is validated through rigorous evaluations using a co-simulation platform of OMNeT++ and SUMO. Fault injection tests and scalability analysis demonstrate the framework’s ability to maintain high accuracy and low failure rates under various attack scenarios.
The structure of the remainder of this paper is as follows: Section 2 provides a review of the integration architecture of the Vehicle–Road–Cloud paradigm for emerging techniques in 6G, focusing on the main security requirements and threats for IoV. In Section 3, the proposed system architecture combining blockchain and federated learning is detailed. Section 4 presents the CPRE-IoV algorithm. Section 5 details the experimental evaluation and results. Finally, Section 6 provides the conclusion of the paper and discusses future work.

2. Related Work

This section reviews key areas of related work, categorized by their approach, and positions the present contribution within the existing literature. The integration of blockchain and federated learning (FL) has emerged as a promising paradigm for securing distributed systems, particularly in the context of the Internet of Things (IoT) and the Internet of Vehicles (IoV). Several recent studies have explored this synergy, laying a foundation for privacy-preserved, decentralized machine learning. A comprehensive survey by Javed et al. [11] provides a broad overview of the integration of blockchain and FL in IoV networks, outlining the potential benefits and research challenges. Early foundational work by Lu et al. [12] proposed a blockchain-based FL framework for general Industrial IoT, demonstrating how blockchain can facilitate auditable and secure model aggregation, preventing single points of failure.
Building on these concepts, researchers have focused on tailoring solutions specifically for the vehicular domain. Boualouache and Ghamri-Doudane [13] introduced Zero-x, a framework that uses blockchain and open-set FL to detect zero-day attacks in IoV, highlighting the need for adaptability against unknown threats. Similarly, Ullah et al. [14] developed SecBFL-IoV, which focuses on resilience against data poisoning attacks by incorporating a secure blockchain-based model verification process. Another relevant approach by Ahmed et al. [15] integrates blockchain with federated Q-learning to secure vehicular ad-hoc networks, emphasizing decision-making in dynamic environments. Many frameworks address specific threats but neglect the high latency unsuitable for mobile scenarios, or they lack mechanisms optimized for V2X data offloading challenges. Thus, a research gap exists for a holistic framework that balances robust security with the low-latency performance required for dynamic vehicular networks.
To bridge this gap, our paper proposes an architecture that synergistically integrates a partitioned blockchain, FL, and a novel proxy re-encryption offloading (CPRE-IoV) algorithm. This multi-layered system overcomes the limitations of existing solutions by design. The partitioned blockchain mitigates network latency, while our CPRE-IoV algorithm ensures efficient model updates during high mobility. Furthermore, a smart contract using a Proof-of-Trust mechanism provides a dynamic and resource-efficient defense against malicious nodes. The result is a robust framework that provides a secure, private, and efficient foundation for next-generation IoV networks, as demonstrated in the following sections.
The integration of intelligent vehicles within modern transportation networks has brought about significant advancements in vehicular communication and efficiency. However, it has also introduced substantial security and privacy challenges. Some works have focused on specific technologies to address these issues. Mumtaz et al. highlighted how blockchain can create a robust framework for intelligent vehicular communication by ensuring data integrity and secure transactions [16]. Call admission control mechanisms play a crucial role in managing the security of ultra-dense 5G networks. Al-Rubaye et al. proposed a call admission control scheme for non-standalone 5G ultra-dense networks to ensure that network resources are allocated efficiently while maintaining security [17]. In parallel, cloud-based management strategies have been explored to improve energy efficiency and security in vehicular networks. Zhou et al. [18] investigated the use of fronthaul and virtualized baseband processing pools in Long-Term Evolution (LTE) networks, showcasing how cloud management can enhance both energy efficiency and data security.
The privacy of users in location-based services has also been a critical concern. Feng et al. [19] proposed a framework to balance location privacy preservation with the quality of experience in location-based services. Wu et al. [20] provided a robust framework for modeling control delays for edge-enabled UAVs in cellular networks. This body of work underscores the importance of developing privacy-preserving mechanisms that do not compromise service quality. Network slicing in 5G networks presents another promising avenue for enhancing vehicular communication security. D’Oro et al. demonstrated how coordinated network slicing can improve network throughput while maintaining high security standards [21]. This work suggests that it is possible to minimize the risk of cross-traffic attacks on intelligent vehicles by isolating different types of network traffic.
In fact, maintaining secure communication systems in intelligent vehicles is critical. Saleem et al. [22] underscored the need for robust authentication and key agreement frameworks in maintaining secure communication in intelligent vehicular systems. Guo et al. [23] focused on uninterrupted communication on highways by developing dynamic blockage avoidance strategies and effective channel state information acquisition techniques. Lin et al. [24] proposed a dynamic and flexible framework for managing vehicular communication security through hybrid Peer-to-Peer (P2P) client–server data transmission. Roger et al. [25] proposed a batch-authenticated and key agreement framework for P2P-based online social networks, which ensures secure communication and data integrity in intelligent vehicular systems with adaptable data transmission methods. Fallgren et al. [26] discussed multicast and broadcast enablers for high-performing cellular V2X systems, which are essential for secure and efficient vehicle communication. Haliloglu et al. [27] highlighted the potential of distributed Multiple-Input Multiple-Output (MIMO) systems to enhance the security and performance of 6G networks. The privacy of energy trading in vehicle-to-grid (V2G) networks has been addressed by Shen et al., who developed a traceable and privacy-preserving authentication scheme [28]. Nestinger et al. [29] proposed a mobile agent-based framework for flexible automation systems, which is critical for enhancing the adaptability and security of intelligent vehicular networks.
For operational security, Wang et al. [30] dissected the security of operational cellular IoT services, identifying various attack vectors and proposing defenses for securing these services. For collaborative detection of Distributed Denial-of-Service (DDoS) attacks over multiple network domains, Zhang et al. [31] provided a comprehensive approach to enhancing the security of intelligent vehicular systems. Penetration testing in the IoT age, as explored by Chen et al., is crucial for identifying and mitigating vulnerabilities in intelligent vehicular networks [32]. Dissecting operational cellular IoT service security, Wang et al. [33] provided a comprehensive overview of the attack vectors and defenses necessary for maintaining secure intelligent vehicular communication.
Addressing the security and reliability engineering issues, Shieh et al. discussed the challenges and solutions in a rapidly evolving technological landscape, particularly relevant for the convergence of intelligent vehicular technologies [34]. The practical privacy-preserving scheme with fault tolerance for smart grids, as proposed by Chang et al. [35], provides a reliable approach to maintaining security in smart vehicular networks. Electric vehicle aggregation, reviewed by Nelson et al. [36], offers insights into the benefits and vulnerabilities of managing a growing fleet of intelligent vehicles.
Artificial intelligence (AI) and machine learning (ML) techniques have been increasingly applied to address security and privacy challenges in vehicular networks [37,38,39]. Pan et al. explored the use of deep learning for blind signature classification in IoT connectivity, which is crucial for maintaining secure communication channels in vehicular networks [40]. Abdo et al. [41] explored the role of AI in mitigating security risks in the IoV, which provides a comprehensive approach to detecting and preventing application-level attacks on the IoV. Federated learning (FL) is a cutting-edge machine learning technique designed to enhance security and privacy while maintaining manageable levels of latency, communication, and computational costs [42]. Unlike traditional centralized learning, where data is collected and processed in a single location, FL operates by training models directly on each device or node using local datasets. These locally trained models, typically deep neural networks, are then transmitted to a central server, known as the aggregator. The aggregator combines these local models to create an improved global model, which is subsequently distributed back to the individual nodes. This process allows for continuous refinement of local models without the need to transfer large volumes of raw data, thus preserving data privacy and reducing communication overhead. In such frameworks, blockchain is employed to achieve decentralization and eliminate the risk caused by single points of failure. The locally trained models from individual nodes can be transmitted to the central cloud platform using other nodes. Despite these advancements in IoV, integrating FL with blockchain presents challenges, such as designing a flexible and robust framework to address IoV security.
To clearly situate our work within the existing body of research, Table 1 provides a comparative summary of key related works, highlighting their methodologies, primary focus, and, most importantly, their inherent limitations. A thorough analysis of these studies reveals a recurring pattern: existing solutions often address security aspects in isolation, resulting in significant trade-offs. For instance, some blockchain-based frameworks enhance data integrity at the cost of high latency, rendering them unsuitable for real-time V2X applications. Conversely, while some AI-driven methods improve threat detection, they often rely on centralized architectures that introduce single points of failure and are vulnerable to privacy breaches and model poisoning attacks. A clear research gap therefore exists for a holistic framework that can simultaneously guarantee data integrity, preserve user privacy in a distributed learning context, and maintain the low-latency performance required for dynamic vehicular environments.
To bridge this gap, this paper proposes an innovative integrated security architecture that synergistically combines a partitioned blockchain, federated learning (FL), and a novel proxy re-encryption offloading algorithm. The primary advantage of this integrated approach is its ability to overcome the limitations of standalone solutions by creating a robust, multi-layered defense system. As shown in Table 2, compared with other methods, by partitioning the blockchain, we mitigate the inherent latency issues, while the use of FL ensures privacy without sacrificing collaborative intelligence. The smart-contract-based malicious node detection further enhances the resilience of the FL process. The following sections will detail this proposed architecture and demonstrate its superiority in providing a secure, private, and efficient solution for next-generation IoV networks.

3. The Proposed Integrated Architecture

3.1. System Model and Security Assumptions

To provide a formal presentation, we define the system model and outline our security assumptions.
System Model: The proposed IoV network consists of three main entities:
  • Vehicles (IoVs): A set of vehicles V = { v 1 , v 2 , , v K } , where K is the total number of vehicles. Each vehicle v k V is equipped with sensors, computation units, and communication modules. It collects local data D k and trains a local model with parameters W k .
  • Infrastructure nodes: These include a set of Roadside Units (RSUs) R = { r 1 , r 2 , , r M } and a set of Edge Servers E = { e 1 , e 2 , , e N } . RSUs and Edge Servers act as aggregators, proxy nodes, and participants in the blockchain network.
  • Cloud server: A central cloud platform responsible for initializing the global model and coordinating the overall FL process, but it does not have access to raw vehicle data.
The system operates over a partitioned blockchain, comprising local micro blockchains and a global key blockchain. The goal is to collaboratively train a global model W G by aggregating local models { W k } k = 1 K in a secure and privacy-preserving manner, minimizing a global loss function L ( W G ) .
Threat model: We assume an honest-but-curious model for the edge and cloud servers, meaning they will follow the protocol but may attempt to infer sensitive information from the data they receive. We also consider active internal attackers, where a subset of vehicle nodes V m V are malicious. These malicious nodes can perform two types of attacks:
  • Data poisoning: A malicious node v m V m can manipulate its local dataset D m to generate a biased local model W m , aiming to degrade the performance of the final global model W G .
  • Model poisoning: A malicious node can directly tamper with its computed model parameters W m before submitting them for aggregation.
We assume the attackers cannot break the underlying cryptographic primitives (e.g., ECC, SHA-256) and cannot compromise more than a certain fraction of the network nodes required to bypass the consensus mechanism (e.g., less than 1 / 3 for PBFT).
To address the security and privacy challenges outlined previously, this section details the proposed integrated system architecture. First, the foundational concepts of how blockchain and federated learning are adapted for the IoV context are described. Then, the novel Vehicle–Road–Cloud architecture, which combines these technologies into a cohesive and resilient framework, is presented.

3.2. Blockchain-Enabled Distributed Architecture for IoV

Blockchain is a decentralized and distributed digital ledger technology that securely records transactions across multiple devices so that the record cannot be altered retroactively [43]. It operates on the principles of cryptographic hashing and consensus algorithms to ensure the integrity, transparency, and immutability of data. As shown in Figure 1, blockchain is a chain of blocks, where each block contains a list of transactions. These transactions are verified by network participants through cryptographic algorithms, ensuring their validity and authenticity. Once verified, the transactions are added to the block, which is then appended to the existing chain in a linear, chronological order.
One of the key features of blockchain is its decentralization. Unlike traditional centralized databases controlled by a single entity, a blockchain network is maintained by a distributed network of nodes. Each node holds a copy of the entire blockchain, and consensus protocols are employed to agree on the validity of transactions, thereby eliminating the need for intermediaries. Blockchain also enhances security through its immutable ledger. Once data is written onto a blockchain, altering it requires the alteration of all subsequent blocks, which would demand a consensus from the majority of the network. This makes blockchain highly resistant to tampering and fraud.
While the traditional Internet of Things (IoT) provides benefits such as data sharing, real-time analysis, and traceability, it suffers from significant security shortcomings. Ensuring data protection is essential for all IoT applications; however, one of the main challenges lies in the centralized collection of data on servers. This centralization creates an inefficient infrastructure for handling the large volumes of data generated by IoT systems and leaves it vulnerable to various attacks, including DDoS attacks, eavesdropping, and other security threats.
To address these security issues and improve the resilience of IoT systems, blockchain technology has been introduced. By employing a decentralized network, blockchain enhances security and mitigates the vulnerabilities associated with centralized data collection. This approach not only strengthens the infrastructure but also protects against common attacks and security breaches, as illustrated in Figure 2.

3.3. Federated Learning-Enhanced Distributed Intelligence for Secure IoV Networks

Federated Learning (FL) is a machine learning method where multiple decentralized devices or servers collaboratively train a model without sharing their local data. Instead of sending raw data to a central server, each participating device trains the model locally and only shares the model updates with a central coordinator. This coordinator then aggregates these updates to create a global model, which is redistributed back to the devices for further training. This process continues iteratively. Since raw data never leaves the local devices, FL significantly enhances data privacy and security. This is particularly important in sensitive domains like healthcare, finance, and personal data. FL operates on a decentralized network of devices, reducing the need for centralized data storage and processing, which can be a bottleneck and a single point of failure. FL can scale to large numbers of devices, making it suitable for applications involving edge computing and the Internet of Things (IoT). FL allows for personalized models that can adapt to the specific data distribution of each device, improving the model’s performance for individual users while maintaining a strong global model.
The federated learning structure for IoVs, as shown in Figure 3, has each IoV train the model on its local data and compute model updates. Devices send their model updates to a central server. The server aggregates these updates to form a new global model. Aggregation can be done using various techniques, such as federated averaging. Ensuring that model updates are not tampered with and defending against adversarial attacks is crucial for maintaining the integrity of the federated learning process.

3.4. The Integrated Blockchain and Federated Learning Architecture

Integrating blockchain and federated learning in the IoV network can improve data privacy and security. With the increasing amount of data generated by vehicles, the decentralized framework with blockchain can enhance the robustness and reliability of the IoV network. Meanwhile, FL decentralizes the training process by allowing edge devices (vehicles) to train local models independently and aggregate updates, reducing dependency on central servers. The blockchain offers protection against malicious nodes by utilizing smart contracts, which can identify and prevent the inclusion of fraudulent or inaccurate local models in the blockchain. Figure 4 illustrates the Vehicle–Road–Cloud integrated architecture combining the blockchain and FL in the 6G era. To manage the network’s complexity and ensure scalability, the architecture is partitioned into two distinct blockchain layers. Within a specific geographic zone, IoVs, Roadside Units (RSUs), and other local devices form a micro blockchain. This local chain is optimized for high-frequency, low-latency operations, such as real-time data exchange, local model training, and initial participant authentication. Concurrently, edge servers from multiple zones are interconnected via the 6G backbone to form the key blockchain. This higher-level chain serves as the system’s global source of truth, responsible for inter-zone data synchronization, secure aggregation of the global model, and maintaining a tamper-proof record of significant network-wide events. This hierarchical structure effectively balances local efficiency with global consistency and security.
In a specific road segment, the edge server first uses secret sharing technology under the public infrastructure system to split the original secret into n sub-secrets and distribute them to multiple nearby IoVs. These vehicles, which receive the sub-secrets, can act as proxy vehicles for the RSU. Using the (t,n) threshold scheme, multiple proxy vehicles can reassemble the original secret value. This value, combined with the information of vehicles entering the current road segment and other authentication information, serves as credentials for participating in the formation of a collaborative proxy authentication group. Each vehicle entering a specific road segment corresponds to an authentication group, and a single proxy vehicle can participate in the authentication of multiple proxy groups. Furthermore, to ensure information security between different areas, edge servers are interconnected to form a key blockchain. This key blockchain provides the decentralized architecture for information sharing and verification among various regions. By utilizing the key blockchain, edge servers can securely exchange and validate information, ensuring that data integrity and privacy are maintained across the entire network. This approach not only enhances the security of data communication but also builds a robust and trustworthy infrastructure for the IoV in a 6G environment. Through this interconnected system, the key blockchain facilitates seamless and secure collaboration between different regions, ultimately contributing to a more efficient and reliable IoV network.
For the federated learning process, the IoVs gather their personal information during road trips, and the training process is implemented locally. For instance, for the purpose of assessing road traffic congestion conditions in different zones. Road participant detection and classification can be conducted in IoVs. The edge server can coordinate the information from the IoVs, and traffic information can be estimated by combining different zone information. The aggregator consolidates all local models and sends a global model back to all nodes for retraining and updating their local models. This process is repeated for several iterations until the global model achieves the minimum possible loss function. The loss function for the global model is defined as follows.
L ( w G ) = 1 N i = 1 N L ( w i )
where w G represents the training parameters of the global model, which is deployed in the central cloud platform, and w i represents the parameters of the local model with edge node i. In detail, the loss functions for Mean Squared Error (MSE) can be described as below.
MSE = 1 M i = 1 M ( y i y i ) 2
where M denotes the scale of test data, and y and y i represent the real and estimated outputs with the pretrained model, respectively.
For the model training process, a malicious node might intentionally alter the training data or parameters of the local model to generate incorrect results. To safeguard local models against such malicious activities, they must be submitted to the blockchain only after undergoing a consensus algorithm. The local model can be deemed trustworthy if the trainer’s trust rating surpasses a specific threshold. Trusted neighboring nodes can also verify the pretrained local model using their captured history data and compare the outcomes with the real results. Alternatively, a smart contract can automatically verify the local model against pre-recorded data and real measured results. In this study, the machine learning technique, the random forest method, within a smart contract can be used to detect inaccuracies or anomalies in local models. The customized blockchain architecture with parallel zone blocks is used for the specific model deployment.
To safeguard the integrity of the model training process in federated learning, a malicious node might intentionally tamper with training data or local model parameters to produce erroneous results. To mitigate such threats, local models must be submitted to the blockchain only after validation through a robust consensus algorithm. In this study, a Proof-of-Trust (PoT) consensus mechanism is used, where nodes collectively evaluate the trustworthiness of a submitted local model based on predefined criteria. The PoT algorithm leverages a trust rating system, where each trainer node is assigned a dynamic trust score derived from its historical behavior, including the accuracy of prior model submissions and adherence to protocol rules. A local model is deemed trustworthy only if the trainer’s trust rating exceeds a predefined threshold, set dynamically based on the network’s security requirements.
To further ensure model integrity, trusted neighboring nodes can validate the pretrained local model by re-evaluating it against their locally stored historical data. These nodes compare the model’s predictions with real-world outcomes, calculating metrics such as Root Mean Square Error (RMSE) to quantify deviations. A model is flagged as suspicious if its performance deviates significantly from expected results. Alternatively, a smart contract can automate this verification process by executing predefined validation logic. The smart contract retrieves pre-recorded ground-truth data and real measured outcomes from the blockchain’s immutable ledger, runs the local model on this data, and computes performance metrics to detect inconsistencies. In this study, the Random Forest machine learning algorithm is integrated into the smart contract to detect anomalies in local models. The Random Forest classifier is trained on features such as model prediction errors, parameter distributions, and metadata, enabling it to identify patterns indicative of tampering or inaccuracies with high precision.
Rather than relying on a central node, certain authorized nodes, like an edge server, can function as aggregators. These nodes are tasked with regularly updating their blockchain copies until they have gathered the specific number of local models. Among the multiple aggregators, the central cloud platform first collects the required number of local models, then combines these local models to create the critical global model and adds the local model to the blockchain as a key block for the global model training. The training of a global model for each iteration can be addressed with the federated learning process. This procedure is repeated until the global model meets the real estimation requirements or achieves the intended trained loss function as described in Equation (2).
The proposed system operates on a customized blockchain architecture featuring parallel zone blocks to optimize model deployment and scalability. The blockchain is partitioned into multiple zones, each managing a subset of nodes and their corresponding local models. Each zone operates a sub-chain with its own consensus process, reducing latency and computational overhead compared with a single global chain. Zone blocks are periodically synchronized with the main blockchain to ensure global consistency, using a cross-zone validation protocol where inter-zone nodes verify the integrity of aggregated models.

4. The CPRE-IoV Algorithm

Building on the architecture described in Section 3, this section presents the core algorithmic innovation of the framework: the Cloud Proxy Re-Encryption Offloading (CPRE-IoV) algorithm. To provide clarity on the interaction between processes, this section details the precise sequence of operations, showing how blockchain validation is integrated with the CPRE-IoV offloading workflow. This algorithm is designed to ensure secure and efficient data handling in the face of high vehicle mobility and stringent privacy requirements. The conceptual workflow of CPRE-IoV is first outlined, followed by a detailed algorithmic implementation.

4.1. Cloud Proxy Re-Encryption Offloading Workflow

To address the high mobility of vehicle nodes and stringent data privacy requirements in Internet of Vehicles (IoV) scenarios, the blockchain-based Cloud Proxy Re-Encryption Offloading Algorithm (CPRE-IoV) is proposed. The core workflow and technical features are illustrated in Figure 5.
The CPRE-IoV algorithm is designed to address the unique challenges of the IoV, where high mobility and stringent data privacy demands necessitate innovative solutions. By integrating blockchain technology and advanced cryptographic techniques, it ensures secure and efficient data handling across dynamic vehicular networks. This section outlines the key steps and technical features that underpin its functionality.
  • On-Vehicle Data Encryption and Local Training
    • Vehicle node k encrypts sensor data D k using its Elliptic Curve Cryptography (ECC) public key P K k :
      C k = E P K k ( D k )
    • Local model training is performed within a Trusted Execution Environment (TEE) to generate privacy-preserving model parameters:
      W k = LocalTraining ( C k )
    • The TEE leverages hardware isolation to prevent unauthorized access, enhancing data security during computation.
  • Dynamic Proxy Node Selection and Optimization
    • A multi-objective optimization function is constructed based on the vehicle’s location Loc ( k ) and the network state of RSUs:
      P opt = arg min P i P α · Distance ( k , P i ) v k + β · 1 BW ( P i ) + γ · Latency ( P i )
      where v k denotes the vehicle’s speed, BW ( P i ) is the bandwidth of proxy P i , and α , β , γ are dynamically adjusted weights to optimize transmission paths in real time.
    • A blockchain-based reputation mechanism evaluates proxy node reliability:
      Rep ( P i ) = t = 1 T ValidTx ( P i ) t = 1 T TotalTx ( P i ) θ
      where θ is a predefined threshold, ensuring only trustworthy nodes are selected.
    • The reputation score is periodically updated via smart contracts to reflect recent node performance.
  • Hierarchical Re-Encryption and On-Chain Verification
    • A dual-chain architecture facilitates secure parameter transmission:
      C P opt = E P K P opt ( W k )
      Hash ( W k ) side chain storage B sub
    • An automated verification mechanism, powered by smart contracts, validates the integrity of re-encrypted data:
      Verify ( C P opt ) = 1 if Consensus ( P opt ) 2 / 3 0 otherwise
    • The side chain employs zero-knowledge proofs (ZKP) to verify computations without exposing sensitive data.
  • Federated Aggregation and Vehicle Model Updates
    • An enhanced federated averaging algorithm accounts for the Non-IID nature of vehicle data:
      W global = k = 1 K n k · Rep ( k ) i = 1 K n i W k
      where n k is the data size of vehicle k, and Rep ( k ) reflects node reliability.
    • The updated global model is distributed via V2X networks:
      UpdateLatency = W global 2 BW V 2 I Δ t max
      ensuring timely delivery within latency constraints.
    • Adaptive compression techniques are applied to model parameters to optimize bandwidth usage.
Together, these steps form a robust framework that balances security, efficiency, and scalability in IoV environments. This approach not only protects sensitive data but also enables real-time collaboration, paving the way for advanced vehicular applications.

4.2. Implementation and Algorithmic Refinements

Following the foundational framework outlined previously, this subsection details the practical implementation and algorithmic refinements of the CPRE-IoV workflow, which is formalized in Algorithm 1. The algorithm orchestrates the process for a single training round from the perspective of an individual vehicle. As such, its primary inputs include the specific vehicle’s index (k), its private local sensor data ( D k ), a set of currently available proxy nodes ( P ), and the total number of vehicles (K) participating in the collaborative task. By executing the multi-phase workflow of secure local training, intelligent proxy selection, and robust aggregation, the algorithm’s ultimate output is the newly updated global model ( W g l o b a l ), which encapsulates the collective intelligence of the network for that round.
The process begins at the individual vehicle level. Each vehicle first secures its locally gathered sensor data using its public key for encryption. This critical step ensures that raw data never leaves the vehicle in plain text, forming the foundation of our privacy-preserving approach. Subsequently, the vehicle leverages a hardware-based Trusted Execution Environment (TEE) to train its local machine learning model. This produces a set of model parameters, or updates, within an isolated and tamper-resistant environment, protecting the training process from local interference.
The core of our algorithm’s efficiency in a highly dynamic vehicular environment lies in its intelligent proxy selection mechanism. Rather than simply offloading to the nearest Roadside Unit (RSU), the vehicle dynamically evaluates a set of potential proxy nodes available in its vicinity. For each candidate proxy, a holistic ‘cost’ score is computed. This score intelligently balances the proxy’s real-time network performance (such as its available bandwidth and latency) with the vehicle’s own state (specifically its velocity, which indicates how long the connection might last) and, most importantly, the proxy’s trustworthiness. This trust is represented by a reputation score recorded immutably on the blockchain, ensuring that only reliable and well-behaved nodes are chosen for the critical task of data offloading. This multi-faceted approach prevents vehicles from connecting to congested or untrustworthy nodes, thereby enhancing both speed and security.
Once the optimal proxy is selected, the encrypted local model is securely offloaded, and its integrity is verified on-chain via a smart contract-based consensus check. The final phase involves the federated aggregation of multiple such verified models. To defend against model poisoning attacks and mitigate the impact of low-quality contributions, our framework employs a reputation-weighted averaging scheme. In this scheme, the influence of each local model on the new global model is proportional to both the size of its training dataset and the historical reputation of the contributing vehicle. This ensures that trustworthy nodes with more data have a greater, more positive impact. Finally, to optimize bandwidth for the demanding V2X environment, the updated global model undergoes adaptive compression before being broadcast back to all participating vehicles, thus completing one robust and efficient cycle of collaborative learning.
Algorithm 1 CPRE-IoV Secure Offloading and Aggregation Workflow
  •     // Phase 1: On-Vehicle Local Processing
  1:
C k = Encrypt ( D k , P K k )                    ▹ Encrypt local data using vehicle’s public key
  2:
W k = LocalTraining ( C k )                     ▹ Train local model inside a TEE
  •     // Phase 2: Dynamic Proxy Selection
  3:
m i n _ c o s t =
  4:
P o p t = null
  5:
for all proxy P i P  do
  6:
    if  Rep ( P i ) θ  then
  7:
           c o s t = ( α · Distance ( k , P i ) / v k ) + ( β / BW ( P i ) ) + ( γ · Latency ( P i ) )
  8:
          if  c o s t < m i n _ c o s t  then
  9:
                 m i n _ c o s t = c o s t
10:
                 P o p t = P i
11:
          end if
12:
    end if
13:
end for
  •     // Phase 3: Re-Encryption and On-Chain Verification
14:
C P o p t = Encrypt ( W k , P K P o p t )                  ▹ Re-encrypt model for the selected proxy
15:
h a s h _ W k = Hash ( W k )
16:
StoreOnSideChain ( h a s h _ W k )
17:
if  ConsensusCheck ( P o p t ) < 2 / 3  then return “Verification Failed”
18:
end if
  •     // Phase 4: Federated Aggregation and Model Update (performed by aggregator)
19:
W g l o b a l = 0
20:
t o t a l _ w e i g h t = i = 1 K ( n i · Rep ( i ) )
21:
for  i = 1 to K do
22:
       W g l o b a l = W g l o b a l + ( n i · Rep ( i ) / t o t a l _ w e i g h t ) · W i
23:
end for
24:
W g l o b a l = Compress ( W g l o b a l )
25:
DistributeViaV 2 X ( W g l o b a l )  return  W g l o b a l

5. Experimental Evaluation and Discussion

This section presents the comprehensive evaluation of the proposed framework. The experimental setup and parameter configurations are first detailed. Then, the results from performance and security tests are presented, followed by a discussion that compares the findings with the state-of-the-art.

5.1. Experimental Setup

To ensure the reproducibility and clarity of the tests, the key simulation parameters are summarized in Table 3. The experiments were conducted using a co-simulation platform integrating OMNeT++ for network simulation and SUMO for realistic vehicle mobility, thereby modeling a credible automotive environment.

5.2. Performance and Security Evaluation

The CPRE-IoV algorithm was rigorously evaluated for its performance, security, and scalability. To validate efficiency on scaling networks, encryption time and model update latency were measured. Figure 6 plots these metrics against the number of vehicles, illustrating encryption times and model update latencies. This stability is attributed to the lightweight ECC encryption and adaptive compression techniques, which minimize computational overhead. The results confirm the advantage of the cryptographic optimizations in maintaining real-time responsiveness even as the density of the network increases.
The system’s resilience against adversarial attacks was tested by introducing malicious nodes designed to submit corrupted or false data. The results, shown in Figure 7, illustrate a high verification success rate, consistently ranging from 0.94 to 0.98 across various adversarial scenarios. This high rate directly reflects the system’s effectiveness in identifying and rejecting malicious updates, thereby underscoring its ability to withstand attacks and preserve the reliability of the network’s operations. Such resilience is critical for ensuring the trustworthiness of the final aggregated model in a decentralized setting. This robustness is primarily attributed to the framework’s innovative dual-chain architecture, which strategically integrates ZKP and the Practical Byzantine Fault Tolerance (PBFT) consensus mechanism. ZKP allows vehicles to prove the validity of their contributions without exposing private data, while the PBFT consensus ensures that the network can reach a secure agreement even if a portion of the nodes behave maliciously. This combination creates a powerful defense layer, guaranteeing that only authenticated and validated information is accepted onto the blockchain, thus maintaining the integrity of the entire system against sophisticated attacks.
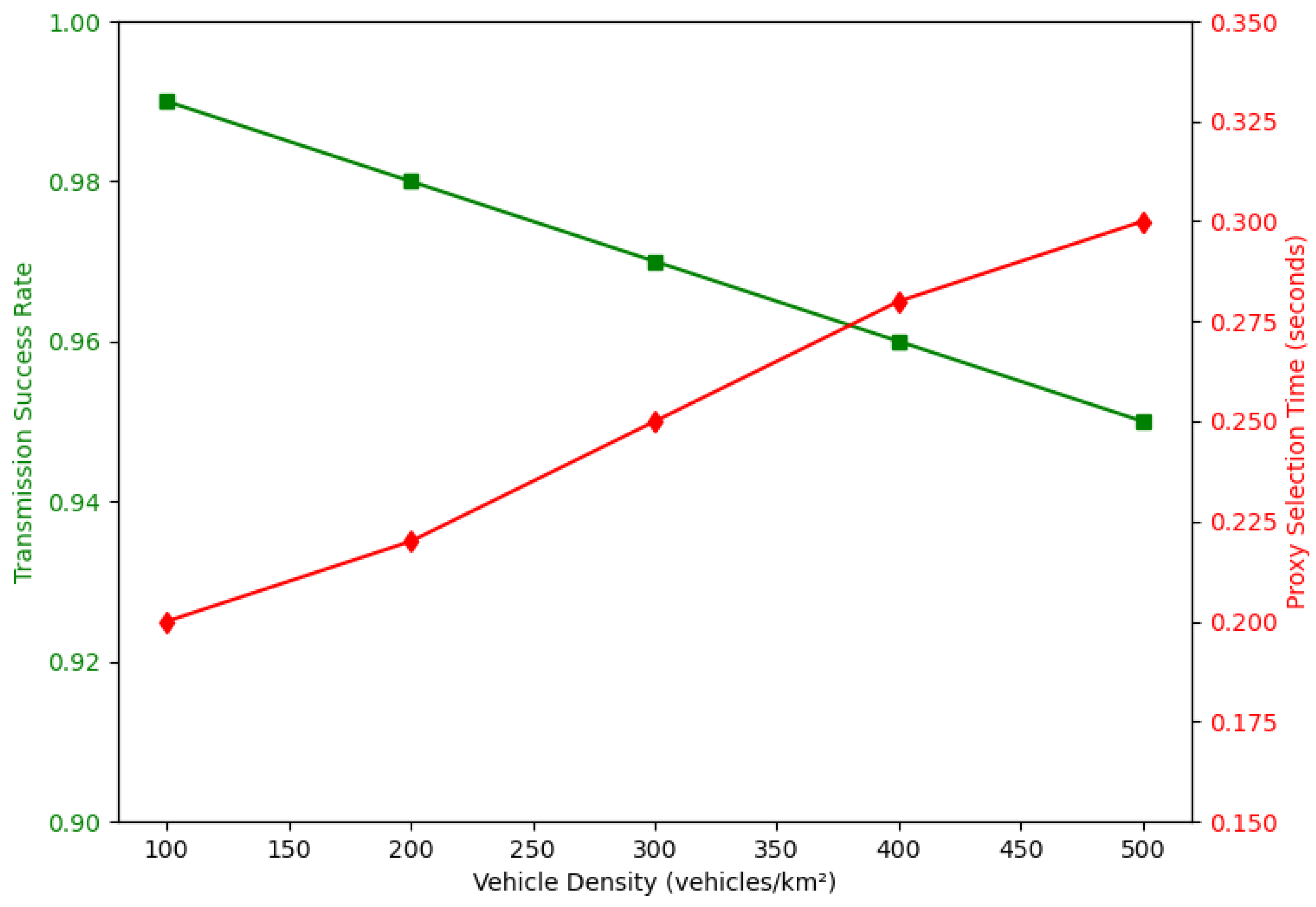
To rigorously evaluate the system’s scalability, a critical factor for real-world urban deployment, its performance was assessed under increasing vehicle densities, from a sparse 50 vehicles per km2 to a highly congested 500 vehicles per km2. Such dense scenarios present significant challenges, including heightened network congestion, increased data collision probability, and a greater computational load on the infrastructure responsible for managing communications. Despite these pressures, the results presented in Figure 8 demonstrate exceptional robustness. The transmission success rate remains consistently high, staying above 92% even at peak density, which is crucial for the reliability of safety-critical V2X applications. Concurrently, the proxy selection time remains well below the 0.6-second threshold, a vital characteristic for high-mobility environments where offloading decisions must be made rapidly before a vehicle’s optimal connection point changes. This strong, scalable performance is a direct outcome of the sophisticated dynamic proxy selection mechanism. Instead of naively choosing the closest Roadside Unit (RSU), the algorithm’s multi-objective optimization function intelligently balances factors like distance, real-time bandwidth, and latency. This allows the system to dynamically avoid congested RSUs and reroute data through more efficient, albeit potentially more distant, paths, thus preventing bottlenecks. Furthermore, the blockchain-based reputation system plays a crucial role in maintaining efficiency at scale. In a dense network with numerous potential proxies, the reputation system acts as an effective filter, allowing the algorithm to quickly discard unreliable or historically poor-performing nodes from its decision-making process. This significantly prunes the search space, enabling rapid and reliable proxy selection even as the number of nodes grows, thereby ensuring the system remains both agile and dependable.
To quantify the benefits of our integrated design, a comprehensive comparative analysis was performed. Our CPRE-IoV framework was benchmarked against a traditional federated learning baseline, which consists of a standard Federated Averaging (FedAvg) algorithm implemented in a conventional client–server model without blockchain integration or specialized security offloading mechanisms. The results, clearly illustrated in Figure 9, highlight the superiority of our proposed framework across multiple key performance indicators.
First, we observed a 35% reduction in average model update latency. This significant improvement is primarily driven by the CPRE-IoV offloading algorithm, which intelligently routes data through low-latency proxies, and our partitioned blockchain architecture, which avoids the consensus bottlenecks often associated with monolithic chains in large-scale networks. Second, the framework achieves a 28% decrease in security overhead. While introducing robust security, our system optimizes cryptographic operations by using lightweight Elliptic Curve Cryptography (ECC) and offloading complex verification tasks to infrastructure nodes and smart contracts. This design minimizes the computational burden on resource-constrained vehicles.
Finally, the analysis reveals a remarkable 42% savings in overall resource consumption, primarily in terms of network bandwidth. This efficiency stems from the adaptive compression applied to model parameters before their dissemination via V2X, combined with the inherent communication benefits of the federated approach. Collectively, these enhancements demonstrate that the novel integration of proxy re-encryption, TEE-based validation, and a partitioned blockchain does not simply add security but does so in a highly efficient manner, creating a practical and scalable solution for real-world IoV networks.
Furthermore, integration tests using a malicious node fault injection model were conducted. To rigorously evaluate the architecture’s resilience against severe, large-scale threats, the proportion of malicious nodes in the network was systematically varied from 10 percent up to an extreme threshold of 50 percent. This 50 percent scenario, while representing a worst-case condition, is a critical stress test designed to simulate a powerful, coordinated attack, such as a widespread vehicular botnet or a compromised manufacturer firmware update affecting half a fleet. Performing such an evaluation is essential for aligning with the stringent principles of modern automotive cybersecurity engineering, particularly the risk-based approach mandated by the ISO 21434 standard [44]. This standard requires that vehicle systems be validated against foreseeable and severe threats to guarantee safety throughout the vehicle’s lifecycle. Therefore, by demonstrating that our framework can maintain operational integrity even when half the network is actively hostile, we validate its upper-bound resilience and provide strong evidence of its suitability for safety-critical applications where trust and reliability are paramount.
As shown in Figure 10, the smart contract mechanism significantly reduces the model loss (MSE) by detecting and excluding malicious local models. Figure 11 shows that the proposed solution maintains a low failure rate compared with centralized or hierarchical architectures, confirming its effectiveness in suppressing attack propagation. This performance stands in stark contrast to traditional centralized or hierarchical architectures, which are more susceptible to single points of failure and where a compromised central aggregator can lead to widespread system malfunction. Ultimately, these tests confirm that our decentralized approach of embedding trust and verification into smart contracts is highly effective in containing and suppressing the propagation of attacks within the IoV ecosystem.

5.3. Discussion and Comparison with State-of-the-Art

The experimental results demonstrate that the proposed CPRE-IoV framework provides a robust and efficient solution for secure federated learning in IoV. To rigorously validate its advantages, we conducted a comparative evaluation against SecBFL-IoV [14], a representative state-of-the-art framework that also combines blockchain and FL to defend against poisoning attacks. The evaluation focused on key metrics, including security, model update latency, and communication overhead under identical simulation conditions.
The quantitative results are summarized in Table 4. In terms of security, our CPRE-IoV framework achieves a slightly higher detection accuracy for poisoning attacks (97.6% vs. 95.2%). This improvement is attributed to our hybrid defense mechanism, which combines the PoT consensus with a Random Forest classifier in the smart contract, allowing for more nuanced anomaly detection compared with reputation and similarity checks alone.
The most significant advantage of CPRE-IoV is observed in its performance under high-mobility conditions. As shown in the table, the average model update latency of our framework is 215 ms, which is less than half that of SecBFL-IoV (480 ms). This substantial reduction is a direct result of our partitioned blockchain architecture and the CPRE-IoV offloading algorithm. The partitioned chain reduces consensus delays for local transactions, while the intelligent proxy selection mechanism ensures that model updates are routed through the most efficient paths, avoiding network congestion and minimizing handoff delays. CPRE-IoV also demonstrates superior efficiency in terms of communication overhead, requiring 385 KB per model update compared with 512 KB for SecBFL-IoV. This 25% reduction is achieved through the adaptive compression techniques applied to the global model parameters before dissemination. In summary, while both frameworks provide strong security, our CPRE-IoV framework offers a more balanced and practical solution by specifically addressing the critical performance challenges of latency and mobility inherent in real-world vehicular networks.

6. Conclusions and Future Work

In conclusion, this paper has explored the significant security challenges in the IoV landscape, proposing a robust solution by integrating blockchain and FL technologies. The effectiveness of our framework rests on three core principles: first, a partitioned blockchain architecture that segregates local and global trust management to ensure scalability; second, the synergistic integration of privacy-preserving federated learning with a robust smart contract-based verification mechanism; and third, an intelligent proxy re-encryption offloading algorithm that dynamically adapts to the high-mobility nature of vehicular networks. The proposed architecture demonstrates how these technologies can support the secure and efficient exchange of data, meeting the stringent requirements of real-time processing and massive data handling in autonomous vehicles. Our simulation results, including a direct comparison with state-of-the-art frameworks like SecBFL-IoV, have quantitatively demonstrated our system’s superior performance in terms of both security and efficiency, particularly in reducing latency in large-scale, dynamic environments.
Despite the promising results, this study has several limitations that open avenues for future work. The evaluation relies on a simulated environment; while sophisticated, it may not capture all the unpredictable complexities of real-world network conditions, signal interference, and hardware constraints. Furthermore, while the architecture is designed for scalability, its performance with millions of nodes in a true city-scale deployment requires further investigation, particularly concerning the consensus overhead of the blockchain component. The computational overhead of the cryptographic operations, although optimized, could also pose a challenge for older, resource-constrained vehicle on-board units.
Future work should focus on addressing these limitations and expanding the framework’s capabilities. This includes investigating lightweight blockchain protocols and efficient FL algorithms that can handle the massive data volumes and real-time processing demands of autonomous vehicles without compromising on speed or security. A primary goal is to deploy the framework on a physical testbed with real vehicles to validate its real-world performance. Another promising avenue is extending the framework to support a wider range of smart city applications beyond security, such as real-time traffic management, cooperative mobility services, and predictive road maintenance, fostering a deeper integration between V2X systems and urban infrastructure. As 6G technology continues to evolve, ensuring interoperability between different IoV systems and adhering to emerging standards will be critical.

Author Contributions

Conceptualization, Z.H. and J.D.; methodology, Z.H. and B.W.; software, B.W.; validation, B.W. and L.S.; formal analysis, R.X. and L.S.; investigation, Q.M. and Q.T.; resources, Q.M.; data curation, R.X. and Z.T.; writing—original draft preparation, Z.H.; writing—review and editing, L.S. and J.D.; visualization, R.X. and Z.T.; supervision, J.D.; project administration, Q.T. All authors have read and agreed to the published version of the manuscript.

Funding

This work was supported in part by the “Lingyan” R&D Program of Zhejiang Province (No. 2023C01238), in part by the “Jianbing” R&D Program of Zhejiang Province (No. 2023C01133), and in part by the Key R&D Program of Jiaxing City (No. 2023BZ10002).

Data Availability Statement

The data presented in this study are available on request from the corresponding author due to the data privacy.

Conflicts of Interest

The authors declare no conflict of interest.

References

  1. Nguyen, D.C.; Ding, M.; Pathirana, P.N.; Seneviratne, A.; Li, J.; Niyato, D.; Dobre, O.; Poor, H.V. 6G Internet of Things: A comprehensive survey. IEEE Internet Things J. 2021, 9, 359–383. [Google Scholar] [CrossRef]
  2. Kwon, H. Secure and Scalable Device Attestation Protocol with Aggregate Signature. Symmetry 2024, 16, 698. [Google Scholar] [CrossRef]
  3. IEEE 802. 11p; Wireless Access in Vehicular Environments. IEEE: New York, NY, USA, 2010.
  4. Noor-A-Rahim, M.; Liu, Z.; Lee, H.; Khyam, M.O.; He, J.; Pesch, D.; Moessner, K.; Saad, W.; Poor, H.V. 6G for vehicle-to-everything (V2X) communications: Enabling technologies, challenges, and opportunities. Proc. IEEE 2022, 110, 712–734. [Google Scholar] [CrossRef]
  5. Gao, L.; Xia, X.; Zheng, Z.; Xiang, H.; Meng, Z.; Han, X.; Zhou, Z.; He, Y.; Wang, Y.; Li, Z.; et al. Cooperative Localization in Transportation 5.0. IEEE Trans. Intell. Veh. 2024, 9, 4259–4264. [Google Scholar] [CrossRef]
  6. Chen, S.; Hu, J.; Shi, Y.; Zhao, L.; Li, W. A Vision of C-V2X: Technologies, Field Testing, and Challenges With Chinese Development. IEEE Internet Things J. 2020, 7, 3872–3881. [Google Scholar] [CrossRef]
  7. Gao, C.; Wang, G.; Shi, W.; Wang, Z.; Chen, Y. Autonomous Driving Security: State of the Art and Challenges. IEEE Internet Things J. 2022, 9, 7572–7595. [Google Scholar] [CrossRef]
  8. Annu. Advancing 6G V2X Networks Through Transparent Congestion Metric Estimation. In Proceedings of the 2023 IEEE International Conference on Advanced Networks and Telecommunications Systems (ANTS), Jaipur, India, 11–14 December 2023; pp. 1–4. [Google Scholar]
  9. Li, G.; Lai, C.; Lu, R.; Zheng, D. SecCDV: A Security Reference Architecture for Cybertwin-Driven 6G V2X. IEEE Trans. Veh. Technol. 2022, 71, 4535–4550. [Google Scholar] [CrossRef]
  10. Djenouri, Y.; Belhadi, A.; Djenouri, D.; Srivastava, G.; Lin, J.C.-W. A Secure Intelligent System for Internet of Vehicles: Case Study on Traffic Forecasting. IEEE Trans. Intell. Transp. Syst. 2023, 24, 13218–13227. [Google Scholar] [CrossRef]
  11. Javed, A.R.; Hassan, M.A.; Shahzad, F.; Ahmed, W.; Singh, S.; Baker, T.; Gadekallu, T.R. Integration of blockchain technology and federated learning in vehicular (iot) networks: A comprehensive survey. Sensors 2022, 22, 4394. [Google Scholar] [CrossRef]
  12. Lu, Y.; Huang, X.; Dai, Y.; Maharjan, S.; Zhang, Y. Blockchain and federated learning for privacy-preserved data sharing in industrial IoT. IEEE Trans. Ind. Inform. 2019, 16, 4177–4186. [Google Scholar] [CrossRef]
  13. Boualouache, A.; Ghamri-Doudane, Y. Zero-x: A blockchain-enabled open-set federated learning framework for zero-day attack detection in iov. IEEE Trans. Veh. Technol. 2024, 73, 12399–12414. [Google Scholar]
  14. Ullah, I.; Deng, X.; Pei, X.; Mushtaq, H. SecBFL-IoV: A Secure Blockchain-Enabled Federated Learning Framework for Resilience Against Poisoning Attacks in Internet of Vehicles. In Pattern Recognition and Computer Visio, Proceedings of the Chinese Conference on Pattern Recognition and Computer Vision (PRCV), Urumqi, China, 18–20 October 2024; Springer Nature: Singapore, 2024; pp. 410–428. [Google Scholar]
  15. Ahmed, H.A.; Jasim, H.M.; Gatea, A.N.; Al-Asadi, A.A.A.; Al-Asadi, H.A.A. A secure and efficient blockchain enabled federated Q-learning model for vehicular Ad-hoc networks. Sci. Rep. 2024, 14, 31235. [Google Scholar] [CrossRef] [PubMed]
  16. Mumtaz, S.; Al-Dulaimi, A.; Gačanin, H.; Bo, A. Blockchain for intelligent vehicular communication. IEEE Commun. Mag. 2017, 55, 12–15. [Google Scholar]
  17. Al-Rubaye, S.; Al-Dulaimi, A.; Cosmas, J.; Anpalagan, A. Call Admission Control for Non-Standalone 5G Ultra-Dense Networks. IEEE Commun. Lett. 2018, 22, 1058–1061. [Google Scholar] [CrossRef]
  18. Zhou, J.; Cao, Z.; Dong, X.; Vasilakos, A.V. Security and privacy for cloud-based IoT: Challenges. IEEE Commun. Mag. 2017, 55, 26–33. [Google Scholar] [CrossRef]
  19. Feng, J.; Zhang, Z.; Wong, W.-C.; Sun, S.; Sikdar, B. A framework to balance location privacy preservation with quality of experience. IEEE Trans. Veh. Technol. 2016, 65, 8075–8087. [Google Scholar]
  20. Wu, Y.-H.; Li, C.-Y.; Lin, Y.-B.; Wang, K.; Wu, M.-S. Modeling Control Delays for Edge-Enabled UAVs in Cellular Networks. IEEE Internet Things J. 2022, 9, 16222–16233. [Google Scholar] [CrossRef]
  21. D’Oro, S.; Bonati, L.; Restuccia, F.; Melodia, T. Coordinated 5G Network Slicing: How Constructive Interference Can Boost Network Throughput. IEEE/ACM Trans. Netw. 2021, 29, 1881–1894. [Google Scholar] [CrossRef]
  22. Saleem, J.; Raza, U.; Hammoudeh, M.; Holderbaum, W. Machine Learning-Enhanced Attribute-Based Authentication for Secure IoT Access Control. Sensors 2025, 25, 2779. [Google Scholar] [CrossRef]
  23. Guo, H.; Makki, B.; Alouini, M.-S.; Svensson, T. High-Rate Uninterrupted Internet of Vehicle Communications in Highways: Dynamic Blockage Avoidance and CSIT Acquisition. IEEE Commun. Mag. 2022, 60, 44–50. [Google Scholar] [CrossRef]
  24. Lin, X.; Lu, R.; Zhang, C.; Zhu, H.; Ho, P.-h.; Shen, X. Security in vehicular ad hoc networks. IEEE Commun. Mag. 2008, 46, 110–118. [Google Scholar] [CrossRef]
  25. Roger, S.; Botella-Mascarell, C.; Martín-Sacristán, D.; García-Roger, D.; Monserrat, J.F.; Svensson, T. Sustainable Mobility in B5G/6G: V2X Technology Trends and Use Cases. IEEE Open J. Veh. Technol. 2024, 5, 459–472. [Google Scholar] [CrossRef]
  26. Fallgren, M.; Abbas, T.; Allio, S.; Alonso-Zarate, J.; Fodor, G.; Gallo, L. Multicast and Broadcast Enablers for High-Performing Cellular V2X Systems. IEEE Trans. Broadcast. 2019, 65, 454–463. [Google Scholar] [CrossRef]
  27. Haliloglu, O.; Yu, H.; Madapatha, C.; Guo, H.; Kadan, F.E.; Wolfgang, A. Distributed MIMO Systems for 6G. In Proceedings of the 2023 Joint European Conference on Networks and Communications & 6G Summit (EuCNC/6G Summit), Gothenburg, Sweden, 6–9 June 2023; pp. 156–161. [Google Scholar]
  28. Shen, G.; Xia, C.; Li, Y.; Shen, H.; Meng, W.; Zhang, M. Traceable and Privacy-Preserving Authentication Scheme for Energy Trading in V2G Networks. IEEE Internet Things J. 2024, 11, 6664–6676. [Google Scholar] [CrossRef]
  29. Nestinger, S.S.; Chen, B.; Cheng, H.H. A Mobile Agent-Based Framework for Flexible Automation Systems. IEEE/ASME Trans. Mechatronics 2010, 15, 942–951. [Google Scholar] [CrossRef]
  30. Wang, S.; Xie, T.; Chen, M.-Y.; Tu, G.-H.; Li, C.-Y.; Lei, X. Dissecting Operational Cellular IoT Service Security: Attacks and Defenses. IEEE/ACM Trans. Netw. 2023, 32, 1229–1244. [Google Scholar] [CrossRef]
  31. Zhang, C.; Li, J.; Wang, N.; Zhang, D. Research on Intrusion Detection Method Based on Transformer and CNN-BiLSTM in Internet of Things. Sensors 2025, 25, 2725. [Google Scholar] [CrossRef]
  32. Chen, C.-K.; Zhang, Z.-K.; Lee, S.-H.; Shieh, S. Penetration Testing in the IoT Age. Computer 2018, 51, 82–85. [Google Scholar] [CrossRef]
  33. Wang, B.; Han, Y.; Wang, S.; Tian, D.; Cai, M.; Liu, M.; Wang, L. A Review of Intelligent Connected Vehicle Cooperative Driving Development. Mathematics. 2022, 10, 3635. [Google Scholar] [CrossRef]
  34. Shieh, S.W.; Voas, J.; Laplante, P.; Rupe, J.; Hansen, C.; Wu, Y.-S. Reliability Engineering in a Time of Rapidly Converging Technologies. IEEE Trans. Reliab. 2024, 73, 73–82. [Google Scholar] [CrossRef]
  35. Chang, Y.; Li, J.; Lu, N.; Shi, W.; Su, Z.; Meng, W. Practical Privacy-Preserving Scheme With Fault Tolerance for Smart Grids. IEEE Internet Things J. 2024, 11, 1990–2005. [Google Scholar] [CrossRef]
  36. Nelson, K.; Mohammadi, J.; Chen, Y.; Aved, A.; Ferris, D.; Blasch, E. Electric Vehicle Aggregation Review: Benefits and Vulnerabilities of Managing a Growing Fleet. In Proceedings of the 2024 IEEE Texas Power and Energy Conference (TPEC), College Station, TX, USA, 6–8 March 2024; pp. 1–6. [Google Scholar]
  37. Hall, J.; Jornet, J.M.; Thawdar, N.; Melodia, T.; Restuccia, F. Deep Learning at the Physical Layer for Adaptive Terahertz Communications. IEEE Trans. Terahertz Sci. Technol. 2023, 13, 102–112. [Google Scholar] [CrossRef]
  38. Chang, K.K.-C.; Liu, X.; Lin, C.-W.; Huang, C.; Zhu, Q. A Safety-Guaranteed Framework for Neural-Network-Based Planners in Connected Vehicles under Communication Disturbance. In Proceedings of the 2023 Design, Automation & Test in Europe Conference & Exhibition (DATE), Antwerp, Belgium, 17–19 April 2023; pp. 1–6. [Google Scholar]
  39. Lu, Y.H.; Hsiao, S.H.-Y.; Li, C.-Y.; Hsieh, Y.-C.; Chou, P.-Y.; Li, Y.-Y. Insecurity of Operational IMS Call Systems: Vulnerabilities, Attacks, and Countermeasures. IEEE/ACM Trans. Netw. 2022, 31, 800–815. [Google Scholar] [CrossRef]
  40. Pan, J.; Ye, N.; Yu, H.; Hong, T.; Al-Rubaye, S.; Mumtaz, S. AI-Driven Blind Signature Classification for IoT Connectivity: A Deep Learning Approach. IEEE Trans. Wirel. Commun. 2022, 21, 6033–6047. [Google Scholar] [CrossRef]
  41. Abdo, A.; Wu, G.; Zhu, Q.; Abu-Ghazaleh, N. CVGuard: Mitigating Application Attacks on Connected Vehicles. In Proceedings of the 2022 IEEE Intelligent Vehicles Symposium (IV), Aachen, Germany, 4–9 June 2022; pp. 623–630. [Google Scholar]
  42. Li, T.; Sahu, A.K.; Talwalkar, A.; Smith, V. Federated Learning: Challenges, Methods, and Future Directions. IEEE Signal Process. Mag. 2020, 37, 50–60. [Google Scholar] [CrossRef]
  43. Maftei, A.A.; Petrariu, A.I.; Popa, V.; Lavric, A. A Blockchain Framework for Scalable, High-Density IoT Networks of the Future. Sensors 2025, 25, 2886. [Google Scholar] [CrossRef]
  44. ISO/SAE 21434; Road Vehicles—Cybersecurity Engineering. ISO: Geneva, Switzerland, 2021.
Figure 1. General structure of blockchain.
Figure 1. General structure of blockchain.
Symmetry 17 01168 g001
Figure 2. Comparison between data flow in traditional IoT and IoT with blockchain.
Figure 2. Comparison between data flow in traditional IoT and IoT with blockchain.
Symmetry 17 01168 g002
Figure 3. Federated learning structure of IoVs.
Figure 3. Federated learning structure of IoVs.
Symmetry 17 01168 g003
Figure 4. The Vehicle–Road–Cloud integrated architecture with blockchain and FL in 6G.
Figure 4. The Vehicle–Road–Cloud integrated architecture with blockchain and FL in 6G.
Symmetry 17 01168 g004
Figure 5. Execution Workflow of CPRE-IoV in IoV Scenarios.
Figure 5. Execution Workflow of CPRE-IoV in IoV Scenarios.
Symmetry 17 01168 g005
Figure 6. Efficiency Analysis: Encryption Time and Model Update Latency vs. Number of Vehicles.
Figure 6. Efficiency Analysis: Encryption Time and Model Update Latency vs. Number of Vehicles.
Symmetry 17 01168 g006
Figure 7. Security analysis: verification success rate vs. percentage of malicious nodes.
Figure 7. Security analysis: verification success rate vs. percentage of malicious nodes.
Symmetry 17 01168 g007
Figure 8. Scalability analysis: transmission success rate and proxy selection time vs. vehicle density.
Figure 8. Scalability analysis: transmission success rate and proxy selection time vs. vehicle density.
Symmetry 17 01168 g008
Figure 9. Comparative performance analysis of CPRE-IoV against traditional FL.
Figure 9. Comparative performance analysis of CPRE-IoV against traditional FL.
Symmetry 17 01168 g009
Figure 10. Impact of malicious nodes on global model loss (MSE).
Figure 10. Impact of malicious nodes on global model loss (MSE).
Symmetry 17 01168 g010
Figure 11. Failure Rate Comparison under Varying Malicious Node Proportions.
Figure 11. Failure Rate Comparison under Varying Malicious Node Proportions.
Symmetry 17 01168 g011
Table 1. Comparison of key related works in IoV security.
Table 1. Comparison of key related works in IoV security.
ReferenceMethodologyPrimary FocusLimitations
Lu et al. [12]Blockchain + FLSecure data sharing for Industrial IoTGeneral framework, not optimized for high-mobility IoV constraints.
Boualouache et al. [13]Blockchain + Open-Set FLZero-day attack detectionFocuses on unknown attacks; may have overhead from open-set recognition.
Ullah et al. [14]Blockchain + FLResilience against poisoning attacksPrimarily targets poisoning attacks; latency in dense networks not fully addressed.
Ahmed et al. [15]Blockchain + Federated Q-LearningSecure VANETsSpecific to reinforcement learning; not a general supervised learning framework.
Javed et al. [11]Survey PaperSurvey of Blockchain and FL for IoVIdentifies challenges but does not propose a specific, validated solution.
This WorkPartitioned Blockchain-FL, and Proxy EncryptionHolistic security with low latency for high-mobility IoVAddresses latency and mobility via partitioned chain and CPRE-IoV algorithm.
Table 2. Comparison of Key Related Works in IoV Security.
Table 2. Comparison of Key Related Works in IoV Security.
ReferenceMethodologyPrimary FocusLimitations
Mumtaz et al. [16]Blockchain-based frameworkData integrity and secure transactionsHigh latency; does not address privacy in ML models.
Al-Rubaye et al. [17]Call Admission Control in 5GNetwork resource managementFocuses on network layer; does not protect against application-level attacks.
D’Oro et al. [21]Coordinated Network SlicingIsolation of network trafficComplex to manage; primarily a network-level defense.
Shen et al. [28]Traceable authentication for V2GPrivacy in energy tradingSpecific to V2G use case; not a general IoV security framework.
Abdo et al. [41]AI-based attack mitigationDetection of application-level attacksOften centralized; creates a single point of failure.
Li et al. [42]General overview of Federated LearningPrivacy-preserving MLDoes not secure the FL process itself from malicious aggregators or nodes.
This WorkIntegrated Partitioned Blockchain, FL, and Proxy Re-EncryptionHolistic security (integrity, privacy, availability) with malicious node detectionAddresses limitations via a balanced, decentralized approach.
Table 3. Configuration parameters for the integrated system test environment.
Table 3. Configuration parameters for the integrated system test environment.
ParameterValue
Simulation ToolsOMNeT++ (Network), SUMO (Mobility)
Simulation Area8 km × 8 km
Number of Mobile Nodes30 to 1000 vehicles
Vehicle Speed30 km/h to 100 km/h (random)
Communication Model5G (Latency: 10–20 ms, Bandwidth: 100 Mbps)
Federated Learning
ML ModelRandom Forest
Number of Epochs50
AggregatorEdge Server
Blockchain
Consensus MechanismProof-of-Trust (PoT) variant with Practical Byzantine Fault Tolerance (PBFT)
Hashing AlgorithmSHA-256
Smart Contract for DetectionRandom Forest Classifier
Attack Simulation
Malicious Node Percentage10% to 50%
Data Poisoning AttackGPS altered by ±10m; Speed by ±15 km/h
Model ManipulationIncrease prediction error by 20%
Table 4. Quantitative Comparison with State-of-the-Art (SecBFL-IoV).
Table 4. Quantitative Comparison with State-of-the-Art (SecBFL-IoV).
Performance MetricSecBFL-IoV [14]Our Proposed CPRE-IoV
Poisoning Attack Detection Accuracy95.2%97.6%
Average Model Update Latency480 ms215 ms
Communication Overhead per Update512 KB385 KB
Success Rate (High Mobility)85%94%
Disclaimer/Publisher’s Note: The statements, opinions and data contained in all publications are solely those of the individual author(s) and contributor(s) and not of MDPI and/or the editor(s). MDPI and/or the editor(s) disclaim responsibility for any injury to people or property resulting from any ideas, methods, instructions or products referred to in the content.

Share and Cite

MDPI and ACS Style

He, Z.; Xu, R.; Wang, B.; Meng, Q.; Tang, Q.; Shen, L.; Tian, Z.; Duan, J. Integrated Blockchain and Federated Learning for Robust Security in Internet of Vehicles Networks. Symmetry 2025, 17, 1168. https://doi.org/10.3390/sym17071168

AMA Style

He Z, Xu R, Wang B, Meng Q, Tang Q, Shen L, Tian Z, Duan J. Integrated Blockchain and Federated Learning for Robust Security in Internet of Vehicles Networks. Symmetry. 2025; 17(7):1168. https://doi.org/10.3390/sym17071168

Chicago/Turabian Style

He, Zhikai, Rui Xu, Binyu Wang, Qisong Meng, Qiang Tang, Li Shen, Zhen Tian, and Jianyu Duan. 2025. "Integrated Blockchain and Federated Learning for Robust Security in Internet of Vehicles Networks" Symmetry 17, no. 7: 1168. https://doi.org/10.3390/sym17071168

APA Style

He, Z., Xu, R., Wang, B., Meng, Q., Tang, Q., Shen, L., Tian, Z., & Duan, J. (2025). Integrated Blockchain and Federated Learning for Robust Security in Internet of Vehicles Networks. Symmetry, 17(7), 1168. https://doi.org/10.3390/sym17071168

Note that from the first issue of 2016, this journal uses article numbers instead of page numbers. See further details here.

Article Metrics

Back to TopTop