Sign in to use this feature.

Years

Between: -

Subjects

remove_circle_outline
remove_circle_outline
remove_circle_outline
remove_circle_outline
remove_circle_outline
remove_circle_outline

Journals

Article Types

Countries / Regions

Search Results (16)

Search Parameters:
Keywords = IDA-PBC

Order results
Result details
Results per page
Select all
Export citation of selected articles as:
29 pages, 2052 KB  
Article
Comparison of Alternative Port-Hamiltonian Dynamics Extensions to the Thermodynamic Domain Toward IDA-PBC-Like Control: Application to a Heat Transfer Model
by Oleksiy Kuznyetsov
Dynamics 2025, 5(4), 42; https://doi.org/10.3390/dynamics5040042 - 1 Oct 2025
Viewed by 551
Abstract
The dynamics of port-Hamiltonian systems is based on energy balance principles (the first law of thermodynamics) embedded in the structure of the model. However, when dealing with thermodynamic subsystems, the second law (entropy production) should also be explicitly taken into account. Several frameworks [...] Read more.
The dynamics of port-Hamiltonian systems is based on energy balance principles (the first law of thermodynamics) embedded in the structure of the model. However, when dealing with thermodynamic subsystems, the second law (entropy production) should also be explicitly taken into account. Several frameworks were developed as extensions to the thermodynamic domain of port-Hamiltonian systems. In our work, we study three of them, namely irreversible port-Hamiltonian systems, entropy-based generalized Hamiltonian systems, and entropy-production-metric-based port-Hamiltonian systems, which represent alternative approaches of selecting the state variables, the storage function, simplicity of physical interpretation, etc. On the example of a simplified lumped-parameter model of a heat exchanger, we study the frameworks in terms of their implementability for an IDA-PBC-like control and the simplicity of using these frameworks for practitioners already familiar with the port-Hamiltonian systems. The comparative study demonstrated the possibility of using each of these approaches to derive IDA-PBC-like thermodynamically consistent control and provided insight into the applicability of each framework for the modeling and control of multiphysics systems with thermodynamic subsystems. Full article
Show Figures

Graphical abstract

15 pages, 2676 KB  
Article
Structural Decomposition of the Passivity-Based Control System of Wind–Solar Power Generating and Hybrid Battery-Supercapacitor Energy Storage Complex
by Ihor Shchur, Marek Lis and Rostyslav-Ivan Kuzyk
Dynamics 2024, 4(4), 830-844; https://doi.org/10.3390/dynamics4040042 - 6 Nov 2024
Viewed by 1258
Abstract
Wind–solar power generating and hybrid battery-supercapacitor energy storage complex is used for autonomous power supply of consumers in remote areas. This work uses passivity-based control (PBC) for this complex in accordance with the accepted energy management strategy (EMS). Structural and parametric synthesis of [...] Read more.
Wind–solar power generating and hybrid battery-supercapacitor energy storage complex is used for autonomous power supply of consumers in remote areas. This work uses passivity-based control (PBC) for this complex in accordance with the accepted energy management strategy (EMS). Structural and parametric synthesis of the overall PBC system was carried out, which was accompanied by a significant amount of research. In order to simplify this synthesis, a structural decomposition of the overall dynamic system of the object presented in the form of a port-Hamiltonian system, which was described by a system of differential equations of the seventh order, into three subsystems was applied. These subsystems are a wind turbine, a PV plant, and a hybrid battery-supercapacitor system. For each of the subsystems, it is quite simple to synthesize the control influence formers according to the interconnections and damping assignment (IDA) method of PBC, which locally performs the tasks set by the EMS. The results obtained by computer simulation of the overall and decomposed systems demonstrate the effectiveness of this approach in simplifying synthesis and debugging procedures of complex multi-physical systems. Full article
Show Figures

Figure 1

17 pages, 631 KB  
Article
Trajectory Tracking via Interconnection and Damping Assignment Passivity-Based Control for a Permanent Magnet Synchronous Motor
by Daniel Sting Martinez-Padron, San Jose de la Rosa-Mendoza, Ricardo Alvarez-Salas, Gerardo Espinosa-Perez and Mario Arturo Gonzalez-Garcia
Appl. Sci. 2024, 14(17), 7977; https://doi.org/10.3390/app14177977 - 6 Sep 2024
Cited by 2 | Viewed by 1277
Abstract
This paper presents a controller design to track speed, position, and torque trajectories for a permanent magnet synchronous motor (PMSM). This scheme is based on the interconnection and damping assignment passivity-based control (IDA-PBC) technique recently proposed to solve the tracking control problem for [...] Read more.
This paper presents a controller design to track speed, position, and torque trajectories for a permanent magnet synchronous motor (PMSM). This scheme is based on the interconnection and damping assignment passivity-based control (IDA-PBC) technique recently proposed to solve the tracking control problem for mechanical underactuated systems. The proposed approach regulates the dynamics of the tracking system error at the origin, assuming the realizable trajectories preserve the motor’s port-controlled Hamiltonian structure. The importance of the contribution is two-fold: First, from the theoretical perspective, the trajectory tracking control problem is solved with proved stability properties, a topic that has not been deeply studied with the IDA-PBC methodology design. Second, from the practical point of view, the proposed control scheme exhibits a simple structure for practical implementation and strong robustness properties with respect to parametric uncertainties. The contribution is evaluated under both numerical and experimental environments considering a speed profile that demands the achievement of high dynamic performances. Full article
(This article belongs to the Section Electrical, Electronics and Communications Engineering)
Show Figures

Figure 1

18 pages, 706 KB  
Article
An Adaptive Controller Based on Interconnection and Damping Assignment Passivity-Based Control for Underactuated Mechanical Systems: Application to the Ball and Beam System
by Xiaoping Liu, Huaizhi Shao, Cungen Liu, Ning Li, Xinpeng Guo, Fei Zheng and Lijun Sun
Actuators 2023, 12(11), 408; https://doi.org/10.3390/act12110408 - 31 Oct 2023
Cited by 2 | Viewed by 2629
Abstract
In this paper, an adaptive technology and the interconnection and damping assignment passivity-based control method are combined to solve the stabilization problem for underactuated mechanical systems with uncertainties (including matched and unmatched). These uncertainties include unknown friction coefficients and unknown terms in kinetic [...] Read more.
In this paper, an adaptive technology and the interconnection and damping assignment passivity-based control method are combined to solve the stabilization problem for underactuated mechanical systems with uncertainties (including matched and unmatched). These uncertainties include unknown friction coefficients and unknown terms in kinetic energy and potential energy. A novel adaptive interconnection and damping assignment passivity-based control scheme is proposed and an adaptive stabilization controller is designed to make the closed-loop system locally stable. Verification is conducted on the ball and beam system. The locally asymptotic stability is demonstrated using the LaSalle’s invariance principle and approximate linearization. The effectiveness of the proposed control law is verified through numerical simulations. Full article
(This article belongs to the Section Control Systems)
Show Figures

Figure 1

23 pages, 2084 KB  
Article
Cooperative Passivity-Based Control of Nonlinear Mechanical Systems
by Oscar de Groot, Laurens Valk and Tamas Keviczky
Robotics 2023, 12(5), 142; https://doi.org/10.3390/robotics12050142 - 9 Oct 2023
Cited by 3 | Viewed by 2720
Abstract
In this work, we propose two cooperative passivity-based control methods for networks of mechanical systems. By cooperatively synchronizing the end-effector coordinates of the individual agents, we achieve cooperation between systems of different types. The underlying passivity property of our control approaches ensures that [...] Read more.
In this work, we propose two cooperative passivity-based control methods for networks of mechanical systems. By cooperatively synchronizing the end-effector coordinates of the individual agents, we achieve cooperation between systems of different types. The underlying passivity property of our control approaches ensures that cooperation is stable and robust. Neither of the two approaches rely on the modeling information of neighbors, locally, which simplifies the interconnection of applicable systems and makes the approaches modular in their use. Our first approach is a generalized cooperative Interconnection-and-Damping Assignment passivity-based control (IDA-PBC) scheme for networks of fully actuated and underactuated systems. Our approach leverages the definition of end-effector coordinates in existing single-agent IDA-PBC solutions for underactuated systems to satisfy the matching conditions, independently of the cooperative control input. Accordingly, our approach integrates a large set of existing single-agent solutions and facilitates cooperative control between these and fully actuated systems. Our second approach proposes agent outputs composed of their end-effector coordinates and velocities to guarantee cooperative stability for networks of fully actuated systems in the presence of communication delays. We validate both approaches in simulation and experiments. Full article
(This article belongs to the Section Sensors and Control in Robotics)
Show Figures

Figure 1

17 pages, 2389 KB  
Article
Comparative Study of Passivity, Model Predictive, and Passivity-Based Model Predictive Controllers in Uninterruptible Power Supply Applications
by Shafquat Hussain, Abualkasim Bakeer, Ihab S. Mohamed, Mario Marchesoni and Luis Vaccaro
Energies 2023, 16(15), 5594; https://doi.org/10.3390/en16155594 - 25 Jul 2023
Cited by 1 | Viewed by 1791
Abstract
Voltage source converters are widely used in distributed generation (DG) and uninterruptible power supply (UPS) applications. This paper aims to find the controller that performs best when model changes occur in the system, showing insensitivity to parameter variations. A comparison of the finite [...] Read more.
Voltage source converters are widely used in distributed generation (DG) and uninterruptible power supply (UPS) applications. This paper aims to find the controller that performs best when model changes occur in the system, showing insensitivity to parameter variations. A comparison of the finite control set model predictive controller (FCS-MPC), interconnection and damping assignment passivity-based controller (IDA-PBC), and passivity-based model predictive control (PB-MPC) reveals that the PB-MPC provides high resistance to these unexpected LC filter changes in the converter. The second aim of the paper is to reduce the total harmonic distortion (THD) of the output voltage of the three-phase voltage source inverter (VSI). A high total harmonic distortion (THD) value exists in the voltage waveform of the three-phase voltage source inverter (VSI), feeding a non-linear load. A MATLAB simulation was performed using three control techniques for a three-phase VSI feeding: linear load, unbalanced load, and non-linear load. The PB-MPC performs better than the FCS-MPC and IDA-PBC in terms of having a low THD value in the output voltage of the converter under all types of applied loads, improving the THD by up to 30%, and having low variation in THD with mismatched filter parameters, as shown in the bar charts in the results section. Overall, the PB-MPC controller improves the robustness under parameter mismatch and reduces the computational burden. PB-MPC reduces the THD value because it integrates power shaping and the injection of damping resistances into the VSI. Full article
(This article belongs to the Special Issue Advanced Control in Power Electronics, Drives and Generators)
Show Figures

Figure 1

19 pages, 1187 KB  
Article
Control of Photovoltaic Plants Interconnected via VSC to Improve Power Oscillations in a Power System
by Ángeles Medina-Quesada, Walter Gil-González, Oscar Danilo Montoya, Alexander Molina-Cabrera and Jesus C. Hernández
Electronics 2022, 11(11), 1744; https://doi.org/10.3390/electronics11111744 - 31 May 2022
Cited by 2 | Viewed by 2023
Abstract
This paper presents an integrated methodology applied to photovoltaic (PV) plants for improving the dynamic performance of electric power systems. The proposed methodology is based on primary frequency control, which adds an ancillary signal to the voltage reference of the DC-link for the [...] Read more.
This paper presents an integrated methodology applied to photovoltaic (PV) plants for improving the dynamic performance of electric power systems. The proposed methodology is based on primary frequency control, which adds an ancillary signal to the voltage reference of the DC-link for the voltage source converter (VSC) in order to reduce power oscillations. This ancillary signal is computed by relating the energy stored in the VSC of the DC-link and the energy stored in the synchronous machine’s shaft. In addition, the methodology considers the operating limits of the VSC, which prioritizes active power over reactive power. Furthermore, the VSC control is assessed with interconnection and damping assignment passivity-based control (IDA-PBC), as well as compared to conventional PI control. IDA-PBC is employed to design a Lyapunov asymptotically stable controller using the Hamiltonian structural properties of the open-loop model of the VSC. A 12-bus test system that considers PV plants is employed to compare the proposed IDA-PBC control with a classical proportional-integral control approach. The impact of the proposed methodology is analyzed in four scenarios with different PV penetration levels (10%, 30%, 50%, and 80%) and four large disturbances in the test power system. In addition, a decrease in the inertia of the synchronous machines from 100 to 25% is analyzed. The time-domain simulation results show that the frequency oscillations are reduced by 16.8%, 38.43%, 37.53%, and 76.94% in comparison with the case where the proposed methodology was not implemented. The simulations were conducted using the SimPowerSystems toolbox of the MATLAB/Simulink software. Full article
Show Figures

Figure 1

16 pages, 5724 KB  
Article
An IDA-PBC Design with Integral Action for Output Voltage Regulation in an Interleaved Boost Converter for DC Microgrid Applications
by Oscar Danilo Montoya, Federico Martin Serra, Walter Gil-González, Eduardo Maximiliano Asensio and Jonathan Emmanuel Bosso
Actuators 2022, 11(1), 5; https://doi.org/10.3390/act11010005 - 29 Dec 2021
Cited by 13 | Viewed by 3236
Abstract
This paper describes the output voltage regulation control for an interleaved connected to a direct current (DC) microgrid considering bidirectional current flows. The proposed controller is based on an interconnection and damping passivity-based control (IDA-PBC) approach with integral action that regulates the output [...] Read more.
This paper describes the output voltage regulation control for an interleaved connected to a direct current (DC) microgrid considering bidirectional current flows. The proposed controller is based on an interconnection and damping passivity-based control (IDA-PBC) approach with integral action that regulates the output voltage profile at its assigned reference. This approach designs a control law via nonlinear feedback that ensures asymptotic stability in a closed-loop in the sense of Lyapunov. Moreover, the IDA-PBC design adds an integral gain to eliminate the possible tracking errors in steady-state conditions. Numerical simulations in the Piecewise Linear Electrical Circuit Simulation (PLECS) package for MATLAB/Simulink demonstrate that the effectiveness of the proposed controller is assessed and compared with a conventional proportional-integral controller under different scenarios considering strong variations in the current injected/absorbed by the DC microgrid. Full article
(This article belongs to the Special Issue New Control Schemes for Actuators)
Show Figures

Figure 1

25 pages, 5553 KB  
Article
Passivity-Based Control of Water Pumping System Using BLDC Motor Drive Fed by Solar PV Array with Battery Storage System
by Ihor Shchur, Marek Lis and Yurii Biletskyi
Energies 2021, 14(23), 8184; https://doi.org/10.3390/en14238184 - 6 Dec 2021
Cited by 16 | Viewed by 3063
Abstract
In remote locations, it is advisable to combine solar water pumping with electric energy storage and power supply for other forms of consumption. In such complex systems, individual subsystems feature their own local control, and the general automatic control of the system in [...] Read more.
In remote locations, it is advisable to combine solar water pumping with electric energy storage and power supply for other forms of consumption. In such complex systems, individual subsystems feature their own local control, and the general automatic control of the system in different modes of its operation is carried out in accordance with an energy management strategy (EMS). In this paper, the functions of local and general control of the solar water pumping system with battery storage and external power supply are combined in the system of passivity-based control (PBC). The EMS is constructed in such a way that for all modes, only two PBC systems are developed, which are switched depending on the battery’s state of charge and the current levels of the two main disturbances—solar irradiation and electrical consumption. For each system, two control influence former (CIF) structures were synthesized and their operation was investigated by computer simulation. Despite the simplicity of CIFs’ implementation, due to the introduced interconnection and damping coefficients, such control allows the provision of the required voltage regulation with a static error up to 1%, sufficient quality of transients during disturbances and switching of the system structure, as well as system asymptotic stability. Full article
(This article belongs to the Special Issue Improvements of the Electricity Power System)
Show Figures

Graphical abstract

18 pages, 1858 KB  
Article
Port-Hamiltonian Modeling and IDA-PBC Control of an IPMC-Actuated Flexible Beam
by Weijun Zhou, Yongxin Wu, Haiqiang Hu, Yanjun Li and Yu Wang
Actuators 2021, 10(9), 236; https://doi.org/10.3390/act10090236 - 14 Sep 2021
Cited by 12 | Viewed by 4082
Abstract
In this paper, the infinite-dimensional port-Hamiltonian modelling and control problem of a flexible beam actuated using ionic polymer metal composite (IPMC) actuators is investigated. The port-Hamiltonian framework is used to propose an interconnected control model of the mechanical flexible beam and the IPMC [...] Read more.
In this paper, the infinite-dimensional port-Hamiltonian modelling and control problem of a flexible beam actuated using ionic polymer metal composite (IPMC) actuators is investigated. The port-Hamiltonian framework is used to propose an interconnected control model of the mechanical flexible beam and the IPMC actuator. The mechanical flexible dynamic is modelled as a Timoshenko beam, and the electric dynamics of the IPMCs are considered in the model. Furthermore, a passivity-based control-strategy is used to obtain the desired configuration of the proposed interconnected system, and the closed-loop stability is analyzed using the early lumped approach. Lastly, numerical simulations and experimental results are presented to validate the proposed model and the effectiveness of the proposed control law. Full article
(This article belongs to the Special Issue Actuators in Robotic Control)
Show Figures

Figure 1

25 pages, 19242 KB  
Article
Adaptive Control of Fuel Cell Converter Based on a New Hamiltonian Energy Function for Stabilizing the DC Bus in DC Microgrid Applications
by Phatiphat Thounthong, Pongsiri Mungporn, Serge Pierfederici, Damien Guilbert and Nicu Bizon
Mathematics 2020, 8(11), 2035; https://doi.org/10.3390/math8112035 - 15 Nov 2020
Cited by 22 | Viewed by 3752
Abstract
DC microgrid applications include electric vehicle systems, shipboard power systems, and More Electric Aircraft (MEA), which produce power at a low voltage level. Rapid developments in hydrogen fuel cell (FC) energy have extended the applications of multi-phase parallel interleaved step-up converters in stabilizing [...] Read more.
DC microgrid applications include electric vehicle systems, shipboard power systems, and More Electric Aircraft (MEA), which produce power at a low voltage level. Rapid developments in hydrogen fuel cell (FC) energy have extended the applications of multi-phase parallel interleaved step-up converters in stabilizing DC bus voltage. The cascade architecture of power converters in DC microgrids may lead to large oscillation and even risks of instability given that the load converters considered as loads feature constant power load (CPL) characteristics. In this article, the output DC bus voltage stabilization and the current sharing of a multi-phase parallel interleaved FC boost converter is presented. The extended Port-Hamiltonian (pH) form has been proposed with the robust controller by adding an integrator action based on the Lyapunov−Energy function, named “Adaptive Hamiltonian PI controller”. The stability and robustness of the designed controller have been estimated by using Mathematica and Matlab/Simulink environments and successfully authenticated by performing experimental results in the laboratory. The results have been obtained using a 2.5 kW prototype FC converter (by two-phase parallel interleaved boost converters) with a dSPACE MicroLabBox platform. The FC main source system is based on a fuel reformer engine that transforms fuel methanol and water into hydrogen gas H2 to a polymer electrolyte membrane FC stack (50 V, 2.5 kW). Full article
(This article belongs to the Special Issue Numerical Simulation and Control in Energy Systems)
Show Figures

Figure 1

23 pages, 1302 KB  
Article
Particle Swarm Optimization of a Passivity-Based Controller for Dynamic Positioning of Ships
by Mutaz Ryalat, Hazem Salim Damiri and Hisham ElMoaqet
Appl. Sci. 2020, 10(20), 7314; https://doi.org/10.3390/app10207314 - 19 Oct 2020
Cited by 7 | Viewed by 3288
Abstract
Dynamic positioning (DP) control system is an essential module used in offshore ships for accurate maneuvering and maintaining of ship’s position and heading (fixed location or pre-determined track) by means of thruster forces being generated by controllers. In this paper, an interconnection and [...] Read more.
Dynamic positioning (DP) control system is an essential module used in offshore ships for accurate maneuvering and maintaining of ship’s position and heading (fixed location or pre-determined track) by means of thruster forces being generated by controllers. In this paper, an interconnection and damping assignment-passivity based control (IDA-PBC) controller is developed for DP of surface ships. The design of the IDA-PBC controller involves a dynamic extension utilizing the coordinate transformation which adds damping to some coordinates to ensure asymptotic stability and adds integral action to enhance the robustness of the system against disturbances. The particle swarm optimization (PSO) technique is one of the the population-based optimization methods that has gained the attention of the control research communities and used to solve various engineering problems. The PSO algorithm is proposed for the optimization of the IDA-PBC controller. Numerical simulations results with comparisons illustrate the effectiveness of the new PSO-tuned dynamic IDA-PBC controller. Full article
(This article belongs to the Special Issue Nonlinear Control: Theory and Applications)
Show Figures

Figure 1

23 pages, 4511 KB  
Article
An Improved Passivity-based Control of Electrostatic MEMS Device
by Mutaz Ryalat, Hazem Salim Damiri, Hisham ElMoaqet and Imad AlRabadi
Micromachines 2020, 11(7), 688; https://doi.org/10.3390/mi11070688 - 16 Jul 2020
Cited by 8 | Viewed by 3755
Abstract
It is commonly known that the performance of an electrostatic microelectromechanical system (MEMS) device is limited to a specific range of the full gap distance due to the inherited “pull-in instability” phenomenon. In this work, we design a controller to extend the stabilization [...] Read more.
It is commonly known that the performance of an electrostatic microelectromechanical system (MEMS) device is limited to a specific range of the full gap distance due to the inherited “pull-in instability” phenomenon. In this work, we design a controller to extend the stabilization range of an electrostatic MEMS device and to enhance its performance. The interconnection and damping assignment-passivity based control (IDA-PBC) method is used and the controller design involves coordinate transformations and a coupling between the mechanical and electrical subsystems of the device. The method deploys a design of a speed observer to estimate the speed, which cannot be directly measured by sensors. The effectiveness of the dynamical controller is verified via numerical simulations; it is evident by the extended travel range of the parallel plates as well as the improved performance of the plates, even with a naturally lighter damping ratio. Full article
(This article belongs to the Section E:Engineering and Technology)
Show Figures

Figure 1

15 pages, 1653 KB  
Article
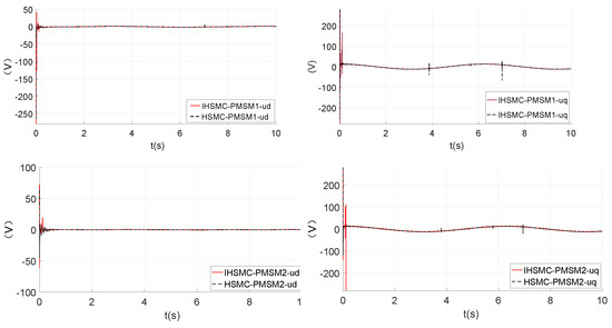
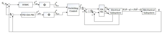
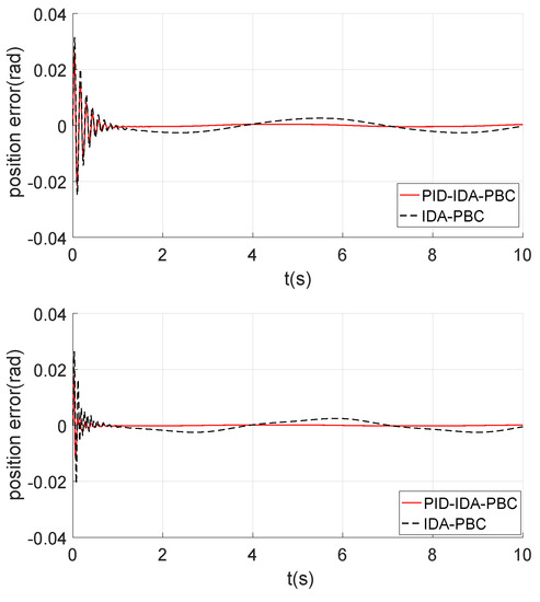
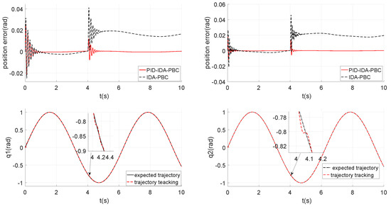
Trajectory Tracking of Flexible-Joint Robots Actuated by PMSM via a Novel Smooth Switching Control Strategy
by Yue Wang, Haisheng Yu, Jinpeng Yu, Herong Wu and Xudong Liu
Appl. Sci. 2019, 9(20), 4382; https://doi.org/10.3390/app9204382 - 17 Oct 2019
Cited by 13 | Viewed by 2940
Abstract
This paper presents the trajectory tracking control of a flexible-joint manipulator driven by permanent magnet synchronous motor (PMSM). Combining the PMSM electrical equation and mechanical equation of robotic manipulators, a novel smooth switching control scheme is proposed. Firstly, the position loop controller of [...] Read more.
This paper presents the trajectory tracking control of a flexible-joint manipulator driven by permanent magnet synchronous motor (PMSM). Combining the PMSM electrical equation and mechanical equation of robotic manipulators, a novel smooth switching control scheme is proposed. Firstly, the position loop controller of the system is designed, with an improved hierarchical sliding mode control (IHSMC) algorithm proposed to further the response speed of the system, additionally, a robust interconnection and damping assignment passivity-based controller (IDA-PBC) is designed to improve the steady state performance of the system. Then, the IDA-PBC control strategy is leveraged to design the current loop controller of the system, on which basis a hybrid controller with smooth switching is designed. Furthermore, Gaussian function is applied as the smooth switching function of the hybrid controller to promote the switching performance. As a result, the hybrid controller has both good dynamic and steady performance. The simulation results verify the effectiveness of the algorithms. Full article
(This article belongs to the Section Electrical, Electronics and Communications Engineering)
Show Figures

Figure 1

22 pages, 3163 KB  
Article
Adaptive and Nonlinear Control Techniques Applied to SEPIC Converter in DC-DC, PFC, CCM and DCM Modes Using HIL Simulation
by Arthur H. R. Rosa, Thiago M. De Souza, Lenin M. F. Morais and Seleme I. Seleme
Energies 2018, 11(3), 602; https://doi.org/10.3390/en11030602 - 9 Mar 2018
Cited by 26 | Viewed by 7454
Abstract
In this paper, we propose adaptive nonlinear controllers for the Single-Ended Primary Inductance Converter (SEPIC). We also consider four distinct situations: AC-DC, DC-DC, Continuous Conduction Mode (CCM) and Discontinuous Conduction Mode (DCM). A comparative analysis between classic linear and nonlinear approaches to regulate [...] Read more.
In this paper, we propose adaptive nonlinear controllers for the Single-Ended Primary Inductance Converter (SEPIC). We also consider four distinct situations: AC-DC, DC-DC, Continuous Conduction Mode (CCM) and Discontinuous Conduction Mode (DCM). A comparative analysis between classic linear and nonlinear approaches to regulate the control loop is made. Three adaptive nonlinear control laws are designed: Feedback Linearization Control (FLC), Passivity-Based Control (PBC) and Interconnection and Damping Assignment Passivity-Based Control (IDAPBC). In order to compare the performance of these control techniques, numerical simulations were made in Software and Hardware in the Loop (HIL) for nominal conditions and operation disturbances. We recommend adaptive controllers for the two different situations: Adaptive Passivity-Based Feedback Linearization Control (APBFLC) for the PFC (Power Factor Correction) AC-DC system and IDAPBC-BB (IDAPBC Based on Boost converter) for the regulator DC-DC system. Full article
Show Figures

Figure 1

Back to TopTop