Sign in to use this feature.

Years

Between: -

Subjects

remove_circle_outline
remove_circle_outline
remove_circle_outline
remove_circle_outline
remove_circle_outline
remove_circle_outline
remove_circle_outline

Journals

Article Types

Countries / Regions

Search Results (40)

Search Parameters:
Keywords = Hammett constant

Order results
Result details
Results per page
Select all
Export citation of selected articles as:
24 pages, 3497 KB  
Article
Substituent Effect in Histamine and Its Impact on Interactions with the G Protein-Coupled Human Receptor H1 Modelled by Quantum-Chemical Methods
by Anna Jezuita, Małgorzata Makowska-Janusik, Krzysztof Ejsmont and Wojciech Marczak
Molecules 2025, 30(18), 3736; https://doi.org/10.3390/molecules30183736 - 15 Sep 2025
Viewed by 655
Abstract
Neutral and protonated histamine tautomers, mono-substituted with twelve functional groups, were studied theoretically as isolated molecules and complexes with the H1 receptor. Geometry and energy of tautomers were optimized using the DFT method with the B3LYP functional and the aug-cc-pVTZ basis set. [...] Read more.
Neutral and protonated histamine tautomers, mono-substituted with twelve functional groups, were studied theoretically as isolated molecules and complexes with the H1 receptor. Geometry and energy of tautomers were optimized using the DFT method with the B3LYP functional and the aug-cc-pVTZ basis set. The approach was based on the charge of the substituent active region (cSAR) parameters and the Harmonic Oscillator Model of Aromaticity (HOMA) indices. The cSAR parameters characterized the electron density better than the conventional Hammett’s constants σ. In general, the cSAR parameters correlate with other characteristics of the charge distribution, particularly those for substituents at the carbon atom in the ring adjacent to the side chain. Substituents at this atom affected the aromaticity less strongly than those located between two nitrogen atoms, which confirmed recent reports. Our results suggest that the 3H tautomer isomerizes into the 1H one after binding to the H1 receptor. Moreover, the electron structure of the molecule hydrogen-bonded to the receptor may significantly depend on the electron donor-acceptor properties of the substituent. The strong electron-accepting substituents, e.g., NO2, favor the imidazole configuration of the ring in the bonded molecule, while the strong electron-donating ones, e.g., NH2, promote the imidazolium one. Full article
(This article belongs to the Section Computational and Theoretical Chemistry)
Show Figures

Graphical abstract

14 pages, 2707 KB  
Article
Understanding Bio-Orthogonal Strain-Driven Sydnone Cycloadditions: Data-Assisted Profiles and the Search for Linear Relationships
by Juan García de la Concepción, Pedro Cintas and Rafael Fernando Martínez
Molecules 2025, 30(13), 2770; https://doi.org/10.3390/molecules30132770 - 27 Jun 2025
Viewed by 691
Abstract
In the realm of click-type reactions and their application to bioorthogonal chemistry in living organisms, metal-free [3+2] cycloadditions involving mesoionic rings and strained cycloalkynes have gained increasing attention and potentiality in recent years. While there has been a significant accretion of experimental data, [...] Read more.
In the realm of click-type reactions and their application to bioorthogonal chemistry in living organisms, metal-free [3+2] cycloadditions involving mesoionic rings and strained cycloalkynes have gained increasing attention and potentiality in recent years. While there has been a significant accretion of experimental data, biological assays, and assessments of reaction mechanisms, some pieces of the tale are still missing. For instance, which structural and/or stereoelectronic effects are actually interlocked and which remain unplugged. With the advent of data-driven methods, including machine learning simulations, quantitative estimations of relevant observables and their correlations will explore better the chemical space of these transformations. Here we unveil a series of linear relationships, such as Hammett-type correlations, as well as deviations of linearity, using the case study of phenylsydnone (and its 4-aryl-substituted derivatives) with a highly reactive bicyclo[6.1.0]nonyne carbinol. Through accurate estimation of activation barriers and prediction of rate constants, our findings further increase the significance of integrating strain release and electronic effects in organic reactivity. Moreover, such results could pave the way to use mesoionics cycloadditions as probes for measuring the extent of delocalization-assisted strain release, which can be applied to related reactions involving dipoles and strained rings. Full article
Show Figures

Figure 1

15 pages, 1994 KB  
Article
Modeling of the General Trends of Reactivity and Regioselectivity in Cyclopentadiene–Nitroalkene Diels–Alder Reactions
by Adrianna Fałowska, Stanisław Grzybowski, Daniel Kapuściński, Karol Sambora and Agnieszka Łapczuk
Molecules 2025, 30(11), 2467; https://doi.org/10.3390/molecules30112467 - 4 Jun 2025
Cited by 5 | Viewed by 1916
Abstract
This study presents a theoretical investigation of the electronic properties of mono- and pentasubstituted cyclopentadiene analogs and variously substituted conjugated nitroalkenes bearing electron-donating and electron-withdrawing groups. Conceptual Density Functional Theory (CDFT) and Electron Localization Function (ELF) analyses were employed to characterize the global [...] Read more.
This study presents a theoretical investigation of the electronic properties of mono- and pentasubstituted cyclopentadiene analogs and variously substituted conjugated nitroalkenes bearing electron-donating and electron-withdrawing groups. Conceptual Density Functional Theory (CDFT) and Electron Localization Function (ELF) analyses were employed to characterize the global and local reactivity indices of the reactants. The obtained data provided insights into the nucleophilic and electrophilic nature of the investigated systems, allowing for the prediction of their reactivity patterns in Diels–Alder reactions. A reactivity model for conjugated alkenes toward cyclopentadienes was developed based on correlation analysis using Hammett substituent constants. This approach enabled the prediction of reaction polarity in (4+2) cycloaddition processes, providing insight into how the electronic effects of substituents influence the reaction course. These findings contribute to a deeper understanding of structure–reactivity relationships in Diels–Alder processes. Full article
(This article belongs to the Special Issue Cyclization Reactions in Organic Synthesis: Recent Developments)
Show Figures

Figure 1

18 pages, 4886 KB  
Article
Kinetics of Different Substituted Phenolic Compounds’ Aqueous OH Oxidation in Atmosphere
by Dandan Hu, Zixuan Wang, Eleonora Aruffo, Xuanli Dai, Zhuzi Zhao and Zhaolian Ye
Atmosphere 2025, 16(5), 567; https://doi.org/10.3390/atmos16050567 - 9 May 2025
Cited by 2 | Viewed by 2060
Abstract
Atmospheric aqueous-phase reactions have been recognized as an important source of secondary organic aerosols (SOAs). However, the unclear reaction kinetics and mechanics hinder the in-depth understanding of the SOA sources and formation processes. This study selected ten different substituted phenolic compounds (termed as [...] Read more.
Atmospheric aqueous-phase reactions have been recognized as an important source of secondary organic aerosols (SOAs). However, the unclear reaction kinetics and mechanics hinder the in-depth understanding of the SOA sources and formation processes. This study selected ten different substituted phenolic compounds (termed as PhCs) emitted from biomass burning as precursors, to investigate the kinetics using OH oxidation reactions under simulated sunlight. The factors influencing reaction rates were examined, and the contribution of reactive oxygen species (ROS) was evaluated through quenching and kinetic analysis experiments. The results showed that the pseudo-first-order rate constants (kobs) for the OH oxidation of phenolic compounds ranged from 1.03 × 10−4 to 7.85 × 10−4 s−1 under simulated sunlight irradiation with an initial H2O2 concentration of 3 mM. Precursors with electron-donating groups (-OH, -OCH3, -CH3, etc.) exhibited higher electrophilic radical reactivity due to the enhanced electron density of the benzene ring, leading to higher reaction rates than those with electron-withdrawing groups (-NO2, -CHO, -COOH). At pH 2, the second-order reaction rate (kPhCs, OH) was lower than at pH 5. However, the kobs did not show dependence on pH. The presence of O2 facilitated substituted phenols’ photodecay. Inorganic salts and transition metal ions exhibited varying effects on reaction rates. Specifically, NO3 and Cu2+ promoted kPhCs, OH, Cl significantly enhanced the reaction at pH 2, while SO42− inhibited the reaction. The kPhCs, OH were determined to be in the range of 109~1010 L mol−1 s−1 via the bimolecular rate method, and a modest relationship with their oxidation potential was found. Additionally, multiple substituents can suppress the reactivity of phenolic compounds toward •OH based on Hammett plots. Quenching experiments revealed that •OH played a dominant role in phenolic compound degradation (exceeding 65%). Electron paramagnetic resonance confirmed the generation of singlet oxygen (1O2) in the system, and probe-based quantification further explored the concentrations of •OH and 1O2 in the system. Based on reaction rates and concentrations, the atmospheric aqueous-phase lifetimes of phenolic compounds were estimated, providing valuable insights for expanding atmospheric kinetic databases and understanding the chemical transformation and persistence of phenolic substances in the atmosphere. Full article
(This article belongs to the Special Issue Coordinated Control of PM2.5 and O3 and Its Impacts in China)
Show Figures

Figure 1

21 pages, 4255 KB  
Article
Controlling Charge Generation in Organic Photovoltaic Ternary Blends: How Trace Ternary Additives Determine Mechanism
by Nathan A. Cooling, Krishna Feron, Timothy W. Jones, Warwick J. Belcher and Paul C. Dastoor
Electronics 2025, 14(8), 1655; https://doi.org/10.3390/electronics14081655 - 19 Apr 2025
Viewed by 531
Abstract
A series of modified tetraphenylporphyrins varying only in the electron-donating or electron-withdrawing character of the substituents in the para-phenyl position have been blended into the active layer of MEH-PPV:PCBM bulk heterojunction solar cells. Increasing the electron-withdrawing ability of the substituents, as quantified [...] Read more.
A series of modified tetraphenylporphyrins varying only in the electron-donating or electron-withdrawing character of the substituents in the para-phenyl position have been blended into the active layer of MEH-PPV:PCBM bulk heterojunction solar cells. Increasing the electron-withdrawing ability of the substituents, as quantified by the Hammett constant, systematically alters the device efficiency of ternary poly[2-methoxy-5-(2′-ethylhexyloxy)-1,4-phenylenevinylene]:porphyrin:[6,6]-phenylC61-butyric acid methyl ester (MEH-PPV:porphyrin:PCBM) bulk heterojunction organic solar cells through alteration of the HOMO/LUMO levels and, thereby, the open-circuit voltage of the cell. We show that the porphyrin concentrates at the MEH-PPV:PCBM interface in these blends and that the devices operate via a cascade mechanism when the highest occupied molecular orbital (HOMO) of the porphyrin is higher in energy that that of MEH-PPV, but via a parallel/alloy device mechanism, when the HOMO of the porphyrin is lower in energy than that of MEH-PPV. As such, this work highlights how the energetics of the ternary component can determine device performance by switching between charge generation models simply by altering the electron-withdrawing character of the porphyrin ternary additive. Full article
(This article belongs to the Special Issue Materials and Properties for Solar Cell Application)
Show Figures

Figure 1

19 pages, 4929 KB  
Article
Mapping Acid–Base Sites on Anatase Titania (100) and (101) Surfaces by Density Functional Theory: The Link Between Lewis Acidity and the Surface Ability to Flex
by Alexey V. Ignatchenko and Paige E. Denman
Surfaces 2024, 7(4), 1060-1078; https://doi.org/10.3390/surfaces7040070 - 19 Dec 2024
Cited by 1 | Viewed by 1393
Abstract
The acidity of anatase titania before and after KOH doping was probed by pyridine adsorption in a pulse microreactor and modeled by DFT optimization of the geometry of CO and pyridine adsorption on a periodic slab of (101) and (100) surfaces using a [...] Read more.
The acidity of anatase titania before and after KOH doping was probed by pyridine adsorption in a pulse microreactor and modeled by DFT optimization of the geometry of CO and pyridine adsorption on a periodic slab of (101) and (100) surfaces using a GGA/PBE functional and verified by an example of a single-point calculation of the optimized geometry using an HSE-06 hybrid functional. The anatase (101) surface was slightly more acidic compared to the (100) surface. Both experimental and computational methods show that the acidity of anatase surfaces decreased after KOH doping and increased after the dissociative adsorption of water. Higher acidity of Ti metal centers was indicated by the shortening of the Ti-N, Ti-C, and C-O bond lengths, increasing the IR frequency of CO and pyridine ring vibrations and energy of adsorption. The DFT calculated energy of pyridine adsorption was analyzed in terms of binding energy and the energy of lattice distortion. The latter was used to construct Hammett plots for the adsorption of 4-substituted pyridines with electron-donating and -withdrawing substituents. The Hammett rho constant was obtained and used to characterize the acidity of various metal centers of −1.51 vs. −1.46 on pristine (101) and (100) surfaces, which were lowered to −1.07 and −1.19 values on KOH-doped (101) and (100) surfaces, respectively. The mechanism of lowering surface acidity via KOH doping proceeds through the stabilization of the atomic structure of Lewis acid centers. When an alkaline metal cation binds to several lattice oxygen atoms, the surface structure becomes more rigid. The ability of Ti atoms to move toward the adsorbate is restricted. Consequently, the lattice distortion energy and binding energy are decreased. In contrast, higher flexibility of the outermost layer of Ti atoms as a result of electron density redistribution, for example, in the presence of water on the surface, allows them to move farther outward, make shorter contacts with the adsorbate, and attain higher energies of binding and lattice distortion. Full article
Show Figures

Graphical abstract

23 pages, 8908 KB  
Article
Synthesis, Electrochemistry and Density Functional Theory of Osmium(II) Containing Different 2,2′:6′,2″-Terpyridines
by Nandisiwe G. S. Mateyise, Marrigje M. Conradie and Jeanet Conradie
Molecules 2024, 29(21), 5078; https://doi.org/10.3390/molecules29215078 - 27 Oct 2024
Cited by 4 | Viewed by 2573
Abstract
In coordination chemistry, 2,2′:6′,2″-terpyridine is a versatile and extensively studied tridentate ligand. Terpyridine forms stable complexes with a variety of metal ions through coordination sites provided by the three nitrogen atoms in its pyridine rings. This paper presents an electrochemical study on various [...] Read more.
In coordination chemistry, 2,2′:6′,2″-terpyridine is a versatile and extensively studied tridentate ligand. Terpyridine forms stable complexes with a variety of metal ions through coordination sites provided by the three nitrogen atoms in its pyridine rings. This paper presents an electrochemical study on various bis(terpyridine)osmium(II) complexes, addressing the absence of a systematic investigation into their redox behavior. Additionally, a computational chemistry analysis was conducted on these complexes, as well as on eight previously studied osmium(II)-bipyridine and -phenanthroline complexes, to expand both the experimental and theoretical understanding. The experimental redox potentials, Hammett constants, and DFT-calculated energies show linear correlations due to the electron-donating or electron-withdrawing nature of the substituents, as described by the Hammett constants. These substituent effects cause shifts to lower or higher redox potentials, respectively. Full article
Show Figures

Graphical abstract

16 pages, 2973 KB  
Article
Acidity Constants of Boronic Acids as Simply as Possible: Experimental, Correlations, and Prediction
by Andrzej Sporzyński, Agnieszka Adamczyk-Woźniak, Dorota Zarzeczańska, Jan T. Gozdalik, Paulina Ramotowska and Wiktoria Abramczyk
Molecules 2024, 29(11), 2713; https://doi.org/10.3390/molecules29112713 - 6 Jun 2024
Cited by 4 | Viewed by 2983
Abstract
The wide use of boronic compounds, especially boronic acids and benzoxaboroles, in virtually all fields of chemistry is related to their specific properties. The most important of them are the ability to form cyclic esters with diols and the complexation of anions. In [...] Read more.
The wide use of boronic compounds, especially boronic acids and benzoxaboroles, in virtually all fields of chemistry is related to their specific properties. The most important of them are the ability to form cyclic esters with diols and the complexation of anions. In both cases, the equilibrium of the reaction depends mainly on the acidity of the compounds, although other factors must also be taken into account. Quantification of the acidity (pKa value) is a fundamental factor considered when designing new compounds of practical importance. The aim of the current work was to collect available values of the acidity constants of monosubstituted phenylboronic acids, critically evaluate these data, and supplement the database with data for missing compounds. Measurements were made using various methods, as a result of which a fast and reliable method for determining the pKa of boronic compounds was selected. For an extensive database of monosubstituted phenylboronic acids, their correlation with their Brønsted analogues—namely carboxylic acids—was examined. Compounds with ortho substituents do not show any correlation, which is due to the different natures of both types of acids. Nonetheless, both meta- and para-substituted compounds show excellent correlation. From a practical point of view, acidity constants are best determined from the Hammett equation. Computational approaches for determining acidity constants were also analyzed. In general, the reported calculated values are not compatible with experimental ones, providing comparable results only for selected groups of compounds. Full article
(This article belongs to the Section Physical Chemistry)
Show Figures

Graphical abstract

22 pages, 11279 KB  
Article
O,S-Acetals in a New Modification of oxo-Friedel–Crafts–Bradsher Cyclization—Synthesis of Fluorescent (Hetero)acenes and Mechanistic Considerations
by Krzysztof Owsianik, Ewa Różycka-Sokołowska and Piotr Bałczewski
Molecules 2023, 28(6), 2474; https://doi.org/10.3390/molecules28062474 - 8 Mar 2023
Cited by 1 | Viewed by 2116
Abstract
This paper presents the use of O,S-acetals in a new modification of the oxo-Friedel–Crafts–Bradsher cyclization. In this reaction, under mild reaction conditions (25 °C), three- and four-ring fused RO-acenes (major) and/or HO(CH2)2S-acenes (minor) are formed, [...] Read more.
This paper presents the use of O,S-acetals in a new modification of the oxo-Friedel–Crafts–Bradsher cyclization. In this reaction, under mild reaction conditions (25 °C), three- and four-ring fused RO-acenes (major) and/or HO(CH2)2S-acenes (minor) are formed, the latter products having never been observed before in this type of cyclization. In this way, two electronically different fluorophores could be obtained in a single cyclization reaction, one of them having strong electron donor properties (+M effect of alkoxy groups) and the other having donor-acceptor properties (+M and −I effects of the HO(CH2)2S-group, Hammett’s constants). Further increasing the reaction temperature, HCl concentration or prolonging reaction time, surprisingly, yielded a 2:1 mixture of cis and trans dimeric isomers, as the only products of this cyclization. The DFT calculations confirmed a greater stability of the cis isomer compared to the trans isomer. The formation of unexpected dimeric products and HO(CH2)2S-acenes sheds light on the mechanism of oxo-Friedel–Crafts–Bradsher cyclization, involving competitive O/S atom protonation in strained O,S-acetals and in strain-free side groups of intermediate species. Full article
(This article belongs to the Special Issue Feature Papers in Applied Chemistry)
Show Figures

Figure 1

15 pages, 4886 KB  
Article
Synthesis and Photophysical Properties of α-(N-Biphenyl)-Substituted 2,2′-Bipyridine-Based Push–Pull Fluorophores
by Ekaterina S. Starnovskaya, Dmitry S. Kopchuk, Albert F. Khasanov, Olga S. Taniya, Igor L. Nikonov, Maria I. Valieva, Dmitry E. Pavlyuk, Alexander S. Novikov, Grigory V. Zyryanov and Oleg N. Chupakhin
Molecules 2022, 27(20), 6879; https://doi.org/10.3390/molecules27206879 - 13 Oct 2022
Cited by 11 | Viewed by 2829
Abstract
A series of new α-(N-biphenyl)-substituted 2,2′-bipyridines were obtained through the combination of the ipso-nucleophilic aromatic substitution of the C5-cyano group, aza-Diels–Alder and Suzuki cross-coupling reactions, starting from 5-cyano-1,2,4-triazines. For the obtained compounds, photophysical and fluorosolvatochromic properties were studied. Fluorophores 3l and [...] Read more.
A series of new α-(N-biphenyl)-substituted 2,2′-bipyridines were obtained through the combination of the ipso-nucleophilic aromatic substitution of the C5-cyano group, aza-Diels–Alder and Suzuki cross-coupling reactions, starting from 5-cyano-1,2,4-triazines. For the obtained compounds, photophysical and fluorosolvatochromic properties were studied. Fluorophores 3l and 3b demonstrated unexpected AIEE activity, while 3a and 3h showed promising nitroexplosive detection abilities. Full article
(This article belongs to the Special Issue Novel Fluorophores and Their Applications)
Show Figures

Figure 1

18 pages, 4217 KB  
Article
Naphthalene vs. Benzene as a Transmitting Moiety: Towards the More Sensitive Trifluoromethylated Molecular Probes for the Substituent Effects
by Adam Sokół, Henryk Koroniak, Marcin Hoffmann and Tomasz Siodła
Molecules 2022, 27(13), 4173; https://doi.org/10.3390/molecules27134173 - 29 Jun 2022
Cited by 5 | Viewed by 3020
Abstract
The application of DFT computational method (B3LYP/6-311++G(d,p)) to mono- and poly(CF3)substituted naphthalene derivatives helps to study changes in the electronic properties of these compounds under the influence of 11 substituents (-Br, -CF3, -CH3, -CHO, -Cl, -CN, -F, [...] Read more.
The application of DFT computational method (B3LYP/6-311++G(d,p)) to mono- and poly(CF3)substituted naphthalene derivatives helps to study changes in the electronic properties of these compounds under the influence of 11 substituents (-Br, -CF3, -CH3, -CHO, -Cl, -CN, -F, -NH2, -NMe2, -NO2, and -OH) to confront substituent effects in naphthalene with an analogous situation in benzene. This paper shows the dependencies of theoretically calculated SESE (Substituent Effect Stabilization Energy) values on empirically determined, well-defined Hammett-type constants (σp, σm, R, and F). Described poly(CF3)substituted derivatives of naphthalene are, so far, the most sensitive molecular probes for the substituent effects in the aromatic system. The presence of the trifluoromethyl groups of such an expressive nature significantly increases the sensitivity of the SESE to changes caused by another substitution. Further, the more -CF3 groups are attached to the naphthalene ring, the more sensitive the probe is. Certain groups of probes show additivity of sensitivity: the obtained sensitivity relates to the sum of the sensitivities of the mono(CF3)substituted probes. Full article
(This article belongs to the Special Issue Organofluorine Chemistry and Beyond)
Show Figures

Figure 1

11 pages, 3058 KB  
Article
Ferrocene-Containing Pseudorotaxanes in Crystals: Aromatic Interactions with Hammett Correlation
by Yuji Suzaki, Tomoko Abe, Asami Takei, Yugo Fukuchi, Take-aki Koizumi, Kohtaro Osakada and Masaki Horie
Molecules 2022, 27(5), 1745; https://doi.org/10.3390/molecules27051745 - 7 Mar 2022
Viewed by 3191
Abstract
Single crystals of pseudorotaxanes, [(FcCH2NH2CH2Ar)(DB24C8)][PF6] (DB24C8 = dibenzo[24]crown-8, Fc = Fe(C5H4)(C5H5), Ar = -C6H3-3,4-Cl2, -C6H3-3,4-F2, [...] Read more.
Single crystals of pseudorotaxanes, [(FcCH2NH2CH2Ar)(DB24C8)][PF6] (DB24C8 = dibenzo[24]crown-8, Fc = Fe(C5H4)(C5H5), Ar = -C6H3-3,4-Cl2, -C6H3-3,4-F2, -C6H4-4-F, -C6H4-4-Cl, -C6H4-4-Br, -C6H3-3-F-4-Me, -C6H4-4-I) and [(FcCH2NH2CH2C6H4-4-Me)(DB24C8)][Ni(dmit)2] (dmit = 1,3-dithiole-2,4,5-dithiolate), were obtained from solutions containing DB24C8 and ferrocenylmethyl(arylmethyl)ammonium. X-ray crystallographic analyses of the pseudorotaxanes revealed that the aryl ring of the axle moiety and the catechol ring of the macrocyclic component were at close centroid distances and parallel or tilted orientation. The structures with parallel aromatic rings showed correlation of the distances between the centroids to Hammett substituent constants of the aryl groups. Full article
Show Figures

Figure 1

13 pages, 8754 KB  
Article
Azobenzene/Tetraethyl Ammonium Photochromic Potassium Channel Blockers: Scope and Limitations for Design of Para-Substituted Derivatives with Specific Absorption Band Maxima and Thermal Isomerization Rate
by Daniil M. Strashkov, Vladimir N. Mironov, Dmitrii M. Nikolaev, Maxim S. Panov, Stanislav A. Linnik, Andrey S. Mereshchenko, Vladimir A. Kochemirovsky, Andrey V. Vasin and Mikhail N. Ryazantsev
Int. J. Mol. Sci. 2021, 22(23), 13171; https://doi.org/10.3390/ijms222313171 - 6 Dec 2021
Cited by 3 | Viewed by 3786
Abstract
Azobenzene/tetraethyl ammonium photochromic ligands (ATPLs) are photoactive compounds with a large variety of photopharmacological applications such as nociception control or vision restoration. Absorption band maximum and lifetime of the less stable isomer are important characteristics that determine the applicability of ATPLs. Substituents allow [...] Read more.
Azobenzene/tetraethyl ammonium photochromic ligands (ATPLs) are photoactive compounds with a large variety of photopharmacological applications such as nociception control or vision restoration. Absorption band maximum and lifetime of the less stable isomer are important characteristics that determine the applicability of ATPLs. Substituents allow to adjust these characteristics in a range limited by the azobenzene/tetraethyl ammonium scaffold. The aim of the current study is to find the scope and limitations for the design of ATPLs with specific spectral and kinetic properties by introducing para substituents with different electronic effects. To perform this task we synthesized ATPLs with various electron acceptor and electron donor functional groups and studied their spectral and kinetic properties using flash photolysis and conventional spectroscopy techniques as well as quantum chemical modeling. As a result, we obtained diagrams that describe correlations between spectral and kinetic properties of ATPLs (absorption maxima of E and Z isomers of ATPLs, the thermal lifetime of their Z form) and both the electronic effect of substituents described by Hammett constants and structural parameters obtained from quantum chemical calculations. The provided results can be used for the design of ATPLs with properties that are optimal for photopharmacological applications. Full article
(This article belongs to the Special Issue Advances in Photopharmacology)
Show Figures

Figure 1

21 pages, 10881 KB  
Article
Organosulfur Materials with High Photo- and Photo-Oxidation Stability: 10-Anthryl Sulfoxides and Sulfones and Their Photophysical Properties Dependent on the Sulfur Oxidation State
by Piotr Bałczewski, Emilia Kowalska, Ewa Różycka-Sokołowska, Paweł Uznański, Joanna Wilk, Marek Koprowski, Krzysztof Owsianik and Bernard Marciniak
Materials 2021, 14(13), 3506; https://doi.org/10.3390/ma14133506 - 23 Jun 2021
Cited by 7 | Viewed by 2491
Abstract
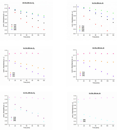
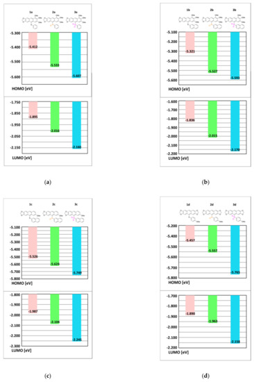
While few studies show only symmetrical and poorly mono-SOn (n = 0–2) substituted acenes, in this study, we present a synthesis of a new group of unsymmetrical, significantly substituted derivatives, which revealed unique photophysical properties. Both sulfides (S), sulfoxides (SO) and sulfones [...] Read more.
While few studies show only symmetrical and poorly mono-SOn (n = 0–2) substituted acenes, in this study, we present a synthesis of a new group of unsymmetrical, significantly substituted derivatives, which revealed unique photophysical properties. Both sulfides (S), sulfoxides (SO) and sulfones (SO2) showed very high photochemical stabilities, unusual for these groups, during UV-irradiation at 254/365 nm (air O2 and Ar), which was higher than any found in the literature. For the (S)/(SO) series (254 nm), the stabilities of 80–519 min. (air O2 and Ar) were found. At 365 nm, stabilities of 124—812 min./(air O2) for (S)/(SO) and higher for (SO2) were observed. Photoluminescence lifetimes of (SOn) of the lower anthryl symmetry remained in the following order: (SO2) < (S) < (SO); those with full symmetry were in the following order: (S) < (SO) < (SO2). The enhanced photostability was explained with DFT/MS/Hammett’s constants, which showed the leading role of the SOn groups in stabilization of HOMO/LUMO frontier orbitals. The SOn (n = 0–2) substituted acenes turned out to be tunable violet/blue/green emitters by oxidation of S atoms and the introduction of rich substitution. Full article
Show Figures

Figure 1

13 pages, 2000 KB  
Article
Redox Potential Tuning of s-Tetrazine by Substitution of Electron-Withdrawing/Donating Groups for Organic Electrode Materials
by Dong Joo Min, Kyunam Lee, Hyunji Park, Ji Eon Kwon and Soo Young Park
Molecules 2021, 26(4), 894; https://doi.org/10.3390/molecules26040894 - 8 Feb 2021
Cited by 21 | Viewed by 5536
Abstract
Herein, we tune the redox potential of 3,6-diphenyl-1,2,4,5-tetrazine (DPT) by introducing various electron-donating/withdrawing groups (methoxy, t-butyl, H, F, and trifluoromethyl) into its two peripheral benzene rings for use as electrode material in a Li-ion cell. By both the theoretical DFT calculations and the [...] Read more.
Herein, we tune the redox potential of 3,6-diphenyl-1,2,4,5-tetrazine (DPT) by introducing various electron-donating/withdrawing groups (methoxy, t-butyl, H, F, and trifluoromethyl) into its two peripheral benzene rings for use as electrode material in a Li-ion cell. By both the theoretical DFT calculations and the practical cyclic voltammetry (CV) measurements, it is shown that the redox potentials (E1/2) of the 1,2,4,5-tetrazines (s-tetrazines) have a strong correlation with the Hammett constant of the substituents. In Li-ion coin cells, the discharge voltages of the s-tetrazine electrodes are successfully tuned depending on the electron-donating/withdrawing capabilities of the substituents. Furthermore, it is found that the heterogeneous electron transfer rate (k0) of the s-tetrazine molecules and Li-ion diffusivity (DLi) in the s-tetrazine electrodes are much faster than conventional electrode active materials. Full article
(This article belongs to the Special Issue Tetrazines: A World of New Molecules Emerging from Old Chemistry)
Show Figures

Figure 1

Back to TopTop