Due to scheduled maintenance work on our servers, there may be short service disruptions on this website between 11:00 and 12:00 CEST on March 28th.
Sign in to use this feature.

Years

Between: -

Subjects

remove_circle_outline
remove_circle_outline
remove_circle_outline
remove_circle_outline
remove_circle_outline
remove_circle_outline
remove_circle_outline

Journals

Article Types

Countries / Regions

Search Results (27)

Search Parameters:
Keywords = HTSC

Order results
Result details
Results per page
Select all
Export citation of selected articles as:
12 pages, 2292 KB  
Article
Electron Correlation and High-Temperature Superconductivity
by Takeshi Egami
Condens. Matter 2026, 11(1), 4; https://doi.org/10.3390/condmat11010004 - 30 Jan 2026
Viewed by 520
Abstract
Strong electron correlation plays a central role in the high-temperature superconductivity (HTSC) of cuprates. However, to date, research has focused only on its role in spin dynamics and related effects, even though it is becoming increasingly clear that spin alone may not be [...] Read more.
Strong electron correlation plays a central role in the high-temperature superconductivity (HTSC) of cuprates. However, to date, research has focused only on its role in spin dynamics and related effects, even though it is becoming increasingly clear that spin alone may not be sufficient to create HTSC. Here, we discuss a possible role of electron correlation in the Bose–Einstein condensation (BEC) of Cooper pairs. Recently, we succeeded in observing dynamic electron correlation via inelastic X-ray scattering through results presented in real space. We discovered that electron correlations are strongly modified in the plasmon, proving that electron dynamics significantly affect electron correlation. Earlier, we found that in 4He, the atom–atom distance in the BE condensate is 10% longer than that in the non-condensate. These results suggest the possibility that the reduction in electron-repulsion energy upon BEC is driving Tc to high values. Thus, electron correlation itself could be the origin of the HTSC phenomenon. Full article
(This article belongs to the Special Issue Superstripes Physics, 4th Edition)
Show Figures

Figure 1

17 pages, 1277 KB  
Perspective
Nanoscale Lattice Heterostructure in High-Tc Superconductors
by Annette Bussmann-Holder, Jürgen Haase, Hugo Keller, Reinhard K. Kremer, Sergei I. Mukhin, Alexey P. Menushenkov, Andrei Ivanov, Alexey Kuznetsov, Victor Velasco, Steven D. Conradson, Gaetano Campi and Antonio Bianconi
Condens. Matter 2025, 10(4), 56; https://doi.org/10.3390/condmat10040056 - 30 Oct 2025
Cited by 1 | Viewed by 1775
Abstract
Low-temperature superconductivity has been known since 1957 to be described by BCS theory for effective single-band metals controlled by the density of states at the Fermi level, very far from band edges, the electron–phonon coupling constant l, and the energy of the boson [...] Read more.
Low-temperature superconductivity has been known since 1957 to be described by BCS theory for effective single-band metals controlled by the density of states at the Fermi level, very far from band edges, the electron–phonon coupling constant l, and the energy of the boson in the pairing interaction w0, but BCS has failed to predict high-temperature superconductivity in different materials above about 23 K. High-temperature superconductivity above 35 K, since 1986, has been a matter of materials science, where manipulating the lattice complexity of high-temperature superconducting ceramic oxides (HTSCs) has driven materials scientists to grow new HTSC quantum materials up to 138 K in HgBa2Ca2Cu3O8 (Hg1223) at ambient pressure and near room temperature in pressurized hydrides. This perspective covers the major results of materials scientists over the last 39 years in terms of investigating the role of lattice inhomogeneity detected in these new quantum complex materials. We highlight the nanoscale heterogeneity in these complex materials and elucidate their special role played in the physics of HTSCs. Especially, it is highlighted that the geometry of lattice and charge complex heterogeneity at the nanoscale is essential and intrinsic in the mechanism of rising quantum coherence at high temperatures. Full article
(This article belongs to the Special Issue Superstripes Physics, 4th Edition)
Show Figures

Figure 1

12 pages, 6582 KB  
Case Report
Multidisciplinary Management of Non-Healing Umbilical Ulcer in an Infant: A Case Report
by Stefano L’Erario, Marena Francesco, Franco Bassetto and Antonio Amabile
Complications 2025, 2(1), 4; https://doi.org/10.3390/complications2010004 - 10 Feb 2025
Cited by 1 | Viewed by 2380
Abstract
This case report outlines the intricate clinical management of a 5-month-old infant with recurrent bacterial infections and a non-healing umbilical ulcer following the surgical excision of a urachal remnant. The infant’s medical history was significant for delayed umbilical cord detachment and multiple surgical [...] Read more.
This case report outlines the intricate clinical management of a 5-month-old infant with recurrent bacterial infections and a non-healing umbilical ulcer following the surgical excision of a urachal remnant. The infant’s medical history was significant for delayed umbilical cord detachment and multiple surgical site infections. The initial surgical approach included the excision of the residual urachus, wound debridement, and abdominal wall reinforcement using a collagen matrix combined with local flap closure. Despite an apparently uneventful postoperative course, the wound experienced dehiscence and failed to heal. As part of the diagnostic workup, genetic testing was conducted, revealing an autosomal dominant mutation in the RAC2 gene, which impairs neutrophil function. Given the urgent need for wound closure prior to hematopoietic stem cell transplantation (HSCT), further debridement and sessions of negative pressure therapy were performed, alongside attempted repair with acellular dermal regeneration matrices, which ultimately proved to be ineffective. Ultimately, HSCT was undertaken despite the infectious associated risks, resulting in spontaneous wound healing without requiring further surgical interventions. This case highlights the challenges of coordinating medical, surgical, and hematological treatments in such complex cases, necessitating effective communication and collaboration among multidisciplinary teams to optimize patient outcomes. Full article
Show Figures

Figure 1

15 pages, 1834 KB  
Review
Multiband Superconductivity, Polarons, Jahn-Teller Polarons, Heterogeneity, and High-Temperature Superconductivity
by Annette Bussmann-Holder and Hugo Keller
Condens. Matter 2024, 9(4), 56; https://doi.org/10.3390/condmat9040056 - 19 Dec 2024
Cited by 2 | Viewed by 1837
Abstract
Early on, oxides were ruled out from superconductivity, since they are typically large-band-gap insulators. Nevertheless, a rather small number of them were found to be superconducting, with transition temperatures up to 14 K and a remarkably low carrier density. This was the starting [...] Read more.
Early on, oxides were ruled out from superconductivity, since they are typically large-band-gap insulators. Nevertheless, a rather small number of them were found to be superconducting, with transition temperatures up to 14 K and a remarkably low carrier density. This was the starting point of K. Alex Müller (KAM) becoming interested in superconductivity in oxides. Step by step, he advanced the research on oxides and finally discovered, together with J. Georg Bednorz, high-temperature superconductivity (HTSC) in the perovskite-type compound Ba-La-Cu-O. Even though he was inspired by specific and clear ideas in his search, he added new impact in the understanding of HTSC for many years after receipt of the Nobel prize for this discovery. Full article
(This article belongs to the Special Issue Superstripes Physics, 3rd Edition)
Show Figures

Figure 1

13 pages, 613 KB  
Article
Urinary L-FABP Assay in the Detection of Acute Kidney Injury following Haematopoietic Stem Cell Transplantation
by Roshni Mitra, Eleni Tholouli, Azita Rajai, Ananya Saha, Sandip Mitra and Nicos Mitsides
J. Pers. Med. 2024, 14(10), 1046; https://doi.org/10.3390/jpm14101046 - 9 Oct 2024
Viewed by 2054
Abstract
Background: Acute Kidney Injury (AKI) is a condition that affects a significant proportion of acutely unwell patients and is associated with a high mortality rate. Patients undergoing haemopoietic stem cell transplantation (HSCT) are in an extremely high group for AKI. Identifying a [...] Read more.
Background: Acute Kidney Injury (AKI) is a condition that affects a significant proportion of acutely unwell patients and is associated with a high mortality rate. Patients undergoing haemopoietic stem cell transplantation (HSCT) are in an extremely high group for AKI. Identifying a biomarker or panel of markers that can reliably identify at-risk individuals undergoing HSCT can potentially impact management and outcomes. Early identification of AKI can reduce its severity and improve prognosis. We evaluated the urinary Liver type fatty acid binding protein (L-FABP), a tubular stress and injury biomarker both as an ELISA and a point of care (POC) assay for AKI detection in HSCT. Methods: 85 patients that had undergone autologous and allogenic HSCT (35 and 50, respectively) had urinary L-FABP (uL-FABP) measured by means of a quantitative ELISA and a semi-quantitative POC at baseline, day 0 and 7 post-transplantation. Serum creatinine (SCr) was also measured at the same time. Patients were followed up for 30 days for the occurrence of AKI and up to 18 months for mortality. The sensitivity and specificity of uL-FABP as an AKI biomarker were evaluated and compared to the performance of sCr using ROC curve analysis and logistic regression. Results: 39% of participants developed AKI within 1 month of their transplantation. The incidence of AKI was higher in the allogenic group than in the autologous HTSC group (57% vs. 26%, p = 0.008) with the median time to AKI being 25 [range 9-30] days. This group was younger (median age 59 vs. 63, p < 0.001) with a lower percentage of multiple myeloma as the primary diagnosis (6% vs. 88%, p < 0.001). The median time to AKI diagnosis was 25 [range 9–30] days. uL-FABP (mcg/gCr) at baseline, day of transplant and on the 7th day post-transplant were 1.61, 5.39 and 10.27, respectively, for the allogenic group and 0.58, 4.36 and 5.14 for the autologous group. Both SCr and uL-FABP levels rose from baseline to day 7 post-transplantation, while the AUC for predicting AKI for baseline, day 0 and day 7 post-transplant was 0.54, 0.59 and 0.62 for SCr and for 0.49, 0.43 and 0.49 uL-FABP, respectively. Univariate logistic regression showed the risk of AKI to be increased in patients with allogenic HSCT (p = 0.004, 95%CI [0.1; 0.65]) and in those with impaired renal function at baseline (p = 0.01, 95%CI [0.02, 0.54]). The risk of AKI was also significantly associated with SCr levels on day 7 post-transplant (p = 0.03, 95%CI [1; 1.03]). Multivariate logistic regression showed the type of HSCT to be the strongest predictor of AKI at all time points, while SCr levels at days 0 and 7 also correlated with increased risk in the model that included uL-FABP levels at the corresponding time points. The POC device for uL-FABP measurement correlated with ELISA (p < 0.001, Spearman ‘correlation’ = 0.54) Conclusions: The urinary biomarker uL-FABP did not demonstrate an independent predictive value in the detection of AKI at all stages. The most powerful risk predictor of AKI in this setting appears to be allograft recipients and baseline renal impairment, highlighting the importance of clinical risk stratification. Urinary L-FAPB as a POC biomarker was comparable to ELISA, which provides an opportunity for simple and rapid testing. However, the utility of LFABP in AKI is unclear and needs further exploration. Whether screening through rapid testing of uL-FABP can prevent or reduce AKI severity is unknown and merits further studies. Full article
(This article belongs to the Section Disease Biomarkers)
Show Figures

Figure 1

21 pages, 4771 KB  
Article
Experimental and Computational Studies on the Interaction of DNA with Hesperetin Schiff Base CuII Complexes
by Federico Pisanu, Anna Sykula, Giuseppe Sciortino, Feliu Maseras, Elzbieta Lodyga-Chruscinska and Eugenio Garribba
Int. J. Mol. Sci. 2024, 25(10), 5283; https://doi.org/10.3390/ijms25105283 - 13 May 2024
Cited by 7 | Viewed by 2608
Abstract
The interactions with calf thymus DNA (CT-DNA) of three Schiff bases formed by the condensation of hesperetin with benzohydrazide (HHSB or L1H3), isoniazid (HIN or L2H3), or thiosemicarbazide (HTSC or L3H3) [...] Read more.
The interactions with calf thymus DNA (CT-DNA) of three Schiff bases formed by the condensation of hesperetin with benzohydrazide (HHSB or L1H3), isoniazid (HIN or L2H3), or thiosemicarbazide (HTSC or L3H3) and their CuII complexes (CuHHSB, CuHIN, and CuHTSC with the general formula [CuLnH2(AcO)]) were evaluated in aqueous solution both experimentally and theoretically. UV–Vis studies indicate that the ligands and complexes exhibit hypochromism, which suggests helical ordering in the DNA helix. The intrinsic binding constants (Kb) of the Cu compounds with CT-DNA, in the range (2.3–9.2) × 106, from CuHTSC to CuHHSB, were higher than other copper-based potential drugs, suggesting that π–π stacking interaction due to the presence of the aromatic rings favors the binding. Thiazole orange (TO) assays confirmed that ligands and Cu complexes displace TO from the DNA binding site, quenching the fluorescence emission. DFT calculations allow for an assessment of the equilibrium between [Cu(LnH2)(AcO)] and [Cu(LnH2)(H2O)]+, the tautomer that binds CuII, amido (am) and not imido (im), and the coordination mode of HTSC (O, N, S), instead of (O, N, NH2). The docking studies indicate that the intercalative is preferred over the minor groove binding to CT-DNA with the order [Cu(L1H2am)(AcO)] > [Cu(L2H2am)(AcO)] ≈ TO ≈ L1H3 > [Cu(L3H2am)(AcO)], in line with the experimental Kb constants, obtained from the UV–Vis spectroscopy. Moreover, dockings predict that the binding strength of [Cu(L1H2am)(AcO)] is larger than [Cu(L1H2am)(H2O)]+. Overall, the results suggest that when different enantiomers, tautomers, and donor sets are possible for a metal complex, a computational approach should be recommended to predict the type and strength of binding to DNA and, in general, to macromolecules. Full article
Show Figures

Figure 1

10 pages, 6005 KB  
Article
Feasible Parameters of Ohmic Areas of YBaCuO Thin Films Switched via Moving Unstable Border between Superconducting and Normal States
by Linas Ardaravičius and Oleg Kiprijanovič
Coatings 2024, 14(3), 266; https://doi.org/10.3390/coatings14030266 - 22 Feb 2024
Viewed by 1617
Abstract
A system of two equations based on one of the classical electricity laws was used to determine the sizes and temperatures of ohmic areas formed under action of overcritical nanosecond electrical pulses. Calculations were performed at five points for three experimentally obtained voltage–current [...] Read more.
A system of two equations based on one of the classical electricity laws was used to determine the sizes and temperatures of ohmic areas formed under action of overcritical nanosecond electrical pulses. Calculations were performed at five points for three experimentally obtained voltage–current (V-I) dependences for samples with the same geometry but different critical current density values. The system included two additional conditions to satisfy the known descriptive model of transition from superconducting (SC) to a normal (N) state—S-N switching—and to obtain physically acceptable solutions over the entire current range of V-I dependence. The solution for each point takes the form of a function, since the initial temperature increase of the primary channel across the film is entered as a parameter. Two modes of concentrated energy release in the channel were disclosed. Their random appearance leads to an unexpected degradation of the sample. As such, the obtained results correspond to the situations occurring during the experiments. The validity of applying additional conditions to the system is discussed. In the discussion, it is also explained at which moments the moving S-N border acquires the velocity of the order of ~106 m/s, comparable to the Fermi velocity. Consideration to describe the moving unstable S-N border as being constantly in a state of Richtmyer–Meshkov instability is presented. Full article
(This article belongs to the Special Issue Thin-Film Synthesis, Characterization and Properties)
Show Figures

Figure 1

13 pages, 4842 KB  
Article
Synthesis and Research of Critical Parameters of Bi-HTSC Ceramics Based on Glass Phase Obtained by IR Heating
by Daniyar Uskenbaev, Adolf Nogai, Alisher Uskenbayev, Kairatbek Zhetpisbayev, Eleonora Nogai, Pavel Dunayev, Ainur Zhetpisbayeva and Artur Nogai
ChemEngineering 2023, 7(5), 95; https://doi.org/10.3390/chemengineering7050095 - 10 Oct 2023
Cited by 4 | Viewed by 2285
Abstract
In this paper influence of the excess Ca and Cu cations on the critical temperature (Tc) and critical transport current density (Jc) of high-temperature superconducting ceramics of the compositions (HTSC) Bi1.6Pb0.4Sr2Ca [...] Read more.
In this paper influence of the excess Ca and Cu cations on the critical temperature (Tc) and critical transport current density (Jc) of high-temperature superconducting ceramics of the compositions (HTSC) Bi1.6Pb0.4Sr2Ca2.1Cu3.1Oy, Bi1.6Pb0.4Sr2Ca2.25Cu3.25Oy and Bi1.6Pb0.4Sr2Ca3Cu4Oy synthesized by the glass-ceramic method has been studied. The synthesis of superconducting ceramics was carried out on the basis of the glass phase, obtained by ultra-fast quenching of the melt. Melting of the mixture of starting components was carried out without the use of a crucible under the influence of IR radiant heating. Analysis of the elemental composition of the samples of the initial precursors showed a significant deviation from stoichiometry in oxygen (increase), as well as a decrease in calcium content. The synthesis of HTSC ceramics was carried out at a temperature of 849–850 °C for 96 h with intermediate grinding every 24 h. Studies of the phase composition of ceramic samples by X-ray diffraction have shown that HTSC ceramics consist only of a superconducting high-temperature phase Bi-2223. Studies of current-carrying characteristics by the four-point probe method according to the criterion of 1 µV/cm2 have shown that high-temperature superconducting ceramics of the compositions Bi1.6Pb0.4Sr2Ca2.1Cu3.1Oy, Bi1.6Pb0.4Sr2Ca2.25Cu3.25Oy and Bi1.6Pb0.4Sr2Ca3Cu4Oy have an increased density of critical transport current of 9.12 A/cm2, 7.62 A/cm2 and 7.26 A/cm2, respectively. At the same time, it was found that with a decrease in the content of Ca and Cu cations in HTSC ceramics, an increase in the critical current density is observed. Full article
Show Figures

Figure 1

28 pages, 6055 KB  
Article
Encapsulation and Biological Activity of Hesperetin Derivatives with HP-β-CD
by Anna Sykuła, Agnieszka Bodzioch, Adriana Nowak, Waldemar Maniukiewicz, Sylwia Ścieszka, Lidia Piekarska-Radzik, Elżbieta Klewicka, Damian Batory and Elżbieta Łodyga-Chruścińska
Molecules 2023, 28(19), 6893; https://doi.org/10.3390/molecules28196893 - 30 Sep 2023
Cited by 8 | Viewed by 3060
Abstract
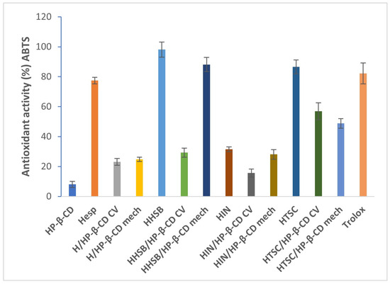
The encapsulation of insoluble compounds can help improve their solubility and activity. The effects of cyclodextrin encapsulation on hesperetin’s derivatives (HHSB, HIN, and HTSC) and the physicochemical properties of the formed complexes were determined using various analytical techniques. The antioxidant (DPPH, [...] Read more.
The encapsulation of insoluble compounds can help improve their solubility and activity. The effects of cyclodextrin encapsulation on hesperetin’s derivatives (HHSB, HIN, and HTSC) and the physicochemical properties of the formed complexes were determined using various analytical techniques. The antioxidant (DPPH, ABTS•+ scavenging, and Fe2+-chelating ability), cytotoxic, and antibacterial activities were also investigated. The inclusion systems were prepared using mechanical and co-evaporation methods using a molar ratio compound: HP-β-CD = 1:1. The identification of solid systems confirmed the formation of two inclusion complexes at hesperetin (CV) and HHSB (mech). The identification of systems of hesperetin and its derivatives with HP-β-CD in solutions at pHs 3.6, 6.5, and 8.5 and at various temperatures (25, 37 and 60 °C) confirmed the effect of cyclodextrin on their solubility. In the DPPH and ABTS•+ assay, pure compounds were characterized by higher antioxidant activity than the complexes. In the FRAP study, all hesperetin and HHSB complexes and HTSC-HP-β-CD (mech) were characterized by higher values of antioxidant activity than pure compounds. The results obtained from cytotoxic activity tests show that for most of the systems tested, cytotoxicity increased with the concentration of the chemical, with the exception of HP-β-CD. All systems inhibited Escherichia coli and Staphylococcus aureus. Full article
(This article belongs to the Section Natural Products Chemistry)
Show Figures

Graphical abstract

14 pages, 3311 KB  
Article
Tunable Photonic Band Gaps in Two-Dimensional Bravais–Moiré Photonic Crystal Composed of High-Tc Superconductors
by Hernán A. Gómez-Urrea, José G. Cardona, Miguel E. Mora-Ramos and Carlos A. Duque
Condens. Matter 2023, 8(2), 51; https://doi.org/10.3390/condmat8020051 - 2 Jun 2023
Viewed by 2490
Abstract
In this study, we perform a theoretical study of light propagation properties in two-dimensional square photonic crystals (PCs) following Bravais–Moiré (BM) patterns composed of copper oxide high-temperature superconductors (HTSCs). The BM PCs are made of cylindrical cores formed from the combination of two [...] Read more.
In this study, we perform a theoretical study of light propagation properties in two-dimensional square photonic crystals (PCs) following Bravais–Moiré (BM) patterns composed of copper oxide high-temperature superconductors (HTSCs). The BM PCs are made of cylindrical cores formed from the combination of two square Bravais lattices. The Moiré pattern forms due to a commensurable rotation of one of these lattices with respect to the other. The dielectric function of the superconducting material is modeled by the two-fluid Gorter–Casimir theory. We report on the corresponding gap, the mapping as a function of the radius of dielectric cores, as well as the dispersion relations of TM modes for BM PCs and for the waveguide system built of defect lines within such a crystal. The BM PCs were composed of copper oxide HTSCs, which exhibit large tunability in terms of temperature. Full article
(This article belongs to the Special Issue Physics of Light-Matter Coupling in Nanostructures)
Show Figures

Figure 1

31 pages, 5806 KB  
Review
Review: Heterojunction Tandem Solar Cells on Si-Based Metal Oxides
by Laurentiu Fara, Irinela Chilibon, Dan Craciunescu, Alexandru Diaconu and Silvian Fara
Energies 2023, 16(7), 3033; https://doi.org/10.3390/en16073033 - 26 Mar 2023
Cited by 9 | Viewed by 3850
Abstract
PV technology offers a sustainable solution to the increased energy demand especially based on mono- and polycrystalline silicon solar cells. The most recent years have allowed the successful development of perovskite and tandem heterojunction Si-based solar cells with energy conversion efficiency over 28%. [...] Read more.
PV technology offers a sustainable solution to the increased energy demand especially based on mono- and polycrystalline silicon solar cells. The most recent years have allowed the successful development of perovskite and tandem heterojunction Si-based solar cells with energy conversion efficiency over 28%. The metal oxide heterojunction tandem solar cells have a great potential application in the future photovoltaic field. Cu2O (band gap of 2.07 eV) and ZnO (band gap of 3.3 eV) are very good materials for solar cells and their features completely justify the high interest for the research of tandem heterojunction based on them. This review article analyzes high-efficiency silicon-based tandem heterojunction solar cells (HTSCs) with metal oxides. It is structured on six chapters dedicated to four main issues: (1) fabrication techniques and device architecture; (2) characterization of Cu2O and ZnO layers; (3) numerical modelling of Cu2O/ZnO HTSC; (4) stability and reliability approach. The device architecture establishes that the HTSC is constituted from two sub-cells: ZnO/Cu2O and c-Si. The four terminal tandem solar cells contribute to the increased current density and conversion efficiency. Cu2O and ZnO materials are defined as promising candidates for high-efficiency solar devices due to the morphological, structural, and optical characterization emphasized. Based on multiscale modelling of PV technology, the electrical and optical numerical modelling of the two sub-cells of HTSC are presented. At the same time, the thermal stability and reliability approach are essential and needed for an optimum operation of HTSC, concerning the cell lifetime and degradation degree. Further progress on flexible HTSC could determine that such advanced solar devices would become commercially sustainable in the near future. Full article
(This article belongs to the Special Issue Analysis and Numerical Modeling in Solar Photovoltaic Systems)
Show Figures

Graphical abstract

30 pages, 12528 KB  
Article
Preparation of Tryptanthrin Derivates Bearing a Thiosemicarbazone Moiety to Inhibit SARS-CoV-2 Replication
by Kateřina Veselá, Zora Mělková, Nikita Abramenko, Zdeněk Kejík, Robert Kaplánek, Petr Dytrych, Alla Sinica, Oleksandra Vozniuk, Pavel Martásek and Milan Jakubek
Separations 2023, 10(2), 73; https://doi.org/10.3390/separations10020073 - 20 Jan 2023
Cited by 4 | Viewed by 3570
Abstract
SARS-CoV-2 is a serious viral pathogen, and agents that inhibit its replication are in high demand. In the present work, we prepared two novel tryptanthrin derivates bearing a thiosemicarbazone moiety as potential antiviral agents. Both compounds displayed potent chelation activity against Fe(III/II) ion-associated [...] Read more.
SARS-CoV-2 is a serious viral pathogen, and agents that inhibit its replication are in high demand. In the present work, we prepared two novel tryptanthrin derivates bearing a thiosemicarbazone moiety as potential antiviral agents. Both compounds displayed potent chelation activity against Fe(III/II) ion-associated COVID-19. The molecular docking results suggest that the compounds can display significant affinity towards SARS-CoV-2 papain-like proteases and SARS-CoV-2 main proteases. In addition, administering T8H-TSC can repress viral replication in the used model (Vero cells). Moreover, the therapeutic potential of the prepared compounds was predicted and analysed in terms of Lipinski’s rules, drug-likeness and drug score. Full article
(This article belongs to the Special Issue Novel Applications of Separation Technology)
Show Figures

Graphical abstract

21 pages, 3139 KB  
Article
Spectroscopic Characterization and Biological Activity of Hesperetin Schiff Bases and Their Cu(II) Complexes
by Anna Sykuła, Adriana Nowak, Eugenio Garribba, Aliaksandr Dzeikala, Magdalena Rowińska-Żyrek, Justyna Czerwińska, Waldemar Maniukiewicz and Elżbieta Łodyga-Chruścińska
Int. J. Mol. Sci. 2023, 24(1), 761; https://doi.org/10.3390/ijms24010761 - 1 Jan 2023
Cited by 14 | Viewed by 3705
Abstract
The three Schiff base ligands, derivatives of hesperetin, HHSB (N-[2,3-dihydro-5,7-dihydroxy-2-(3-hydroxy-4-methoxyphenyl)chromen-4-ylidene]isonicotinohydrazide), HIN (N-[2,3-dihydro-5,7-dihydroxy-2-(3-hydroxy-4-methoxyphenyl)chromen-4-ylidene]benzhydrazide) and HTSC (N-[2,3-dihydro-5,7-dihydroxy-2-(3-hydroxy-4-methoxyphenyl)chromen-4-ylidene]thiosemicarbazide) and their copper complexes, CuHHSB, CuHIN, and CuHTSC were designed, synthesized and analyzed in terms of their spectral characterization and the genotoxic [...] Read more.
The three Schiff base ligands, derivatives of hesperetin, HHSB (N-[2,3-dihydro-5,7-dihydroxy-2-(3-hydroxy-4-methoxyphenyl)chromen-4-ylidene]isonicotinohydrazide), HIN (N-[2,3-dihydro-5,7-dihydroxy-2-(3-hydroxy-4-methoxyphenyl)chromen-4-ylidene]benzhydrazide) and HTSC (N-[2,3-dihydro-5,7-dihydroxy-2-(3-hydroxy-4-methoxyphenyl)chromen-4-ylidene]thiosemicarbazide) and their copper complexes, CuHHSB, CuHIN, and CuHTSC were designed, synthesized and analyzed in terms of their spectral characterization and the genotoxic activity. Their structures were established using several methods: elemental analysis, FT-IR, UV-Vis, EPR, and ESI-MS. Spectral data showed that in the acetate complexes the tested Schiff bases act as neutral tridentate ligand coordinating to the copper ion through two oxygen (or oxygen and sulphur) donor atoms and a nitrogen donor atom. EPR measurements indicate that in solution the complexes keep their structures with the ligands remaining bound to copper(II) in a tridentate fashion with (O, N, Oket) or (O, N, S) donor set. The genotoxic activity of the compounds was tested against model tumour (HeLa and Caco-2) and normal (LLC-PK1) cell lines. In HeLa cells the genotoxicity for all tested compounds was noticed, for HHSB and CuHHSB was the highest, for HTSC and CuHTSC–the lowest. Generally, Cu complexes displayed lower genotoxicity to HeLa cells than ligands. In the case of Caco-2 cell line HHSB and HTSC induced the strongest breaks to DNA. On the other side, CuHHSB and CuHTSC induced the highest DNA damage against LLC-PK1. Full article
(This article belongs to the Special Issue Biology and Development of Therapeutic Drugs Targeting DNA)
Show Figures

Figure 1

10 pages, 6297 KB  
Article
Research of Static and Dynamic Properties of Power Semiconductor Diodes at Low and Cryogenic Temperatures
by Mikhail Ostapchuk, Dmitry Shishov, Daniil Shevtsov and Sergey Zanegin
Inventions 2022, 7(4), 96; https://doi.org/10.3390/inventions7040096 - 18 Oct 2022
Cited by 5 | Viewed by 3678
Abstract
Systems with high-temperature superconductors (HTSC) impose new requirements on power conversions, since the main part of the losses in such systems is induced in the semiconductors of the converters. Within the framework of this study, the possibility of improving the static and dynamic [...] Read more.
Systems with high-temperature superconductors (HTSC) impose new requirements on power conversions, since the main part of the losses in such systems is induced in the semiconductors of the converters. Within the framework of this study, the possibility of improving the static and dynamic characteristics of power semiconductor diodes using cryogenic cooling was confirmed; in some cases, a loss reduction of up to 30% was achieved. Full article
(This article belongs to the Special Issue Recent Advances and Challenges in Emerging Power Systems)
Show Figures

Figure 1

20 pages, 3551 KB  
Article
Utilizing an Endogenous Progesterone Receptor Reporter Gene for Drug Screening and Mechanistic Study in Endometrial Cancer
by Yiyang Li, Wei Zhou, Xiangbing Meng, Sarina D. Murray, Long Li, Abby Fronk, Vanessa J. Lazaro-Camp, Kuo-kuang Wen, Meng Wu, Adam Dupuy, Kimberly K. Leslie and Shujie Yang
Cancers 2022, 14(19), 4883; https://doi.org/10.3390/cancers14194883 - 6 Oct 2022
Cited by 6 | Viewed by 3120
Abstract
Expression of progesterone receptor (PR) is a favorable prognostic marker for multiple solid tumors. However, PR expression is reduced or lost in malignant tumors. Thus, monitoring and restoring functional PR expression is important in order to sensitize tumor cells to progesterone therapy in [...] Read more.
Expression of progesterone receptor (PR) is a favorable prognostic marker for multiple solid tumors. However, PR expression is reduced or lost in malignant tumors. Thus, monitoring and restoring functional PR expression is important in order to sensitize tumor cells to progesterone therapy in endometrial cancer. We developed stable PR reporter gene containing endometrial cancer cell lines monitoring the endogenous PR expression by inserting mCherry and hygromycin resistant gene at the endogenous PR gene locus by CRISPR/Cas9-mediated genome editing technique. This allows efficient, real-time monitoring of PR expression in its native epigenetic landscape. Reporter gene expression faithfully reflects and amplifies PR expression following treatment with drugs known to induce PR expression. Small molecular PR inducers have been identified from the FDA-approved 1018 drug library and tested for their ability to restore PR expression. Additionally, several candidate PR repressors have been identified by screening the genome-wide CRISPR knockout (GeCKO) library. This novel endogenous PR reporter gene system facilitates the discovery of a new treatment strategy to enhance PR expression and further sensitize progestin therapy in endometrial cancer. These tools provide a systematic, unbiased approach for monitoring target gene expression, allowing for novel drug discovery and mechanistic exploration. Full article
(This article belongs to the Special Issue At the Interface of Genetics, Epigenetics and Metabolism in Cancer)
Show Figures

Graphical abstract

Back to TopTop