Experimental and Computational Studies on the Interaction of DNA with Hesperetin Schiff Base CuII Complexes
Abstract
1. Introduction
2. Results
2.1. Experimental Studies
2.1.1. Behavior of CuII Complexes in Aqueous Solution
2.1.2. UV–Vis Studies on the DNA Binding
2.1.3. Thiazole Orange (TO) Displacement Assay
2.2. Computational Studies
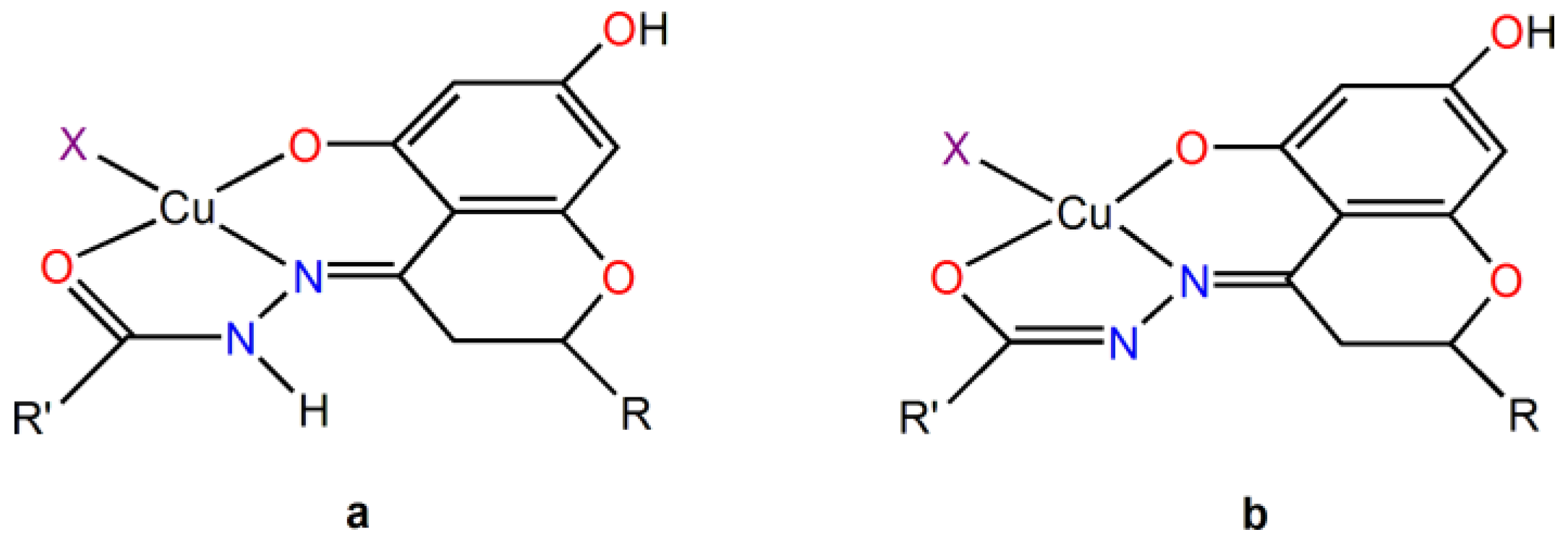
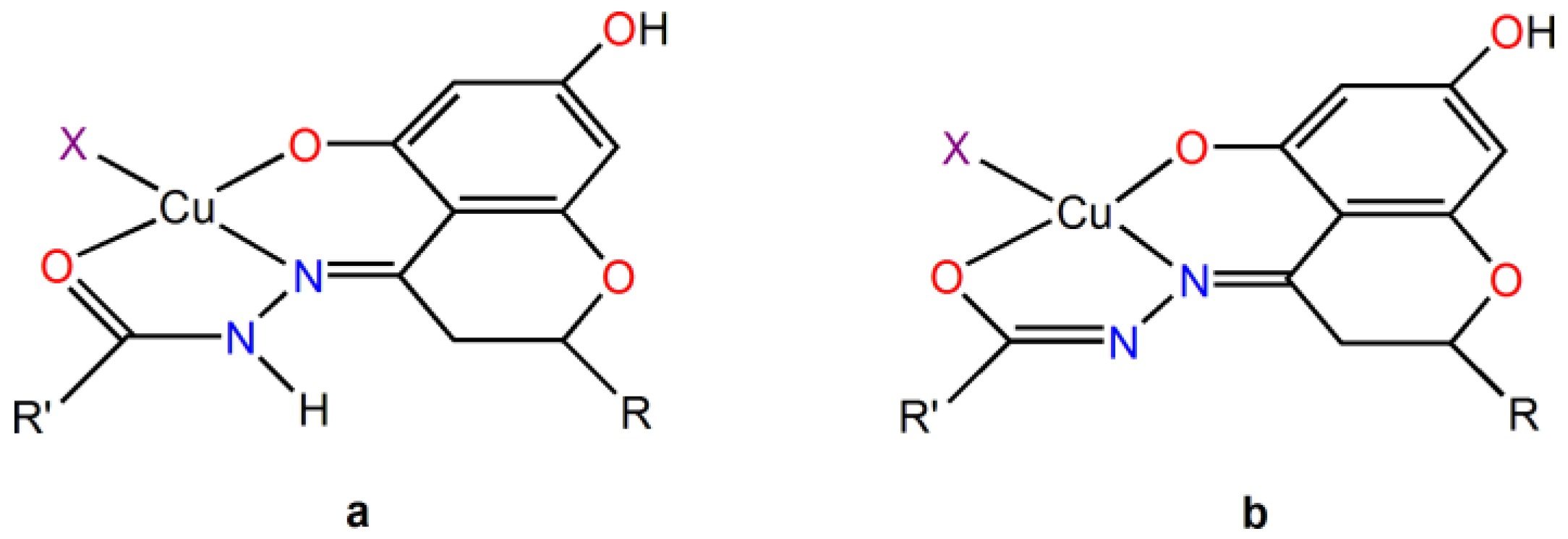
2.2.1. Geometry Optimization and Speciation Analysis of the Copper Complexes
2.2.2. Docking with DNA
3. Materials and Methods
3.1. Synthesis
3.2. Spectroscopic Measurements
3.3. DFT Calculations
3.4. Docking Calculations
4. Conclusions
Supplementary Materials
Author Contributions
Funding
Institutional Review Board Statement
Informed Consent Statement
Data Availability Statement
Conflicts of Interest
References
- Khan, E.; Hanif, M.; Akhtar, M.S. Schiff bases and their metal complexes with biologically compatible metal ions; biological importance, recent trends and future hopes. Rev. Inorg. Chem. 2022, 42, 307–325. [Google Scholar] [CrossRef]
- Sinicropi, M.S.; Ceramella, J.; Iacopetta, D.; Catalano, A.; Mariconda, A.; Rosano, C.; Saturnino, C.; El-Kashef, H.; Longo, P. Metal Complexes with Schiff Bases: Data Collection and Recent Studies on Biological Activities. Int. J. Mol. Sci. 2022, 23, 14840. [Google Scholar] [CrossRef]
- Soroceanu, A.; Bargan, A. Advanced and Biomedical Applications of Schiff-Base Ligands and Their Metal Complexes: A Review. Crystals 2022, 12, 1436. [Google Scholar] [CrossRef]
- Boulechfar, C.; Ferkous, H.; Delimi, A.; Djedouani, A.; Kahlouche, A.; Boublia, A.; Darwish, A.S.; Lemaoui, T.; Verma, R.; Benguerba, Y. Schiff bases and their metal complexes: A review on the history, synthesis, and applications. Inorg. Chem. Commun. 2023, 150, 110451. [Google Scholar] [CrossRef]
- Sandhu, Q.-U.-A.; Pervaiz, M.; Majid, A.; Younas, U.; Saeed, Z.; Ashraf, A.; Khan, R.R.M.; Ullah, S.; Ali, F.; Jelani, S. Schiff base metal complexes as anti-inflammatory agents. J. Coord. Chem. 2023, 76, 1094–1118. [Google Scholar] [CrossRef]
- Singh, A.; Gogoi, H.P.; Barman, P. General Applications of Schiff Bases and Their Metal Complexes. In Schiff Base Metal Complexes: Synthesis and Applications; Wiley-VCH GmbH: Weinheim, Germany, 2023; pp. 119–128. [Google Scholar]
- Singh, P.; Yadav, P.; Kaur Sodhi, K.; Tomer, A.; Bali Mehta, S. Advancement in the synthesis of metal complexes with special emphasis on Schiff base ligands and their important biological aspects. Results Chem. 2024, 7, 101222. [Google Scholar] [CrossRef]
- Thakur, S.; Jaryal, A.; Bhalla, A. Recent advances in biological and medicinal profile of Schiff bases and their metal complexes: An updated version (2018–2023). Results Chem. 2024, 7, 101350. [Google Scholar] [CrossRef]
- Karlin, K.D.; Tyeklár, Z. Bioinorganic Chemistry of Copper; Chapman & Hall, Inc.: New York, NY, USA, 1993. [Google Scholar]
- Festa, R.A.; Thiele, D.J. Copper: An essential metal in biology. Curr. Biol. 2011, 21, R877–R883. [Google Scholar] [CrossRef]
- Maret, W.; Wedd, A. Binding, Transport and Storage of Metal Ions in Biological Cells; The Royal Society of Chemistry: London, UK, 2014. [Google Scholar]
- Rehder, D. Bioinorganic Chemistry; Oxford University Press: Oxford, UK, 2014. [Google Scholar]
- Zoroddu, M.A.; Aaseth, J.; Crisponi, G.; Medici, S.; Peana, M.; Nurchi, V.M. The essential metals for humans: A brief overview. J. Inorg. Biochem. 2019, 195, 120–129. [Google Scholar] [CrossRef]
- Chen, L.; Min, J.; Wang, F. Copper homeostasis and cuproptosis in health and disease. Signal Transduct. Target Ther. 2022, 7, 378. [Google Scholar] [CrossRef]
- Tisato, F.; Marzano, C.; Porchia, M.; Pellei, M.; Santini, C. Copper in diseases and treatments, and copper-based anticancer strategies. Med. Res. Rev. 2010, 30, 708–749. [Google Scholar] [CrossRef]
- Iakovidis, I.; Delimaris, I.; Piperakis, S.M. Copper and Its Complexes in Medicine: A Biochemical Approach. Mol. Biol. Int. 2011, 2021, 594529. [Google Scholar] [CrossRef]
- Santini, C.; Pellei, M.; Gandin, V.; Porchia, M.; Tisato, F.; Marzano, C. Advances in Copper Complexes as Anticancer Agents. Chem. Rev. 2014, 114, 815–862. [Google Scholar] [CrossRef]
- Hussain, A.; AlAjmi, M.F.; Rehman, M.T.; Amir, S.; Husain, F.M.; Alsalme, A.; Siddiqui, M.A.; AlKhedhairy, A.A.; Khan, R.A. Copper(II) complexes as potential anticancer and Nonsteroidal anti-inflammatory agents: In Vitro and In Vivo studies. Sci. Rep. 2019, 9, 5237. [Google Scholar] [CrossRef]
- Kellett, A.; Molphy, Z.; McKee, V.; Slator, C. Recent Advances in Anticancer Copper Compounds. In Metal-Based Anticancer Agents; Casini, A., Vessières, A., Meier-Menches, S.M., Eds.; The Royal Society of Chemistry: Croydon, UK, 2019; pp. 91–119. [Google Scholar]
- Molinaro, C.; Martoriati, A.; Pelinski, L.; Cailliau, K. Copper Complexes as Anticancer Agents Targeting Topoisomerases I and II. Cancers 2020, 12, 2863. [Google Scholar] [CrossRef]
- Gu, Y.-Q.; Zhong, Y.-J.; Hu, M.-Q.; Li, H.-Q.; Yang, K.; Dong, Q.; Liang, H.; Chen, Z.-F. Terpyridine copper(II) complexes as potential anticancer agents by inhibiting cell proliferation, blocking the cell cycle and inducing apoptosis in BEL-7402 cells. Dalton Trans. 2022, 51, 1968–1978. [Google Scholar] [CrossRef]
- Ji, P.; Wang, P.; Chen, H.; Xu, Y.; Ge, J.; Tian, Z.; Yan, Z. Potential of Copper and Copper Compounds for Anticancer Applications. Pharmaceuticals 2023, 16, 234. [Google Scholar] [CrossRef]
- Rani, J.J.; Roy, S. Recent Development of Copper (II) Complexes of Polypyridyl Ligands in Chemotherapy and Photodynamic Therapy. ChemMedChem 2023, 18, e202200652. [Google Scholar] [CrossRef]
- Wang, Y.; Tang, T.; Yuan, Y.; Li, N.; Wang, X.; Guan, J. Copper and Copper Complexes in Tumor Therapy. ChemMedChem 2024, 19, e202400060. [Google Scholar] [CrossRef] [PubMed]
- Abdolmaleki, S.; Aliabadi, A.; Khaksar, S. Unveiling the promising anticancer effect of copper-based compounds: A comprehensive review. J. Cancer Res. Clin. Oncol. 2024, 150, 213. [Google Scholar] [CrossRef] [PubMed]
- da Silva, D.A.; De Luca, A.; Squitti, R.; Rongioletti, M.; Rossi, L.; Machado, C.M.L.; Cerchiaro, G. Copper in tumors and the use of copper-based compounds in cancer treatment. J. Inorg. Biochem. 2022, 226, 111634. [Google Scholar] [CrossRef] [PubMed]
- Peña, Q.; Sciortino, G.; Maréchal, J.-D.; Bertaina, S.; Simaan, A.J.; Lorenzo, J.; Capdevila, M.; Bayón, P.; Iranzo, O.; Palacios, Ò. Copper(II) N,N,O-Chelating Complexes as Potential Anticancer Agents. Inorg. Chem. 2021, 60, 2939–2952. [Google Scholar] [CrossRef] [PubMed]
- Denoyer, D.; Clatworthy, S.A.S.; Cater, M.A. Copper Complexes in Cancer Therapy. In Metallo-Drugs: Development and Action of Anticancer Agents; Sigel, A., Sigel, H., Freisinger, E., Sigel, R.K.O., Eds.; De Gruyter: Berlin, Germany, 2018; pp. 469–506. [Google Scholar]
- Mathuber, M.; Hager, S.; Keppler, B.K.; Heffeter, P.; Kowol, C.R. Liposomal formulations of anticancer copper(II) thiosemicarbazone complexes. Dalton Trans. 2021, 50, 16053–16066. [Google Scholar] [CrossRef] [PubMed]
- Kannappan, V.; Ali, M.; Small, B.; Rajendran, G.; Elzhenni, S.; Taj, H.; Wang, W.; Dou, Q.P. Recent Advances in Repurposing Disulfiram and Disulfiram Derivatives as Copper-Dependent Anticancer Agents. Front. Mol. Biosci. 2021, 8, 741316. [Google Scholar] [CrossRef] [PubMed]
- Hilton, J.B.W.; Kysenius, K.; Liddell, J.R.; Mercer, S.W.; Paul, B.; Beckman, J.S.; McLean, C.A.; White, A.R.; Donnelly, P.S.; Bush, A.I.; et al. Evidence for disrupted copper availability in human spinal cord supports CuII(atsm) as a treatment option for sporadic cases of ALS. Sci. Rep. 2024, 14, 5929. [Google Scholar] [CrossRef] [PubMed]
- Natarajan, A.; Srinivas, S.M.; Azevedo, C.; Greene, L.; Bauchet, A.-L.; Jouannot, E.; Lacoste-Bourgeacq, A.-S.; Guizon, I.; Cohen, P.; Naneix, A.-L.; et al. Two Patient Studies of a Companion Diagnostic Immuno-Positron Emission Tomography (PET) Tracer for Measuring Human CA6 Expression in Cancer for Antibody Drug Conjugate (ADC) Therapy. Mol. Imaging 2020, 19, 1536012120939398. [Google Scholar] [CrossRef] [PubMed]
- Ruiz-Azuara, L. Preparation of New Mixed Copper Aminoacidate Complexes from Phenylate Phenathrolines to Be Used as “Anticancerigenic” Agents. U.S. Patent 07/628,628: Re 35,458, 18 February 1992. [Google Scholar]
- Ruiz-Azuara, L. Process to Obtain New Mixed Copper Aminoacidate Complexes from Phenylatephenanthroline to Be Used as Anticancerigenic Agents. U.S. Patent 07/628,843: RE 35,458, 18 February 1992. [Google Scholar]
- Ruiz-Azuara, L. Copper Amino Acidate Diimine Nitrate Compounds and Their Methyl Derivatives and a Process for Preparing Them. U.S. Patent 5,576,326, 19 November 1996. [Google Scholar]
- Figueroa-DePaz, Y.; Resendiz-Acevedo, K.; Dávila-Manzanilla, S.G.; García-Ramos, J.C.; Ortiz-Frade, L.; Serment-Guerrero, J.; Ruiz-Azuara, L. DNA, a target of mixed chelate copper(II) compounds (Casiopeinas®) studied by electrophoresis, UV–vis and circular dichroism techniques. J. Inorg. Biochem. 2022, 231, 111772. [Google Scholar] [CrossRef]
- Chen, X.; Zhang, X.; Chen, J.; Yang, Q.; Yang, L.; Xu, D.; Zhang, P.; Wang, X.; Liu, J. Hinokitiol copper complex inhibits proteasomal deubiquitination and induces paraptosis-like cell death in human cancer cells. Eur. J. Pharmacol. 2017, 815, 147–155. [Google Scholar] [CrossRef]
- Chen, X.; Dou, Q.P.; Liu, J.; Tang, D. Targeting Ubiquitin–Proteasome System with Copper Complexes for Cancer Therapy. Front. Mol. Biosci. 2021, 8, 649151. [Google Scholar] [CrossRef]
- Qin, Q.-P.; Meng, T.; Tan, M.-X.; Liu, Y.-C.; Luo, X.-J.; Zou, B.-Q.; Liang, H. Synthesis, crystal structure and biological evaluation of a new dasatinib copper(II) complex as telomerase inhibitor. Eur. J. Med. Chem. 2018, 143, 1597–1603. [Google Scholar] [CrossRef]
- Rivera-Guevara, C.; Bravo-Gómez, M.E.; Ruiz-Azuara, L. Chemotherapy and Design of New Antineoplastic Compounds. In Molecular Oncology: Principles and Recent Advances; Camacho, J., Ed.; Bentham: Sharjah, United Arab Emirates, 2012; pp. 172–191. [Google Scholar]
- Fatfat, M.; Merhi, R.A.; Rahal, O.; Stoyanovsky, D.A.; Zaki, A.; Haidar, H.; Kagan, V.E.; Gali-Muhtasib, H.; Machaca, K. Copper chelation selectively kills colon cancer cells through redox cycling and generation of reactive oxygen species. BMC Cancer 2014, 14, 527. [Google Scholar] [CrossRef]
- Becco, L.; García-Ramos, J.C.; Azuara, L.R.; Gambino, D.; Garat, B. Analysis of the DNA Interaction of Copper Compounds Belonging to the Casiopeínas® Antitumoral Series. Biol. Trace Elem. Res. 2014, 161, 210–215. [Google Scholar] [CrossRef] [PubMed]
- Erxleben, A. Interactions of copper complexes with nucleic acids. Coord. Chem. Rev. 2018, 360, 92–121. [Google Scholar] [CrossRef]
- Gianferrara, T.; Bratsos, I.; Alessio, E. A categorization of metal anticancer compounds based on their mode of action. Dalton Trans. 2009, 7588–7598. [Google Scholar] [CrossRef]
- Pages, B.J.; Ang, D.L.; Wright, E.P.; Aldrich-Wright, J.R. Metal complex interactions with DNA. Dalton Trans. 2015, 44, 3505–3526. [Google Scholar] [CrossRef] [PubMed]
- Boros, E.; Dyson, P.J.; Gasser, G. Classification of Metal-Based Drugs according to Their Mechanisms of Action. Chem 2020, 6, 41–60. [Google Scholar] [CrossRef] [PubMed]
- McGivern, T.J.P.; Afsharpour, S.; Marmion, C.J. Copper complexes as artificial DNA metallonucleases: From Sigman’s reagent to next generation anti-cancer agent? Inorg. Chim. Acta 2018, 472, 12–39. [Google Scholar] [CrossRef]
- Gama, S.; Rodrigues, I.; Marques, F.; Palma, E.; Correia, I.; Carvalho, M.F.N.N.; Pessoa, J.C.; Cruz, A.; Mendo, S.; Santos, I.C.; et al. New ternary bipyridine–terpyridine copper(II) complexes as self-activating chemical nucleases. RSC Adv. 2014, 4, 61363–61377. [Google Scholar] [CrossRef]
- Galindo-Murillo, R.; García-Ramos, J.C.; Ruiz-Azuara, L.; Cheatham, T.E., III.; Cortés-Guzmán, F. Intercalation processes of copper complexes in DNA. Nucleic Acids Res. 2015, 43, 5364–5376. [Google Scholar] [CrossRef]
- Sangeetha, S.; Murali, M. Non-covalent DNA binding, protein interaction, DNA cleavage and cytotoxicity of [Cu(quamol)Cl]·H2O. Int. J. Biol. Macromol. 2018, 107, 2501–2511. [Google Scholar] [CrossRef]
- Romo, A.I.B.; Carepo, M.P.; Levín, P.; Nascimento, O.R.; Díaz, D.E.; Rodríguez-López, J.; León, I.E.; Bezerra, L.F.; Lemus, L.; Diógenes, I.C.N. Synergy of DNA intercalation and catalytic activity of a copper complex towards improved polymerase inhibition and cancer cell cytotoxicity. Dalton Trans. 2021, 50, 11931–11940. [Google Scholar] [CrossRef]
- Krasnovskaya, O.; Naumov, A.; Guk, D.; Gorelkin, P.; Erofeev, A.; Beloglazkina, E.; Majouga, A. Copper Coordination Compounds as Biologically Active Agents. Int. J. Mol. Sci. 2020, 21, 3965. [Google Scholar] [CrossRef] [PubMed]
- Maciel-Flores, C.E.; Lozano-Alvarez, J.A.; Bivián-Castro, E.Y. Recently Reported Biological Activities and Action Targets of Pt(II)- and Cu(II)-Based Complexes. Molecules 2024, 29, 1066. [Google Scholar] [CrossRef]
- Bravo-Gómez, M.E.; García-Ramos, J.C.; Gracia-Mora, I.; Ruiz-Azuara, L. Antiproliferative activity and QSAR study of copper(II) mixed chelate [Cu(N–N)(acetylacetonato)]NO3 and [Cu(N–N)(glycinato)]NO3 complexes, (Casiopeínas®). J. Inorg. Biochem. 2009, 103, 299–309. [Google Scholar] [CrossRef]
- Aguilar-Jiménez, Z.; Espinoza-Guillén, A.; Resendiz-Acevedo, K.; Fuentes-Noriega, I.; Mejía, C.; Ruiz-Azuara, L. The Importance of Being Casiopeina as Polypharmacologycal Profile (Mixed Chelate–Copper (II) Complexes and Their In Vitro and In Vivo Activities). Inorganics 2023, 11, 394. [Google Scholar] [CrossRef]
- Rioz-Martínez, A.; Roelfes, G. DNA-based hybrid catalysis. Curr. Opin. Chem. Biol. 2015, 25, 80–87. [Google Scholar] [CrossRef]
- Singh, A.; Gogoi, H.P.; Barman, P. Schiff Base Metal Complexes. In Schiff Base Metal Complexes: Synthesis and Applications; Barman, P., Singh, A., Eds.; Wiley-VCH GmbH: Weinheim, Germany, 2023; pp. 29–36. [Google Scholar]
- More, M.S.; Joshi, P.G.; Mishra, Y.K.; Khanna, P.K. Metal complexes driven from Schiff bases and semicarbazones for biomedical and allied applications: A review. Mater. Today Chem. 2019, 14, 100195. [Google Scholar] [CrossRef] [PubMed]
- Uddin, M.N.; Ahmed, S.S.; Alam, S.M.R. Biomedical applications of Schiff base metal complexes. J. Coord. Chem. 2020, 73, 3109–3149. [Google Scholar] [CrossRef]
- Khan, T.; Zehra, S.; Alvi, A.; Fatima, U.; Lawrence, A.I. Medicinal Utility of Some Schiff Bases and their Complexes with First Transition Series Metals: A Review. Orient. J. Chem. 2021, 37, 1051–1061. [Google Scholar] [CrossRef]
- Raju, S.K.; Settu, A.; Thiyagarajan, A.; Rama, D.; Sekar, P.; Kumar, S. Biological applications of Schiff bases: An overview. GSC Biol. Pharm. Sci. 2022, 21, 203–215. [Google Scholar] [CrossRef]
- Kumari, P.; Choudhary, M.; Kumar, A.; Yadav, P.; Singh, B.; Kataria, R.; Kumar, V. Copper(II) Schiff base complexes: Synthetic and medicinal perspective. Inorg. Chem. Commun. 2023, 158, 111409. [Google Scholar] [CrossRef]
- Mushtaq, I.; Ahmad, M.; Saleem, M.; Ahmed, A. Pharmaceutical significance of Schiff bases: An overview. Future J. Pharm. Sci. 2024, 10, 16. [Google Scholar] [CrossRef]
- Li, Y.; Yang, Z.-y. DNA binding affinity and antioxidative activity of copper(II) and zinc(II) complexes with a novel hesperetin Schiff base ligand. Inorg. Chim. Acta 2009, 362, 4823–4831. [Google Scholar] [CrossRef]
- Lodyga-Chruscinska, E.; Symonowicz, M.; Sykula, A.; Bujacz, A.; Garribba, E.; Rowinska-Zyrek, M.; Oldziej, S.; Klewicka, E.; Janicka, M.; Krolewska, K.; et al. Chelating ability and biological activity of hesperetin Schiff base. J. Inorg. Biochem. 2015, 143, 34–47. [Google Scholar] [CrossRef] [PubMed]
- Sykuła, A.; Nowak, A.; Garribba, E.; Dzeikala, A.; Rowińska-Żyrek, M.; Czerwińska, J.; Maniukiewicz, W.; Łodyga-Chruścińska, E. Spectroscopic Characterization and Biological Activity of Hesperetin Schiff Bases and Their Cu(II) Complexes. Int. J. Mol. Sci. 2023, 24, 761. [Google Scholar] [CrossRef]
- Sykula, A.; Kowalska-Baron, A.; Dzeikala, A.; Bodzioch, A.; Lodyga-Chruscinska, E. An experimental and DFT study on free radical scavenging activity of hesperetin Schiff bases. Chem. Phys. 2019, 517, 91–103. [Google Scholar] [CrossRef]
- Wolfe, A.; Shimer, G.H., Jr.; Meehan, T. Polycyclic aromatic hydrocarbons physically intercalate into duplex regions of denatured DNA. Biochemistry 1987, 26, 6392–6396. [Google Scholar] [CrossRef] [PubMed]
- Pyle, A.M.; Rehmann, J.P.; Meshoyrer, R.; Kumar, C.V.; Turro, N.J.; Barton, J.K. Mixed-ligand complexes of ruthenium(II): Factors governing binding to DNA. J. Am. Chem. Soc. 1989, 111, 3051–3058. [Google Scholar] [CrossRef]
- Chaveerach, U.; Meenongwa, A.; Trongpanich, Y.; Soikum, C.; Chaveerach, P. DNA binding and cleavage behaviors of copper(II) complexes with amidino-O-methylurea and N-methylphenyl-amidino-O-methylurea, and their antibacterial activities. Polyhedron 2010, 29, 731–738. [Google Scholar] [CrossRef]
- Roy, S.; Banerjee, R.; Sarkar, M. Direct binding of Cu(II)-complexes of oxicam NSAIDs with DNA backbone. J. Inorg. Biochem. 2006, 100, 1320–1331. [Google Scholar] [CrossRef]
- Goswami, S.; Ray, S.; Sarkar, M. Spectroscopic studies on the interaction of DNA with the copper complexes of NSAIDs lornoxicam and isoxicam. Int. J. Biol. Macromol. 2016, 93, 47–56. [Google Scholar] [CrossRef]
- Dong, J.; Li, L.; Liu, G.; Xu, T.; Wang, D. Synthesis, crystal structure and DNA-binding properties of a new copper(II) complex with L-valine Schiff base and 1,10-phenanthroline. J. Mol. Struct. 2011, 986, 57–63. [Google Scholar] [CrossRef]
- Li, J.; Dong, J.; Cui, H.; Xu, T.; Li, L. A copper(II) complex of the Schiff base from l-valine and 2-hydroxy-1-naphthalidene plus 1,10-phenanthroline: Synthesis, crystal structure, and DNA interaction. Transit. Met. Chem. 2012, 37, 175–182. [Google Scholar] [CrossRef]
- Tunç, T.; Demirel, N.; Emir, M.; Günel, A.; Çolak, M.; Karacan, N. DNA Binding and Cleavage Activity of Three New Copper(II) Complexes of Chiral N-salicyl-β-amino Alcohol Schiff Bases. J. Mex. Chem. Soc. 2018, 62, 51–66. [Google Scholar] [CrossRef]
- Dimitrakopoulou, A.; Dendrinou-Samara, C.; Pantazaki, A.A.; Alexiou, M.; Nordlander, E.; Kessissoglou, D.P. Synthesis, structure and interactions with DNA of novel tetranuclear, [Mn4(II/II/II/IV)] mixed valence complexes. J. Inorg. Biochem. 2008, 102, 618–628. [Google Scholar] [CrossRef]
- Du, X.; Li, Y.; Xia, Y.-L.; Ai, S.-M.; Liang, J.; Sang, P.; Ji, X.-L.; Liu, S.-Q. Insights into Protein–Ligand Interactions: Mechanisms, Models, and Methods. Int. J. Mol. Sci. 2016, 17, 144. [Google Scholar] [CrossRef]
- Netzel, T.L.; Nafisi, K.; Zhao, M.; Lenhard, J.R.; Johnson, I. Base-Content Dependence of Emission Enhancements, Quantum Yields, and Lifetimes for Cyanine Dyes Bound to Double-Strand DNA: Photophysical Properties of Monomeric and Bichromomphoric DNA Stains. J. Phys. Chem. 1995, 99, 17936–17947. [Google Scholar] [CrossRef]
- Boger, D.L.; Tse, W.C. Thiazole orange as the fluorescent intercalator in a high resolution fid assay for determining DNA binding affinity and sequence selectivity of small molecules. Bioorg. Med. Chem. 2001, 9, 2511–2518. [Google Scholar] [CrossRef] [PubMed]
- Ihmels, H.; Otto, D. Intercalation of Organic Dye Molecules into Double-Stranded DNA—General Principles and Recent Developments. In Supermolecular Dye Chemistry; Würthner, F., Ed.; Springer Berlin Heidelberg: Berlin/Heidelberg, Germany, 2005; Volume 258, pp. 161–204. [Google Scholar]
- Ribeiro, N.; Roy, S.; Butenko, N.; Cavaco, I.; Pinheiro, T.; Alho, I.; Marques, F.; Avecilla, F.; Costa Pessoa, J.; Correia, I. New Cu(II) complexes with pyrazolyl derived Schiff base ligands: Synthesis and biological evaluation. J. Inorg. Biochem. 2017, 174, 63–75. [Google Scholar] [CrossRef]
- Brodowska, K.; Correia, I.; Garribba, E.; Marques, F.; Klewicka, E.; Łodyga-Chruscińska, E.; Costa Pessoa, J.; Dzeikala, A.; Chrusciński, L. Coordination ability and biological activity of a naringenin thiosemicarbazone. J. Inorg. Biochem. 2016, 165, 36–48. [Google Scholar] [CrossRef]
- Bryantsev, V.S.; Diallo, M.S.; Goddard, W.A., III. Calculation of Solvation Free Energies of Charged Solutes Using Mixed Cluster/Continuum Models. J. Phys. Chem. B 2008, 112, 9709–9719. [Google Scholar] [CrossRef] [PubMed]
- Antonow, D.; Barata, T.; Jenkins, T.C.; Parkinson, G.N.; Howard, P.W.; Thurston, D.E.; Zloh, M. Solution Structure of a 2:1 C2-(2-Naphthyl) Pyrrolo[2,1-c][1,4]benzodiazepine DNA Adduct: Molecular Basis for Unexpectedly High DNA Helix Stabilization. Biochemistry 2008, 47, 11818–11829. [Google Scholar] [CrossRef] [PubMed]
- Spielmann, H.P.; Wemmer, D.E.; Jacobsen, J.P. Solution Structure of a DNA Complex with the Fluorescent Bis-Intercalator TOTO Determined by NMR Spectroscopy. Biochemistry 1995, 34, 8542–8553. [Google Scholar] [CrossRef] [PubMed]
- Tamayo, L.V.; Gouvea, L.R.; Sousa, A.C.; Albuquerque, R.M.; Teixeira, S.F.; de Azevedo, R.A.; Louro, S.R.W.; Ferreira, A.K.; Beraldo, H. Copper(II) complexes with naringenin and hesperetin: Cytotoxic activity against A 549 human lung adenocarcinoma cells and investigation on the mode of action. BioMetals 2016, 29, 39–52. [Google Scholar] [CrossRef] [PubMed]
- Krishnamoorthy, P.; Sathyadevi, P.; Cowley, A.H.; Butorac, R.R.; Dharmaraj, N. Evaluation of DNA binding, DNA cleavage, protein binding and in vitro cytotoxic activities of bivalent transition metal hydrazone complexes. Eur. J. Med. Chem. 2011, 46, 3376–3387. [Google Scholar] [CrossRef] [PubMed]
- Brodowska, K.; Sykuła, A.; Garribba, E.; Łodyga-Chruścińska, E.; Sójka, M. Naringenin Schiff base: Antioxidant activity, acid–base profile, and interactions with DNA. Transit. Met. Chem. 2016, 41, 179–189. [Google Scholar] [CrossRef]
- Lakowicz, J.R. Principles of Fluorescence Spectroscopy, 3rd ed.; Springer: New York, NY, USA, 2006. [Google Scholar]
- Frisch, M.J.; Trucks, G.W.; Schlegel, H.B.; Scuseria, G.E.; Robb, M.A.; Cheeseman, J.R.; Scalmani, G.; Barone, V.; Petersson, G.A.; Nakatsuji, H.; et al. Gaussian 16, Revision B.01; Gaussian, Inc.: Wallingford, CT, USA, 2016. [Google Scholar]
- Grimme, S.; Antony, J.; Ehrlich, S.; Krieg, H. A consistent and accurate ab initio parametrization of density functional dispersion correction (DFT-D) for the 94 elements H-Pu. J. Chem. Phys. 2010, 132, 154104. [Google Scholar] [CrossRef] [PubMed]
- Ehlers, A.W.; Böhme, M.; Dapprich, S.; Gobbi, A.; Höllwarth, A.; Jonas, V.; Köhler, K.F.; Stegmann, R.; Veldkamp, A.; Frenking, G. A set of f-polarization functions for pseudo-potential basis sets of the transition metals Sc-Cu, Y-Ag and La-Au. Chem. Phys. Lett. 1993, 208, 111–114. [Google Scholar] [CrossRef]
- Marenich, A.V.; Cramer, C.J.; Truhlar, D.G. Universal Solvation Model Based on Solute Electron Density and on a Continuum Model of the Solvent Defined by the Bulk Dielectric Constant and Atomic Surface Tensions. J. Phys. Chem. B 2009, 113, 6378–6396. [Google Scholar] [CrossRef]
- Weigend, F.; Furche, F.; Ahlrichs, R. Gaussian basis sets of quadruple zeta valence quality for atoms H–Kr. J. Chem. Phys. 2003, 119, 12753–12762. [Google Scholar] [CrossRef]
- Álvarez-Moreno, M.; de Graaf, C.; López, N.; Maseras, F.; Poblet, J.M.; Bo, C. Managing the Computational Chemistry Big Data Problem: The ioChem-BD Platform. J. Chem. Inf. Model. 2015, 55, 95–103. [Google Scholar] [CrossRef] [PubMed]
- Neese, F. ORCA—An Ab Initio, DFT and Semiempirical Program Package, Version 5.0; Max-Planck-Institute for Chemical Energy Conversion: Mülheim, Germany, 2021. [Google Scholar]
- Neese, F. Software update: The ORCA program system—Version 5.0. WIREs Comput. Mol. Sci. 2022, 12, e1606. [Google Scholar] [CrossRef]
- Neese, F.; Wennmohs, F.; Becker, U.; Riplinger, C. The ORCA quantum chemistry program package. J. Chem. Phys. 2020, 152, 224108. [Google Scholar] [CrossRef] [PubMed]
- Perdew, J.P.; Burke, K.; Ernzerhof, M. Generalized Gradient Approximation Made Simple. Phys. Rev. Lett. 1996, 77, 3865–3868, Erratum in Phys. Rev. Lett. 1997, 78, 1396–1396. [Google Scholar] [CrossRef] [PubMed]
- Becke, A.D. Density-functional thermochemistry. III. The role of exact exchange. J. Chem. Phys. 1993, 98, 5648–5652. [Google Scholar] [CrossRef]
- Lee, C.; Yang, W.; Parr, R.G. Development of the Colle-Salvetti correlation-energy formula into a functional of the electron density. Phys. Rev. B 1988, 37, 785–789. [Google Scholar] [CrossRef] [PubMed]
- Sciortino, G.; Lubinu, G.; Maréchal, J.-D.; Garribba, E. DFT Protocol for EPR Prediction of Paramagnetic Cu(II) Complexes and Application to Protein Binding Sites. Magnetochemistry 2018, 4, 55. [Google Scholar] [CrossRef]
- Jones, G.; Willett, P.; Glen, R.C.; Leach, A.R.; Taylor, R. Development and validation of a genetic algorithm for flexible docking. J. Mol. Biol. 1997, 267, 727–748. [Google Scholar] [CrossRef] [PubMed]
- Pettersen, E.F.; Goddard, T.D.; Huang, C.C.; Couch, G.S.; Greenblatt, D.M.; Meng, E.C.; Ferrin, T.E. UCSF Chimera—A visualization system for exploratory research and analysis. J. Comput. Chem. 2004, 25, 1605–1612. [Google Scholar] [CrossRef]
- Sciortino, G.; Sanna, D.; Ugone, V.; Lledós, A.; Maréchal, J.-D.; Garribba, E. Decoding Surface Interaction of VIVO Metallodrug Candidates with Lysozyme. Inorg. Chem. 2018, 57, 4456–4469. [Google Scholar] [CrossRef]
- Sciortino, G.; Sanna, D.; Ugone, V.; Micera, G.; Lledós, A.; Maréchal, J.-D.; Garribba, E. Elucidation of Binding Site and Chiral Specificity of Oxidovanadium Drugs with Lysozyme through Theoretical Calculations. Inorg. Chem. 2017, 56, 12938–12951. [Google Scholar] [CrossRef] [PubMed]
- Scior, T.; Guevara-Garcia, J.A.; Do, Q.T.; Bernard, P.; Laufer, S. Why Antidiabetic Vanadium Complexes are Not in the Pipeline of “Big Pharma” Drug Research? A Critical Review. Curr. Med. Chem. 2016, 23, 2874–2891. [Google Scholar] [CrossRef] [PubMed]











| Compound | Kb 1 | R2 | ∆G° 2 | DSBs 3 | Oxidative DNA Damage (Endo III) 4 | Kapp 1 |
|---|---|---|---|---|---|---|
| HTSC | 4.23 × 106 | 0.994 | −37.8 | 13.5 ± 0.7 | 10.2 ± 2.0 | 3.30 × 105 |
| HHSB | 6.88 × 106 | 0.980 | −39.0 | 23.3 ± 1.0 | 7.5 ± 3.9 | 4.30 × 105 |
| HIN | 3.70 × 106 | 0.991 | −37.5 | 19.5 ± 0.7 | 5.3 ± 3.5 | 7.94 × 105 |
| CuHTSC | 2.25 × 106 | 0.940 | −36.2 | 6.4 ± 2.3 | 11.6 ± 1.9 | 1.60 × 106 |
| CuHHSB | 9.21 × 106 | 0.989 | −39.7 | 14.4 ± 0.7 | 8.3 ± 2.7 | 1.36 × 106 |
| CuHIN | 4.86 × 106 | 0.992 | −38.1 | 7.7 ± 3.6 | 12.2 ± 4.2 | 1.38 × 106 |
| EB 5 | 1.23 × 105 | 6 | −34.7 | 6 | 6 | 6 |
| Compound | KSV 1 | R2 | Quenching 2 | C50% | Kapp 1 |
|---|---|---|---|---|---|
| HESP | (3.63 ± 0.04) × 103 | 0.996 | 83 | 2.56 × 10–4 | 1.17 × 105 |
| HTSC | (1.08 ± 0.07) × 104 | 0.994 | 69 | 9.10 × 10–5 | 3.30 × 105 |
| HHSB | (1.46 ± 0.05) × 104 | 0.983 | 59 | 6.97 × 10–5 | 4.30 × 105 |
| HIN | (2.59 ± 0.07) × 104 | 0.996 | 46 | 3.78 × 10–5 | 7.94 × 105 |
| CuHESP | (7.11 ± 0.05) × 104 | 0.970 | 9 | 1.97 × 10–5 | 1.51 × 106 |
| CuHTSC | (6.01 ± 0.03) × 104 | 0.960 | 5 | 1.87 × 10–5 | 1.60 × 106 |
| CuHHSB | (4.31 ± 0.08) × 104 | 0.996 | 20 | 2.21 × 10–5 | 1.36 × 106 |
| CuHIN | (5.65 ± 0.03) × 104 | 0.992 | 20 | 2.18 × 10–5 | 1.38 × 106 |
| Compound | gzcalcd (gzexptl) 1 | Azcalcd (Azexptl) 1,2 | Error/% 3 |
|---|---|---|---|
| [Cu(L3H2am)(AcO)]aq | 2.204 (2.243) | 187.9 (188.8) | –1.7; –0.5 |
| [Cu(L3H2am)(H2O)]+aq | 2.183 (2.243) | 195.6 (188.8) | –2.7; +3.6 |
| [Cu(L3H2am)(H2O)]+aq | 2.165 (2.243) | 201.7 (188.8) | –3.5; +6.9 |
| [Cu(L3H2-κSam)(AcO)]aq | 2.191 (2.200) | 189.7 (185.0) | –0.4; +2.5 |
| [Cu(L3H2-κSam)(H2O)]+aq | 2.176 (2.200) | 169.2 (185.0) | –1.1; +8.6 |
| Ligand | AcO−/H2O Exchange | Chirality |
|---|---|---|
| L1H3 | L1H3am | (R)-L1H3am |
| (S)-L1H3am | ||
| [Cu(L1H2am)(AcO)] | [Cu((R)-L1H2am)(AcO)] | |
| [Cu((S)-L1H2am)(AcO)] | ||
| [Cu(L1H2am)(H2O)]+ | [Cu((R)-L1H2am)(H2O)]+ | |
| [Cu((S)-L1H2am)(H2O)]+ | ||
| L2H3 | [Cu(L2H2am)(AcO)] | [Cu((R)-L2H2am)(AcO)] |
| [Cu(L2H2am)(H2O)]+ | [Cu((R)-L2H2am)(H2O)]+ | |
| L3H3 | [Cu(L3H2-κSam)(AcO)] | [Cu((R)-L3H2-κSam)(AcO)] |
| [Cu(L3H2-κSam)(H2O)]+ | [Cu((R)-L3H2-κSam)(H2O)]+ | |
| TO | TO | TO |
| Interaction Mode | Ligand | Fmax 1 | Shb_ext 2 | Svdw_ext 3 | Sint 4 | Pop. 5 |
|---|---|---|---|---|---|---|
| Intercalation | [Cu((R)-L2H2am)(AcO)] | 92.7 | 1.3 | 92.0 | −0.6 | 85 |
| Intercalation | [Cu((R)-L1H2am)(AcO)] | 92.4 | 1.7 | 91.0 | −0.3 | 83 |
| Intercalation | [Cu((R)-L1H2am)(H2O)]+ | 89.5 | 0.0 | 89.7 | −0.2 | 94 |
| Intercalation | [Cu((R)-L2H2am)(H2O)]+ | 89.2 | 0.0 | 89.5 | −0.3 | 89 |
| Intercalation | [Cu((S)-L1H2am)(AcO)] | 88.2 | 4.6 | 86.3 | −2.7 | 10 |
| Intercalation | TO | 88.1 | 0.0 | 90.9 | −2.8 | 5 |
| Intercalation | (R)-L1H3 | 88.0 | 0.0 | 88.3 | −0.3 | 51 |
| Intercalation | (S)-L1H3 | 87.0 | 1.7 | 89.5 | −4.3 | 40 |
| Intercalation | [Cu((S)-L1H2am)(H2O)]+ | 84.5 | 0.0 | 87.7 | −3.1 | 12 |
| Intercalation | [Cu((R)-L3H2am)(AcO)] | 83.2 | 0.4 | 83.4 | −0.6 | 2 |
| Minor groove binding | [Cu((S)-L1H2am)(AcO)] | 75.9 | 6.6 | 71.7 | −2.4 | 88 |
| Minor groove binding | [Cu((S)-L1H2am)(H2O)]+ | 75.1 | 2.7 | 74.5 | −2.2 | 2 |
| Intercalation | [Cu((R)-L3H2am)(H2O)]+ | 75.5 | 2.0 | 80.0 | −6.4 | 25 |
| Minor groove binding | [Cu((R)-L3H2am)(AcO)] | 74.5 | 1.8 | 74.7 | −1.9 | 66 |
| Minor groove binding | [Cu((R)-L1H2am)(AcO)] | 72.8 | 7.1 | 73.4 | −7.7 | 83 |
| Minor groove binding | [Cu((R)-L2H2am)(AcO)] | 70.3 | 0.1 | 72.0 | −1.8 | 11 |
| Minor groove binding | [Cu((R)-L1H2am)(H2O)]+ | 70.2 | 0.2 | 72.3 | −2.2 | 42 |
| Minor groove binding | [Cu((R)-L2H2am)(H2O)]+ | 69.0 | 3.5 | 67.7 | −2.2 | 25 |
| Minor groove binding | [Cu((R)-L3H2am)(H2O)]+ | 68.6 | 8.8 | 62.9 | −3.0 | 9 |
Disclaimer/Publisher’s Note: The statements, opinions and data contained in all publications are solely those of the individual author(s) and contributor(s) and not of MDPI and/or the editor(s). MDPI and/or the editor(s) disclaim responsibility for any injury to people or property resulting from any ideas, methods, instructions or products referred to in the content. |
© 2024 by the authors. Licensee MDPI, Basel, Switzerland. This article is an open access article distributed under the terms and conditions of the Creative Commons Attribution (CC BY) license (https://creativecommons.org/licenses/by/4.0/).
Share and Cite
Pisanu, F.; Sykula, A.; Sciortino, G.; Maseras, F.; Lodyga-Chruscinska, E.; Garribba, E. Experimental and Computational Studies on the Interaction of DNA with Hesperetin Schiff Base CuII Complexes. Int. J. Mol. Sci. 2024, 25, 5283. https://doi.org/10.3390/ijms25105283
Pisanu F, Sykula A, Sciortino G, Maseras F, Lodyga-Chruscinska E, Garribba E. Experimental and Computational Studies on the Interaction of DNA with Hesperetin Schiff Base CuII Complexes. International Journal of Molecular Sciences. 2024; 25(10):5283. https://doi.org/10.3390/ijms25105283
Chicago/Turabian StylePisanu, Federico, Anna Sykula, Giuseppe Sciortino, Feliu Maseras, Elzbieta Lodyga-Chruscinska, and Eugenio Garribba. 2024. "Experimental and Computational Studies on the Interaction of DNA with Hesperetin Schiff Base CuII Complexes" International Journal of Molecular Sciences 25, no. 10: 5283. https://doi.org/10.3390/ijms25105283
APA StylePisanu, F., Sykula, A., Sciortino, G., Maseras, F., Lodyga-Chruscinska, E., & Garribba, E. (2024). Experimental and Computational Studies on the Interaction of DNA with Hesperetin Schiff Base CuII Complexes. International Journal of Molecular Sciences, 25(10), 5283. https://doi.org/10.3390/ijms25105283

