Sign in to use this feature.

Years

Between: -

Subjects

remove_circle_outline
remove_circle_outline
remove_circle_outline
remove_circle_outline

Journals

Article Types

Countries / Regions

Search Results (25)

Search Parameters:
Keywords = Gallium sulfide

Order results
Result details
Results per page
Select all
Export citation of selected articles as:
25 pages, 7520 KB  
Review
AgGaS2 and Derivatives: Design, Synthesis, and Optical Properties
by Guansheng Xing and Bing Chen
Nanomaterials 2025, 15(2), 147; https://doi.org/10.3390/nano15020147 - 20 Jan 2025
Cited by 2 | Viewed by 2857
Abstract
Silver gallium sulfide (AgGaS2) is a ternary A(I)B(III)X(VI)2-type semiconductor featuring a direct bandgap and high chemical stability. Structurally resembling diamond, AgGaS2 has gained considerable attention as a highly promising material for nonlinear optical [...] Read more.
Silver gallium sulfide (AgGaS2) is a ternary A(I)B(III)X(VI)2-type semiconductor featuring a direct bandgap and high chemical stability. Structurally resembling diamond, AgGaS2 has gained considerable attention as a highly promising material for nonlinear optical applications such as second harmonic generation and optical parametric oscillation. In attempts to expand the research scope, on the one hand, AgGaS2-derived bulk materials with similar diamond-like configurations have been investigated for the enhancement of nonlinear optics performance, especially the improvement of laser-induced damage thresholds and/or nonlinear coefficients; on the other hand, nanoscale AgGaS2 and its derivatives have been synthesized with sizes as low as the exciton Bohr radius for the realization of potential applications in the fields of optoelectronics and lighting. This review article focuses on recent advancements and future opportunities in the design of both bulk and nanocrystalline AgGaS2 and its derivatives, covering structural, electronic, and chemical aspects. By delving into the properties of AgGaS2 in bulk and nanocrystalline states, this review aims to deepen the understanding of chalcopyrite materials and maximize their utilization in photon conversion and beyond. Full article
(This article belongs to the Special Issue Nonlinear Optics and Ultrafast Lasers in Nanosystems)
Show Figures

Figure 1

11 pages, 3872 KB  
Article
On the Surface Hardening of Zinc Sulfide Windows by Gallium Sulfide
by Hayat Soufiani, Alexandros Kostogiannes, Clara Rivero-Baleine, Kathleen A. Richardson and Romain Gaume
Materials 2024, 17(22), 5622; https://doi.org/10.3390/ma17225622 - 18 Nov 2024
Cited by 1 | Viewed by 1043
Abstract
This study examines the effect of gallium doping on the phase transformation, transmission, and hardness of commercial multispectral-grade ZnS specimens exposed to Ga2S3 vapor. Using secondary ion mass spectrometry, we show that Ga diffusion extends into the subsurface down to [...] Read more.
This study examines the effect of gallium doping on the phase transformation, transmission, and hardness of commercial multispectral-grade ZnS specimens exposed to Ga2S3 vapor. Using secondary ion mass spectrometry, we show that Ga diffusion extends into the subsurface down to several tens of microns. X-ray diffraction patterns reveal minimal to no precipitation of wurtzite, resulting in limited infrared transmission loss after treatment. We report a monotonic increase in Vickers surface microhardness with increasing Ga concentration, reaching values more than double those of untreated windows. Future work will focus on optimizing this process and evaluating its effectiveness in enhancing the durability of ZnS windows under harsh environmental conditions. Full article
(This article belongs to the Section Advanced and Functional Ceramics and Glasses)
Show Figures

Graphical abstract

18 pages, 1222 KB  
Article
Computational Optimization for CdS/CIGS/GaAs Layered Solar Cell Architecture
by Satyam Bhatti, Habib Ullah Manzoor, Ahmed Zoha and Rami Ghannam
Energies 2024, 17(18), 4758; https://doi.org/10.3390/en17184758 - 23 Sep 2024
Cited by 4 | Viewed by 2428
Abstract
Multi-junction solar cells are vital in developing reliable, green, sustainable solar cells. Consequently, the computational optimization of solar cell architecture has the potential to profoundly expedite the process of discovering high-efficiency solar cells. Copper indium gallium selenide (CIGS)-based solar cells exhibit substantial performance [...] Read more.
Multi-junction solar cells are vital in developing reliable, green, sustainable solar cells. Consequently, the computational optimization of solar cell architecture has the potential to profoundly expedite the process of discovering high-efficiency solar cells. Copper indium gallium selenide (CIGS)-based solar cells exhibit substantial performance compared to those utilizing cadmium sulfide (CdS). Likewise, CIGS-based devices are more efficient according to their device performance, environmentally benign nature, and thus, reduced cost. Therefore, the paper introduces an optimization process of three-layered n-CdS/p-CIGS/p-GaAs (NPP)) solar cell architecture based on thickness and carrier charge density. An in-depth investigation of the numerical analysis for homojunction PPN-junction with the ’GaAs’ layer structure along with n-ZnO front contact was simulated using the Solar Cells Capacitance Simulator (SCAPS-1D) software. Subsequently, various computational optimization techniques for evaluating the effect of the thickness and the carrier density on the performance of the PPN layer on solar cell architecture were examined. The electronic characteristics by adding the GaAs layer on the top of the conventional (PN) junction further led to optimized values of the power conversion efficiency (PCE), open-circuit voltage (VOC), fill factor (FF), and short-circuit current density (JSC) of the solar cell. Lastly, the paper concludes by highlighting the most promising results of our study, showcasing the impact of adding the GaAs layer. Hence, using the optimized values from the analysis, thickness of 5 (μm) and carrier density of 1×1020 (1/cm) resulted in the maximum PCE, VOC, FF, and JSC of 45.7%, 1.16 V, 89.52%, and 43.88 (mA/m2), respectively, for the proposed solar cell architecture. The outcomes of the study aim to pave the path for highly efficient, optimized, and robust multi-junction solar cells. Full article
(This article belongs to the Special Issue Advances in High-Performance Perovskite Solar Cells)
Show Figures

Figure 1

15 pages, 5898 KB  
Article
Metamaterial Broadband Absorber Induced by Synergistic Regulation of Temperature and Electric Field and Its Optical Switching Application
by Rundong Yang, Yun Liu and Xiangfu Wang
Sensors 2024, 24(16), 5430; https://doi.org/10.3390/s24165430 - 22 Aug 2024
Cited by 2 | Viewed by 1997
Abstract
Nowadays, metamaterial absorbers still suffer from limited bandwidth, poor bandwidth scalability, and insufficient modulation depth. In order to solve this series of problems, we propose a metamaterial absorber based on graphene, VO2, gallium silver sulfide, and gold-silver alloy composites with dual-control [...] Read more.
Nowadays, metamaterial absorbers still suffer from limited bandwidth, poor bandwidth scalability, and insufficient modulation depth. In order to solve this series of problems, we propose a metamaterial absorber based on graphene, VO2, gallium silver sulfide, and gold-silver alloy composites with dual-control modulation of temperature and electric field. Then we further investigate the optical switching performance of this absorber in this work. Our proposed metamaterial absorber has the advantages of broad absorption bandwidth, sufficient modulation depth, and good bandwidth scalability all together. Unlike the single inspired layer of previous designs, we innovatively adopted a multi-layer excitation structure, which can realize the purpose of absorption and bandwidth width regulation by a variety of means. Combined with the finite element analysis method, our proposed metamaterial absorber has excellent bandwidth scalability, which can be tuned from 2.7 THz bandwidth to 12.1 THz bandwidth by external electrothermal excitation. Meanwhile, the metamaterial absorber can also dynamically modulate the absorption from 3.8% to 99.8% at a wide incidence angle over the entire range of polarization angles, suggesting important potential applications in the field of optical switching in the terahertz range. Full article
(This article belongs to the Section Sensor Materials)
Show Figures

Figure 1

14 pages, 4232 KB  
Article
Modes of Occurrence, Migration, and Evolution Pathways of Lithium and Gallium during Combustion of an Al-Rich Coal, Inner Mongolia, China
by Lili Feng, Kaixuan Bian, Kailong Zhang, Jiawei Geng, Yanmin Zheng and Xiao Li
Minerals 2024, 14(8), 771; https://doi.org/10.3390/min14080771 - 29 Jul 2024
Cited by 3 | Viewed by 1535
Abstract
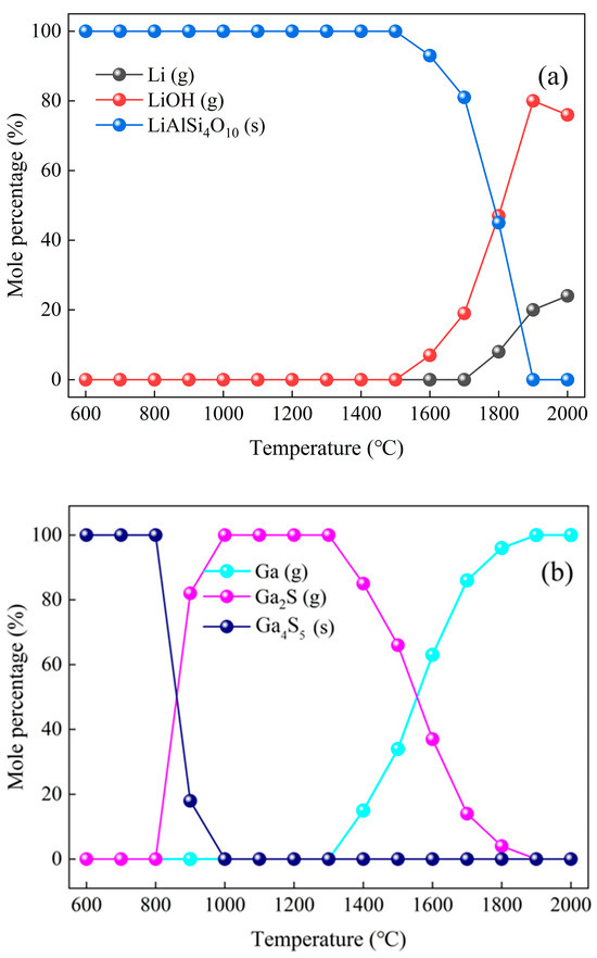
The modes of occurrence, migration, and evolution pathways of lithium (Li) and gallium (Ga) during combustion of an Al-rich coal from Inner Mongolia, China, were investigated using methods of simulated combustion experiments, the sequential chemical extraction procedure (SCEP), and the thermodynamic equilibrium calculation. [...] Read more.
The modes of occurrence, migration, and evolution pathways of lithium (Li) and gallium (Ga) during combustion of an Al-rich coal from Inner Mongolia, China, were investigated using methods of simulated combustion experiments, the sequential chemical extraction procedure (SCEP), and the thermodynamic equilibrium calculation. Mineralogical and chemical compositions of the feed coal and combustion ash were analyzed by X-ray fluorescence (XRF), X-ray diffraction (XRD), inductively coupled plasma mass spectrometry (ICP-MS), and scanning electron microscopy (SEM). The study reveals that Li and Ga are significantly enriched in the ash after combustion, with the contents reaching up to 1086 μg/g and 133 μg/g, respectively. The primary modes of occurrence of Li and Ga in the ash are quartz and aluminosilicates, and sulfides, respectively. Li, in the form of LiAlSi4O10 (s), primarily occurs in hematite, glass, and quartz below 800 °C. However, it migrates into the glass phase, mullite, and quartz above 1000 °C. On the other hand, Ga exists as Ga4S5 (s) and transforms into Ga2S (g) as the temperature rises from 800 °C to 1000 °C, maintaining this gaseous form until 1200 °C. Ga4S5 (s) predominantly occurs in the glass phase at 600 °C, whereas mullite and quartz become its dominant modes of occurrence in industrial combustion ashes and ashes obtained from simulated combustion above 600 °C. Full article
Show Figures

Figure 1

16 pages, 14954 KB  
Article
Experimental Investigation on Gallium and Germanium Migration in Coal Gangue Combustion
by Feitan Wu, Benjun Zhou and Chuncai Zhou
Minerals 2024, 14(5), 476; https://doi.org/10.3390/min14050476 - 29 Apr 2024
Cited by 9 | Viewed by 2461
Abstract
Gallium (Ga) and germanium (Ge) critical elements have a wide range of applications and market value. Extracting critical elements from coal gangue and combustion products can alleviate pressures on primary mining resources. Understanding the transformation behavior of Ga and Ge during coal gangue [...] Read more.
Gallium (Ga) and germanium (Ge) critical elements have a wide range of applications and market value. Extracting critical elements from coal gangue and combustion products can alleviate pressures on primary mining resources. Understanding the transformation behavior of Ga and Ge during coal gangue combustion processes is significant for resource utilization and environmental protection. Coal gangue from Xing’an League, Inner Mongolia, was chosen to explore how combustion temperatures (600 °C to 1000 °C) and particle sizes (50, 80, 10, 140, and 200 mesh) influence Ga and Ge migration during combustion. Techniques such as ICP-MS, XRD, XRF, SEM, TG-DSC, and sequential chemical extraction were employed to analyze the transformation of minerals and to quantify the contents and occurrence forms of Ga and Ge. Smaller gangue particle sizes were associated with higher concentrations of Ga and Ge. Approximately 99.19% of Ga and Ge in coal gangue were found in the residual, organic/sulfide-bound, and metal-oxide-bound modes. High temperatures promoted element volatilization and changed the reactions and interactions between elements and minerals. As combustion temperatures rose from 600 °C to 1000 °C, Ga and Ge contents in the products declined progressively. Under high temperatures, minerals like kaolinite, illite, and pyrite in gangue converted to silicate glass phases, mullite, and hematite. Minerals like kaolinite, calcite, and pyrite melted, leading to increased cohesion and agglomeration in the products. Over 90% of Ga and Ge in the combustion products existed in the residual, organic/sulfide-bound, and metal-oxide-bound forms. Moreover, Ga was enriched in combustion products, with its content exceeding critical extraction levels. The results may provide a useful reference for developing critical elements enrichment, extraction, and separation technologies from coal gangue. Full article
Show Figures

Graphical abstract

18 pages, 4461 KB  
Article
Thickness Nanoarchitectonics with Edge-Enhanced Raman, Polarization Raman, Optoelectronic Properties of GaS Nanosheets Devices
by Fang Zhou, Yujing Zhao, Feiya Fu, Li Liu and Zhixin Luo
Crystals 2023, 13(10), 1506; https://doi.org/10.3390/cryst13101506 - 17 Oct 2023
Cited by 8 | Viewed by 2062
Abstract
Here, we report on using chemical vapor deposition to generate three kinds of gallium sulfide nanosheets, with thicknesses of approximately 10, 40, and 170 nm. Next, we performed Raman imaging analysis on these nanosheets to evaluate their properties. The 10 nm GaS nanosheets [...] Read more.
Here, we report on using chemical vapor deposition to generate three kinds of gallium sulfide nanosheets, with thicknesses of approximately 10, 40, and 170 nm. Next, we performed Raman imaging analysis on these nanosheets to evaluate their properties. The 10 nm GaS nanosheets exhibited a nearly equal distribution of Raman imaging intensity, whereas the 40 and 170 nm GaS nanosheets exhibited an inclination toward the edges with higher Raman intensity. When the polarization of the laser was changed, the intensity of Raman imaging of the 10 nm thick GaS nanosheets remained consistent when illuminated with a 532 nm laser. Notably, a greater Raman intensity was discernible at the edges of the 40 and 170 nm GaS nanosheets. Three distinct GaS nanosheet devices with different film thicknesses were fabricated, and their photocurrents were recorded. The devices were exposed to light of 455 nm wavelength. The GaS nanosheet devices with film thicknesses of 40 and 170 nm exhibited a positive photoresponse even though the photocurrents were fairly low. In contrast, the GaS nanosheet device with a film thickness of 10 nm had a considerable current without light, even though it had a weak reaction to light. This study reveals the different spatial patterns of Raman imaging with GaS thickness, the wavelength of excitation light, and polarization. Remarkably, the I-V diagram revealed a higher dark-field current of 800 nA in the device with a GaS nanosheet thickness of approximately 10 nm, when using a voltage of 1.5 V and a laser of 445 nm wavelength. These findings are comparable with those theretical pretictions in the existing literature. In conclusion, the observation above could serve as a catalyst for future exploration into photocatalysis, electrochemical hydrogen production through water splitting, energy storage, nonlinear optics, gas sensing, and ultraviolet selective photodetectors of GaS nanosheet-based photodetectors. Full article
(This article belongs to the Special Issue Raman Scattering in Optical Crystals (Volume II))
Show Figures

Figure 1

17 pages, 8571 KB  
Article
Electronic and Optical Properties of Finite Gallium Sulfide Nano Ribbons: A First-Principles Study
by Omar H. Abd-Elkader, Hazem Abdelsalam, Mahmoud A. S. Sakr, Nahed H. Teleb and Qinfang Zhang
Crystals 2023, 13(8), 1215; https://doi.org/10.3390/cryst13081215 - 5 Aug 2023
Cited by 7 | Viewed by 2279
Abstract
The electronic and optical properties of finite GaS nanoribbons are investigated using density functional theory calculations. The effect of size, edge termination, and chemical modification by doping and edge passivation are taken into account. The dynamical stability is confirmed by the positive vibration [...] Read more.
The electronic and optical properties of finite GaS nanoribbons are investigated using density functional theory calculations. The effect of size, edge termination, and chemical modification by doping and edge passivation are taken into account. The dynamical stability is confirmed by the positive vibration frequency from infrared spectra; further, the positive binding energies ensure the stable formation of the considered nanoribbons. Accurate control of the energy gap has been achieved. For instance, in armchair nanoribbons, energy gaps ranging from ~ 1 to 4 eV were obtained in varying sizes. Moreover, the energy gap can be increased by up to 5.98 eV through edge passivation with F-atoms or decreased to 0.98 eV through doping with Si-atoms. The density of states shows that the occupied molecular orbitals are dominated by S-atoms orbitals, while unoccupied ones are mostly contributed to by Ga orbitals. Thus, S-atoms will be the electron donor sites, and Ga-atoms will be the electron acceptors in the interactions that the nanoribbons might undergo. The nature of electron–hole interactions in the excited states was investigated using various indices, such as electron–hole overlapping, charge–transfer length, and hole–electron Coulomb attraction energy. The UV-Vis absorption spectra reveal a redshift by increasing the size in the armchair or the zigzag directions. Chemical functionalization shows a significant influence on the absorption spectra, where a redshift or blueshift can be achieved depending on the dopant or the attached element. Full article
(This article belongs to the Special Issue Crystalline Magnetic Compounds)
Show Figures

Figure 1

14 pages, 8998 KB  
Article
2D Gallium Sulfide-Based 1D Photonic Crystal Biosensor for Glucose Concentration Detection
by Abdelkader Abderrahmane, Khaled Senouci, Belkacem Hachemi and Pil Ju Ko
Materials 2023, 16(13), 4621; https://doi.org/10.3390/ma16134621 - 27 Jun 2023
Cited by 15 | Viewed by 2886
Abstract
Unidimensional photonic crystal-based biosensors have gained much attention in the area of blood glucose measurement. In this paper, we propose two novel designs based on two-dimensional (2D) Van der Waals materials. The first 1D photonic crystal design consists of multilayers of 2D gallium [...] Read more.
Unidimensional photonic crystal-based biosensors have gained much attention in the area of blood glucose measurement. In this paper, we propose two novel designs based on two-dimensional (2D) Van der Waals materials. The first 1D photonic crystal design consists of multilayers of 2D gallium sulfide and 2D muscovite mica [GaS/Mica]ND[GaS/Mica]N, and the second design consists of multilayers of 2D gallium sulfide [GaS/G]ND[GaS/G]N. We conducted a numerical analysis using the transfer matrix method to investigate the properties of photonic crystals, both with and without defect layers, in order to assess their suitability for biosensing applications. The biosensors’ performances were investigated as a function of glucose concentration, revealing a high sensitivity of 832 nm/RIU, a notable figure-of-merit of 1.46 × 105 RIU−1, a Q-factor exceeding 105, and a minimum limit of detection of 3.4 × 10−7 RIU. Finally, we modified the [GaS/G]ND[GaS/G]Nstructure in order to enhance the sensitivity nearly 5-fold. The proposed biosensors offer the advantage of being label-free, making them promising platforms for the sensitive and reliable detection of blood glucose levels. Full article
Show Figures

Figure 1

16 pages, 6545 KB  
Article
Intercalation of p-Aminopyridine and p-Ethylenediamine Molecules into Orthorhombic In1.2Ga0.8S3 Single Crystals
by Aysel B. Rahimli, Imamaddin R. Amiraslanov, Zakir A. Jahangirli, Naila H. Aliyeva, Pascal Boulet, Marie-Christine Record and Ziya S. Aliev
Materials 2023, 16(6), 2368; https://doi.org/10.3390/ma16062368 - 15 Mar 2023
Cited by 3 | Viewed by 2321
Abstract
A single crystalline layered semiconductor In1.2Ga0.8S3 phase was grown, and by intercalating p-aminopyridine (NH2-C5H4N or p-AP) molecules into this crystal, a new intercalation compound, In1.2Ga0.8S3·0.5(NH2 [...] Read more.
A single crystalline layered semiconductor In1.2Ga0.8S3 phase was grown, and by intercalating p-aminopyridine (NH2-C5H4N or p-AP) molecules into this crystal, a new intercalation compound, In1.2Ga0.8S3·0.5(NH2-C5H4N), was synthesized. Further, by substituting p-AP molecules with p-ethylenediamine (NH2-CH2-CH2-NH2 or p-EDA) in this intercalation compound, another new intercalated compound—In1.2Ga0.8S3·0.5(NH2-CH2-CH2-NH2) was synthesized. It was found that the single crystallinity of the initial In1.2Ga0.8S3 samples was retained after their intercalation despite a strong deterioration in quality. The thermal peculiarities of both the intercalation and deintercalation of the title crystal were determined. Furthermore, the unit cell parameters of the intercalation compounds were determined from X-ray diffraction data (XRD). It was found that increasing the c parameter corresponded to the dimension of the intercalated molecule. In addition to the intercalation phases’ experimental characterization, the lattice dynamical properties and the electronic and bonding features of the stoichiometric GaInS3 were calculated using the Density Functional Theory within the Generalized Gradient Approximations (DFT-GGA). Nine Raman-active modes were observed and identified for this compound. The electronic gap was found to be an indirect one and the topological analysis of the electron density revealed that the interlayer bonding is rather weak, thus enabling the intercalation of organic molecules. Full article
(This article belongs to the Section Materials Chemistry)
Show Figures

Figure 1

14 pages, 2968 KB  
Article
Investigation of High-Efficiency and Stable Carbon-Perovskite/Silicon and Carbon-Perovskite/CIGS-GeTe Tandem Solar Cells
by Ahmed Saeed, Mostafa M. Salah, Abdelhalim Zekry, Mohamed Mousa, Ahmed Shaker, Mohamed Abouelatta, Fathy Z. Amer, Roaa I. Mubarak and Dalia S. Louis
Energies 2023, 16(4), 1676; https://doi.org/10.3390/en16041676 - 8 Feb 2023
Cited by 22 | Viewed by 4895
Abstract
The primary purpose of recent research on solar cells is to achieve a higher power conversion efficiency with stable characteristics. To push the developments of photovoltaic (PV) technology, tandem solar cells are being intensively researched, as they have higher power conversion efficiency (PCE) [...] Read more.
The primary purpose of recent research on solar cells is to achieve a higher power conversion efficiency with stable characteristics. To push the developments of photovoltaic (PV) technology, tandem solar cells are being intensively researched, as they have higher power conversion efficiency (PCE) than single-junction cells. Perovskite solar cells (PSCs) are recently used as a top cell of tandem solar cells thanks to their tunable energy gap, high short circuit current, and low cost of fabrication. One of the main challenges in PSCs cells is the stability issue. Carbon perovskite solar cells (CPSCs) without a hole transport material (HTM) presented a promising solution for PSCs’ stability. The two-terminal monolithic tandem solar cells demonstrate the commercial tandem cells market. Consequently, all the proposed tandem solar cells in this paper are equivalent to two-terminal monolithic tandem devices. In this work, two two-terminal tandem solar cells are proposed and investigated using the SCAPS-1D device simulator. Carbon perovskite solar cell (CPSC) without hole transport material (HTM) is used as the top cell with a new proposed gradient doping in the perovskite layer. This proposal has led to a substantial enhancement of the stability issue known to be present in carbon perovskite cells. Moreover, a higher PCE, exceeding 22%, has been attained for the proposed CPSC. Two bottom cells are examined, Si and CIGS-GeTe solar cells. The suggested CPSC/Si and CPSC/CIGS-GeTe tandem solar cells have the advantage of having just two junctions, which reduces the complexity and cost of solar cells. The performance parameters are found to be improved. In specific, the PCEs of the two proposed cells are 19.89% and 24.69%, respectively. Full article
(This article belongs to the Section A2: Solar Energy and Photovoltaic Systems)
Show Figures

Figure 1

13 pages, 5355 KB  
Article
Growth and Liquid-Phase Exfoliation of GaSe1−xSx Crystals
by Madi Aitzhanov, Nazim Guseinov, Renata Nemkayeva, Yerulan Sagidolda, Zhandos Tolepov, Oleg Prikhodko and Yerzhan Mukhametkarimov
Materials 2022, 15(20), 7080; https://doi.org/10.3390/ma15207080 - 12 Oct 2022
Cited by 7 | Viewed by 2333
Abstract
In recent years, interest in the liquid-phase exfoliation (LPE) of layered crystals has been growing due to the efficiency and scalability of the method, as well as the wide range of practical applications of the obtained dispersions based on two-dimensional flakes. In this [...] Read more.
In recent years, interest in the liquid-phase exfoliation (LPE) of layered crystals has been growing due to the efficiency and scalability of the method, as well as the wide range of practical applications of the obtained dispersions based on two-dimensional flakes. In this paper, we present a comparative study of as-grown and liquid-phase exfoliated GaSe1−xSx flakes. Bulk GaSe1−xSx crystals with x ~ 0, 0.25, 0.5, 0.75, 1 were synthesized by melting stoichiometric amounts of gallium, selenium, and sulfur particles in evacuated ampoules. X-ray diffraction analysis showed that the crystal structure does not change considerably after LPE, while the analysis of the Raman spectra revealed that, after liquid-phase processing in IPA, an additional peak associated with amorphous selenium is observed in selenium-rich GaSeS compounds. Nevertheless, the direct and indirect transition energies determined from the Kubelka-Munk function for LPE crystals correlate with the band gap of the as-grown bulk GaSeS crystals. This finding is also confirmed by comparison with the data on the positions of the photoluminescence peak. Full article
(This article belongs to the Topic Advances and Applications of 2D Materials, 2nd Volume)
Show Figures

Figure 1

16 pages, 2852 KB  
Article
Investigation of Electron Transport Material-Free Perovskite/CIGS Tandem Solar Cell
by Mostafa M. Salah, Abdelhalim Zekry, Ahmed Shaker, Mohamed Abouelatta, Mohamed Mousa and Ahmed Saeed
Energies 2022, 15(17), 6326; https://doi.org/10.3390/en15176326 - 30 Aug 2022
Cited by 22 | Viewed by 3870
Abstract
Tandem solar cells have a superb potential to push the power conversion efficiency (PCE) of photovoltaic technologies. They can be also more stable and economical. In this simulation work, an efficient perovskite solar cell (PSC) with Spiro-OMeTAD as a hole transport material (HTM) [...] Read more.
Tandem solar cells have a superb potential to push the power conversion efficiency (PCE) of photovoltaic technologies. They can be also more stable and economical. In this simulation work, an efficient perovskite solar cell (PSC) with Spiro-OMeTAD as a hole transport material (HTM) and with no electron transport material (ETM) to replace the traditional PSC structure is presented. This PSC is then used as a top sub cell together with a copper indium gallium sulfide (CIGS) bottom sub cell to build a tandem cell. The multi-junction solar cell behavior is improved by engineering the technological and physical parameters of the perovskite and HTM. The results show that an n-p heterojunction PSC structure with an ETM free could be a good candidate for the traditional n-i-p structure. Because of such investigations, the performance of the proposed ETM-free PSC/CIGS cell could be designed to reach a PCE as high as 35.36%. Full article
(This article belongs to the Special Issue Modeling and Simulation of Solar Cells)
Show Figures

Figure 1

16 pages, 2283 KB  
Article
Modes of Occurrence and Enrichment of Trace Elements in Coal from the Anjialing Mine, Pingshuo Mining District, Ningwu Coalfield, Shanxi Province, China
by Tobechukwu Justin Ikeh, Beilei Sun, Chao Liu, Yunxia Liu, Yanlei Kong and Xinyu Pan
Minerals 2022, 12(9), 1082; https://doi.org/10.3390/min12091082 - 26 Aug 2022
Cited by 14 | Viewed by 3377
Abstract
In this paper, the mineralogical composition, concentrations, distribution, and modes of occurrence of the trace elements in coal from the Anjialing coal seam 9 in the Pingshuo mining district, Ningwu coalfield, were studied using optical microscopy, X-ray powder diffraction (XRD), inductively coupled plasma [...] Read more.
In this paper, the mineralogical composition, concentrations, distribution, and modes of occurrence of the trace elements in coal from the Anjialing coal seam 9 in the Pingshuo mining district, Ningwu coalfield, were studied using optical microscopy, X-ray powder diffraction (XRD), inductively coupled plasma optical emission spectrometry (ICP-OES), inductively coupled plasma mass spectrometry (ICP-MS), and sequential chemical extraction procedures (SCEPs). The identified minerals included mainly kaolinite, boehmite, pyrite, calcite, quartz, and muscovite. Compared to other hard coal from around the world, the coal from seam 9 was enriched with lithium (Li); slightly enriched with gallium (Ga), hafnium (Hf), zirconium (Zr), and mercury (Hg); typically enriched with lead (Pb), and depleted in arsenic (As). The results of the SCEPs analysis showed that Li, Ga, Zr, and Hf were mainly associated with clay minerals. Arsenic mainly occurred in its silicate and sulfide forms in pyrite and Pb was mainly associated with aluminosilicate, sulfide, and carbonate minerals. Full article
(This article belongs to the Special Issue Coal: Chemical, Geochemical and Petrographical Aspects)
Show Figures

Figure 1

10 pages, 1887 KB  
Communication
Photo-Writable Sulfide Glasses Used to Fabricate Core-Clad Fiber Doped with Pr3+ for Mid-IR Luminescence
by Julie Carcreff, Virginie Nazabal, Johann Troles, Catherine Boussard-Plédel, Pascal Masselin, Florent Starecki, Alain Braud, Patrice Camy and David Le Coq
Photonics 2022, 9(8), 549; https://doi.org/10.3390/photonics9080549 - 5 Aug 2022
Viewed by 2267
Abstract
With the ultimate goal of developing rare-earth doped chalcogenide fiber fabrication for sensing, amplification, and laser applications, a core/clad germanium-gallium sulfide fiber doped with Pr3+ has been fabricated. The compositions of the core and the clad were selected to ensure the positive [...] Read more.
With the ultimate goal of developing rare-earth doped chalcogenide fiber fabrication for sensing, amplification, and laser applications, a core/clad germanium-gallium sulfide fiber doped with Pr3+ has been fabricated. The compositions of the core and the clad were selected to ensure the positive ∆n by adding CdI2 and CsCl, respectively, in the GeS2-Ga2S3 matrix. The choice of these compositions was also justified from experimental parameters, including characteristic temperatures and viscosity. Moreover, the permanent photo writability of the sulfide glass family by a femtosecond laser is investigated from the perspective of Bragg grating photo-inscription. Structural investigations by Raman spectroscopy are presented and the effect of the Pr3+ rare-earth ion on the structure is underlined. Finally, the emission of the step-index fiber, made by the rod-in-tube technique between 3.1 µm and 5.5 µm (by pumping at 1.55 µm), is demonstrated. Full article
(This article belongs to the Special Issue Rare-Earth-Doped Fiber Lasers and Amplifiers)
Show Figures

Figure 1

Back to TopTop