Sign in to use this feature.

Years

Between: -

Subjects

remove_circle_outline
remove_circle_outline
remove_circle_outline
remove_circle_outline
remove_circle_outline
remove_circle_outline
remove_circle_outline
remove_circle_outline

Journals

Article Types

Countries / Regions

Search Results (127)

Search Parameters:
Keywords = GPS-Free Positioning

Order results
Result details
Results per page
Select all
Export citation of selected articles as:
28 pages, 82399 KB  
Article
Assessment of Smartphone GNSS Measurements in Tightly Coupled Visual Inertial Navigation
by Mehmet Fikret Ocal, Murat Durmaz, Engin Tunali and Hasan Yildiz
Appl. Sci. 2025, 15(23), 12796; https://doi.org/10.3390/app152312796 - 3 Dec 2025
Viewed by 2228
Abstract
Precise, seamless, and high-rate navigation remains a major challenge, particularly when relying on low-cost sensors. With the decreasing cost of cameras, Inertial Measurement Units (IMUs), and Global Navigation Satellite System (GNSS) receivers, tightly coupled fusion frameworks, such as GVINS, have gained considerable attention. [...] Read more.
Precise, seamless, and high-rate navigation remains a major challenge, particularly when relying on low-cost sensors. With the decreasing cost of cameras, Inertial Measurement Units (IMUs), and Global Navigation Satellite System (GNSS) receivers, tightly coupled fusion frameworks, such as GVINS, have gained considerable attention. GVINS is an optimization-based factor-graph framework that integrates visual and inertial measurements with single-frequency GNSS-code pseudorange observations to provide robust and drift-free navigation. This study aimed to evaluate the potential of applying GVINS to low-cost, low-power, and single-frequency GNSS receivers, particularly those embedded in smartphones, by integrating 1 Hz GNSS measurements collected in three challenging urban scenarios into the GVINS framework to produce seamless 10 Hz positioning estimates. The experiments were conducted using an Xsens MTi-1 IMU and global-shutter (GS) cameras, as well as a Samsung A51 smartphone and a u-blox ZED-F9P GNSS receiver. GVINS was modified to process 1 Hz GNSS measurements. Differential corrections from a nearby GNSS reference station were also incorporated to assess their impact on optimization-based filters, such as GVINS. The performance of GVINS and Differential GVINS (D-GVINS) solutions using smartphone measurements was compared against standard point positioning (SPP) and differential GPS (DGPS) results obtained from the same smartphone GNSS receiver, as well as the GVINS solution derived from u-blox ZED-F9P measurements sampled at 1 Hz. Experimental results show that GVINS effectively operates with smartphone GNSS measurements, reducing 3D RMS errors by 80.4%, 64.9%, and 83.8% for the sports field, campus-walking, and campus-driving datasets, respectively, when differential corrections are applied relative to the SPP solution. These results highlight the potential of smartphone GNSS receivers within the GVINS framework: Even though they observe fewer constellations, lower signal quality, and a lower number of satellites, they can still achieve a performance comparable to that of a relatively higher-end dual-frequency GNSS receiver, the u-blox ZED-F9P. Further studies will focus on adapting the GVINS algorithm to run directly on smartphones to utilize all the available measurements, including the camera, IMU, barometer, magnetometer, and additional ranging sensors. Full article
Show Figures

Figure 1

43 pages, 11116 KB  
Article
A Hybrid Positioning Framework for Large-Scale Three-Dimensional IoT Environments
by Shima Koulaeizadeh, Hatef Javadi, Sudabeh Gholizadeh, Saeid Barshandeh, Giuseppe Loseto and Nicola Epicoco
Sensors 2025, 25(22), 6943; https://doi.org/10.3390/s25226943 - 13 Nov 2025
Viewed by 452
Abstract
The Internet of Things (IoT) and Edge Computing (EC) play an essential role in today’s communication systems, supporting diverse applications in industry, healthcare, and environmental monitoring; however, these technologies face a major challenge in accurately determining the geographic origin of sensed data, as [...] Read more.
The Internet of Things (IoT) and Edge Computing (EC) play an essential role in today’s communication systems, supporting diverse applications in industry, healthcare, and environmental monitoring; however, these technologies face a major challenge in accurately determining the geographic origin of sensed data, as such data are meaningful only when their source location is known. The use of Global Positioning System (GPS) is often impractical or inefficient in many environments due to limited satellite coverage, high energy consumption, and environmental interference. This paper recruits the Distance Vector-Hop (DV-Hop), Jellyfish Search (JS), and Artificial Rabbits Optimization (ARO) algorithms and presents an innovative GPS-free positioning framework for three-dimensional (3D) EC environments. In the proposed framework, the basic DV-Hop and multi-angulation algorithms are generalized for three-dimensional environments. Next, both algorithms are structurally modified and integrated in a complementary manner to balance exploration and exploitation. Furthermore, a Lévy flight-based perturbation phase and a local search mechanism are incorporated to enhance convergence speed and solution precision. To evaluate performance, sixteen 3D IoT environments with different configurations were simulated, and the results were compared with nine state-of-the-art localization algorithms using MSE, NLE, ALE, and LEV metrics. The quantitative relative improvement ratio test demonstrates that the proposed method is, on average, 39% more accurate than its competitors. Full article
(This article belongs to the Section Sensor Networks)
Show Figures

Figure 1

24 pages, 248126 KB  
Article
Image Matching for UAV Geolocation: Classical and Deep Learning Approaches
by Fatih Baykal, Mehmet İrfan Gedik, Constantino Carlos Reyes-Aldasoro and Cefa Karabağ
J. Imaging 2025, 11(11), 409; https://doi.org/10.3390/jimaging11110409 - 12 Nov 2025
Viewed by 1272
Abstract
Today, unmanned aerial vehicles (UAVs) are heavily dependent on Global Navigation Satellite Systems (GNSSs) for positioning and navigation. However, GNSS signals are vulnerable to jamming and spoofing attacks. This poses serious security risks, especially for military operations and critical civilian missions. In order [...] Read more.
Today, unmanned aerial vehicles (UAVs) are heavily dependent on Global Navigation Satellite Systems (GNSSs) for positioning and navigation. However, GNSS signals are vulnerable to jamming and spoofing attacks. This poses serious security risks, especially for military operations and critical civilian missions. In order to solve this problem, an image-based geolocation system has been developed that eliminates GNSS dependency. The proposed system estimates the geographical location of the UAV by matching the aerial images taken by the UAV with previously georeferenced high-resolution satellite images. For this purpose, common visual features were determined between satellite and UAV images and matching operations were carried out using methods based on the homography matrix. Thanks to image processing, a significant relationship has been established between the area where the UAV is located and the geographical coordinates, and reliable positioning is ensured even in cases where GNSS signals cannot be used. Within the scope of the study, traditional methods such as SIFT, AKAZE, and Multiple Template Matching were compared with learning-based methods including SuperPoint, SuperGlue, and LoFTR. The results showed that deep learning-based approaches can make successful matches, especially at high altitudes. Full article
Show Figures

Figure 1

30 pages, 27762 KB  
Article
An IoV-Based Real-Time Telemetry and Monitoring System for Electric Racing Vehicles: Design, Implementation, and Field Validation
by Andrés Pérez-González, Arley F. Villa-Salazar, Ingry N. Gomez-Miranda, Juan D. Velásquez-Gómez, Andres F. Romero-Maya and Álvaro Jaramillo-Duque
Vehicles 2025, 7(4), 128; https://doi.org/10.3390/vehicles7040128 - 6 Nov 2025
Viewed by 1624
Abstract
The rapid development of Intelligent Connected Vehicles (ICVs) and the Internet of Vehicles (IoV) has paved the way for new real-time monitoring and control systems. However, most existing telemetry solutions remain limited by high costs, reliance on cellular networks, lack of modularity, and [...] Read more.
The rapid development of Intelligent Connected Vehicles (ICVs) and the Internet of Vehicles (IoV) has paved the way for new real-time monitoring and control systems. However, most existing telemetry solutions remain limited by high costs, reliance on cellular networks, lack of modularity, and insufficient field validation in competitive scenarios. To address this gap, this study presents the design, implementation, and real-world validation of a low-cost telemetry platform for electric race vehicles. The system integrates an ESP32-based data acquisition unit, LoRaWAN long-range communication, and real-time visualization via Node-RED on a Raspberry Pi gateway. The platform supports multiple sensors (voltage, current, temperature, Global Positioning System (GPS), speed) and uses a FreeRTOS multi-core architecture for efficient task distribution and consistent data sampling. Field testing was conducted during Colombia’s 2024 National Electric Drive Vehicle Competition (CNVTE), under actual race conditions. The telemetry system achieved sensor accuracy exceeding 95%, stable LoRa transmission with low latency, and consistent performance throughout the competition. Notably, teams using the system reported up to 12% improvements in energy efficiency compared to baseline trials, confirming the system’s technical feasibility and operational impact under real race conditions. This work contributes to the advancement of IoV research by providing a modular, replicable, and cost-effective telemetry architecture, field-validated for use in high-performance electric vehicles. The architecture generalizes to urban e-mobility fleets for energy-aware routing, predictive maintenance, and safety monitoring. Full article
(This article belongs to the Special Issue Intelligent Connected Vehicles)
Show Figures

Figure 1

18 pages, 1215 KB  
Article
Patients and Communities Shape Regional Health Research Priorities: A Participatory Study from South Tyrol, Italy
by Christian J. Wiedermann, Verena Barbieri, Angelika Mahlknecht, Carla Felderer, Giuliano Piccoliori, Doris Hager von Strobele-Prainsack and Adolf Engl
Healthcare 2025, 13(21), 2797; https://doi.org/10.3390/healthcare13212797 - 4 Nov 2025
Viewed by 604
Abstract
Background/Objectives: Engaging patients, caregivers, and community groups in health research priority-setting ensures that research agendas reflect genuine needs and enhance patient-centered care. Regions with cultural and linguistic diversity, such as South Tyrol in northern Italy, face challenges in achieving fair representation. This [...] Read more.
Background/Objectives: Engaging patients, caregivers, and community groups in health research priority-setting ensures that research agendas reflect genuine needs and enhance patient-centered care. Regions with cultural and linguistic diversity, such as South Tyrol in northern Italy, face challenges in achieving fair representation. This study aimed to identify health services research priorities in South Tyrol, a culturally and linguistically diverse region in Italy, through a bilingual participatory survey involving general practitioners (GPs) and patient and social interest organizations (PSIOs). Methods: A cross-sectional online survey (August–September 2025) was conducted among invited PSIOs (n = 64) and regional GPs (n = 290). A bilingual, self-developed questionnaire assessed organizational characteristics, priority ratings for predefined topics, experiences with research participation, and preferred participation modes. The data were analyzed descriptively. Group comparisons were performed using the Mann–Whitney U and chi-square tests with effect size calculation. Associations were examined using Spearman’s correlation. Free-text responses were thematically content-coded. Results: Ninety-five responses were analyzed, including nine general practitioners (9.5%) and 86 participants (90.5%) from patient and social interest organizations, of whom 27 (28.4%) held leadership or board positions. Across all groups, the highest-rated research priorities included children and adolescent mental health, palliative and end-of-life care, and continuity of primary care. Willingness to participate in future research was expressed by 38% of the respondents, with an additional 52% indicating conditional interest. Online surveys were the most preferred mode of participation, followed by workshops and board meetings. Conclusions: Participatory bilingual approaches are feasible in South Tyrol and highlight priorities that are highly relevant for patient-centered health services. Future initiatives should strengthen the structures for research participation, enhance GP engagement, and link identified priorities to research funding and policy action. Full article
(This article belongs to the Special Issue Patient Experience and the Quality of Health Care)
Show Figures

Figure 1

25 pages, 5853 KB  
Article
GPS-Based Relative Navigation for Laser Crosslink Alignment in the VISION CubeSat Mission
by Yeji Kim, Pureum Kim, Han-Gyeol Ryu, Youngho Eun and Sang-Young Park
Aerospace 2025, 12(10), 928; https://doi.org/10.3390/aerospace12100928 - 15 Oct 2025
Viewed by 837
Abstract
As the demand for high-speed space-borne data transmission grows, CubeSat-based Free-Space Optical Communication (FSOC) offers a viable solution for achieving a Gbps-speed optical intersatellite link on low-cost platforms. The Very-High-Speed Intersatellite Optical Link System Using an Infrared Optical Terminal and Nanosatellite (VISION) mission [...] Read more.
As the demand for high-speed space-borne data transmission grows, CubeSat-based Free-Space Optical Communication (FSOC) offers a viable solution for achieving a Gbps-speed optical intersatellite link on low-cost platforms. The Very-High-Speed Intersatellite Optical Link System Using an Infrared Optical Terminal and Nanosatellite (VISION) mission aims to establish these high-speed laser crosslinks, which require a precise pointing and relative positioning system at relative distances up to 1000 km. A real-time relative navigation system was developed based on dual-frequency GPS pseudorange and carrier-phase measurements, incorporating an adaptive Kalman filter which uses innovation-based covariance matching to dynamically adjust process noise covariance. Hardware-integrated testing with GPS signal generators and onboard receivers validated its performance under realistic conditions, consistently achieving sub-meter positioning accuracy across baselines up to 1000 km. An integrated orbit–attitude simulation further evaluated the feasibility of the Pointing, Acquisition, and Tracking (PAT) system by combining real-time relative navigation outputs with an attitude control system. Simulation results showed that the PAT system maintained a total pointing error of 274.3 μrad, sufficient to sustain stable high-speed optical links. This study demonstrates that the VISION relative navigation and pointing systems, integrated within the PAT framework, enable precise real-time optical intersatellite communication using CubeSats. Full article
(This article belongs to the Section Astronautics & Space Science)
Show Figures

Figure 1

18 pages, 5620 KB  
Article
A GPS-Free Bridge Inspection Method Tailored to Bridge Terrain with High Positioning Stability
by Jia-Hau Bai, Chin-Rou Hsu, Jen-Yu Han and Ruey-Beei Wu
Drones 2025, 9(10), 678; https://doi.org/10.3390/drones9100678 - 28 Sep 2025
Viewed by 698
Abstract
With the development of drone technology in recent years, many studies have discussed how to leverage drones equipped with sensors and cameras to conduct inspections under bridges. To address positioning challenges caused by the lack of GPS signals under the bridges, triangulation methods [...] Read more.
With the development of drone technology in recent years, many studies have discussed how to leverage drones equipped with sensors and cameras to conduct inspections under bridges. To address positioning challenges caused by the lack of GPS signals under the bridges, triangulation methods with on-site pre-installed Ultra-Wideband (UWB) sensors were used extensively to determine drone locations. However, the practical hurdles of deploying anchors under bridges are often overlooked, including variable terrain and potential electromagnetic interference from deploying a large number of UWB sensors. This study introduces a handover mechanism to address long-distance positioning challenges and an enhanced two-stage algorithm to enhance its suitability for bridge terrain with higher stability. By integrating these concepts, a practical bridge inspection system was devised, and realistic under-bridge experiments were conducted to validate the method’s efficacy in real-world settings. Full article
Show Figures

Figure 1

20 pages, 3044 KB  
Article
Navigating the Storm: Assessing the Impact of Geomagnetic Disturbances on Low-Cost GNSS Permanent Stations
by Milad Bagheri and Paolo Dabove
Remote Sens. 2025, 17(17), 2933; https://doi.org/10.3390/rs17172933 - 23 Aug 2025
Cited by 1 | Viewed by 3513
Abstract
As contemporary society and the global economy become increasingly dependent on satellite-based systems, the need for reliable and resilient positioning, navigation, and timing (PNT) services has never been more critical. This study investigates the impact of the geomagnetic storm that occurred in May [...] Read more.
As contemporary society and the global economy become increasingly dependent on satellite-based systems, the need for reliable and resilient positioning, navigation, and timing (PNT) services has never been more critical. This study investigates the impact of the geomagnetic storm that occurred in May 2024 on the performance of global navigation satellite system (GNSS) low-cost permanent stations. The research evaluates the influence of ionospheric disturbances on both positioning performance and raw GNSS observations. Two days were analyzed: 8 May 2024 (DOY 129), representing quiet ionospheric conditions, and 11 May 2024 (DOY 132), coinciding with the peak of the geomagnetic storm. Precise Point Positioning (PPP) and static relative positioning techniques were applied to data from a low-cost GNSS station (DYVA), supported by comparative analysis using a nearby geodetic-grade station (TRDS00NOR). The results showed that while RMS positioning errors remained relatively stable over 24 h, the maximum errors increased significantly during the storm, with the 3D positioning error nearly doubling on DOY 132. Short-term analysis revealed even larger disturbances, particularly in the vertical component, which reached up to 3.39 m. Relative positioning analysis confirmed the vulnerability of single-frequency (L1) solutions to ionospheric disturbances, whereas dual-frequency (L1+L2) configurations substantially mitigated errors, highlighting the effectiveness of ionosphere-free combinations during storm events. In the second phase, raw GNSS observation quality was assessed using detrended GPS L1 carrier-phase residuals and signal strength metrics. The analysis revealed increased phase instability and signal degradation on DOY 132, with visible cycle slips occurring between epochs 19 and 21. Furthermore, the average signal-to-noise ratio (SNR) decreased by approximately 13% for satellites in the northwest sky sector, and a 5% rise in total cycle slips was recorded compared with the quiet day. These indicators confirm the elevated measurement noise and signal disruption associated with geomagnetic activity. These findings provide a quantitative assessment of low-cost GNSS receiver performance under geomagnetic storm conditions. This study emphasizes their utility for densifying GNSS infrastructure, particularly in regions lacking access to geodetic-grade equipment, while also outlining the challenges posed by space weather. Full article
(This article belongs to the Special Issue Geospatial Intelligence in Remote Sensing)
Show Figures

Graphical abstract

20 pages, 7513 KB  
Article
UAV Autonomous Navigation System Based on Air–Ground Collaboration in GPS-Denied Environments
by Pengyu Yue, Jing Xin, Yan Huang, Jiahang Zhao, Christopher Zhang, Wei Chen and Mao Shan
Drones 2025, 9(6), 442; https://doi.org/10.3390/drones9060442 - 16 Jun 2025
Cited by 6 | Viewed by 6076
Abstract
This paper explores breakthroughs from the perspective of UAV navigation architectures and proposes a UAV autonomous navigation method based on aerial–ground cooperative perception to address the challenge of UAV navigation in GPS-denied and unknown environments. The approach consists of two key components. Firstly, [...] Read more.
This paper explores breakthroughs from the perspective of UAV navigation architectures and proposes a UAV autonomous navigation method based on aerial–ground cooperative perception to address the challenge of UAV navigation in GPS-denied and unknown environments. The approach consists of two key components. Firstly, a mobile anchor trilateration and environmental modeling method is developed using a multi-UAV system by integrating the visual sensing capabilities of aerial surveillance UAVs with ultra-wideband technology. It constructs a real-time global 3D environmental model and provides precise positioning information, supporting autonomous planning and target guidance for near-ground UAV navigation. Secondly, based on real-time environmental perception, an improved D* Lite algorithm is employed to plan rapid and collision-free flight trajectories for near-ground navigation. This allows the UAV to autonomously execute collision-free movement from the initial position to the target position in complex environments. The results of real-world flight experiments demonstrate that the system can efficiently construct a global 3D environmental model in real time. It also provides accurate flight trajectories for the near-ground navigation of UAVs while delivering real-time positional updates during flight. The system enables UAVs to autonomously navigate in GPS-denied and unknown environments, and this work verifies the practicality and effectiveness of the proposed air–ground cooperative perception navigation system, as well as the mobile anchor trilateration and environmental modeling method. Full article
(This article belongs to the Special Issue Autonomous Drone Navigation in GPS-Denied Environments)
Show Figures

Figure 1

18 pages, 14698 KB  
Article
Analysis on GNSS Common View and Precise Point Positioning Time Transfer: BDS-3/Galileo/GPS
by Meng Wang, Chunlei Pang, Dong Guo, Shize Wang, Yang Zhang, Jinglong Gao and Xiubin Zhao
Remote Sens. 2025, 17(10), 1725; https://doi.org/10.3390/rs17101725 - 15 May 2025
Viewed by 1456
Abstract
The International Bureau of Weights and Measures (BIPM) currently mainly uses GPS time transfer for the calculation of UTC. In order to enhance the reliability of the time links, the common-view (CV) and Precise Point Positioning (PPP) time transfer performance of the dual-frequency [...] Read more.
The International Bureau of Weights and Measures (BIPM) currently mainly uses GPS time transfer for the calculation of UTC. In order to enhance the reliability of the time links, the common-view (CV) and Precise Point Positioning (PPP) time transfer performance of the dual-frequency ionosphere-free combination for BRUX-SPT0, NIST-USN7, and BRUX-USN7 links was evaluated, including GPS (P1 & P2), Galileo (E1 & E5a), and BDS-3 (B1I & B3I, B1I & B2a, B1C & B3I, B1C & B2a). The experimental results show that the precision and average frequency stability (AFT) of BDS-3 B1C & B2a CV and PPP links are better than those of BDS-3 B1I & B3I, B1I & B2a, and B1C & B3I links. Compared to the GPS P1 & P2 and BDS-3 B1C & B2a CV links, the Galileo E1 & E5a links have the highest precision. In addition, the precision of GPS PPP links outperforms the BDS-3 and Galileo links. The short-term FT (frequency stability) of GPS PPP links is better than that of BDS-3 B1C & B2a PPP links. When the average time is greater than 4.3 h, however, the BDS-3 B1C & B2a PPP link’s AFT is significantly improved compared with the Galileo PPP links. Full article
(This article belongs to the Special Issue Advances in GNSS for Time Series Analysis)
Show Figures

Figure 1

11 pages, 4122 KB  
Proceeding Paper
UKSBAS Testbed Performance Assessment of Two Years of Operations
by Javier González Merino, Fernando Bravo Llano, Michael Pattinson, Madeleine Easom, Juan Ramón Campano Hernández, Ignacio Sanz Palomar, María Isabel Romero Llapa, Sangeetha Priya Ilamparithi, David Hill and George Newton
Eng. Proc. 2025, 88(1), 35; https://doi.org/10.3390/engproc2025088035 - 21 Apr 2025
Viewed by 874
Abstract
Current Satellite-Based Augmentation Systems (SBASs) improve the positioning accuracy and integrity of GPS satellites and provide safe civil aviation navigation services for procedures from en-route to LPV-200 precision approach over specific regions. SBAS systems, such as WAAS, EGNOS, GAGAN, and MSAS, already operate. [...] Read more.
Current Satellite-Based Augmentation Systems (SBASs) improve the positioning accuracy and integrity of GPS satellites and provide safe civil aviation navigation services for procedures from en-route to LPV-200 precision approach over specific regions. SBAS systems, such as WAAS, EGNOS, GAGAN, and MSAS, already operate. The development of operational SBAS systems is in transition due to the extension of L1 SBAS services to new regions and the improvements expected by the introduction of dual frequency multi-constellation (DFMC) services, which allow the use of more core constellations such as Galileo and the use of ionosphere-free L1/L5 signal combination. The UKSBAS Testbed is a demonstration and feasibility project in the framework of ESA’s Navigation Innovation Support Programme (NAVISP), which is sponsored by the UK’s HMG with the participation of the Department for Transport and the UK Space Agency. UKSBAS Testbed’s main objective is to deliver a new L1 SBAS signal in space (SIS) from May 2022 in the UK region using Viasat’s Inmarsat-3F5 geostationary (GEO) satellite and Goonhilly Earth Station as signal uplink over PRN 158, as well as L1 SBAS and DFMC SBAS services through the Internet. SBAS messages are generated by GMV’s magicSBAS software and fed with data from the Ordnance Survey’s station network. This paper provides an assessment of the performance achieved by the UKSBAS Testbed during the last two years of operations at the SIS and user level, including a number of experimentation campaigns performed in the aviation and maritime domains, comprising ground tests at airports, flight tests on aircraft and sea trials on a vessel. This assessment includes, among others, service availability (e.g., APV-I, LPV-200), protection levels (PL), and position errors (PE) statistics over the service area and in a network of receivers. Full article
(This article belongs to the Proceedings of European Navigation Conference 2024)
Show Figures

Figure 1

26 pages, 15590 KB  
Article
Technical and Policy Analysis: Time Series of Land Subsidence for the Evaluation of the Jakarta Groundwater-Free Zone
by Joko Widodo, Edy Trihatmoko, Nugraheni Setyaningrum, Yuta Izumi, Rendi Handika, Mohammad Ardha, Rahmat Arief, Shinichi Sobue, Nurlinda Nurlinda, Pulung Arya Pranantya, Jovi Rauhillah Wiranu and Muhammad Rokhis Khomarudin
Urban Sci. 2025, 9(3), 67; https://doi.org/10.3390/urbansci9030067 - 4 Mar 2025
Cited by 4 | Viewed by 8317
Abstract
Jakarta faces a critical challenge of extensive land subsidence, ranking prominently globally. This research employs a combined technical and policy evaluation approach to analyze the issue, incorporating sustainability considerations to assess the efficacy of Governor Regulation of Jakarta Number 93 of 2021, focusing [...] Read more.
Jakarta faces a critical challenge of extensive land subsidence, ranking prominently globally. This research employs a combined technical and policy evaluation approach to analyze the issue, incorporating sustainability considerations to assess the efficacy of Governor Regulation of Jakarta Number 93 of 2021, focusing on how the groundwater-free zone relates to land subsidence in the city. We processed 81 ALOS-2 PALSAR-2 synthetic aperture radar (SAR) data using persistent scatterer interferometric synthetic aperture radar (PS-InSAR) with HH polarization from 2017 to 2022 and ground truthing with 255 global positioning system (GPS) real-time kinematic (RTK) validation points. Our findings reveal a significant misalignment in the designated groundwater-free zone in the central part of Jakarta. At the same time, severe land subsidence primarily affects northern and northwestern Jakarta, with an average land subsidence rate of 5–6 cm/year. We strongly advocate for a thorough evaluation to rectify and redefine the boundaries of groundwater-free zones, improve regulatory frameworks, and effectively address land subsidence mitigation in the study area. The impact of domestic water needs on land subsidence highlights the urgency of action. Based on a combination of land subsidence velocity rates and domestic water demand, we have classified the cities in Jakarta into three levels of recommendations for groundwater-free zones. The cities are ranked in order of priority from highest to lowest: (1) West Jakarta, (2) North Jakarta, (3) South Jakarta, (4) East Jakarta, and (5) Central Jakarta, which holds the lowest priority. Full article
Show Figures

Figure 1

21 pages, 2028 KB  
Article
Predictive and Prognostic Values of Glycoprotein 96, Androgen Receptors, and Extranodal Extension in Sentinel Lymph Node-Positive Breast Cancer: An Immunohistochemical Retrospective Study
by Tihana Klarica Gembić, Damir Grebić, Tamara Gulić, Mijo Golemac and Manuela Avirović
J. Clin. Med. 2024, 13(24), 7665; https://doi.org/10.3390/jcm13247665 - 16 Dec 2024
Cited by 2 | Viewed by 1133
Abstract
Objectives: In this paper, we investigate the association of glycoprotein 96 (GP96) and androgen receptor (AR) expression with clinicopathological factors, additional axillary lymph node burden, and their potential role in predicting 5-year overall survival (OS) and disease-free survival (DFS) in breast cancer [...] Read more.
Objectives: In this paper, we investigate the association of glycoprotein 96 (GP96) and androgen receptor (AR) expression with clinicopathological factors, additional axillary lymph node burden, and their potential role in predicting 5-year overall survival (OS) and disease-free survival (DFS) in breast cancer (BC) patients with sentinel lymph node (SLN) involvement. We also explore the prognostic value of the presence of extranodal extension (ENE) in SLN. Methods: We retrospectively enrolled 107 female patients with cT1-T2 invasive BC and positive SLN biopsy. GP96 and AR expression were immunohistochemically evaluated on tissue microarrays constructed from two 2 mm diameter cores of formalin-fixed paraffin-embedded tumor tissues from each patient. ENE in SLN was measured in the highest (HD-ENE) and widest diameter (WD-ENE). Relative GP96 gene expression was determined using real-time quantitative PCR. Results: The analysis revealed ENE in SLN as the strongest predictive factor for non-SLN metastases. Patients with WD-ENE > HD-ENE had a higher risk of non-SLN metastases and worse DFS compared to those with WD-ENE ≤ HD-ENE. High GP96 expression was associated with a greater relative risk for locoregional recurrence but showed no significant impact on OS or DFS. Histological grade 3, extensive intraductal component (EIC), higher lymph node ratio (LNR), and negative AR were associated with worse DFS, while age, histological grade 3, EIC, and higher LNR were independent predictors of OS. GP96 mRNA levels were elevated in BC tissue compared to normal breast tissue. Conclusions: ENE in SLN is the strongest predictor of non-SLN involvement and could also have prognostic significance. While GP96 expression does not influence survival outcomes, AR expression could be used as a valuable biomarker in the follow-up of BC patients. Full article
(This article belongs to the Section Oncology)
Show Figures

Figure 1

14 pages, 337 KB  
Article
Limiting Performance of Radar-Based Positioning Solutions for the Automotive Scenario
by Francesco Bandiera and Giuseppe Ricci
Sensors 2024, 24(24), 7940; https://doi.org/10.3390/s24247940 - 12 Dec 2024
Cited by 1 | Viewed by 1101
Abstract
Road safety applications for automotive scenarios rely on the ability to estimate vehicle positions with high precision. Global navigation satellite systems (GNSS) and, in particular, the global positioning system (GPS), are commonly used for self localization. But, especially in urban vehicular scenarios, due [...] Read more.
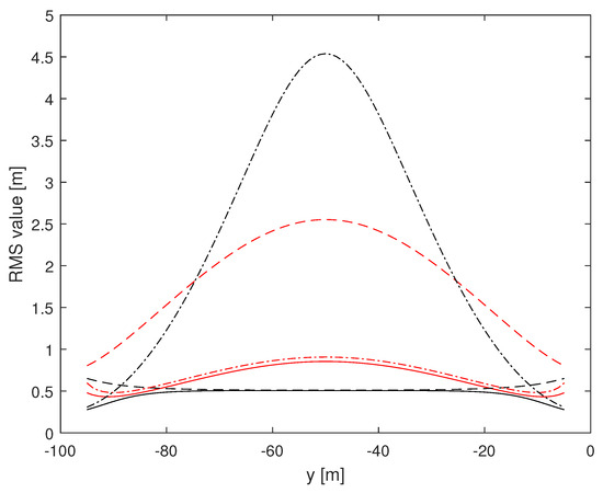
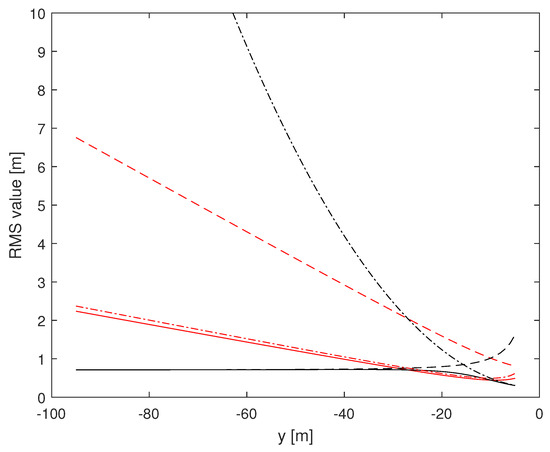
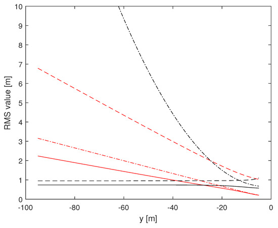
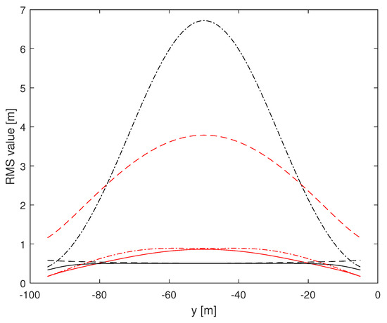
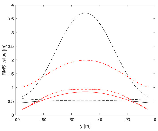
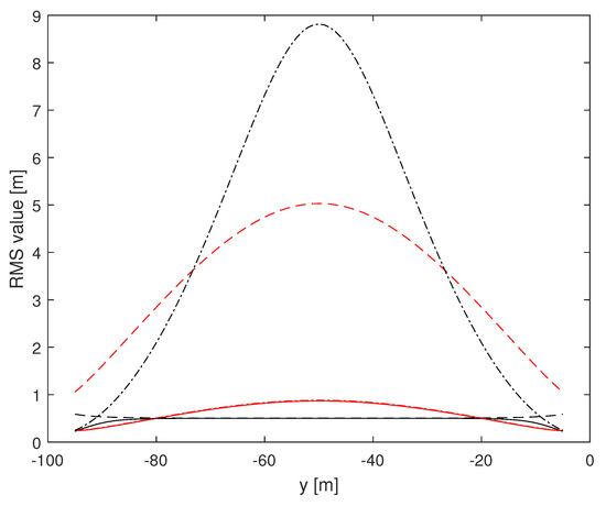
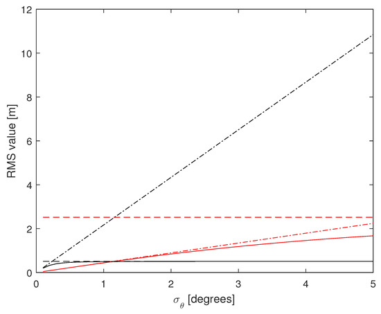
Road safety applications for automotive scenarios rely on the ability to estimate vehicle positions with high precision. Global navigation satellite systems (GNSS) and, in particular, the global positioning system (GPS), are commonly used for self localization. But, especially in urban vehicular scenarios, due to obstructions, they may not provide the requirements for crucial position-based applications. In this paper, we investigate the potential of GPS-free positioning schemes and, in particular, we compute the ultimate performance, i.e., Cramér–Rao lower bounds (CRLB), of localization schemes in which each vehicle estimates its position exploiting range and/or angle measurements of an assigned set of landmarks with a known position. Full article
(This article belongs to the Section Radar Sensors)
Show Figures

Figure 1

17 pages, 6683 KB  
Article
Affordable Real-Time PPP—Combining Low-Cost GNSS Receivers with Galileo HAS Corrections in Static, Pseudo-Kinematic, and UAV Experiments
by Grzegorz Marut, Tomasz Hadas, Kamil Kazmierski and Jaroslaw Bosy
Remote Sens. 2024, 16(21), 4008; https://doi.org/10.3390/rs16214008 - 28 Oct 2024
Cited by 6 | Viewed by 3875
Abstract
The Galileo High Accuracy Service (HAS) is a free of charge Global Navigation Satellite System (GNSS) augmentation service provided by the European Union. It is designed to enable real-time Precise Point Positioning (PPP) with a target accuracy (at the 95% confidence level) of [...] Read more.
The Galileo High Accuracy Service (HAS) is a free of charge Global Navigation Satellite System (GNSS) augmentation service provided by the European Union. It is designed to enable real-time Precise Point Positioning (PPP) with a target accuracy (at the 95% confidence level) of 20 cm and 40 cm in the horizontal and vertical components, respectively, to be achieved within 300 s. The performance of the service has been confirmed with geodetic-grade receivers. However, mass market applications require low-cost GNSS receivers connected to low-cost antennae. This paper focuses on the performance of the real-time static and kinematic positioning achieved with Galileo HAS and low-cost GNSS receivers. The study is limited to GPS + Galileo dual-frequency positioning, thus exploiting the full potential of Galileo HAS SL1. We demonstrate that the target accuracy of Galileo HAS SL1 is reached with both geodetic-grade and low-cost receivers in dual-frequency static and kinematic applications in open-sky conditions. Precision of a few centimeters is reached for static positioning, while kinematic positioning results in subdecimeter precision. Vertical accuracy is limited by missing phase center offset models for low-cost antennas. In general, the performance of low-cost hardware using Galileo HAS for real-time PPP is comparable to that of geodetic-grade hardware. Therefore, combining low-cost GNSS receivers with Galileo HAS is feasible and justified. Full article
(This article belongs to the Special Issue Multi-GNSS Precise Point Positioning (MGPPP))
Show Figures

Figure 1

Back to TopTop