Limiting Performance of Radar-Based Positioning Solutions for the Automotive Scenario
Abstract
1. Introduction
Notation
2. Problem Formulation
3. Theoretical Bounds on the Achievable Performance
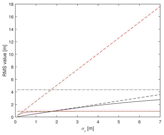
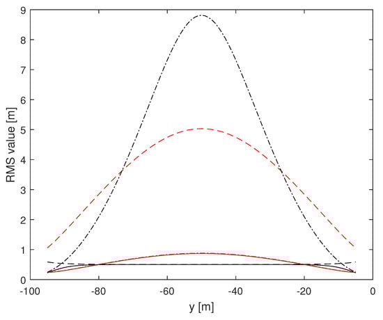
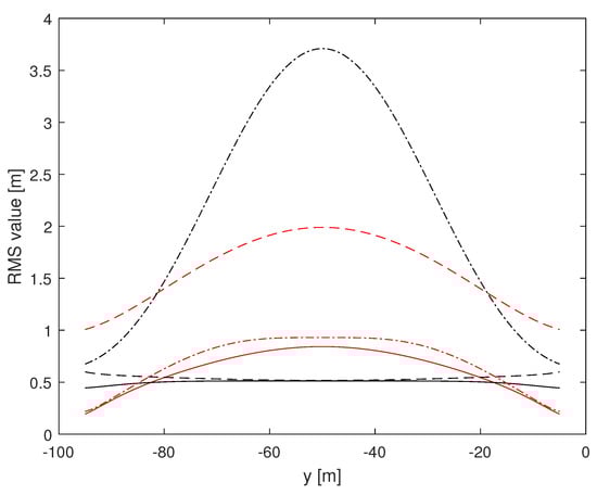
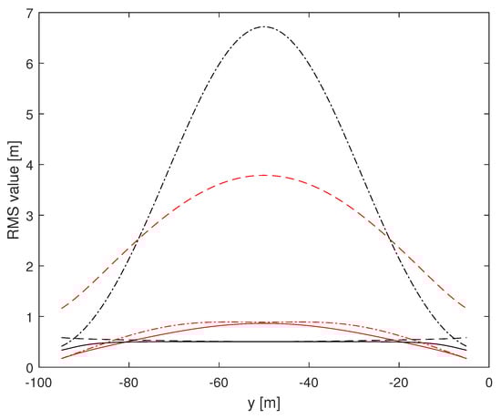
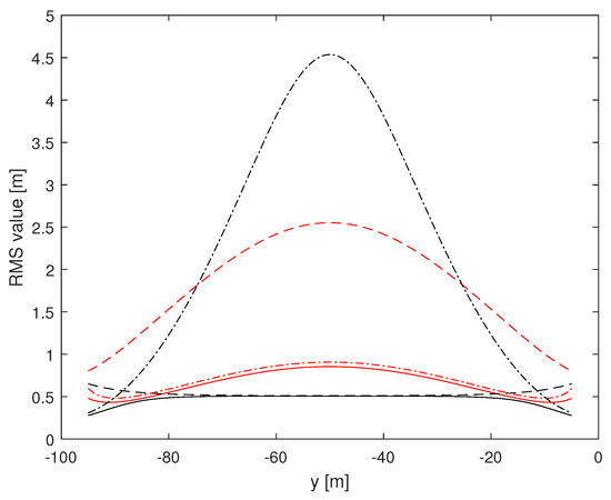
4. Illustrative Examples and Discussion
5. Conclusions
Author Contributions
Funding
Institutional Review Board Statement
Informed Consent Statement
Data Availability Statement
Conflicts of Interest
Abbreviations
| AOA | Angle Of Arrival |
| CFAR | Constant False Alarm Rate |
| CRLB | Cramér-Rao Lower Bound |
| GNSS | Global Navigation Satellite System |
| GPS | Global Positioning System |
| IID | Independent and Identically Distributed |
| INS | Intertial Navigation System |
| ITS | Intelligent Transportation Systems |
| MS | Mean Square |
| MUSIC | MUltiple SIgnal Classification |
| Probability Density Function | |
| RHS | Right-Hand Side |
| RMS | Root Mean Square |
| RSS | Received Signal Strength |
| RSU | Road Side Unit |
| RV | Random Variable |
| TDOA | Time Difference Of Arrival |
| TOA | Time Of Arrival |
| V2I | Vehicle-To-Infrastructure |
| V2V | Vehicle-To-Vehicle |
| VANET | Vehicular Ad hoc NETwork |
Appendix A
References
- Boukerche, A.; Oliveira, H.A.; Nakamura, E.F.; Loureiro, A.A. Vehicular ad hoc networks: A new challenge for localization-based systems. Comput. Commun. 2008, 31, 2838–2849. [Google Scholar] [CrossRef]
- Piao, J.; Beecroft, M.; McDonald, M. Vehicle Positioning for Improving Road Safety. J. Transp. Rev. 2010, 30, 701–715. [Google Scholar] [CrossRef]
- Shladover, S.E.; Tan, S.K. Analysis of vehicle positioning accuracy requirements for communication-based cooperative collision warning. J. Intell. Transp. Syst. Technol. Plan. Oper. 2006, 10, 131–140. [Google Scholar] [CrossRef]
- Kaplan, E.D.; Hegarty, C.J. Understanding GPS Principles and Applications, 2nd ed.; Artech House: Norwood, MA, USA, 2006. [Google Scholar]
- Kao, W.W. Integration of GPS and dead-reckoning navigation systems. In Proceedings of the Vehicle Navigation and Information Systems Conference, Troy, MI, USA, 20–23 October 1991; pp. 635–643. [Google Scholar]
- Honghui, Q.; Moore, J.B. Direct Kalman filtering approach for GPS/INS integration. IEEE Trans. Aerosp. Electron. Syst. 2002, 38, 687–693. [Google Scholar] [CrossRef]
- Sharaf, R.; Noureldin, A.; Osman, A.; El-Sheimy, N. Online INS/GPS integration with a radial basis function neural network. IEEE Aerosp. Electron. Syst. Mag. 2005, 20, 8–14. [Google Scholar] [CrossRef]
- Eze, E.C.; Zhang, S.; Liu, E. Vehicular ad hoc networks (VANETs): Current state, challenges, potentials and way forward. In Proceedings of the 20th IEEE International Conference on Automation and Computing (ICAC), Cranfield, UK, 12–13 September 2014; pp. 176–181. [Google Scholar]
- Mohammadabadi, P.H.; Valaee, S. Cooperative node positioning in vehicular networks using inter-node distance measurements. In Proceedings of the IEEE 25th Annual International Symposium on Personal, Indoor, and Mobile Radio Communication (PIMRC), Washington, DC, USA, 2–5 September 2014; pp. 1448–1452. [Google Scholar]
- Alam, N.; Balaei, A.T.; Dempster, A.G. Relative positioning enhancement in VANETs: A tight integration approach. IEEE Trans. Intell. Transp. Syst. 2013, 14, 47–55. [Google Scholar] [CrossRef]
- Drawil, N.; Basir, O. Vehicular collaborative technique for location estimate correction. In Proceedings of the IEEE 68th Vehicular Technology Conference, Calgary, AB, Canada, 21–24 September 2008; pp. 1–5. [Google Scholar]
- Parker, R.; Valaee, S. Cooperative vehicle position estimation. In Proceedings of the IEEE International Conference on Communications, Glasgow, UK, 24–28 June 2007; pp. 5837–5842. [Google Scholar]
- Alam, N.; Dempster, A. Cooperative Positioning for Vehicular Networks: Facts and Future. IEEE Trans. Intell. Transp. Syst. 2013, 14, 1708–1717. [Google Scholar] [CrossRef]
- Oh, D.; Lee, J. Robust Super-Resolution TOA Estimation against Doppler Shift for Vehicle Tracking. IEEE Commun. Lett. 2014, 18, 745–748. [Google Scholar] [CrossRef]
- Jamali-Rad, H.; Leus, G. Sparsity-Aware Multi-Source TDOA Localization. IEEE Trans. Signal Process. 2013, 61, 4874–4887. [Google Scholar] [CrossRef]
- Shao, H.; Zhang, X.; Wang, Z. Efficient Closed-Form Algorithms for AOA Based Self-Localization of Sensor Nodes Using Auxiliary Variables. IEEE Trans. Signal Process. 2014, 62, 2580–2594. [Google Scholar] [CrossRef]
- Fascista, A.; Ciccarese, G.; Coluccia, A.; Ricci, G. A Localization Algorithm Based on V2I Communications and AOA Estimation. IEEE Signal Process. Lett. 2017, 24, 136–140. [Google Scholar] [CrossRef]
- Fascista, A.; Ciccarese, G.; Coluccia, A.; Ricci, G. Angle of Arrival-Based Cooperative Positioning for Smart Vehicles. IEEE Trans. Intell. Transp. Syst. 2018, 19, 2880–2892. [Google Scholar] [CrossRef]
- Wen, F.; Wang, J.; Shi, J.; Gui, G. Auxiliary Vehicle Positioning Based on Robust DOA Estimation with Unknown Mutual Coupling. IEEE Internet Things J. 2020, 7, 5521–5532. [Google Scholar] [CrossRef]
- Chang, S.; Deng, Y.; Zhang, Y.; Zhao, Q.; Wang, R.; Zhang, K. An Advanced Scheme for Range Ambiguity Suppression of Spaceborne SAR Based on Blind Source Separation. IEEE Trans. Geosci. Remote. Sens. 2022, 60, 5230112. [Google Scholar] [CrossRef]
- Wang, T.; Yin, C.; Xu, D.; Hao, C.; Orlando, D.; Ricci, G. Joint Detection and Delay-Doppler Estimation Algorithms for MIMO Radars. IEEE Trans. Signal Process. 2024, 72, 809–823. [Google Scholar] [CrossRef]
- Engels, F.; Heidenereich, P.; Wintermantel, M.; Stäcker, L.; Al Kadi, M.; Zoubir, A.M. Automotive Radar Signal Processing: Research Directions and Practical Challenges. IEEE J. Sel. Top. Signal Process. 2021, 15, 865–878. [Google Scholar] [CrossRef]
- Albuquerque, D.F.; Gonçalves, E.S.; Pedrosa, E.F.; Teixeira, F.C.; Vieira, J.N. Robot Self Position based on Asynchronous Millimetre Wave Radar Interference. In Proceedings of the 2019 International Conference on Indoor Positioning and Indoor Navigation (IPIN), Pisa, Italy, 30 September–3 October 2019; pp. 1–6. [Google Scholar]
- Antonucci, A.; Corrà, M.; Ferrari, A.; Fontanelli, D.; Fusari, E.; Macii, D.; Palopoli, L. Performance Analysis of a 60-GHz Radar for Indoor Positioning and Tracking. In Proceedings of the 2019 International Conference on Indoor Positioning and Indoor Navigation (IPIN), Pisa, Italy, 30 September–3 October 2019; pp. 1–7. [Google Scholar]
- Shamsfakhr, F.; Corrà, M.; Ferrari, A.; Macii, D.; Palopoli, L.; Fontanelli, D. Algorithms for Enhanced Indoor Positioning and Tracking based on a 60-GHz Radar Platform. In Proceedings of the 2022 IEEE International Workshop on Metrology for Industry 4.0 & IoT (MetroInd4.0&IoT), Trento, Italy, 7–9 June 2022; pp. 184–189. [Google Scholar]
- Weishaupt, F.; Tilly, J.F.; Appenrodt, N.; Fischer, P.; Dickmann, J.; Heberling, D. Landmark-Based Vehicle Self-Localization Using Automotive Polarimetric Radars. IEEE Trans. Intell. Transp. Syst. 2024, 25, 14266–14283. [Google Scholar] [CrossRef]
- Bar-Shalom, Y.; Fortmann, T.E. Tracking and Data Association; Academic Press: Cambridge, MA, USA, 1988. [Google Scholar]
- Wang, S.; Jackson, B.R.; Inkol, R. Performance Characterization of AOA Geolocation Systems Using the Von Mises Distribution. In Proceedings of the 2012 IEEE Vehicular Technology Conference (VTC Fall), Quebec City, QC, Canada, 3–6 September 2012; pp. 1–5. [Google Scholar]









Disclaimer/Publisher’s Note: The statements, opinions and data contained in all publications are solely those of the individual author(s) and contributor(s) and not of MDPI and/or the editor(s). MDPI and/or the editor(s) disclaim responsibility for any injury to people or property resulting from any ideas, methods, instructions or products referred to in the content. |
© 2024 by the authors. Licensee MDPI, Basel, Switzerland. This article is an open access article distributed under the terms and conditions of the Creative Commons Attribution (CC BY) license (https://creativecommons.org/licenses/by/4.0/).
Share and Cite
Bandiera, F.; Ricci, G. Limiting Performance of Radar-Based Positioning Solutions for the Automotive Scenario. Sensors 2024, 24, 7940. https://doi.org/10.3390/s24247940
Bandiera F, Ricci G. Limiting Performance of Radar-Based Positioning Solutions for the Automotive Scenario. Sensors. 2024; 24(24):7940. https://doi.org/10.3390/s24247940
Chicago/Turabian StyleBandiera, Francesco, and Giuseppe Ricci. 2024. "Limiting Performance of Radar-Based Positioning Solutions for the Automotive Scenario" Sensors 24, no. 24: 7940. https://doi.org/10.3390/s24247940
APA StyleBandiera, F., & Ricci, G. (2024). Limiting Performance of Radar-Based Positioning Solutions for the Automotive Scenario. Sensors, 24(24), 7940. https://doi.org/10.3390/s24247940

