Sign in to use this feature.

Years

Between: -

Subjects

remove_circle_outline
remove_circle_outline
remove_circle_outline
remove_circle_outline
remove_circle_outline
remove_circle_outline
remove_circle_outline
remove_circle_outline
remove_circle_outline

Journals

remove_circle_outline
remove_circle_outline
remove_circle_outline
remove_circle_outline
remove_circle_outline
remove_circle_outline
remove_circle_outline
remove_circle_outline
remove_circle_outline
remove_circle_outline
remove_circle_outline
remove_circle_outline
remove_circle_outline
remove_circle_outline
remove_circle_outline
remove_circle_outline
remove_circle_outline
remove_circle_outline
remove_circle_outline
remove_circle_outline
remove_circle_outline
remove_circle_outline
remove_circle_outline
remove_circle_outline
remove_circle_outline
remove_circle_outline
remove_circle_outline

Article Types

Countries / Regions

remove_circle_outline
remove_circle_outline
remove_circle_outline
remove_circle_outline
remove_circle_outline
remove_circle_outline
remove_circle_outline
remove_circle_outline
remove_circle_outline
remove_circle_outline
remove_circle_outline

Search Results (16,828)

Search Parameters:
Keywords = Flavonoids

Order results
Result details
Results per page
Select all
Export citation of selected articles as:
18 pages, 3440 KB  
Article
Unraveling the Metabolic and Molecular Basis of Floral Pigmentation Shift in Nymphaea atrans
by Qian Wei, Kaijie Zhou, Mengchao Fang, Zhentao Ren, Shujuan Li and Ming Zhu
Genes 2026, 17(4), 442; https://doi.org/10.3390/genes17040442 (registering DOI) - 12 Apr 2026
Abstract
Background: Nymphaea atrans exhibits a gradual flower color transition from nearly white to rose-red during anthesis, yet the molecular mechanisms of this phenomenon remain unclear. In the present study, transcriptomic and metabolomic analyses were performed to systematically investigate anthocyanin accumulation patterns and [...] Read more.
Background: Nymphaea atrans exhibits a gradual flower color transition from nearly white to rose-red during anthesis, yet the molecular mechanisms of this phenomenon remain unclear. In the present study, transcriptomic and metabolomic analyses were performed to systematically investigate anthocyanin accumulation patterns and regulatory mechanisms during the color transition of N. atrans. Methods: Petals were collected at three flowering stages: day 1 (D1), day 3 (D3), and day 5 (D5). Targeted metabolomics was performed using UPLC-ESI-MS/MS to profile anthocyanin and other flavonoid metabolites. Transcriptome analysis was conducted via RNA-seq. Differentially accumulated metabolites (DAMs) and differentially expressed genes (DEGs) were identified, followed by functional enrichment and integration analysis. Results: The results revealed significant accumulation of seven anthocyanins, including cyanidin-3-O-arabinoside, cyanidin-3-O-glucoside, cyanidin-3-O-galactoside, cyanidin-3-O-(6″-O-acetyl)-glucoside, at stages D3 (day 3 after flowering, light pink petals) and D5 (day 5 after flowering, deep pink petals), accompanied by the upregulation of key enzyme-encoding genes, chalcone synthase, chalcone isomerase, flavanone 3-hydroxylase, di-hydroflavonol 4-reductase, and anthocyanidin synthase in the anthocyanin biosynthetic pathway. Genes involved in JA biosynthesis and key regulatory genes in the JA signaling pathway were significantly up-regulated, indicating that the JA signaling pathway may play an important regulatory role in the synthesis of anthocyanins in N. atrans. Conclusions: This study unravels the metabolic and molecular underpinnings of flower color transition in N. atrans, thereby establishing a theoretical basis for the targeted regulation of floral pigmentation and molecular breeding of ornamental water lilies. Full article
(This article belongs to the Special Issue Genetic Regulation of Plant Metabolism in Environmental Adaptation)
41 pages, 4279 KB  
Review
Dietary Nitrate-Rich Vegetables as Natural Modulators of Health: Mechanisms and Benefits in Ageing Populations
by Natalia Kurhaluk, Renata Kołodziejska, Lyudmyla Buyun, Piotr Kamiński and Halina Tkaczenko
Int. J. Mol. Sci. 2026, 27(8), 3461; https://doi.org/10.3390/ijms27083461 (registering DOI) - 12 Apr 2026
Abstract
Nitrate-rich vegetables are increasingly recognised as a key subgroup of phytochemical-dense foods that have significant potential for preventing and managing chronic diseases. Although dietary nitrates were historically approached with caution due to concerns about nitrosamine formation, contemporary evidence highlights their beneficial effects on [...] Read more.
Nitrate-rich vegetables are increasingly recognised as a key subgroup of phytochemical-dense foods that have significant potential for preventing and managing chronic diseases. Although dietary nitrates were historically approached with caution due to concerns about nitrosamine formation, contemporary evidence highlights their beneficial effects on vascular, metabolic and cognitive functions. Ageing is characterised by endothelial dysfunction, impaired nitric oxide (NO) synthesis and increased oxidative stress, which elevates cardiovascular risk. In this context, nitrate-rich vegetables offer a natural way to restore NO bioavailability and support cardiometabolic health. This narrative review provides an integrative overview of nitrate-rich vegetables as sources of bioactive phytochemicals with therapeutic relevance. We summarise the biochemical pathways of nitrate and nitrite metabolism, including the enterosalivary nitrate–nitrite–NO cycle, the role of oral microbiota, and red blood cell-mediated nitrite reduction. Particular emphasis is placed on NOS-independent NO production, which becomes increasingly important with age, and on the synergistic interactions between dietary nitrates and other phytochemicals such as polyphenols, vitamin C, flavonoids and betalains. These compounds enhance NO stability, reduce oxidative stress, modulate inflammatory signalling and support mitochondrial function, thereby amplifying the health benefits of nitrate-rich vegetables. Beetroot, with its high nitrate content and distinctive antioxidant profile, is highlighted as a prime example. Clinical and mechanistic studies suggest that nitrate-rich vegetables may lower blood pressure, improve endothelial function and cerebral perfusion, enhance cognitive performance and muscle oxygenation, and increase exercise efficiency, particularly in older adults. Additional benefits include anti-inflammatory effects, modulation of platelet function and improvements in metabolic parameters, all of which are relevant to the prevention of chronic diseases such as hypertension, type 2 diabetes and atherosclerosis. While dietary nitrate is generally considered low-risk for healthy adults, caution is warranted in susceptible populations, such as infants and individuals with impaired renal function. Finally, significant research gaps remain, including the need for long-term, well-controlled trials and personalised strategies that account for variability in microbiota composition and nitrate metabolism between individuals. Full article
(This article belongs to the Special Issue Phytochemicals and Antioxidants in Health and Disease Modulation)
Show Figures

Figure 1

19 pages, 7044 KB  
Article
Comparative Microbiota and Metabolite Profiles of Undried and Dried Typica Luwak (Civet) Coffee Beans
by Mengjie Li, Xianwen Wang, Liyan Ma, Kunlun Huang and Tao Tong
Foods 2026, 15(8), 1334; https://doi.org/10.3390/foods15081334 (registering DOI) - 11 Apr 2026
Abstract
Kopi Luwak (civet coffee), produced from coffee beans recovered from the feces of the Asian palm civet, is among the most expensive specialty coffees worldwide for its unique sensory characteristics. In this study, a multi-omics strategy was employed to elucidate the impact of [...] Read more.
Kopi Luwak (civet coffee), produced from coffee beans recovered from the feces of the Asian palm civet, is among the most expensive specialty coffees worldwide for its unique sensory characteristics. In this study, a multi-omics strategy was employed to elucidate the impact of drying on the microbial community structure and metabolic profiles of Typica Kopi Luwak beans. Drying induced pronounced shifts in the microbial composition, with a significant enrichment of Sphingobacterium and depletion of Streptococcus at the genus level. Concurrently, drying resulted in substantial metabolic remodeling, characterized by increased levels of prenol lipids, fatty acyls, carboxylic acids and derivatives, steroids and steroid derivatives, and organooxygen compounds, accompanied by a marked reduction in flavonoids. KEGG pathway analysis indicated that both altered microbial taxa and metabolites were associated with lipid metabolism, carbohydrate metabolism, amino acid metabolism, and the biosynthesis of other secondary metabolites. Correlation network analysis further revealed the associations between key microbial genera and specific classes of differential metabolites. Collectively, these findings suggest the potential role of post-excretion sun-drying in shaping the microbiome and metabolome of Typica Kopi Luwak beans, offering a scientific basis for controlled or in vitro fermentation strategies to produce coffees with reproducible quality attributes. Full article
(This article belongs to the Section Food Microbiology)
Show Figures

Figure 1

23 pages, 2689 KB  
Article
Evolutionary Characteristics and Expression Patterns of the UGT Gene Family in Epimedium from Gansu, China
by Luna Xing, Jun Zhao, Qianwen Song, Chunlei Zheng, Qingyan Zhao, Wei Chen, Xiaowei Zhang, Xuhu Wang, Weibo Du, Songsong Lu and Xiaolei Zhou
Curr. Issues Mol. Biol. 2026, 48(4), 393; https://doi.org/10.3390/cimb48040393 (registering DOI) - 11 Apr 2026
Abstract
Epimedium brevicornu is an important medicinal plant in China, whose main bioactive components are flavonoid glycosides. UDP-glycosyltransferases (UGTs) play key roles in flavonoid glycosylation and metabolic diversification. In this study, transcriptome data from four representative production regions in Gansu Province were used to [...] Read more.
Epimedium brevicornu is an important medicinal plant in China, whose main bioactive components are flavonoid glycosides. UDP-glycosyltransferases (UGTs) play key roles in flavonoid glycosylation and metabolic diversification. In this study, transcriptome data from four representative production regions in Gansu Province were used to systematically identify and analyze the UGT gene family in E. brevicornu. A total of 359 UGT members were identified, and 168 homologous genes with clear expression evidence were obtained from four geographical populations. Molecular evolutionary analysis showed that most UGT genes were under purifying selection, whereas UGT2, UGT52, UGT57, UGT241, UGT269, and UGT271 exhibited significant signals of positive selection in specific lineages (p < 0.05). Protein interaction analysis indicated that many UGT proteins were closely associated with key enzymes involved in flavonoid biosynthesis, including CHS (TT4), CHI (TT5), F3H, FLS, and DFR, suggesting their potential involvement in flavonoid metabolism. Promoter analysis further revealed a high enrichment of ERF (11,169 occurrences) and MYB (7673 occurrences) transcription factor binding sites in the upstream regions of UGT genes. In addition, UGT57 and UGT241 showed significantly higher expression levels in the QLH population. Molecular docking analysis indicated relatively strong binding affinities with quercetin, with binding energies of −7.23 kcal/mol and −4.62 kcal/mol, respectively. These results suggest that the sequence variation and differential expression of UGT genes may be associated with flavonoid glycosylation and ecological adaptation in Epimedium. This study provides a basis for understanding the evolutionary characteristics and expression patterns of the UGT gene family and offers candidate genes for future studies on flavonoid metabolism. Full article
(This article belongs to the Special Issue Molecular Breeding and Genetics Research in Plants—3rd Edition)
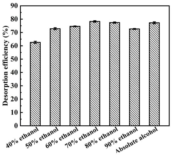
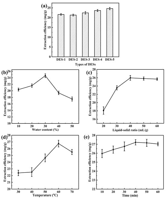
15 pages, 6361 KB  
Article
Extraction and Recovery of Flavonoids from Tartary Buckwheat Using Deep Eutectic Solvents
by Xueting Feng, Tingting Huang, Jinmei Feng and Xiaoling Wang
Molecules 2026, 31(8), 1261; https://doi.org/10.3390/molecules31081261 (registering DOI) - 11 Apr 2026
Abstract
In recent years, the green extraction of natural active ingredients has generated widespread attention. And deep eutectic solvents have widely replaced traditional organic solvents. In this study, choline chloride/glycolic acid (1:2) was chosen as the optimal extractant to extract flavonoids from Tartary buckwheat. [...] Read more.
In recent years, the green extraction of natural active ingredients has generated widespread attention. And deep eutectic solvents have widely replaced traditional organic solvents. In this study, choline chloride/glycolic acid (1:2) was chosen as the optimal extractant to extract flavonoids from Tartary buckwheat. The optimal extraction conditions were as follows: water content of 30%, liquid–solid ratio of 40 mL/g, extraction temperature of 60 °C and extraction time of 40 min. And the extraction efficiency reached 27.22 ± 0.31 mg/g. Then kinetic and thermodynamic mechanisms were investigated comprehensively, and the results showed that the extraction process could be well fitted by Fick’s second law. In addition, macroporous resins were used to recover flavonoids from extracts. The adsorption efficiency of flavonoids on HP20 resins under the optimal conditions (time of 2 h, liquid–resin ratio of 2.5 mL/g, temperature of 25 °C) could reach 80.14 ± 0.33%. Full article
(This article belongs to the Special Issue Optimization of Process Methodology for Specialty and Fine Chemicals)
Show Figures

Graphical abstract

19 pages, 3669 KB  
Article
Integrated Transcriptomic and Metabolomic Analyses Reveal Root-Centered Regulatory Networks Conferring Cadmium Tolerance in Salix
by Xiaomei Song, Ningqi Wang, Yuyi Zhang, Xudong He, Nan Guo and Jun Tao
Horticulturae 2026, 12(4), 473; https://doi.org/10.3390/horticulturae12040473 - 10 Apr 2026
Abstract
Cadmium (Cd) is a major environmental pollutant due to its high mobility and persistence in soils, facilitating entry into the food chain and threatening ecosystems and human health. However, the mechanisms that enable Salix species, well adapted for Cd remediation, to both tolerate [...] Read more.
Cadmium (Cd) is a major environmental pollutant due to its high mobility and persistence in soils, facilitating entry into the food chain and threatening ecosystems and human health. However, the mechanisms that enable Salix species, well adapted for Cd remediation, to both tolerate and accumulate Cd remain elusive. Here, two Salix genotypes with contrasting Cd tolerance were examined under control and Cd stress using integrated physiological, transcriptomic, and metabolomic analyses of roots and leaves. The Cd-tolerant genotype (Salix suchowensis P294) maintained biomass under Cd stress, whereas the Cd-sensitive genotype (Salix sinopurpurea × Salix integra P646) showed a ~17% reduction. P294 accumulated more Cd in its stems (132.76 mg kg−1) and leaves (122.25 mg kg−1) than P646 (93.54 and 56.24 mg kg−1). Transcriptomics responses were stronger in roots, with 896 DEGs in P294 and 462 in P646, enriched in nitrogen metabolism, phenylpropanoid biosynthesis, and metal transport, whereas only 167 and 176 DEGs were detected in leaves for P294 and P646, respectively. Metabolomics revealed more altered metabolites in roots (125 in P294, 89 in P646), mainly organic acids, amino acids, and flavonoids, compared with leaves (46 and 66). RT-qPCR validated the root-specific upregulation of key detoxification and transport genes (ABCA7, PRX72, GSTU1, GSTU4, ZIP1). These results reveal a root-centered regulatory network underlying Cd accumulation and tolerance, integrating detoxification, redox homeostasis, and structural reinforcement, as well as providing valuable targets for genetic improvement of phytoremediation efficiency. Full article
(This article belongs to the Section Biotic and Abiotic Stress)
Show Figures

Figure 1

18 pages, 792 KB  
Review
Modulation of Redox Balance by Phytochemicals: Implications for Cardiovascular Health
by Morana Jaganjac and Nelson N. Orie
Nutrients 2026, 18(8), 1204; https://doi.org/10.3390/nu18081204 - 10 Apr 2026
Abstract
Cardiovascular diseases (CVDs) are the leading cause of mortality worldwide, with oxidative stress playing a major role in disease pathogenesis by promoting endothelial dysfunction, vascular inflammation, and tissue damage. Oxidative stress results from an imbalance between antioxidant defenses and reactive oxygen species (ROS) [...] Read more.
Cardiovascular diseases (CVDs) are the leading cause of mortality worldwide, with oxidative stress playing a major role in disease pathogenesis by promoting endothelial dysfunction, vascular inflammation, and tissue damage. Oxidative stress results from an imbalance between antioxidant defenses and reactive oxygen species (ROS) in favor of ROS. Excessive ROS damage macromolecules and may trigger a chain reaction of lipid peroxidation, protein modification, and DNA damage. Phytochemicals are naturally occurring compounds in fruits and vegetables that may modulate redox homeostasis and positively impact cardiovascular health. The flavonoid Quercetin, Resveratrol, Curcuminoids, Coenzyme Q10, Hydroxysafflor yellow A, and Vitamins C and E have shown promise in human studies for improving endothelial function, lipid profile and markers of oxidative stress and inflammation. Among the key mechanisms of protection are their antioxidant role, anti-inflammatory role or modulation of nuclear factor erythroid 2-related factor 2 (Nrf2) pathway, all of which contribute to cardiovascular protection. However, there are challenges associated with their use for health, such as the complexity of their quality and quantity, which require standardization, as well as their mechanisms of effects. Moreover, their systemic availability and bioactivity largely depend on metabolic transformation by the host gut microbiota. This review analyzed relevant publications in PubMed, Scopus, and Web of Science, up to February 2026, and summarizes current knowledge on phyto–chemical-mediated modulation of oxidative stress and its implications for cardiovascular protection in humans. The evidence suggests that phytochemicals hold promise for CVD prevention and treatment, but more work is needed to achieve standardization in quality and quantity. Full article
20 pages, 4657 KB  
Article
Zinc Oxide Nanoparticles Enhance Vigor of Aged Naked Oat Seeds: Transcriptomic Insights into Antioxidant and Metabolic Reprogramming
by Futian Chen, Yuan Ma, Kuiju Niu, Fangyuan Zhao, Yajiao Zhao, Ruirui Yao, Tao Shao and Huan Liu
Agriculture 2026, 16(8), 842; https://doi.org/10.3390/agriculture16080842 - 10 Apr 2026
Abstract
Naked oat (Avena nuda L.) is an important dual-purpose crop for grain and forage in cold regions; however, its high fatty acid content renders seeds prone to deterioration during storage. This study aimed to investigate the protective effects of zinc oxide nanoparticles [...] Read more.
Naked oat (Avena nuda L.) is an important dual-purpose crop for grain and forage in cold regions; however, its high fatty acid content renders seeds prone to deterioration during storage. This study aimed to investigate the protective effects of zinc oxide nanoparticles (ZnO NPs) on artificially aged naked oat seeds and elucidate the underlying molecular mechanisms. Non-aged seeds (Naged) were subjected to artificial aging at 45 °C and 100% relative humidity for 24 h (Aged), followed by priming with 30 mg L−1 ZnO NPs for 6 h (Daged). Antioxidant enzyme activities were determined spectrophotometrically, and transcriptome sequencing was performed on an Illumina platform to identify differentially expressed genes (DEGs) and enriched pathways. We found that ZnO NPs increased catalase (CAT), peroxidase (POD) and superoxide dismutase (SOD) activities by 3–4-fold, restored germination rate from 75% to 98%, and enhanced seed vigor index. A total of 21,403 DEGs were detected, with 15,841 stably expressed in response to nano-priming. Reactive oxygen species (ROS) burst rapidly induced up-regulation of AP2/EREBP transcription factor family members, which subsequently activated antioxidant enzyme genes to maintain cellular redox homeostasis. Metabolic pathway analysis demonstrated that the phenylpropanoid pathway was reprogrammed, characterized by down-regulated lignin biosynthesis and up-regulated flavonoid production, thereby enhancing ROS scavenging capacity. Additionally, the pentose phosphate pathway was activated to provide additional NADPH for antioxidant defense, and up-regulated ADP-glucose pyrophosphorylase (AGPase) facilitated starch accumulation. Notably, the 40S ribosomal protein S13 exhibited the highest connectivity in protein–protein interaction networks, was up-regulated 2.1-fold, and was enriched in post-translational modification processes. These findings suggest that nano-priming with ZnO NPs represents a promising biotechnological strategy for enhancing seed vigor and storability in naked oat, with potential applications in sustainable agriculture and the seed industry. Full article
(This article belongs to the Topic Nano-Enabled Innovations in Agriculture)
Show Figures

Figure 1

14 pages, 959 KB  
Article
Cultivar Variation in Growth, Yield, and Nutritional Quality of Pea Sprouts and Fresh Seeds for the Selection of Specialized Cultivars
by Cheng-Na Zhou, Jing Bai, Xiao-Yan Zhang, Feng-Jing Song, Jun-Jie Hao, Shi-Zuo Qiu, Xiao Cui, Wen-Jiao Wang, Kai-Hua Jia, Ru-Mei Tian, Min Liu, Guan Li and Na-Na Li
Agronomy 2026, 16(8), 784; https://doi.org/10.3390/agronomy16080784 - 10 Apr 2026
Abstract
To clarify cultivar differences in growth performance, yield formation, and bioactive characteristics at the sprout and fresh seed stages, twelve pea cultivars were evaluated. Growth traits, yield formation, and changes in phenolic compounds and antioxidant activity during sprouting were assessed, and the nutritional [...] Read more.
To clarify cultivar differences in growth performance, yield formation, and bioactive characteristics at the sprout and fresh seed stages, twelve pea cultivars were evaluated. Growth traits, yield formation, and changes in phenolic compounds and antioxidant activity during sprouting were assessed, and the nutritional quality and mineral element composition of fresh seeds were also determined. The results showed that cultivars 24-164 and 24-510 exhibited low germination rates and severe cotyledon decay, making them unsuitable for sprout production. Significant differences were observed among the remaining cultivars in growth traits, edible ratio, and yield efficiency, with cultivars 24-724 and 24-486 showing superior processing efficiency and utilization value. During sprouting, total phenolic and total flavonoid contents, as well as 2,2′-azino-bis(3-ethylbenzothiazoline-6-sulfonic acid) (ABTS) radical scavenging activity and ferric reducing antioxidant power (FRAP), were significantly influenced by both cultivar and light exposure stage. Root length and root diameter were significantly and positively correlated with phenolic accumulation and antioxidant activity. Analysis of fresh seed quality revealed marked inter-cultivar variation in nutritional and health-related traits. Cultivar 24-486 exhibited the highest values for phenolic content, antioxidant capacity, vitamin C, vitamin E, and Fe and Se accumulation, whereas cultivar 24-013 showed advantages in calcium and potassium contents. These results identify cultivars 24-724 and 24-486 as promising candidates for sprout production and highlight cultivar 24-486 as a dual-purpose genotype for both sprout and fresh seed utilization. Full article
(This article belongs to the Special Issue Cultivar Development of Pulses Crop—2nd Edition)
22 pages, 849 KB  
Article
The Effect of Arbuscular Mycorrhizal Fungi on Plant Development and Accumulation of Phenolics in the Flower Heads of Meadow Arnica (Arnica chamissonis Less.)
by Zenon Węglarz, Sylwia Styczyńska, Agata Jędrzejuk, Marzena Sujkowska-Rybkowska, Jarosław Leon Przybył, Olga Kosakowska, Kh Altantsetseg and Katarzyna Bączek
Agronomy 2026, 16(8), 782; https://doi.org/10.3390/agronomy16080782 - 10 Apr 2026
Viewed by 21
Abstract
Meadow arnica is a valuable medicinal plant, used in both the pharmaceutical and cosmetic industries. The aim of the study was to determine the influence of arbuscular mycorrhizal fungi (AMF) on the development, yield, and quality of flower heads (raw material) of meadow [...] Read more.
Meadow arnica is a valuable medicinal plant, used in both the pharmaceutical and cosmetic industries. The aim of the study was to determine the influence of arbuscular mycorrhizal fungi (AMF) on the development, yield, and quality of flower heads (raw material) of meadow arnica grown in an organic farming system. The inoculation of plants with AMF improved the mass of above- and underground organs, including the mass of raw material, as well as the content of chlorophylls and general sugar in the leaves, followed by enhanced starch storage in the roots. The content of phenolics in the raw material was determined using high-performance liquid chromatography (HPLC). The following flavonoids were assessed here: cynaroside, rutin, hyperoside, cosmosiin, astragalin, and diosmetin, as well as the phenolic acids: neochlorogenic, chlorogenic, caffeic, ferulic, rosmarinic, cichoric, 3,4-di-O-caffeoylquinic, and 1,5-dicaffeoylquinic acids. The contents of these substances were higher in non-inoculated plants than in inoculated ones, which contradicts most studies conducted to date on medicinal and aromatic plants. Nevertheless, the results are interesting primarily because of the beneficial developmental changes in inoculated plants, as evidenced by a significantly higher mass of arnica flower heads, more efficient uptake of mineral nutrients from the soil, and lower nitrogen levels in aboveground organs. Full article
Show Figures

Figure 1

6 pages, 909 KB  
Commentary
Citrus Peels in Health Foods: A Case Study of Pulp-Free Japanese-Grown Bushukan (Citrus medica var. sarcodactylis)
by Jun Nakahigashi and Eiji Kobayashi
Metabolites 2026, 16(4), 254; https://doi.org/10.3390/metabo16040254 - 10 Apr 2026
Viewed by 36
Abstract
Background/Objectives: Citrus peels are widely utilized as functional ingredients in health foods; however, their functional value is often assumed based on botanical classification rather than verified chemical composition. Bushukan (Citrus medica var. sarcodactylis) was selected as it lacks developed edible pulp; [...] Read more.
Background/Objectives: Citrus peels are widely utilized as functional ingredients in health foods; however, their functional value is often assumed based on botanical classification rather than verified chemical composition. Bushukan (Citrus medica var. sarcodactylis) was selected as it lacks developed edible pulp; consequently, the usable portion consists almost entirely of peel tissue, making it a suitable model for evaluating peel-specific functional components. This commentary highlights the importance of species- and origin-specific evaluation through a case study of Bushukan (Citrus medica var. sarcodactylis) whole fruit powder cultivated in Japan. Methods: Dried whole-fruit powder samples of bushukan, prepared by freeze-drying and hot-air drying at 50 °C, were analyzed, and the contents of hesperidin and nobiletin were quantified using high-performance liquid chromatography (HPLC) following methanol reflux extraction. Results: Hesperidin was detected at 75 mg/100 g under both drying conditions, whereas nobiletin was below the practical limit of quantification (approximately 1 mg/100 g). No reduction in hesperidin content was observed after drying at 50 °C. These levels were markedly lower than those reported for commonly used citrus peels, such as satsuma mandarin, in previous studies. Conclusions: This commentary demonstrates that Japanese-grown bushukan samples do not necessarily provide substantial levels of commonly expected citrus flavonoids. These findings underscore the need for species- and origin-specific compositional verification before the use of citrus peels as raw materials for health food applications, illustrating this need through a practical, cautionary case study. Full article
(This article belongs to the Section Food Metabolomics)
Show Figures

Figure 1

27 pages, 875 KB  
Article
Advancing the Potential of Ostericum palustre (Besser) Besser (Synonym Angelica pancicii Vandas ex. Velen.) of Bulgarian Origin as a Source of Bioactive Compounds: Metabolite Profiling and Pharmacological Activity
by Reneta Gevrenova, Gokhan Zengin, Kouadio Ibrahime Sinan, Inci Kurt-Celep, Alexandra Stefanova and Dimitrina Zheleva-Dimitrova
Plants 2026, 15(8), 1172; https://doi.org/10.3390/plants15081172 - 10 Apr 2026
Viewed by 36
Abstract
Ostericum palustre (Besser) Besser (synonym Angelica pancicii Vandas ex. Velen.) is a Eurasian species from the Apiaceae family, previously related to the Balkan endemic species A. pancicii. The study aims to provide a thorough profiling of methanol-aqueous extracts from O. palustre leaves, [...] Read more.
Ostericum palustre (Besser) Besser (synonym Angelica pancicii Vandas ex. Velen.) is a Eurasian species from the Apiaceae family, previously related to the Balkan endemic species A. pancicii. The study aims to provide a thorough profiling of methanol-aqueous extracts from O. palustre leaves, roots, and inflorescences integrated with an evaluation of antioxidant potential and enzyme inhibitory activity towards some therapeutic targets. For the first time, a series of simple coumarins and furanocoumarins alongside phenolic and acylquinic acids, and flavonoids were annotated/dereplicated in the O. palustre of Bulgarian origin by liquid chromatography coupled with quadrupole—Orbitrap high resolution mass spectrometry acquisition platform. According to the discriminant analysis (sPLS-DA) of the biological potential, radical scavenging activity (47.9 mg TE/g in DPPH and 61.8 mg TE/g in ABTS), reducing power (102.2 mg TE/g in CUPRAC and 57.4 mg TE/g in FRAP), and metal-chelating capacity (20.1 mg EDTAE/g) accounted mainly for the stronger antioxidant activity of inflorescences extract than roots and leaves. Root extracts exhibited anti-collagenase, anti-elastase, and anti-hyaluronidase effects with lower IC50 values (IC50 37.22, 42.47 and 32.09 μg/mL, respectively). Pearson relationship analysis revealed potent antioxidants including furanocoumarins (oxypeucedanin hydrate, xanthotoxol/bergaptol, byakangelicin/isobyakangelicin, ostruthol) and phenolic acids, while a series of angelols alongside feruloylquinic and dicaffeoylquinic acids, and flavonol glycosides hold significance for the neuroprotective activity of the leaves extract. The enzyme inhibitory activity of the root extracts towards collagenase, elastase and hyaluronidase, related to the anti-aging activity, was ascribed to simple hydroxylated/methoxylated coumarins. The study suggests the potential health benefits of O. palustre extracts as antioxidant, anti-aging, and neuroprotective agents. Full article
27 pages, 18061 KB  
Article
Effects of Drought Stress on Leaf Micromorphology, Glandular Trichomes, and the Accumulation of Essential Oils and Flavonoids in Four Lamiaceae Species
by Csilla Tóth, Enikő Bodó, Szabolcs Vigh and Brigitta Tóth
Horticulturae 2026, 12(4), 470; https://doi.org/10.3390/horticulturae12040470 - 10 Apr 2026
Viewed by 34
Abstract
The effects of progressive drought stress were examined in four economically important plant species belonging to the Lamiaceae family: catnip (Nepeta cataria L.), lavender (Lavandula angustifolia Mill.), holy basil (Ocimum tenuiflorum L.), and perilla mint (Perilla frutescens (L.) Britton). [...] Read more.
The effects of progressive drought stress were examined in four economically important plant species belonging to the Lamiaceae family: catnip (Nepeta cataria L.), lavender (Lavandula angustifolia Mill.), holy basil (Ocimum tenuiflorum L.), and perilla mint (Perilla frutescens (L.) Britton). Plants were grown in a controlled pot experiment under three soil water capacity levels: 70% (control), 50% (moderate stress), and 30% (severe stress), and the drought stress lasted for 30 days. The study evaluated a comprehensive set of leaf micromorphological parameters, including the density and diameter of glandular trichomes, stomatal density and size, and the thickness of the lamina, mesophyll, epidermis, cuticle, and parenchymal layers. In addition, essential oil (EO) content, total flavonoid content (TFC), and elemental composition were analyzed. Drought responses were strongly species-specific. O. tenuiflorum, P. frutescens, and N. cataria showed high sensitivity characterized by reduced biomass and thinning of leaf tissues. These changes were accompanied by typical xeromorphic adaptations, such as increased stomatal and glandular trichome density, and reduced stomatal size. L. angustifolia exhibited pronounced cuticle thickening, suggesting an effective structural mechanism to minimize water loss. Secondary metabolism also responded differently among species. In some cases, drought shifted metabolic allocation toward flavonoid accumulation at the expense of essential oils, whereas in others, moderate stress promoted the co-accumulation of both compounds. These patterns indicate distinct adaptive strategies linking anatomical plasticity with metabolic regulation. Overall, moderate drought supported adaptive responses, while severe water limitation impaired growth and metabolic production. From a practical perspective, maintaining moderate soil water availability appears critical to optimize both plant performance and the accumulation of valuable secondary metabolites in Lamiaceae species. Full article
Show Figures

Figure 1

12 pages, 664 KB  
Article
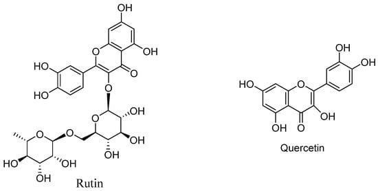
Xanthine Oxidase Inhibitory Potential of Achillea santolina Methanolic Extract with ROS Modulation in HepG2 Cells
by Arwa R. Althaher, Mirna W. Awadallah and Muhammad N. Qattoum
Int. J. Mol. Sci. 2026, 27(8), 3401; https://doi.org/10.3390/ijms27083401 - 10 Apr 2026
Viewed by 57
Abstract
Achillea santolina is traditionally utilized in herbal therapy; nonetheless, its xanthine oxidase inhibitory and cellular antioxidant properties are not extensively investigated. This work aimed to identify the phytochemical composition of the methanolic extract of A. santolina aerial parts via LC–MS and to assess [...] Read more.
Achillea santolina is traditionally utilized in herbal therapy; nonetheless, its xanthine oxidase inhibitory and cellular antioxidant properties are not extensively investigated. This work aimed to identify the phytochemical composition of the methanolic extract of A. santolina aerial parts via LC–MS and to assess its xanthine oxidase (XO) inhibitory activity and its modulatory effects on intracellular reactive oxygen species (ROS) in HepG2 cells. The methanolic extract underwent LC–MS analysis for phytochemical identification, and XO inhibitory activity was assessed spectrophotometrically using allopurinol as the reference medication. Intracellular ROS levels were determined using the DCFH-DA fluorescent assay following xanthine-induced oxidative stress. LC–MS profiling identified ten compounds representing 95.1% of the extract, with flavonoid glycosides (44.1%) as the predominant class. Rutin (18.6%) and luteolin-7-O-glucoside (15.2%) were the major constituents. The extract demonstrated concentration-dependent inhibition of XO, with an IC50 value of 29.3 ± 0.4 µg/mL, compared to 2.1 ± 0.3 µg/mL for allopurinol. In HepG2 cells, xanthine significantly increased ROS production, while pre-treatment with the extract greatly diminished ROS levels in a dose-dependent manner, reaching approximately 75% inhibition at 50 µg/mL. The results demonstrate that the methanolic extract of A. santolina exhibits significant xanthine oxidase inhibitory and antioxidant properties, possibly due to its elevated flavonoid concentration, indicating its potential utility in addressing oxidative stress-related disorders. To the best of our knowledge, this study provides the first report on the combined xanthine oxidase inhibitory and intracellular ROS-modulating activities of A. santolina methanolic extract. Full article
(This article belongs to the Section Bioactives and Nutraceuticals)
Show Figures

Figure 1

17 pages, 1736 KB  
Article
Temperature-Directed Reprogramming of Volatile and Semi-Volatile Metabolism in Ginkgo biloba Microclones Under Cold and Heat Stress
by Nazym Korbozova, Lidiia Samarina, Elvira Shadenova, Dariga Dairbekova, Malika Yerbay and Nina Terletskaya
Int. J. Mol. Sci. 2026, 27(8), 3393; https://doi.org/10.3390/ijms27083393 - 10 Apr 2026
Viewed by 100
Abstract
Temperature is a major determinant of plant metabolic plasticity, yet its role in directing volatile and semi-volatile specialized metabolism in Ginkgo biloba remains poorly understood. In this study, we investigated how contrasting low- and high-temperature treatments reshape secondary metabolite contents in G. biloba [...] Read more.
Temperature is a major determinant of plant metabolic plasticity, yet its role in directing volatile and semi-volatile specialized metabolism in Ginkgo biloba remains poorly understood. In this study, we investigated how contrasting low- and high-temperature treatments reshape secondary metabolite contents in G. biloba microclones cultivated in vitro. Plants were exposed to cold (+3 °C) and heat (+30 °C) conditions, and their responses were analyzed using GC–MS profiling, anatomical measurements, chlorophyll fluorescence, and multivariate statistics. Cold treatment selectively increased the abundances of monoterpenes (13.22%) and sesquiterpenes (13.83%), with the strongest accumulation of caryophyllene, eucalyptol, and (1S)-camphor. In contrast, heat treatment reduced ester content to 3.73% and strongly enriched oxy-sesquiterpenes (46.50%) and lactone/ketone/spiroketone (29.54%) contents. The enhanced accumulation of isocalamendiol, isoshyobunone, cyclohexanone derivative, dehydroxy-isocalamendiol, and (+)-2-bornanone was observed under heat. According to the multivariate analysis, control plants were associated with traits reflecting optimal physiological performance, including greater parenchyma, phloem, and xylem thickness, larger vascular bundles, longer stomata, and higher NPQ, qN, Y(NPQ), and Fv/Fm. Cold-treated plants showed thicker epidermis and sclerenchyma, higher stomatal density and width, elevated Y(NO), and an enrichment of esters and terpenoids, whereas heat-treated plants were characterized by thicker adaxial and abaxial epidermis, increased mesophyll thickness, and higher levels of oxygenated metabolites. These findings expand current knowledge beyond terpene trilactones and flavonoids and identify Ginkgo microclones as a useful in vitro model for temperature-guided metabolic reprogramming and targeted metabolite enrichment. Full article
(This article belongs to the Special Issue Plant Responses to Biotic and Abiotic Stresses)
Show Figures

Figure 1

Back to TopTop