Extraction and Recovery of Flavonoids from Tartary Buckwheat Using Deep Eutectic Solvents
Abstract
1. Introduction
2. Results and Discussion
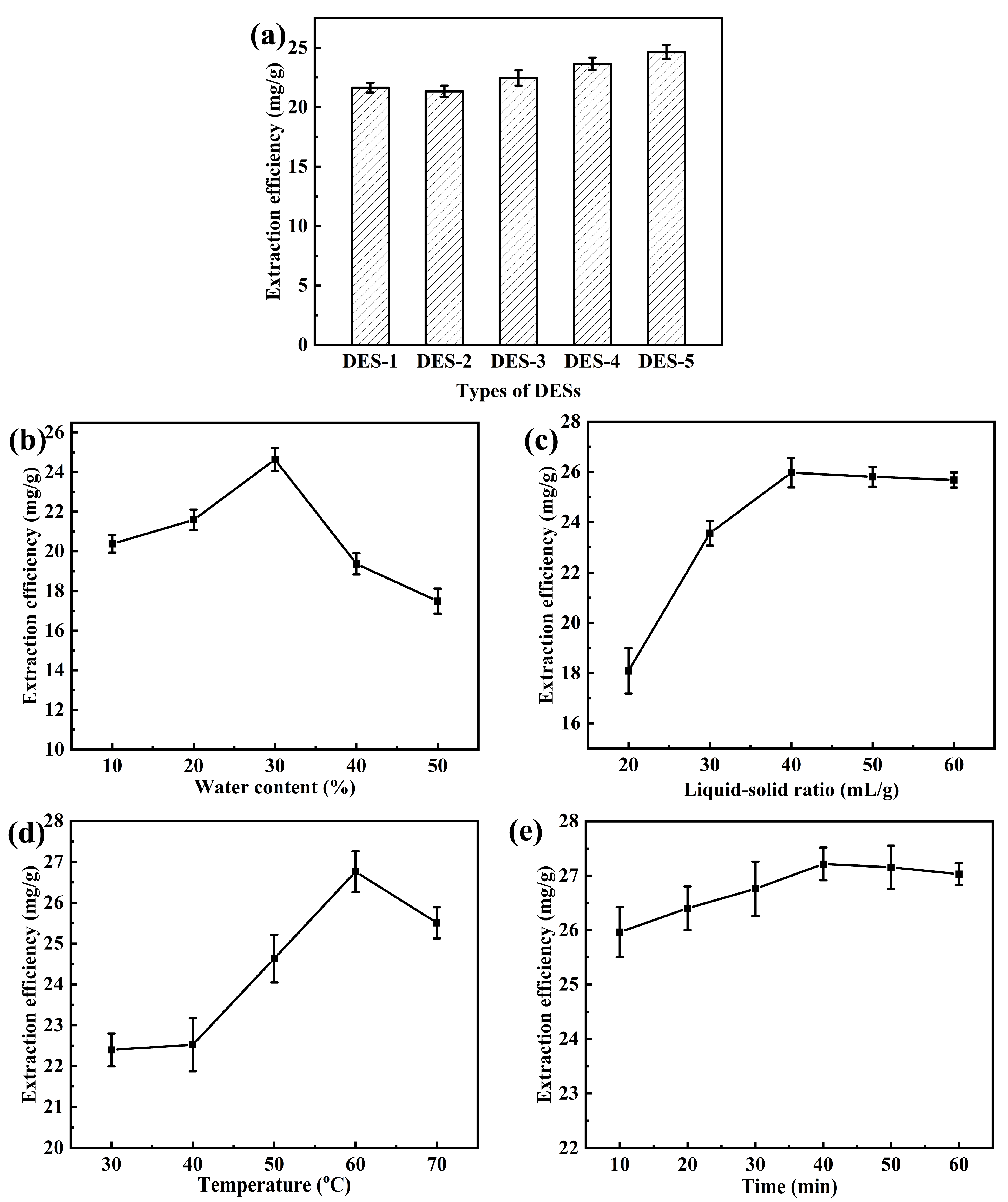
2.1. Investigation on Extraction Conditions
2.1.1. Effect of the DES Types on the Extraction Efficiency
2.1.2. Effect of the Water Content on the Extraction Efficiency
2.1.3. Effect of Liquid–Solid Ratio on the Extraction Efficiency
2.1.4. Effect of Temperature on the Extraction Efficiency
2.1.5. Effect of Time on the Extraction Efficiency
2.1.6. Comparison of Different Extraction Methods
2.2. Extraction Kinetic and Thermodynamic Analysis
2.3. Recovery of Flavonoids
2.3.1. Screening of Macroporous Resins
2.3.2. Effect of the Adsorption Time on Adsorption Efficiency
2.3.3. Effect of the Liquid–Resin Ratio on Adsorption Efficiency
2.3.4. Effect of the Adsorption Temperature on Adsorption Efficiency
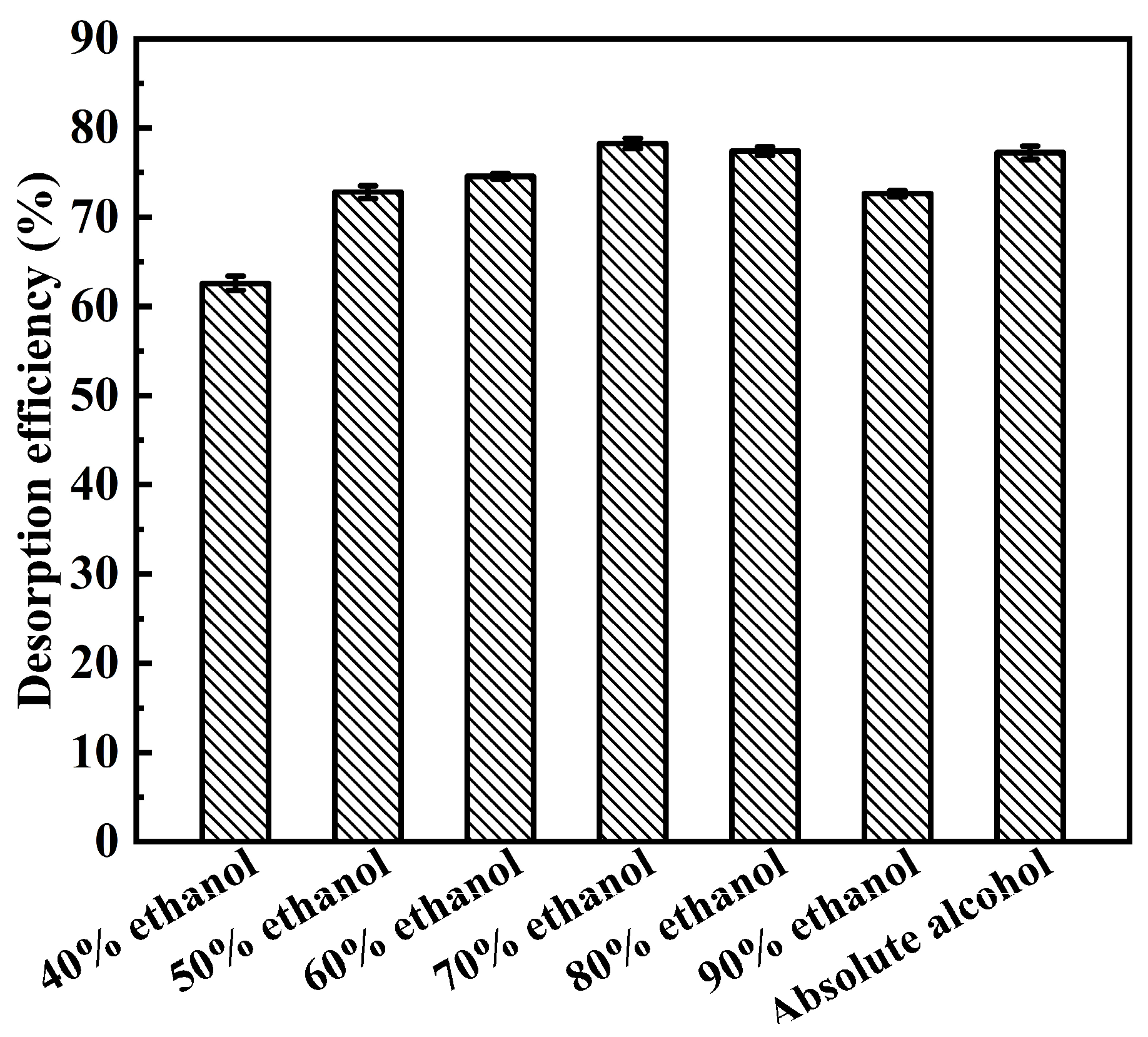
2.3.5. Screening of Eluent Solvent
3. Materials and Methods
3.1. Materials and Instruments
3.2. Preparation of DES
3.3. Extraction Procedure
3.3.1. Quantification of TB Flavonoids
3.3.2. Investigation on Extraction Conditions
3.3.3. Extraction Kinetic and Thermodynamic Analysis
3.4. Recovery of Flavonoids
3.5. Statistical Analysis
4. Conclusions
Author Contributions
Funding
Institutional Review Board Statement
Informed Consent Statement
Data Availability Statement
Conflicts of Interest
References
- Almuhayawi, M.S.; Hassan, A.H.A.; Abdel-Mawgoud, M. Laser light as a promising approach to improve the nutritional value, antioxidant capacity and anti-inflammatory activity of flavonoid-rich buckwheat sprouts. Food Chem. 2021, 345, 128788. [Google Scholar] [CrossRef]
- Liu, Y.F.; Di, D.L.; Bai, Q.Q.; Li, J.T.; Chen, Z.B.; Lou, S.; Ye, H.L. Preparative separation and purification of rebaudioside a from steviol glycosides using mixed-mode macroporous adsorption resins. J. Agric. Food Chem. 2011, 59, 9629–9636. [Google Scholar] [CrossRef]
- Alsaedi, A.A.; Hossain, M.S.; Balakrishnan, V.; Shaah, M.A.H.; Makhtar, M.M.Z.; Ismail, N.; Naushad, M.; Bathula, C. Extraction and separation of lipids from municipal sewage sludge for biodiesel production: Kinetics and thermodynamics modeling. Fuel 2022, 325, 124946. [Google Scholar] [CrossRef]
- He, Q.; Guo, Z.X.; Cao, Y.; Yang, M.; Yao, S. Selective separation of main flavonoids by combinational use of ionic liquid-loaded microcapsules from crude extract of Tartary buckwheat. Food Chem. 2021, 362, 130255. [Google Scholar] [CrossRef]
- Feng, X.T.; Cao, Y.; Qin, Y.T.; Zhao, S.Y.; Toufouki, S.; Yao, S. Triphase dynamic extraction system involved with ionic liquid and deep eutectic solvent for various bioactive constituents from Tartary buckwheat simultaneously. Food Chem. 2023, 405, 134955. [Google Scholar] [CrossRef] [PubMed]
- Hayouni, E.A.; Abedrabba, M.; Bouix, M.; Hamdi, M. The effects of solvents and extraction method on the phenolic contents and biological activities in vitro of Tunisian Quercus coccifera L. and Juniperus phoenicea L. fruit extracts. Food Chem. 2007, 105, 1126–1134. [Google Scholar] [CrossRef]
- Le, N.T.; Ho, H.T.T.; Duong, T.D.; Le, T.T.; Nguyen, Q.P.; Nguyen, T.N.T.; Nguyen, H.T. Optimization of ultrasonic-assisted extraction and purification of flavonoids from Sophora japonica L. with macroporous resins. Sep. Sci. Technol. 2024, 59, 419–435. [Google Scholar] [CrossRef]
- Wen, L.; Zhang, X.P.; Wang, S.L.; Guo, X.F.; Zhang, X.L. Research progress on extraction and detection technologies of flavonoid compounds in foods. Foods 2024, 13, 628. [Google Scholar] [CrossRef] [PubMed]
- Wang, C.; Zhang, W.; Liao, Y.; Ye, J.; Xu, F.; Wang, Q. Ginkgo biloba flavonoids: Analysis of functions, regulatory mechanisms, and extraction. Plant Biol. J. 2025, 27, 962–974. [Google Scholar] [CrossRef]
- Cao, Q.; Yan, J.; Sun, Z.; Gong, L.; Wu, H.; Tan, S.; Lei, Y.; Jiang, B.; Wang, Y. Simultaneous optimization of ultrasound-assisted extraction for total flavonoid content and antioxidant activity of the tender stem of Triarrhena lutarioriparia using response surface methodology. Food Sci. Biotechnol. 2021, 30, 37–45. [Google Scholar] [CrossRef] [PubMed]
- Lai, C.L.; Huang, M.L.; Xiong, Q.; Liang, Y.; Jiang, Y.M.; Zhang, J. Green and efficient approach to extract bioactive flavonoids with antioxidant, antibacterial, antiglycation, and enzyme inhibitory activities from navel orange peel. Sustain. Chem. Pharm. 2024, 38, 101479. [Google Scholar] [CrossRef]
- Tzanova, M.T.; Yaneva, Z.; Ivanova, D.; Toneva, M.; Grozeva, N.; Memdueva, N. Green solvents for extraction of natural food colorants from plants: Selectivity and stability issues. Foods 2024, 13, 605. [Google Scholar] [CrossRef]
- Cao, J.; Yang, M.; Cao, F.; Wang, J.; Su, E. Well-designed hydrophobic deep eutectic solvents as green and efficient media for the extraction of Artemisinin from Artemisia annua Leaves. ACS Sustain. Chem. Eng. 2017, 5, 3270–3278. [Google Scholar] [CrossRef]
- Dai, Y.T.; Van Spronsen, J.; Witkamp, G.J.; Verpoorte, R.; Choi, Y.H. Natural deep eutectic solvents as new potential media for green technology. Anal. Chim. Acta 2013, 766, 61–68. [Google Scholar] [CrossRef]
- Meenu, M.; Bansal, V.; Rana, S.; Sharma, N.; Kumar, V.; Arora, V.; Garg, M. Deep eutectic solvents (DESs) and natural deep eutectic solvents (NADESs): Designer solvents for green extraction of anthocyanin. Sustain. Chem. Pharm. 2023, 34, 110168. [Google Scholar] [CrossRef]
- Hao, Y.; Pei, F.X.; Huang, J.J.; Li, G.Z.; Zhong, C.L. Application of deep eutectic solvents on extraction of flavonoids. J. Sep. Sci. 2024, 47, 2300925. [Google Scholar] [CrossRef]
- Maxim, C.; Blaga, A.C.; Tataru-Farmus, R.E.; Suteu, D. Acmella oleracea metabolite extraction using natural deep eutectic solvents. Processes 2024, 2, 1686. [Google Scholar] [CrossRef]
- Luo, J.W.; Yang, Z.M.; Huang, X.H.; Cai, J.Y.; Zhong, H.Y. Efficient and green ultrasonic-assisted extraction of flavonoids from Sophorae Tonkinensis Radix Et Rhizoma using deep eutectic solvent: Optimization and extraction mechanism. Ind. Crop Prod. 2025, 226, 120738. [Google Scholar] [CrossRef]
- Peng, W.L.; Wang, X.G.; Wang, W.M.; Wang, Y.Y.; Huang, J.J.; Zhou, R.G.; Bo, R.N.; Liu, M.J.; Yin, S.J.; Li, J.G. Comparison, optimization and antioxidant activity of ultrasound-assisted natural deep eutectic solvents extraction and traditional method: A greener route for extraction of flavonoid from Moringa oleifera Lam. Leaves. Ultrason. Sonochem. 2024, 109, 107003. [Google Scholar] [CrossRef]
- Kaur, K.; Schmitt-Kopplin, P.; Malik, A.K. Green and efficient extraction of phenolic compounds from neem leaves using deep eutectic solvents based ultrasonic-assisted extraction. Food Chem. 2024, 451, 139500. [Google Scholar] [CrossRef] [PubMed]
- Hu, Y. Molecular mechanisms of the green extraction, gel design, and antioxidant activity study of licorice flavonoids. Ph.D. Thesis, Southern Medical University, Guangzhou, China, 2024. [Google Scholar]
- Zhang, H.; Lin, Y.; Bao, Y.N.; Li, W.J.; Hong, B.; Zhao, M. A high selective separation method for high-purity polysaccharides from dandelions by density-oriented deep eutectic solvent ultrasonic-assisted system. Sustain. Chem. Pharm. 2024, 42, 101844. [Google Scholar] [CrossRef]
- Pal, C.B.T.; Jadeja, G.C. Deep eutectic solvent-based extraction of polyphenolic antioxidants from onion (Allium cepa L.) peel. J. Sci. Food Argic. 2019, 99, 1969–1979. [Google Scholar] [CrossRef]
- He, Q.F.; Tang, G.Y.; Hu, Y.X.Z.; Liu, H.L.; Tang, H.; Zhou, Y.F.; Deng, X.L.; Peng, D.; Qian, Y.P.; Guo, W.; et al. Green and highly effective extraction of bioactive flavonoids from Fructus aurantii employing deep eutectic solvents-based ultrasonic-assisted extraction protocol. Ultrason. Sonochem. 2024, 102, 106761. [Google Scholar] [CrossRef]
- Wang, M.; Wang, J.Q.; Zhou, Y.Y.; Zhang, M.Y.; Xia, Q.; Bi, W.T.; Chen, D.D.Y. Ecofriendly mechanochemical extraction of bioactive compounds from plants with deep eutectic solvents. ACS Sustain. Chem. Eng. 2017, 5, 6297–6303. [Google Scholar] [CrossRef]
- Wang, L.J.; Liu, S.M.; Li, K.; He, P.X. Study on the stability and bacteriostasis activity of flavonoids in Black Tartary Buckwheat. Cereals Oils 2015, 28, 62–65. [Google Scholar] [CrossRef]
- Gao, Q.; Peng, D.L.; Ran, H.L.; Wang, Z.J.; Zhang, X.X.; Li, H.; Zhuang, S.Y.; Liu, M.Q.; Zhang, X.; Zhang, C.J.; et al. Novel green biphasic DES for ultrasound-assisted simultaneous efficient extraction and in-situ separation of flavonoids from Citri reticulatae Pericarpium: Process optimization and mechanism investigation. Microchem. J. 2026, 224, 117581. [Google Scholar] [CrossRef]
- Antony, A.; Farid, M. Effect of temperatures on polyphenols during extraction. Appl. Sci. 2022, 12, 2107. [Google Scholar] [CrossRef]
- Zhang, J.M.; Wang, D.; Wu, Y.H.; Li, W.; Hu, Y.C.; Zhao, G.; Fu, C.M.; Fu, S.; Zou, L. Lipid-polymer hybrid nanoparticles for oral delivery of Tartary buckwheat flavonoids. J. Agric. Food Chem. 2018, 66, 4923–4932. [Google Scholar] [CrossRef]
- Huang, Y.; Feng, F.; Jiang, J.; Qiao, Y.; Wu, T.; Voglmeir, J.; Chen, Z.G. Green and efficient extraction of rutin from tartary buckwheat hull by using natural deep eutectic solvents. Food Chem. 2017, 221, 1400–1405. [Google Scholar] [CrossRef]
- Zaid, R.M.; Mishra, P.; Tabassum, S.; Wahid, Z.A.; Sakina, A.M.M. High methoxyl pectin extracts from Hylocereus polyrhizus’s peels: Extraction kinetics and thermodynamic studies. Int. J. Biol. Macromol. 2019, 141, 1147–1157. [Google Scholar] [CrossRef] [PubMed]
- Krishnan, R.Y.; Rajan, K.S. Influence of microwave irradiation on kinetics and thermodynamics of extraction of flavonoids from Phyllanthus emblica. Braz. J. Chem. Eng. 2017, 34, 885–899. [Google Scholar] [CrossRef]
- Wang, Y.G.; Wang, X.J.; Zhang, K.; Zhang, X.; Li, S.W.; Li, Y.L.; Fan, W.G.; Leng, F.F.; Yang, M.J.; Chen, J.X. Extraction kinetics, thermodynamics, rheological properties and anti-BVDV activity of the hot water assisted extraction of Glycyrrhiza polysaccharide. Food Funct. 2020, 11, 4067–4080. [Google Scholar] [CrossRef]
- Wang, L.J.; Yang, X.S.; Qin, P.Y.; Shan, F.; Ren, G.X. Flavonoid composition, antibacterial and antioxidant properties of tartary buckwheat bran extract. Ind. Crops Prod. 2013, 49, 312–317. [Google Scholar] [CrossRef]
- Yadav, R.D.; Dhamole, P.B. Kinetics, thermodynamics and isotherm modelling of cloud point extraction of lycopene. Indian J. Chem. Technol. 2024, 33, 307–317. [Google Scholar] [CrossRef]
- Hou, F.R.; Song, S.S.; Yang, S.H.; Wang, Y.S.; Jia, F.J.; Wang, W.L. Study on the Optimization, extraction kinetics and thermodynamics of the ultrasound-assisted enzymatic extraction of Tremella fuciformis polysaccharides. Foods 2024, 13, 1408. [Google Scholar] [CrossRef]
- Menkiti, M.C.; Agu, C.M.; Udeigwe, T.K. Extraction of oil from Terminalia catappa L.: Process parameter impacts, kinetics, and thermodynamics. Ind. Crop. Prod. 2015, 77, 713–723. [Google Scholar] [CrossRef]
- Aljawarneh, R.Y.A.; Che Zain, M.S.; Zakaria, F. Macroporous polymeric resin for the purification of flavonoids from medicinal plants: A review. J. Sep. Sci. 2024, 47, 2400372. [Google Scholar] [CrossRef]
- Huang, Y.Y.; Zhu, Q.F.; Ye, X.Q.; Zhang, H.J.; Peng, Y.W. Purification of polysaccharide from Solanum nigrum L. by S-8 macroporous resin adsorption. Food Sci. Technol. 2022, 42, 68120. [Google Scholar] [CrossRef]
- Zhang, X.Y.; Su, J.Q.; Chu, X.L.; Wang, X.Y. A green method of extracting and recovering flavonoids from Acanthopanax senticosus using deep eutectic solvents. Molecules 2022, 27, 923. [Google Scholar] [CrossRef]
- Dong, Y.; Zhao, M.M.; Sun-Waterhouse, D.X.; Zhuang, M.Z.; Chen, H.P.; Feng, M.Y.; Lin, L.Z. Absorption and desorption behaviour of the flavonoids from Glycyrrhiza glabra L. leaf on macroporous adsorption resins. Food Chem. 2015, 168, 538–545. [Google Scholar] [CrossRef]
- Wang, X.H.; Wang, J.P. Effective extraction with deep eutectic solvents and enrichment by macroporous adsorption resin of flavonoids from Carthamus tinctorius L. J. Pharm. Biomed. Anal. 2019, 176, 112804. [Google Scholar] [CrossRef]
- Guo, N.; Zou, Y.P.; Li, H.K.; Kou, P.; Liu, Z.M.; Fu, Y.J. Effective extraction and recovery of linarin from Chrysanthemum indicum L. flower using deep eutectic solvents. Microchem. J. 2020, 159, 105586. [Google Scholar] [CrossRef]
- Tang, D.; Zhu, J.X.; Nie, H.; He, B.; Xu, Y.H.; Zhu, Q. Simple and efficient approach for enrichment of major isoflavonoids from Astragalus membranaceus with macroporous resins and their nephroprotective activities. Ind. Crops Prod. 2018, 125, 276–283. [Google Scholar] [CrossRef]
- Zhang, X.Y.; Wang, R.Y.; Zhao, Y.Y.; Zhang, J.; Zhang, B.Y.; Chen, Z.C.; Liu, P.; Chen, Z.B.; Liu, C.L.; Li, X.M. Separation and purification of flavonoids from polygonum cuspidatum using macroporous adsorption resin. Pigm. Resin Technol. 2021, 50, 574–584. [Google Scholar] [CrossRef]
- Jean, B.B.; Serge, B.; Pu, S.C.; Sun, M.H.; Hubert, H. Application of the selected macroporous resin for the separation and identification of flavonoids from Chinese Radix Pueraria Lobata by HPLC-Q-TOF-MS. Microchem. J. 2024, 196, 109662. [Google Scholar] [CrossRef]
- Guo, X.H.; Liu, S.H.; Wang, Z.K.; Zhang, G.G. Ultrasonic-assisted extraction of polysaccharide from Dendrobium officinale: Kinetics, thermodynamics and optimization. Biochem. Eng. J. 2022, 177, 108227. [Google Scholar] [CrossRef]
- Ekaterina, A.K.; Alexander, V.G.; Petr, I.M. Kinetics of solvent extraction of f-elements: A critical review on extraction systems and measurement techniques. J. Mol. Liq. 2024, 414, 126025. [Google Scholar] [CrossRef]
- Guo, Y.Y.; Li, Y.S.; Li, Z.C.; Yan, W.T.; Chen, P.; Yao, S. Extraction assisted by far infrared radiation and hot air circulation with deep eutectic solvent for bioactive polysaccharides from Poriacocos (Schw.) Wolf. Green Chem. 2021, 23, 7170–7192. [Google Scholar] [CrossRef]
- Di, Y.; Liu, Y.F.; Sun, X.M.; Huang, C. Study on kinetics and thermodynamics of active ingredients in tea leaves based on high shear dispersing emulsification technology. J. Instrum. Anal. 2013, 32, 401–407. [Google Scholar] [CrossRef]
- Isci, A.; Kaltschmitt, M. Recovery and recycling of deep eutectic solvents in biomass conversions: A review. Biomass Convers. Bior. 2022, 12, 197–226. [Google Scholar] [CrossRef]
- Wang, R.H.; Liu, H.B.; Tang, Z.S.; Zhu, H.X.; Liu, H.; Guo, R.; Song, Z.X.; Xu, H.B.; Li, B.; Li, G.L.; et al. Effect of the total saponins of Bupleurum chinense DC. water extracts following ultrafiltration pretreatment on macroporous resin adsorption. Molecules 2024, 29, 5153. [Google Scholar] [CrossRef]
- Zhao, Y.Y.; Chen, Z.B.; Li, J.; Liu, Z.; Liu, D.L.; Li, Z.Z. Preparative separation and purification of flavonoids from Lamiophlomis rotata (Benth.) Kudo. Pigm. Resin Technol. 2017, 46, 496–506. [Google Scholar] [CrossRef]
- Xu, G.L.; Xiao, B.H.; Zou, H.B.; Chen, Q. Separation of total flavone in Sardandra glabra by macroporous adsorption resins. Chin. Tradit. Herbal Drugs 2006, 37, 1014–1017. [Google Scholar]
- Wang, X.H.; Wang, J.P. Ultrasonic-assisted extraction and enrichment of the flavonoids from Salicornia europaea leaves using macroporous resins and response surface methodology. Chem. Pap. 2023, 77, 2769–2781. [Google Scholar] [CrossRef]
- Wang, X.; Su, J.; Chu, X.; Zhang, X.; Kan, Q.; Liu, R.; Fu, X. Adsorption and desorption characteristics of total flavonoids from Acanthopanax senticosus on macroporous adsorption resins. Molecules 2021, 26, 4162. [Google Scholar] [CrossRef] [PubMed]
- Yang, Y.H.; Liang, Q.M.; Zhang, B.; Zhang, J.M.; Fan, L.; Kang, J.H.; Lin, Y.Q.; Huang, Y.; Tan, T.C.; Ho, L.H. Adsorption and desorption characteristics of flavonoids from white tea using macroporous adsorption resin. J. Chromatogr. A 2024, 1715, 464621. [Google Scholar] [CrossRef]
- Meng, Y.; Yang, X.Y.; Cao, S.; Pan, X.; Yang, Y.; Zhang, H.L.; Sui, X.Y.; Liu, T.T. Simultaneous obtaining hydrophilic and hydrophobic compounds by ultrasonic synergistic extraction technology: The molecular mechanism of extraction and the multiple effects of macroporous adsorption resin. Ind. Crop. Prod. 2025, 228, 120905. [Google Scholar] [CrossRef]
- Shafiei, A.; Safaei-Ghomi, J.; Masoomi, R. Preparation of silymarin enriched extract (Silybum marianum) using macroporous resins: Adsorption/desorption characteristics, quantitative analysis by HPLC and UPLC. Microchem. J. 2024, 207, 112006. [Google Scholar] [CrossRef]







| Temperature (°C) | Fitted Equation | R2 |
|---|---|---|
| 25 | y = 0.0493x + 0.8587 | 0.9977 |
| 40 | y = 0.0503x + 1.0735 | 0.9970 |
| 50 | y = 0.0573x + 1.1034 | 0.9958 |
| 60 | y = 0.0779x + 0.9947 | 0.9969 |
| Temperature (°C) | ∆G (kJ/mol) | ∆H (kJ/mol) | ∆S [kJ/(mol·K)] |
|---|---|---|---|
| 25 | −0.06225 | 10.7183 | 0.037413 |
| 40 | −0.99758 | ||
| 50 | −1.37171 | ||
| 60 | −1.74584 |
| Abbreviation | HBA | HBD | Molar Ratio | Appearance at 25 °C |
|---|---|---|---|---|
| DES-1 | choline chloride | glycerol | 1:2 | colorless transparent liquid |
| DES-2 | choline chloride | 1,3-propanediol | 1:2 | colorless transparent liquid |
| DES-3 | choline chloride | urea | 1:2 | colorless transparent liquid |
| DES-4 | choline chloride | levulinic acid | 1:2 | light yellow transparent liquid |
| DES-5 | choline chloride | glycolic acid | 1:2 | colorless transparent liquid |
Disclaimer/Publisher’s Note: The statements, opinions and data contained in all publications are solely those of the individual author(s) and contributor(s) and not of MDPI and/or the editor(s). MDPI and/or the editor(s) disclaim responsibility for any injury to people or property resulting from any ideas, methods, instructions or products referred to in the content. |
© 2026 by the authors. Licensee MDPI, Basel, Switzerland. This article is an open access article distributed under the terms and conditions of the Creative Commons Attribution (CC BY) license.
Share and Cite
Feng, X.; Huang, T.; Feng, J.; Wang, X. Extraction and Recovery of Flavonoids from Tartary Buckwheat Using Deep Eutectic Solvents. Molecules 2026, 31, 1261. https://doi.org/10.3390/molecules31081261
Feng X, Huang T, Feng J, Wang X. Extraction and Recovery of Flavonoids from Tartary Buckwheat Using Deep Eutectic Solvents. Molecules. 2026; 31(8):1261. https://doi.org/10.3390/molecules31081261
Chicago/Turabian StyleFeng, Xueting, Tingting Huang, Jinmei Feng, and Xiaoling Wang. 2026. "Extraction and Recovery of Flavonoids from Tartary Buckwheat Using Deep Eutectic Solvents" Molecules 31, no. 8: 1261. https://doi.org/10.3390/molecules31081261
APA StyleFeng, X., Huang, T., Feng, J., & Wang, X. (2026). Extraction and Recovery of Flavonoids from Tartary Buckwheat Using Deep Eutectic Solvents. Molecules, 31(8), 1261. https://doi.org/10.3390/molecules31081261
