Due to scheduled maintenance work on our servers, there may be short service disruptions on this website between 11:00 and 12:00 CEST on March 28th.
Sign in to use this feature.

Years

Between: -

Subjects

remove_circle_outline
remove_circle_outline
remove_circle_outline
remove_circle_outline
remove_circle_outline
remove_circle_outline
remove_circle_outline
remove_circle_outline

Journals

Article Types

Countries / Regions

Search Results (38)

Search Parameters:
Keywords = Fe-BTC

Order results
Result details
Results per page
Select all
Export citation of selected articles as:
21 pages, 7440 KB  
Article
Magnetic Metal–Organic Framework: An Innovative Nanocomposite Adsorbent for the Removal of Emerging Drug Contaminants from Water
by Xueying Li, Asfandyar Shahab, Jinxiong Chen, Wei Li, Hua Zhang, Dunqiu Wang, Xinyu Tang, Mingxin Bin, Licheng Peng and Abubakr M. Idris
Water 2026, 18(3), 321; https://doi.org/10.3390/w18030321 - 28 Jan 2026
Viewed by 471
Abstract
The widespread use of antibiotics has taken a heavy toll on the environment, which cannot be ignored. Tetracycline antibiotics (TCs), as representative pharmaceutical contaminants, have emerged as a growing environmental concern due to their persistence and potential ecological risks. This study utilized 1,3,5-benzenetricarboxylic [...] Read more.
The widespread use of antibiotics has taken a heavy toll on the environment, which cannot be ignored. Tetracycline antibiotics (TCs), as representative pharmaceutical contaminants, have emerged as a growing environmental concern due to their persistence and potential ecological risks. This study utilized 1,3,5-benzenetricarboxylic acid (BTC) as a functionalizing reagent to synthesize magnetic nanoparticles NiFe2O4-COOH. These were then combined with Zr-MOF to create the magnetic adsorbent designated as NCF@Zr-MOF (where NCF represents carboxyl-functionalized nickel ferrite). Magnetic solid-phase extraction (MSPE) technology was employed to remove two representative tetracycline antibiotics, tetracycline (TC) and chlortetracycline (CTC) from the environment. The Langmuir model fitting revealed maximum adsorption reached 190.85 and 196.32 mg/g for TC and CTC, respectively, both of which conformed to the pseudo-second-order model during the adsorption process with spontaneous, heat-absorbing and entropy-increasing properties. Furthermore, following five cycles of adsorption and desorption, the removal rate for TCs was found to have decreased by 30%, yet the removal of CTCs remained at 95.32%. This adsorbent enables rapid separation via an external magnetic field. With its excellent stability and reusability, NCF@Zr-MOF shows great potential for removing antibiotics from water. Full article
Show Figures

Graphical abstract

22 pages, 3541 KB  
Article
Bio-Based Pectin-Calcium Film and Foam Adsorbents with Immobilized Fe–BTC MOF for Water Contaminant Removal
by Francesco Coin, Carolina Iacovone and Silvina Cerveny
Polymers 2026, 18(2), 171; https://doi.org/10.3390/polym18020171 - 8 Jan 2026
Viewed by 667
Abstract
Metal-organic frameworks (MOFs) offer high porosity for water remediation but face challenges in handling as powders. We address these limitations by physically immobilizing Fe–BTC MOF within calcium-crosslinked low-methoxyl pectin matrices (PE–Ca–MOF). Solvent-cast films and freeze-dried foams were fabricated using water-based and polyvinylpyrrolidone (PVP)-assisted [...] Read more.
Metal-organic frameworks (MOFs) offer high porosity for water remediation but face challenges in handling as powders. We address these limitations by physically immobilizing Fe–BTC MOF within calcium-crosslinked low-methoxyl pectin matrices (PE–Ca–MOF). Solvent-cast films and freeze-dried foams were fabricated using water-based and polyvinylpyrrolidone (PVP)-assisted Fe–BTC dispersions, preserving MOF and pectin structures confirmed by FT–IR. PVP improved Fe–BTC dispersion and reduced particle size, enhancing distribution and plasticizing the matrix proved by DSC. Incorporation of water-dispersed Fe–BTC increased the equilibrium adsorption capacity but reduced the initial adsorption rate, while the PVP-assisted foam further enhanced uptake in comparative batch tests through its more open porous structure. At pH 7, PE–Ca–5%MOF films showed high adsorption capacities and removal efficiencies for paraquat (35.5 mg/g, 70.6%) and tetracycline (14.5 mg/g, 46.8%), while maintaining Zn2+ uptake compared to calcium-pectin films without MOF. Adsorption followed pseudo-first-order kinetics and Langmuir isotherms. Green regeneration with acetic acid enabled >80% capacity retention over five adsorption–desorption cycles. Foam architectures increased porosity and active-site accessibility (SEM), improving performance even at lower MOF loadings. Overall, controlling MOF dispersion and composite morphology enables efficient, reusable, and environmentally friendly bio-based adsorbents for water purification. Full article
(This article belongs to the Section Polymer Membranes and Films)
Show Figures

Graphical abstract

16 pages, 2423 KB  
Article
Iron-Based Metal–Organic Frameworks for the Removal of Different Organic and Inorganic Arsenic Species from Water: Kinetic and Adsorption Studies
by Afef Azri, Khaled Walha, Claudia Fontàs, José-Elias Conde-González, Eladia M. Peña-Méndez, Andreas Seubert and Victoria Salvadó
Molecules 2025, 30(21), 4198; https://doi.org/10.3390/molecules30214198 - 27 Oct 2025
Viewed by 863
Abstract
Basolite® F300 and synthetic nano-{Fe-BTC} MOFs, two iron-trimesate MOFs, have been investigated, demonstrating broad pH range adsorption for monomethylarsenate (MMA), cacodylic acid (DMAA), 4-aminophenylarsonate (ASA), and arsenate, while arsenite adsorption was notable at pH > 9.5. A similar uptake trend was found [...] Read more.
Basolite® F300 and synthetic nano-{Fe-BTC} MOFs, two iron-trimesate MOFs, have been investigated, demonstrating broad pH range adsorption for monomethylarsenate (MMA), cacodylic acid (DMAA), 4-aminophenylarsonate (ASA), and arsenate, while arsenite adsorption was notable at pH > 9.5. A similar uptake trend was found for both MOFs, with Basolite® F300 being the more effective given its higher porosity and greater surface area. Pseudo-second-order kinetic models were followed by MMA, DMAA, ASA, and As(V), suggesting a chemisorption mechanism with arsenic species diffusion into MOF pores as the controlling step. Equilibrium data for DMAA and ASA fit the Langmuir model whereas MMA adsorption fits the Redlich–Peterson model. The uptake of MMA, DMAA, and ASA by both Fe-MOFs is mainly attributed to their coordination with Fe(III). Aromatic units in ASA enhance adsorption through П-П stacking interactions. The competition between all arsenic species for the sorption sites of the Fe-MOFs led to an uptake decrease of 10% for MMA and ASA and higher than 30% for DMAA and As(V) with respect to the individual uptakes. The Fe-MOFs can be reused for four cycles by washing with acidic methanol. Basolite® F300 and synthetic nano-{Fe-BTC} effectively removed organic and inorganic arsenic species, exhibiting rapid adsorption, selective uptake, stability, and easy regeneration. Full article
Show Figures

Figure 1

19 pages, 4971 KB  
Article
Study on the Regeneration-Cycle Mechanism of Cu-BTC@MWS Composites Following Mercury Adsorption
by Feng Wang and Yue Yu
Polymers 2025, 17(18), 2474; https://doi.org/10.3390/polym17182474 - 12 Sep 2025
Cited by 1 | Viewed by 730
Abstract
Coal-fired power plants, as the largest source of human-made mercury emissions, often lack specialized mercury emission control devices. Therefore, developing cost-effective adsorbents and studying their regeneration properties are highly important for mercury removal from flue gas. In this study, the regeneration efficiency and [...] Read more.
Coal-fired power plants, as the largest source of human-made mercury emissions, often lack specialized mercury emission control devices. Therefore, developing cost-effective adsorbents and studying their regeneration properties are highly important for mercury removal from flue gas. In this study, the regeneration efficiency and stability of a composite material made from polymetallic Fe/Cu-doped modified biochar combined with the MOF material Cu-BTC were investigated. Based on the analysis of microscopic characteristics, the molecular structure of the regenerated composites was modeled, and the adsorption and regeneration process of Hg0 on their surface was simulated using density functional theory. This helped uncover the underlying mechanisms of mercury removal and regeneration. The results indicate that the optimal regeneration temperature and atmosphere were 350 °C and 5% O2, resulting in the formation of a derived carbon material. The regeneration efficiency reached 92% of that of the original mercury adsorption capacity, and over 80% efficiency was maintained after 10 regeneration cycles. The regenerated samples adsorbed Hg0 through the combined action of surface metal oxides, the metal element Cu, and oxygen-containing functional groups. Full article
Show Figures

Graphical abstract

11 pages, 2022 KB  
Article
Eu-Tb-Doped Y-BTC MOF: A Step Towards Optimization of an Energy Conversion System
by Francesca Lo Presti, Anna Lucia Pellegrino, Francesca Loschi, Emil Milan, Adolfo Speghini and Graziella Malandrino
Crystals 2025, 15(6), 572; https://doi.org/10.3390/cryst15060572 - 17 Jun 2025
Cited by 1 | Viewed by 1767
Abstract
Lanthanide-based metal–organic frameworks (Ln-MOFs) represent a key material in various optical applications. Thus, they offer the possibility of fine-tuning their functional properties by adjusting the composition, stoichiometry, and ligand nature. This work reports for the first time the environmentally friendly one-pot synthesis of [...] Read more.
Lanthanide-based metal–organic frameworks (Ln-MOFs) represent a key material in various optical applications. Thus, they offer the possibility of fine-tuning their functional properties by adjusting the composition, stoichiometry, and ligand nature. This work reports for the first time the environmentally friendly one-pot synthesis of Eu-Tb-doped yttrium-1,3,5-benzenetricarboxylate MOF, i.e., Y-BTC: Eu (10%), Tb (10%), under mild conditions of temperature and pressure. Structural and morphological investigations were conducted through ATR-IR, XRD, and FE-SEM characterization. The doping percentage was analyzed by EDX spectroscopy. The luminescence properties confirm the down-shifting behavior of the MOF, paving the way for using this Eu-Tb-doped Y-BTC system in photovoltaic technology. Full article
Show Figures

Graphical abstract

15 pages, 4882 KB  
Article
Combination of Cu-BTC- and FeCo-MOF-Derived Carbon Enhanced Molecularly Imprinted Electrochemical Sensor for Highly Sensitive and Selective Detection of Benomyl in Fruits and Vegetables
by Lili Chen, Shuya Xue, Xin Li, Linbo Deng, Jiapeng Li, Jing Zhou, Yansha Gao, Xuemin Duan and Limin Lu
Molecules 2025, 30(9), 1869; https://doi.org/10.3390/molecules30091869 - 22 Apr 2025
Cited by 6 | Viewed by 1449
Abstract
The development of sensitive and selective methods for detecting pesticide residues has become paramount for ensuring food safety. In this work, a high-performance molecularly imprinted electrochemical sensor based on the composite of Cu-BTC- and FeCo-ZIF-derived N-doped carbon (FeCo@NC), synthesized by pyrolysis and electrodeposition, [...] Read more.
The development of sensitive and selective methods for detecting pesticide residues has become paramount for ensuring food safety. In this work, a high-performance molecularly imprinted electrochemical sensor based on the composite of Cu-BTC- and FeCo-ZIF-derived N-doped carbon (FeCo@NC), synthesized by pyrolysis and electrodeposition, was developed for Benomyl (BN) detection. The materials were characterized by scanning electron microscopy (SEM), X-ray diffraction (XRD), and X-ray photoelectron spectroscopy (XPS). In this sensing system, the Cu-BTC/FeCo@NC composite used as the electrode substrate displayed a large specific surface area, high electronic conductivity, and rich active catalytic sites, demonstrating excellent electrocatalytic ability toward BN oxidation. Meanwhile, Cu-BTC, with its abundant surface functional groups, facilitated strong hydrogen bonding interactions with the imprinted template molecule of 3,4-ethylenedioxythiophene (EDOT), promoting the formation of a uniform molecularly imprinted membrane on the substrate material surface. The introduced MIP-PEDOT could enhance the selective recognition and enrichment of the target BN, leading to an amplified detection signal. Thanks to the synergistic effects between Cu-BTC/FeCo@NC and MIP-PEDOT, the proposed sensor achieved a low detection limit of 1.67 nM. Furthermore, the fabricated sensor exhibited high selectivity, reproducibility, and interference resistance in detecting BN. The method has been successfully applied to the determination of BN in vegetable and fruit samples, indicating its potential for use in practical applications. Full article
(This article belongs to the Section Electrochemistry)
Show Figures

Figure 1

17 pages, 2803 KB  
Article
New Insights on Iron-Trimesate MOFs for Inorganic As(III) and As(V) Adsorption from Aqueous Media
by Afef Azri, Marwa Ben Amar, Khaled Walha, Clàudia Fontàs, José Elías Conde-González, Victoria Salvadó and Eladia M. Peña-Méndez
Nanomaterials 2025, 15(1), 36; https://doi.org/10.3390/nano15010036 - 29 Dec 2024
Cited by 4 | Viewed by 1835
Abstract
Arsenic contamination of water endangers the health of millions of people worldwide, affecting certain countries and regions with especial severity. Interest in the use of Fe-based metal organic frameworks (MOFs) to remove inorganic arsenic species has increased due to their stability and adsorptive [...] Read more.
Arsenic contamination of water endangers the health of millions of people worldwide, affecting certain countries and regions with especial severity. Interest in the use of Fe-based metal organic frameworks (MOFs) to remove inorganic arsenic species has increased due to their stability and adsorptive properties. In this study, the performance of a synthesized Nano-{Fe-BTC} MOF, containing iron oxide octahedral chains connected by trimesic acid linkers, in adsorbing As(III) and As(V) species was investigated and compared with commercial Basolite®F300 MOF. Despite their similarities in composition, they exhibit distinct structural characteristics in their porosity, pore size, and surface areas, which affected the adsorption processes. The kinetic data of the adsorption of As(III) and As(V) by both Fe-MOFs fitted the pseudo second-order model well, with the kinetic constant being higher for Basolite®F300 given its higher porosity. Intraparticle diffusion was, in both cases, the rate controlling step with the contribution of film diffusion in the adsorption processes, which achieved equilibrium after 1 h. The maximum adsorption capacity for As(V), 41.66 mg g−1, was obtained with Basolite®F300 at the 6.5–10 pH range, whereas Nano-{Fe-BTC} showed a different behaviour as maximum adsorption (14.99 mg g−1) was obtained at pH 2. However, both adsorbents exhibited the same performance for As(III) adsorption, which is not adsorbed at pH < 9. The Langmuir adsorption isotherm model fitted well for As(III) and As(V) adsorption by Nano-{Fe-BTC} and As(III) by Basolite®F300, whereas the Freundlich model fitted best for As(V) given its superior structural properties. Full article
Show Figures

Figure 1

16 pages, 4413 KB  
Article
Metal–Organic Framework-Derived CeO2/Gold Nanospheres in a Highly Sensitive Electrochemical Sensor for Uric Acid Quantification in Milk
by Miloš Ognjanović, Milena Marković, Vladimír Girman, Vladimir Nikolić, Sanja Vranješ-Đurić, Dalibor M. Stanković and Branka B. Petković
Chemosensors 2024, 12(11), 231; https://doi.org/10.3390/chemosensors12110231 - 3 Nov 2024
Cited by 6 | Viewed by 3096
Abstract
In this work, CeBTC (a cerium(III) 1,3,5-benzene-tricarboxylate), was used as a precursor for obtaining CeO2 nanoparticles (nanoceria) with better sensor performances than CeO2 nanoparticles synthesized by the solvothermal method. Metal–organic framework-derived nanoceria (MOFdNC) were functionalized with spheric gold nanoparticles (AuNPs) to [...] Read more.
In this work, CeBTC (a cerium(III) 1,3,5-benzene-tricarboxylate), was used as a precursor for obtaining CeO2 nanoparticles (nanoceria) with better sensor performances than CeO2 nanoparticles synthesized by the solvothermal method. Metal–organic framework-derived nanoceria (MOFdNC) were functionalized with spheric gold nanoparticles (AuNPs) to further improve non-enzymatic electrode material for highly sensitive detection of prominent biocompound uric acid (UA) at this modified carbon paste electrode (MOFdNC/AuNPs&CPE). X-ray powder diffraction (XRPD) and transmission electron microscopy (TEM) analysis were used for morphological structure characterization of the obtained nanostructures. Cyclic voltammetry and electrochemical impedance spectroscopy, both in an [Fe(CN)6]3−/4− redox system and uric acid standard solutions, were used for the characterization of material electrocatalytic performances, the selection of optimal electrode modifier, and the estimation of nature and kinetic parameters of the electrode process. Square-wave voltammetry (SWV) was chosen, and the optimal parameters of technique and experimental conditions were established for determining uric acid over MOFdNC/AuNPs&CPE. Together with the development of the sensor, the detection procedure was optimized with the following analytical parameters: linear operating ranges of 0.05 to 1 µM and 1 to 50 µM and a detection limit of 0.011 µM, with outstanding repeatability, reproducibility, and stability of the sensor surface. Anti-interference experiments yielded a stable and nearly unchanged current response with negligible or no change in peak potential. After minor sample pretreatment, the proposed electrode was successfully applied for the quantification of UA in milk. Full article
(This article belongs to the Special Issue Chemical and Biosensors Based on Metal-Organic Frames (MOFs))
Show Figures

Figure 1

20 pages, 9913 KB  
Article
Microwave-Responsive Metal-Organic Frameworks (MOFs) for Enhanced In Vitro Controlled Release of Doxorubicin
by Syeda Fiza Fatima, Rana Sabouni, Ghaleb Husseini, Vinod Paul, Hassan Gomaa and Remya Radha
Nanomaterials 2024, 14(13), 1081; https://doi.org/10.3390/nano14131081 - 24 Jun 2024
Cited by 18 | Viewed by 3499
Abstract
Metal-organic frameworks (MOFs) are excellent candidates for a range of applications because of their numerous advantages, such as high surface area, porosity, and thermal and chemical stability. In this study, microwave (MW) irradiation is used as a novel stimulus in vitro controlled release [...] Read more.
Metal-organic frameworks (MOFs) are excellent candidates for a range of applications because of their numerous advantages, such as high surface area, porosity, and thermal and chemical stability. In this study, microwave (MW) irradiation is used as a novel stimulus in vitro controlled release of Doxorubicin (DOX) from two MOFs, namely Fe-BTC and MIL-53(Al), to enhance drug delivery in cancer therapy. DOX was encapsulated into Fe-BTC and MIL-53(Al) with drug-loading efficiencies of up to 67% for Fe-BTC and 40% for MIL-53(Al). Several characterization tests, including XRD, FTIR, TGA, BET, FE-SEM, and EDX, confirmed both MOF samples’ drug-loading and -release mechanisms. Fe-BTC exhibited a substantial improvement in drug-release efficiency (54%) when exposed to microwave irradiation at pH 7.4 for 50 min, whereas 11% was achieved without the external modality. A similar result was observed at pH 5.3; however, in both cases, the release efficiencies were substantially higher with microwave exposure (40%) than without (6%). In contrast, MIL-53(Al) exhibited greater sensitivity to pH, displaying a higher release rate (66%) after 38 min at pH 5.3 compared to 55% after 50 min at pH 7.4 when subjected to microwave irradiation. These results highlight the potential of both MOFs as highly heat-responsive to thermal stimuli. The results of the MTT assay demonstrated the cell viability across different concentrations of the MOFs after two days of incubation. This suggests that MOFs hold promise as potential candidates for tumor targeting. Additionally, the fact that the cells maintained their viability at different durations of microwave exposure confirms that the latter is a safe modality for triggering drug release from MOFs. Full article
Show Figures

Graphical abstract

12 pages, 2032 KB  
Article
Metal–Organic Framework Fe-BTC as Heterogeneous Catalyst for Electro-Fenton Treatment of Tetracycline
by Taylor Mackenzie Fisher, Alexsandro J. dos Santos and Sergi Garcia-Segura
Catalysts 2024, 14(5), 314; https://doi.org/10.3390/catal14050314 - 10 May 2024
Cited by 10 | Viewed by 3339
Abstract
This study explores the use of the iron-containing metal–organic framework (MOF), Basolite®F300, as a heterogeneous catalyst for electrochemically-driven Fenton processes. Electrochemical advanced oxidation processes (EAOPs) have shown promise on the abatement of recalcitrant organic pollutants such as pharmaceuticals. Tetracyclines (TC) are [...] Read more.
This study explores the use of the iron-containing metal–organic framework (MOF), Basolite®F300, as a heterogeneous catalyst for electrochemically-driven Fenton processes. Electrochemical advanced oxidation processes (EAOPs) have shown promise on the abatement of recalcitrant organic pollutants such as pharmaceuticals. Tetracyclines (TC) are a frequently used class of antibiotics that are now polluting surface water and groundwater sources worldwide. Acknowledging the fast capability of EAOPs to treat persistent pharmaceutical pollutants, we propose an electrochemical Fenton treatment process that is catalyzed by the use of a commercially available MOF material to degrade TC. The efficiency of H2O2 generation in the IrO2/carbon felt setup is highlighted. However, electrochemical oxidation with H2O2 production (ECO-H2O2) alone is not enough to achieve complete TC removal, attributed to the formation of weak oxidant species. Incorporating Basolite®F300 in the heterogeneous electro-Fenton (HEF) process results in complete TC removal within 40 min, showcasing its efficacy. Additionally, this study explores the effect of varying MOF concentrations, indicating optimal removal rates at 100 mg L−1 due to a balance of kinetics and limitation of active sites of the catalysts. Furthermore, the impact of the applied current on TC removal is investigated, revealing a proportional relationship between current and removal rates. The analysis of energy efficiency emphasizes 50 mA as the optimal current, however, balancing removal efficiency with electrical energy consumption. This work highlights the potential of Basolite®F300 as an effective catalyst in the HEF process for pollutant abatement, providing valuable insights into optimizing electrified water treatment applications with MOF nanomaterials to treat organic pollutants. Full article
(This article belongs to the Section Environmental Catalysis)
Show Figures

Figure 1

19 pages, 2463 KB  
Article
A Study on the Ability of Nanomaterials to Adsorb NO and SO2 from Combustion Gases and the Effectiveness of Their Separation
by Marius Constantinescu, Felicia Bucura, Antoaneta Roman, Oana Romina Botoran, Roxana-Elena Ionete, Stefan Ionut Spiridon, Eusebiu Ilarian Ionete, Anca Maria Zaharioiu, Florian Marin, Silviu-Laurentiu Badea and Violeta-Carolina Niculescu
Nanomaterials 2024, 14(10), 816; https://doi.org/10.3390/nano14100816 - 7 May 2024
Cited by 3 | Viewed by 1822
Abstract
Climate neutrality for the year 2050 is the goal assumed at the level of the EU27+UK. As Romania is no exception, it has assumed the gradual mitigation of pollution generated by the energy sector, and by 2030, according to ‘Fit for [...] Read more.
Climate neutrality for the year 2050 is the goal assumed at the level of the EU27+UK. As Romania is no exception, it has assumed the gradual mitigation of pollution generated by the energy sector, and by 2030, according to ‘Fit for 55’, the share of energy from renewable sources must reach 42.5% from total energy consumption. For the rest of the energy produced from traditional sources, natural gas and/or coal, modern technologies will be used to retain the gaseous noxes. Even if they are not greenhouse gases, NO and SO2, generated from fossil fuel combustion, cause negative effects on the environment and biodiversity. The adsorption capacity of different materials, three nanomaterials developed in-house and three commercial adsorbents, both for NO and SO2, was tackled through gas chromatography, elemental analysis, and Fourier-transform infrared spectroscopy. Fe-BTC has proven to be an excellent material for separation efficiency and adsorption capacity under studied conditions, and is shown to be versatile both in the case of NO (80.00 cm3/g) and SO2 (63.07 cm3/g). All the developed nanomaterials generated superior results in comparison to the commercial adsorbents. The increase in pressure enhanced the performance of the absorption process, while temperature showed an opposite influence, by blocking the active centers on the surface. Full article
Show Figures

Figure 1

14 pages, 3604 KB  
Article
Green Ultrasound-Assisted Synthesis of Rare-Earth-Based MOFs
by Francesca Lo Presti, Anna L. Pellegrino, Nancy Consoli and Graziella Malandrino
Molecules 2023, 28(16), 6088; https://doi.org/10.3390/molecules28166088 - 16 Aug 2023
Cited by 15 | Viewed by 3919
Abstract
Rare-earth (RE)-based metal organic frameworks (MOFs) are quickly gaining popularity as flexible functional materials in a variety of technological fields. These MOFs are useful for more than just conventional uses like gas sensors and catalyst materials; in fact, they also show significant promise [...] Read more.
Rare-earth (RE)-based metal organic frameworks (MOFs) are quickly gaining popularity as flexible functional materials in a variety of technological fields. These MOFs are useful for more than just conventional uses like gas sensors and catalyst materials; in fact, they also show significant promise in emerging technologies including photovoltaics, optical, and biomedical applications. Using yttrium and europium as ionic host centres and dopants, respectively, and 1,3,5-benzenetricarboxylic acid (H3-BTC) as an organic linker, we describe a simple and green approach for the fabrication of RE-MOFs. Specifically, Y-BTCs and Eu-doped Y-BTCs MOFs have been synthesised in a single step using an eco-friendly method that makes use of ultrasound technology. To establish a correlation between the morphological and structural properties and reaction conditions, a range of distinct reaction periods has been employed for the synthetic processes. Detailed analyses of the synthesised samples through powder X-ray diffraction (PXRD), field emission scanning electron microscopy (FE-SEM), and Fourier-transform infrared spectroscopy (FT-IR) have confirmed the phase formation. Furthermore, thermal analyses such as thermogravimetric analysis (TGA) have been employed to evaluate the thermal stability and structural modifications of the Y-BTC and Eu-doped Y-BTC samples. Finally, the luminescent properties of the synthesised samples doped with Eu3+ have been assessed, providing an evaluation of their characteristics. As a proof of concept, an Eu-doped Y-BTC sample has been applied for the sensing of nitrobenzene as a molecule test of nitro derivatives. Full article
(This article belongs to the Special Issue Metal Organic Frameworks: Synthesis and Application II)
Show Figures

Figure 1

15 pages, 6355 KB  
Article
Highly Effective Removal of Ciprofloxacin Antibiotic from Water by Magnetic Metal–Organic Framework
by Binbin Yu, Hongchao Chang, Wenwan Wei, Hua Yu, Zhangxin Chen, Xiaoye Cheng, Dan Chen, Yanxian Jin, Deman Han and Wei Xu
Water 2023, 15(14), 2531; https://doi.org/10.3390/w15142531 - 10 Jul 2023
Cited by 23 | Viewed by 4333
Abstract
The presence of antibiotic ciprofloxacin (CIP) in pharmaceutical wastewaters is dangerous when their concentrations exceed the allowable limits. Thus, eliminating CIP from pharmaceutical wastewaters is an essential issue. In this work, magnetic MOFs, named Fe3O4/Zn3(BTC)2 MMOF, [...] Read more.
The presence of antibiotic ciprofloxacin (CIP) in pharmaceutical wastewaters is dangerous when their concentrations exceed the allowable limits. Thus, eliminating CIP from pharmaceutical wastewaters is an essential issue. In this work, magnetic MOFs, named Fe3O4/Zn3(BTC)2 MMOF, were successfully synthesized and used for the adsorption of CIP. Compared with Cu3(BTC)2 and Fe3O4/Cu3(BTC)2 MMOF, the Fe3O4/Zn3(BTC)2 MMOF exhibited the best CIP-adsorption performance, with a maximum removal rate of 72.15% due to the large pore size, abundant adsorption sites and functional groups of MOFs, and the magnetic properties of the Fe3O4 nanorod. The influencing factors in the adsorption process, including oscillation time and pH value, were discussed, and the best adsorption performance was obtained when the pH was 3.84 and the oscillation time was 90 min. Furthermore, the removal rate of the Fe3O4/Zn3(BTC)2 MMOF still reached 31.45% after five instances of reuse, revealing its great regeneration and reusability. The results of the adsorption-kinetics studies showed that the adsorption process of CIP by Fe3O4/Zn3(BTC)2 MMOF followed the pseudo-second-order kinetic model and was mainly chemical adsorption. Based on the results above, Fe3O4/Zn3(BTC)2 MMOF is recommended as a highly efficient adsorbent for the removal of CIP from pharmaceutical wastewaters. Full article
(This article belongs to the Section Wastewater Treatment and Reuse)
Show Figures

Figure 1

13 pages, 6272 KB  
Article
CNTs/Fe-BTC Composite Materials for the CO2-Photocatalytic Reduction to Clean Fuels: Batch and Continuous System
by Elizabeth Rojas García, Gloria Pérez-Soreque, Ricardo López Medina, Fernando Rubio-Marcos and Ana M. Maubert-Franco
Molecules 2023, 28(12), 4738; https://doi.org/10.3390/molecules28124738 - 13 Jun 2023
Cited by 10 | Viewed by 2960
Abstract
CNTs/Fe-BTC composite materials were synthesized with the one-step solvothermal method. MWCNTs and SWCNTs were incorporated in situ during synthesis. The composite materials were characterized by different analytical techniques and used in the CO2-photocatalytic reduction to value-added products and clean fuels. In [...] Read more.
CNTs/Fe-BTC composite materials were synthesized with the one-step solvothermal method. MWCNTs and SWCNTs were incorporated in situ during synthesis. The composite materials were characterized by different analytical techniques and used in the CO2-photocatalytic reduction to value-added products and clean fuels. In the incorporation of CNTs into Fe-BTC, better physical–chemical and optical properties were observed compared to Fe-BTC pristine. SEM images showed that CNTs were incorporated into the porous structure of Fe-BTC, indicating the synergy between them. Fe-BTC pristine showed to be selective to ethanol and methanol; although, it was more selective to ethanol. However, the incorporation of small amounts of CNTs into Fe-BTC not only showed higher production rates but changes in the selectivity compared with the Fe-BTC pristine were also observed. It is important to mention that the incorporation of CNTs into MOF Fe-BTC allowed for increasing the mobility of electrons, decreasing the recombination of charge carriers (electron/hole), and increasing the photocatalytic activity. In both reaction systems (batch and continuous), composite materials showed to be selective towards methanol and ethanol; however, in the continuous system, lower production rates were observed due to the decrease in the residence time compared to the batch system. Therefore, these composite materials are very promising systems to convert CO2 to clean fuels that could replace fossil fuels soon. Full article
Show Figures

Graphical abstract

14 pages, 4202 KB  
Article
Study on Fluorescence Recognition of Fe3+, Cr2O72− and p-Nitrophenol by a Cadmium Complex and Related Mechanism
by Lu Liu, Jian-Min Li, Hui-Jie Wang, Meng-Di Zhang, Yu Xi, Jie Xu, Yuan-Yuan Huang, Bo Zhang, Ying Li, Zhen-Bei Zhang, Zi-Fang Zhao and Cheng-Xing Cui
Molecules 2023, 28(4), 1848; https://doi.org/10.3390/molecules28041848 - 15 Feb 2023
Cited by 2 | Viewed by 2153
Abstract
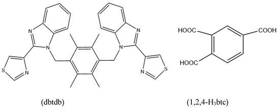
The effective detection of environmental pollutants is very important to the sustainable development of human health and the environment. A luminescent Cd(II) coordination complex, {[Cd(dbtdb)(1,2,4-H3btc)]·0.5H2O}n (1) (dbtdb = 1-(2,3,5,6-tetramethyl-4-((2-(thiazol-4-yl)-2H-benzo[d]imidazol-3(3aH)-yl)methyl)benzyl)-2,7a-dihydro-2-(thiazol-4-yl)-1H-benzo[d]imidazole, 1,2,4-H3btc = 1,2,4-benzenetricarboxylic acid), was [...] Read more.
The effective detection of environmental pollutants is very important to the sustainable development of human health and the environment. A luminescent Cd(II) coordination complex, {[Cd(dbtdb)(1,2,4-H3btc)]·0.5H2O}n (1) (dbtdb = 1-(2,3,5,6-tetramethyl-4-((2-(thiazol-4-yl)-2H-benzo[d]imidazol-3(3aH)-yl)methyl)benzyl)-2,7a-dihydro-2-(thiazol-4-yl)-1H-benzo[d]imidazole, 1,2,4-H3btc = 1,2,4-benzenetricarboxylic acid), was obtained by hydrothermal reactions. Complex 1 has a chain structure decorated with uncoordinated Lewis basic O and S donors and provides good sensing of Fe3+, Cr2O72−, and p-nitrophenol with fluorescence quenching through an energy transfer process. The calculated binding constants were 3.3 × 103 mol−1 for Fe3+, 2.36 × 104 mol−1 for Cr2O72−, and 9.3 × 103 mol−1 for p-nitrophenol, respectively. These results show that 1 is a rare multiresponsive sensory material for efficient detection of Fe3+, Cr2O72−, and p-nitrophenol. Full article
Show Figures

Figure 1

Back to TopTop