Sign in to use this feature.

Years

Between: -

Subjects

remove_circle_outline
remove_circle_outline
remove_circle_outline
remove_circle_outline
remove_circle_outline
remove_circle_outline
remove_circle_outline
remove_circle_outline
remove_circle_outline

Journals

Article Types

Countries / Regions

remove_circle_outline
remove_circle_outline
remove_circle_outline
remove_circle_outline

Search Results (293)

Search Parameters:
Keywords = Eudragits

Order results
Result details
Results per page
Select all
Export citation of selected articles as:
16 pages, 55147 KB  
Article
Nanoencapsulated Cannabidiol–Cannabigerol Using Eudragit L100: In Vitro and In Vivo Evidence in Murine Colitis Model
by K. Antonio Cárdenas-Noriega, Joel H. Elizondo-Luévano, Abelardo Chávez-Montes, Luis E. Rodríguez-Tovar, Moisés A. Franco-Molina, Diana G. Zárate-Triviño, Raymundo A. Pérez-Hernández, Adolfo Soto-Domínguez and Uziel Castillo-Velázquez
Drugs Drug Candidates 2026, 5(1), 10; https://doi.org/10.3390/ddc5010010 - 31 Jan 2026
Viewed by 59
Abstract
Background: Phytocannabinoids such as cannabidiol (CBD) and cannabigerol (CBG) have received increasing attention in the context of inflammatory and intestinal disorders. However, direct comparisons between their individual and combined effects, as well as the influence of delivery systems, remain limited. Objectives: This study [...] Read more.
Background: Phytocannabinoids such as cannabidiol (CBD) and cannabigerol (CBG) have received increasing attention in the context of inflammatory and intestinal disorders. However, direct comparisons between their individual and combined effects, as well as the influence of delivery systems, remain limited. Objectives: This study evaluated the biological effects of free and nanoencapsulated CBD and CBG, including a cannabinoid–Eudragit L100 formulation, in an in vitro TNBS-treated intestinal cell model and an in vivo murine model of TNBS-induced colitis. Methods: Cytotoxicity and treatment-associated effects of CBD, CBG, their 1:1 combination, and a nanoencapsulated formulation were assessed in TNBS-exposed Caco-2 cells. In parallel, BALB/c mice with TNBS-induced colitis were evaluated for colonic damage and inflammatory markers. Results: CBD and CBG individually showed dose-dependent effects in Caco-2 cells, while their combined administration produced a greater effect than either compound alone at higher concentrations. The nanoencapsulated formulation preserved cellular metabolic activity following TNBS exposure. In vivo, both free combined and nanoencapsulated cannabinoids were associated with reduced epithelial damage and inflammatory alterations. Conclusions: Nanoencapsulation using Eudragit L100 modulated the biological effects of CBD and CBG in experimental models of TNBS-induced intestinal injury. Full article
(This article belongs to the Section Preclinical Research)
Show Figures

Figure 1

22 pages, 2615 KB  
Article
Comparative Characterization and Evaluation of WS6 Loaded Nanoformulations Using Solid Lipid, PLGA, and PCL Versus Eudragit RS/RL Prepared by Microfluidics
by Marwa Mohammad, Duaa Abuarqoub, Mohammad Alnatour, Abdolelah Jaradat, Nidal A. Qinna, Ghayda’ AlDabet, Alqassem H. Abuarqoub and Abdalla Awidi
Appl. Nano 2026, 7(1), 1; https://doi.org/10.3390/applnano7010001 - 30 Dec 2025
Viewed by 290
Abstract
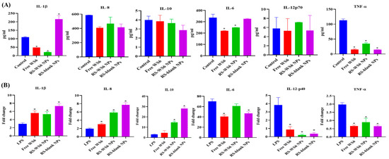
Objectives: This study aimed to optimize WS6-loaded nanoparticles (NPs) with favorable therapeutic properties, including appropriate size, low toxicity, high encapsulation efficiency, and enhanced biocompatibility, for selective cancer targeting and regenerative applications. Methods: Three formulations were investigated: solid lipid nanoparticles (SLNs), polycaprolactone (PCL)-based NPs, [...] Read more.
Objectives: This study aimed to optimize WS6-loaded nanoparticles (NPs) with favorable therapeutic properties, including appropriate size, low toxicity, high encapsulation efficiency, and enhanced biocompatibility, for selective cancer targeting and regenerative applications. Methods: Three formulations were investigated: solid lipid nanoparticles (SLNs), polycaprolactone (PCL)-based NPs, and Eudragit RS100-based NPs via microfluidic synthesis. Their physicochemical properties were assessed, followed by biological evaluation on normal cells—dental-derived stem cells (DSCs), gingival fibroblasts (GFs), and human dermal fibroblasts (HDFs)—and cancer cell lines MDA-231 and HepG2. Assays included MTT for viability, apoptosis/necrosis, cell cycle analysis, ROS detection, and cytokine profiling. Results: SLNs showed inherent toxicity despite improved viability upon WS6 loading. PCL NPs improved encapsulation and compatibility but lacked stability. The microfluidic RS-WS6 NPs exhibited optimal characteristics, significantly enhancing viability in normal cells and selectively inducing apoptosis in cancer cells. At 1 µM, RS-WS6 NPs reduced ROS in normal cells (p < 0.05) and increased it in cancer cells (p < 0.05). Cytokine analysis revealed significant downregulation of IL-6, IL-12p70, and TNF-α (p < 0.05), indicating immunomodulatory potential. Conclusions: RS-WS6 NPs developed via microfluidics offer a promising therapeutic platform with selective cytotoxicity against cancer cells, minimal toxicity to normal cells, and anti-inflammatory properties, supporting their use in targeted therapy and regenerative medicine. Full article
Show Figures

Figure 1

19 pages, 4160 KB  
Article
Development and Application of an LC-MS/MS Method for Simultaneous Quantification of Azathioprine and Its Metabolites: Pharmacokinetic and Microbial Metabolism Study of a Colon-Targeted Nanoparticle
by Jingjing Zhang, Jiaqi Han, Ning Sun, Yuhan Zhu, Dong Mei and Libo Zhao
Pharmaceuticals 2026, 19(1), 58; https://doi.org/10.3390/ph19010058 - 26 Dec 2025
Viewed by 324
Abstract
Background/Objectives: Given the clinical limitations of azathioprine (AZA) in treating inflammatory bowel disease, this study developed an AZA-loaded microbiota-modulating and colon-targeted nanoparticle constructed from pectin, Zein, and Eudragit®S100 (APZE), which was hypothesized to enhance efficacy while reducing toxicity. A liquid [...] Read more.
Background/Objectives: Given the clinical limitations of azathioprine (AZA) in treating inflammatory bowel disease, this study developed an AZA-loaded microbiota-modulating and colon-targeted nanoparticle constructed from pectin, Zein, and Eudragit®S100 (APZE), which was hypothesized to enhance efficacy while reducing toxicity. A liquid chromatography-tandem mass spectrometry (LC-MS/MS) method was established to simultaneously quantify AZA and its metabolites, enabling the investigation of the pharmacokinetic and microbial metabolism differences between APZE and AZA suspension (AZAS). Methods: APZE was characterized, and an LC-MS/MS method was developed for quantifying AZA and its metabolites in multiple matrices. Given the potential of APZE for colon targeting and modulation of the microbiota, which may affect drug absorption, distribution, and microbiota-mediated metabolism, we determined analyte concentrations in rat plasma, tissues, and microbial cultures at different time points following administration of APZE or AZAS. Results: AZA, 6-mercaptopurine (6-MP), 6-methylmercaptopurine (6-MMP), and 6-thioguanine (6-TG) were quantified in positive ion mode, and 6-thiouric acid (6-TU) in negative ion mode. The assay demonstrated excellent accuracy, precision, and stability over the concentration range of 5–1000 ng/mL. Orally administered APZE exhibited higher bioavailability, improved intestinal absorption, and reduced formation of the inactive metabolite 6-TU compared to AZAS. In microbial cultures, AZA was metabolized primarily to 6-MP, and APZE underwent more extensive metabolism to 6-MP than AZAS. Conclusions: This method provides accurate and precise quantification of physiologically relevant concentrations of AZA and its metabolites (6-MP, 6-MMP, 6-TG, and 6-TU), offering a bioanalytical tool for the pharmacokinetic and gut microbiota metabolism studies of AZA formulations. These findings suggest that APZE is a promising drug delivery formulation. Full article
(This article belongs to the Section Pharmaceutical Technology)
Show Figures

Graphical abstract

20 pages, 15829 KB  
Article
Preparation, Characterization, and In Vivo Evaluation of an Oral Triptolide Nanomatrix System for Rheumatoid Arthritis Therapy
by Yujian Liang, Mingyu Li, Qing Zhou, Chenyang Liu, Longfei Lin, Liuqing Yang and Wenbing Dai
Pharmaceutics 2025, 17(12), 1567; https://doi.org/10.3390/pharmaceutics17121567 - 5 Dec 2025
Viewed by 666
Abstract
Background: Triptolide (TP), a principal bioactive component of Tripterygium wilfordii, exhibits potent anti-inflammatory activity. However, its application is still limited due to its poor solubility and systemic toxicity, primarily caused by uncontrolled absorption after oral administration. Our previously established oral nanomatrix [...] Read more.
Background: Triptolide (TP), a principal bioactive component of Tripterygium wilfordii, exhibits potent anti-inflammatory activity. However, its application is still limited due to its poor solubility and systemic toxicity, primarily caused by uncontrolled absorption after oral administration. Our previously established oral nanomatrix system, composed mainly of commercially available nanoporous Sylysia and Eudragit®, can not only enhance the in vitro dissolution of poorly water-soluble drugs, but also modulate their absorption sites in gastrointestinal tract. Methods: We prepared a TP nanomatrix system using Sylysia 350 and Eudragit® L100 to modulate TP’s dissolution in order to overcome TP’s limitation. Then, the nanomatrix was evaluated through in vitro dissolution, physicochemical characterization, and in vivo pharmacokinetic study, and then was comprehensively assessed for efficacy and safety in a rat model of rheumatoid arthritis. Results: TP nanomatrix system exhibited a marked increase in drug dissolution in various media, especially in pH 6.8 medium. The nanomatrix system showed better oral bioavailability than free TP, yet with no toxicity observed. Conclusions: This study developed a simple oral nanomatrix system of TP with enhanced anti-inflammatory efficacy without observed toxicity, and provided a potential strategy to progress the clinical translation of TP products. Full article
(This article belongs to the Special Issue Nanomedicine and Nanotechnology: Recent Advances and Applications)
Show Figures

Graphical abstract

37 pages, 11900 KB  
Review
Controlled Release Technologies for Diltiazem Hydrochloride: A Comprehensive Review of Solid Dosage Innovations
by Estefanía Troches-Mafla, Constain H. Salamanca and Yhors Ciro
Pharmaceutics 2025, 17(11), 1491; https://doi.org/10.3390/pharmaceutics17111491 - 19 Nov 2025
Viewed by 1209
Abstract
Introduction: Diltiazem hydrochloride (DH) is a calcium channel blocker used in the treatment of hypertension, angina pectoris, and arrhythmias. Its short half-life and frequent dosing requirements limit patient adherence and cause plasma concentration fluctuations. Objective: This review critically examines recent pharmaceutical [...] Read more.
Introduction: Diltiazem hydrochloride (DH) is a calcium channel blocker used in the treatment of hypertension, angina pectoris, and arrhythmias. Its short half-life and frequent dosing requirements limit patient adherence and cause plasma concentration fluctuations. Objective: This review critically examines recent pharmaceutical technologies and formulation strategies for modified-release dosage forms (MRDFs) of diltiazem hydrochloride, emphasizing their impact on pharmacokinetics, clinical performance, and regulatory aspects. Methodology: A structured literature review (2010–2025) was conducted using databases such as PubMed, ScienceDirect, MDPI, and ACS Publications. Studies were selected based on relevance to solid oral MRDFs of DH and their associated manufacturing techniques. Results: Techniques including direct compression, granulation, extrusion–spheronization, spray drying, solvent evaporation, and ionotropic gelation have enabled the development of hydrophilic matrices, coated pellets, microspheres, and osmotic systems. Functional polymers such as HPMC, Eudragit®, and ethylcellulose play a central role in modulating release kinetics and improving bioavailability. Conclusions: This review not only synthesizes current formulation strategies but also explores reverse engineering of ideal release profiles and the integration of advanced modeling tools such as physiologically based pharmacokinetic (PBPK) modeling and in vitro–in vivo correlation (IVIVC). These approaches support the rational design of personalized, regulatory-compliant DH therapies. Full article
Show Figures

Figure 1

26 pages, 5552 KB  
Article
Development and Optimisation of Docetaxel-Loaded Polymeric Nanoparticles for Oral Chemotherapy in Breast Cancer
by Divya Wali, Shivakumar H. Nanjappa, Avichal Kumar and Rushikesh Shinde
Sci. Pharm. 2025, 93(4), 58; https://doi.org/10.3390/scipharm93040058 - 14 Nov 2025
Viewed by 992
Abstract
Docetaxel (DTX)-loaded polymeric nanoparticles composed of Eudragit RL and RS 100 were developed by solvent evaporation using D-α-tocopheryl polyethene glycol 1000 succinate as an emulsifier and optimised by Central Composite Design. The effects of homogenisation and sonication times on entrapment efficiency (%EE) and [...] Read more.
Docetaxel (DTX)-loaded polymeric nanoparticles composed of Eudragit RL and RS 100 were developed by solvent evaporation using D-α-tocopheryl polyethene glycol 1000 succinate as an emulsifier and optimised by Central Composite Design. The effects of homogenisation and sonication times on entrapment efficiency (%EE) and drug release (%DR) were statistically analysed across nine batches. Particle size (PS) ranged from 302 ± 1.0 to 502 ± 2.0 nm, and zeta potential (ZP) from 25.8 ± 2.5 to 42.9 ± 1.7 mV. %EE and %DR (pH 1.2 for 2 h, then pH 7.4 for 22 h, 40 mL medium at 37 ± 0.5 °C) ranged from 69.32 ± 3.77 to 92.71 ± 0.16% and 19.24 ± 3.03 to 49.17 ± 1.98%, respectively. Optimised DTX nanoparticles (DNPs) showed EE of 78.18 ± 0.56%, DR of 46.21 ± 1.41% at 24 h, PS of 357.9 ± 2.4 nm, and ZP of 42.9 ± 3.7 mV. Scanning electron microscopy revealed ~300 nm cuboidal particles with smooth surfaces. X-Ray Diffraction and Differential Scanning Colorimetry confirmed reduced drug crystallinity in DNPs. In vitro haemolysis assays showed ~11.5-fold lower haemolytic potential (p < 0.0001) versus DTX, confirming improved safety. Fluorescence microscopy indicated enhanced cellular uptake of DNPs in MDA-MB-231 cells, while cytotoxicity assays of DNPs showed a lower IC50 (39.52 µM) compared to DTX (60.81 µM), demonstrating superior anticancer efficacy. Overall, DNPs represent a promising oral chemotherapy platform for breast cancer management. Full article
Show Figures

Figure 1

14 pages, 2972 KB  
Article
Effective Oral Delivery of Teriparatide Using Organoclay—Polymethacrylate Nanocomposites for Osteoporosis Therapy
by Gyu Lin Kim, Yeon Ju Kang, Soo Hwa Seo, Jiwoon Jeon and Hyo-Kyung Han
Pharmaceutics 2025, 17(11), 1450; https://doi.org/10.3390/pharmaceutics17111450 - 10 Nov 2025
Viewed by 881
Abstract
Background: Although teriparatide is efficacious, its once-daily subcutaneous injections cause local adverse events, inconvenience, and higher cost, limiting long-term adherence. Therefore, this research aims to engineer a pH-responsive oral formulation of teriparatide for osteoporosis therapy. Methods: A layered silicate nanocomplex was [...] Read more.
Background: Although teriparatide is efficacious, its once-daily subcutaneous injections cause local adverse events, inconvenience, and higher cost, limiting long-term adherence. Therefore, this research aims to engineer a pH-responsive oral formulation of teriparatide for osteoporosis therapy. Methods: A layered silicate nanocomplex was obtained by spontaneous self-assembly of teriparatide (Teri) with 3-aminopropyl magnesium phyllosilicate (AC). The nanocomplex (AC-Teri) was then coated with a 1:1 blend of two polymethacrylic acid derivatives (Eudragit® L100 and Eudragit® S 100) to provide pH-triggered drug release along the gastrointestinal tract. Results: AC-Teri and the coated nanocomplex (EE/AC-Teri) displayed high encapsulation efficiency (>90%) with narrow size distributions. In a stepwise buffer transition system, EE/AC-Teri demonstrated pH-dependent release, with less than 25% drug liberated at pH 1.2, approximately 54% at pH 6.8, and 74% at pH 7.4 over 24 h. Particle size and ζ-potential of EE/AC-Teri shifted in parallel with dissolution of the outer polymer shell. EE/AC-Teri also protected the peptide against enzymatic degradation, preserving the secondary structure of encapsulated teriparatide in simulated intestinal fluids. Compared with free drug, EE/AC-Teri enhanced transcellular drug permeation 2.7-fold in Caco-2 cells. In dexamethasone-induced osteoporotic rats, oral EE/AC-Teri significantly stimulated bone formation while suppressing resorption; micro-CT and histology confirmed recovery of trabecular architecture. Conclusions: EE/AC-Teri represents a promising oral teriparatide formulation for the effective management of osteoporosis. Full article
(This article belongs to the Collection Advanced Pharmaceutical Science and Technology in Korea)
Show Figures

Figure 1

16 pages, 1289 KB  
Article
Taste-Masked Diclofenac Sodium Microparticles Prepared by Polyelectrolyte Complexation: Formulation Using Different Fatty Acids and Taste Evaluation by Human Panel
by Okhee Yoo, Sharmin Sultana, Britta S. von Ungern-Sternberg and Lee Yong Lim
Pharmaceutics 2025, 17(11), 1411; https://doi.org/10.3390/pharmaceutics17111411 - 30 Oct 2025
Viewed by 761
Abstract
Background/Objectives: Paediatric patients continue to lack access to age-appropriate oral medicines for their treatment and have to depend on the off-label use of medicines approved for adults, which compromises dosing accuracy and exposes children to unpleasant bitterness. Building on previous proof-of-concept work [...] Read more.
Background/Objectives: Paediatric patients continue to lack access to age-appropriate oral medicines for their treatment and have to depend on the off-label use of medicines approved for adults, which compromises dosing accuracy and exposes children to unpleasant bitterness. Building on previous proof-of-concept work with flucloxacillin sodium, this study investigated the effects of fatty-acid chain length on the formation, stability, dissolution, and sensory acceptability of diclofenac sodium (DS)–Eudragit® EPO (EE)–fatty acid (FA) polyelectrolyte complexes (PECs). Four saturated fatty acids, lauric (C12), myristic (C14), palmitic (C16), and stearic acid (C18), were evaluated at stoichiometric equimolar DS:EE:FA ratio (1:1:1). Methods: PEC microparticles were prepared by solvent evaporation. A stability-indicating RP-HPLC assay was developed and validated according to ICH guidelines to quantify DS content. Drug content and stability were monitored over 3 months at ambient storage. In vitro dissolution was performed in pH 5.5 medium at 37 °C. Taste acceptability and willingness to take again was assessed with 25 healthy adult volunteers using 11-point scale. Results: All PECs retained >90% of expected drug content after 3 months. Compared with neat DS, PECs markedly suppressed early drug release (32–39% vs. 94% at 2 min) but achieved >87% cumulative drug release in 60 min. Sensory evaluation showed significant differences across samples (p < 0.001): neat DS was least acceptable (20.8% willing to take again), while DS-EE-PA was most acceptable (92%), followed by DS-EE-SA and DS-EE-MA. DS-EE-LA was least favoured among PECs. Conclusions: Fatty-acid chain length influenced PEC formation and taste acceptability, but not the PEC stability and drug dissolution profile. Palmitic acid (DS-EE-PA) offered the best overall profile and represents a promising candidate for further development of paediatric-appropriate diclofenac formulations. Full article
Show Figures

Figure 1

18 pages, 2944 KB  
Article
Epicatechin-Loaded Nanocapsules: Development, Physicochemical Characterization, and NLRP3 Inflammasome-Targeting Anti-Inflammatory Activity
by Carolina Bordin Davidson, Éricles Forrati Machado, Amanda Kolinski Machado, Diulie Valente de Souza, Lauren Pappis, Giovana Kolinski Cossettin Bonazza, Djenifer Letícia Ulrich Bick, Taíse Regina Schuster Montagner, André Gündel, Ivana Zanella da Silva, Aline Ferreira Ourique and Alencar Kolinski Machado
Biology 2025, 14(11), 1520; https://doi.org/10.3390/biology14111520 - 30 Oct 2025
Cited by 1 | Viewed by 779
Abstract
Epicatechin is a flavonoid of the catechin subclass, found in fruits and medicinal plants such as açaí and green tea, widely studied for its anti-inflammatory properties. However, flavonoids often present chemical instability, low aqueous solubility, and poor bioavailability, limiting their therapeutic potential. This [...] Read more.
Epicatechin is a flavonoid of the catechin subclass, found in fruits and medicinal plants such as açaí and green tea, widely studied for its anti-inflammatory properties. However, flavonoids often present chemical instability, low aqueous solubility, and poor bioavailability, limiting their therapeutic potential. This study aimed to incorporate epicatechin into nanocapsules to improve its applicability and evaluate whether the formulation maintains its anti-inflammatory effects via modulation of the NLRP3 inflammasome. Nanocapsules containing 0.25 mg/mL of epicatechin (NC-ECs) were prepared with Eudragit L-100 using interfacial deposition of a preformed polymer. The formulations were characterized for particle size, polydispersity index, zeta potential, and pH, as well as thermal stability over 45 days. Encapsulation efficiency and drug content were determined by high-performance liquid chromatography (HPLC), and morphology analyzed by atomic force microscopy (AFM). Cytocompatibility was assessed in VERO cells, and anti-inflammatory activity was investigated in THP-1-derived macrophages stimulated with LPS + nigericin. The NC-ECs displayed suitable physicochemical properties, high encapsulation efficiency (96%), and full drug loading. The formulation also showed good cytocompatibility and preserved anti-inflammatory activity through NLRP3 inflammasome modulation at low concentrations. These findings indicate NC-ECs as a promising nanotechnological strategy for treating inflammatory diseases involving NLRP3, highlighting its potential contribution to nanomedicine. Full article
(This article belongs to the Special Issue Biology and Function of Inflammasomes)
Show Figures

Figure 1

14 pages, 2843 KB  
Article
Design of Polymeric Delivery Systems for Lycium barbarum Phytochemicals: A Spray Drying Approach for Nutraceuticals
by Filipa Teixeira, Angelina Rut, Paulo C. Costa, Francisca Rodrigues and Berta Nogueiro Estevinho
Foods 2025, 14(20), 3504; https://doi.org/10.3390/foods14203504 - 15 Oct 2025
Cited by 1 | Viewed by 702
Abstract
Goji berries (Lycium barbarum L.) are extremely rich in bioactive compounds, including phenolics, flavonoids, and vitamin C, which contribute to the strong antioxidant and immunomodulatory properties, positioning them as a promising candidate for nutraceutical applications. However, due to some limitations such as [...] Read more.
Goji berries (Lycium barbarum L.) are extremely rich in bioactive compounds, including phenolics, flavonoids, and vitamin C, which contribute to the strong antioxidant and immunomodulatory properties, positioning them as a promising candidate for nutraceutical applications. However, due to some limitations such as poor bioavailability and instability, encapsulation via spray drying with polymeric carriers provides a practical strategy to improve their stability, bioavailability, and applicability in the health sector. In this study, goji berry extract (GBE) was obtained via ultrasound-assisted extraction (UAE) and encapsulated using spray drying with four different polymers: alginate, pectin, Eudragit E100 and RS30D. GBE-loaded microparticles showed improved production yields (e.g., 40.3% for Alginate + GBE vs. 13.9% for Alginate alone) and varying particle sizes (1.9–4.4 µm). The antioxidant/antiradical activities were retained to different extents, depending on the carrier, with RS30D + GBE displaying the highest TPC (15.51 mg GAE (gallic acid equivalents)/g), FRAP (59.83 µmol FSE (ferrous sulphate equivalents)/g), and DPPH activities (3.50 mg TE (Trolox equivalents)/g). Biocompatibility was confirmed in HT29-MTX cell lines for all produced microparticles. These findings support the use of spray-dried polymeric carriers to enhance the functional performance and stability of goji berry bioactive compounds in future nutraceutical applications. Full article
Show Figures

Figure 1

13 pages, 1265 KB  
Article
In Vitro Larvicidal Efficacy of a Fipronil-Based Nanoixodicide Against Rhipicephalus microplus
by José Pablo Villarreal-Villarreal, José Noel García-Pérez, Jesús Jaime Hernández Escareño, Sergio Arturo Galindo Rodríguez, Michel Stéphane Heya, Gustavo Hernández Vidal and Romario García-Ponce
Trop. Med. Infect. Dis. 2025, 10(10), 284; https://doi.org/10.3390/tropicalmed10100284 - 6 Oct 2025
Viewed by 778
Abstract
Controlling Rhipicephalus microplus is currently one of the main challenges in livestock farming due to the significant economic losses it causes. Traditionally, managing this parasite has been based on the use of synthetic ixodicides, among which fipronil has proven to be highly effective. [...] Read more.
Controlling Rhipicephalus microplus is currently one of the main challenges in livestock farming due to the significant economic losses it causes. Traditionally, managing this parasite has been based on the use of synthetic ixodicides, among which fipronil has proven to be highly effective. However, its low water solubility and the limitations of commercially available formulations can affect the bioavailability of this compound, favoring the emergence of resistance in tick populations. In this context, fipronil-loaded nanoparticles were developed using the Eudragit® E PO polymer (NP_F) (Helm, Naucalpan, Mexico, Mexico), which were physicochemically characterized and evaluated against fipronil-susceptible R. microplus larvae. NP_F had an average size of 143.43 ± 1.88 nm, a polydispersity index (PDI) of 0.162 ± 0.01, a ζ (P ζ) of 21.16 ± 0.54, an encapsulation percentage (%E) of 7.36 ± 0.30, and an encapsulation efficiency percentage (%EE) of 66.28 ± 3.5%. Free fipronil showed an LC50 of 0.582 µg/mL and an LC90 of 2.503 µg/mL against R. microplus. The NP_F formulation showed an LC50 of 0.427 µg/mL and an LC90 of 2.092 µg/mL. These results suggest that incorporating fipronil into nanoparticles improves its ixodicide efficacy, positioning it as an innovative and promising alternative for the development of effective tick control formulations. Full article
(This article belongs to the Special Issue Insecticide Resistance and Vector Control)
Show Figures

Figure 1

12 pages, 2075 KB  
Article
Enteric Coating Enhances the Biopharmaceutical Performance of a Silica–Lipid Formulation of Abiraterone Acetate
by Ali Taheri, Ruba Almasri, Anthony Wignall, Felicia Feltrin, Kristen E. Bremmell, Paul Joyce and Clive A. Prestidge
Pharmaceutics 2025, 17(10), 1289; https://doi.org/10.3390/pharmaceutics17101289 - 2 Oct 2025
Viewed by 1410
Abstract
Background/Objectives: Lipid-based formulations are widely used to enhance the oral bioavailability of poorly water-soluble drugs. However, for weakly basic drugs with higher solubility under acidic conditions, precipitation and recrystallisation after gastric emptying can compromise a formulation’s ability to maintain the drug in a [...] Read more.
Background/Objectives: Lipid-based formulations are widely used to enhance the oral bioavailability of poorly water-soluble drugs. However, for weakly basic drugs with higher solubility under acidic conditions, precipitation and recrystallisation after gastric emptying can compromise a formulation’s ability to maintain the drug in a solubilised, absorbable state. To address this, we evaluated an enteric coating strategy to preserve the biopharmaceutical performance of a silica-solidified lipid-based formulation. Methods and Results: The model weakly basic BCS Class IV drug, abiraterone acetate, was loaded into a lipid-based formulation and solidified using mesoporous silica nanoparticles. In an in vitro lipolysis model, introducing the formulation only after the onset of the intestinal phase led to lower precipitation and over 50% greater drug presence in the aqueous phase compared to a two-stage gastric–intestinal digestion. In an in vivo pharmacokinetic study in Sprague Dawley rats, the silica–lipid formulation (6 mg/kg), delivered in gelatine minicapsules enteric-coated with Eudragit L100-55, resulted in a 2.6-fold higher systemic exposure compared to the non-coated formulation (p < 0.0001). Conclusions: These findings support the use of enteric coating for lipid-based formulations and silica nanoparticles containing weakly basic drugs as a strategy to maintain formulation integrity until reaching the small intestine. Full article
Show Figures

Figure 1

27 pages, 4484 KB  
Article
Formulation of Self-Emulsifying Microemulsion for Acemetacin Using D-Optimal Design: Enteric-Coated Capsule for Targeted Intestinal Release and Bioavailability Enhancement
by Zaineb Z. Abduljaleel and Khalid K. Al-Kinani
Pharmaceutics 2025, 17(10), 1270; https://doi.org/10.3390/pharmaceutics17101270 - 27 Sep 2025
Cited by 1 | Viewed by 1274
Abstract
Objectives: The current work aimed to formulate and optimize a self-emulsifying microemulsion drug delivery system (SEME) for acemetacin (ACM) to increase ACM’s aqueous solubility, improve oral bioavailability, and reduce gastrointestinal complications. Methods: Screening of components capable of enhancing ACM solubility was [...] Read more.
Objectives: The current work aimed to formulate and optimize a self-emulsifying microemulsion drug delivery system (SEME) for acemetacin (ACM) to increase ACM’s aqueous solubility, improve oral bioavailability, and reduce gastrointestinal complications. Methods: Screening of components capable of enhancing ACM solubility was performed. Pseudo-ternary phase diagrams were performed to choose the optimal formulation ratio. The ACM-SEME formulation’s composition was optimized using D-optimal design. Oil, Smix, and water percentages were used as independent variables, while globule size, polydispersity index, ACM content, and in vitro ACM release after 90 min were used as dependent variables. Also, thermodynamic stability and transmittance percentage tests were studied. Zeta potential was assessed for the optimized ACM-SEME formulation, which was then subjected to spray drying. The dried ACM-SEME was characterized using field-emission scanning electron microscope, Fourier-transform infrared spectroscopy, X-ray diffraction, and differential scanning calorimetry. The dried ACM-SEME formulation was filled into hard gelatin capsules and coated with Eudragit L100 to achieve pH-dependent release. Results: The antinociceptive activity of ACM-SEME was evaluated in vivo using Eddy’s hot plate test in rats, revealing a significant prolongation of the noxious time threshold compared to control groups. Ex vivo permeation studies across rat intestinal tissue confirmed the enhanced permeation potential of the ACM-SEME. Conclusions: It was concluded that the developed ACM-SEME system demonstrated improved physicochemical properties, enhanced release behavior, and superior therapeutic performance, highlighting its potential as a safer and more effective oral delivery platform for ACM. Full article
(This article belongs to the Special Issue Advances in Emulsifying Drug Delivery Systems)
Show Figures

Graphical abstract

24 pages, 3974 KB  
Article
Formulation and Structural Optimisation of PVA-Fibre Biopolymer Composites for 3D Printing in Drug Delivery Applications
by Pattaraporn Panraksa, Pensak Jantrawut, Xin Yi Teoh, Krit Sengtakdaed, Ploynapat Pornngam, Tanpong Chaiwarit, Takron Chantadee, Kittisak Jantanasakulwong, Suruk Udomsom and Bin Zhang
Polymers 2025, 17(18), 2502; https://doi.org/10.3390/polym17182502 - 16 Sep 2025
Cited by 2 | Viewed by 1914
Abstract
Additive manufacturing using fused deposition modelling (FDM) is increasingly explored for personalised drug delivery, but the lack of suitable biodegradable and printable filaments limits its pharmaceutical application. In this study, we investigated the influence of formulation and structural design on the performance of [...] Read more.
Additive manufacturing using fused deposition modelling (FDM) is increasingly explored for personalised drug delivery, but the lack of suitable biodegradable and printable filaments limits its pharmaceutical application. In this study, we investigated the influence of formulation and structural design on the performance of polyvinyl alcohol (PVA)-based filaments doped with theophylline anhydrous for 3D printing. To address the intrinsic brittleness and poor printability of PVA, cassava pulp-derived fibres—a sustainable and underutilised agricultural by-product—were incorporated together with polyethylene glycol (PEG 400), Eudragit® NE 30 D, and calcium stearate. The addition of fibres modified the mechanical properties of PVA filaments through hydrogen bonding, improving flexibility but increasing surface roughness. This drawback was mitigated by Eudragit® NE 30 D, which enhanced surface smoothness and drug distribution uniformity. The optimised composite formulation (P10F5E5T5) was successfully extruded and used to fabricate 3D-printed constructs. Release studies demonstrated that drug release could be modulated by pore geometry and construct thickness: wider pores enabled rapid Fickian diffusion, while narrower pores and thicker constructs shifted release kinetics toward anomalous transport governed by polymer swelling. These findings demonstrate, for the first time, the potential of cassava fibre as a functional additive in pharmaceutical FDM and provide a rational formulation–structure–performance framework for developing sustainable, geometry-tuneable drug delivery systems. Full article
(This article belongs to the Special Issue Progress in 3D Printing of Polymeric Materials)
Show Figures

Graphical abstract

22 pages, 3886 KB  
Article
Targeted Development of an Optimised Formulation for 3D-Printing of a Sertraline Hydrochloride-Containing Drug Delivery System with Immediate-Release Characteristics Utilising a Mixture Design
by Mirco Bienhaus, Leif Neumann, Charlotte Müller and Frank E. Runkel
Pharmaceutics 2025, 17(9), 1137; https://doi.org/10.3390/pharmaceutics17091137 - 30 Aug 2025
Viewed by 1153
Abstract
Objectives: Although 3D-printing has been identified as a promising technique for personalised medicine manufacturing, developing complex formulations that are suitable for the process can be challenging. This study evaluates the use of a mixture design for the targeted development of an optimised formulation [...] Read more.
Objectives: Although 3D-printing has been identified as a promising technique for personalised medicine manufacturing, developing complex formulations that are suitable for the process can be challenging. This study evaluates the use of a mixture design for the targeted development of an optimised formulation designed for the 3D-printing of oral dosage forms containing the drug sertraline hydrochloride featuring immediate-release drug dissolution. Methods: The polymers Eudragit E PO, Kollidon 17 PF and hydroxypropyl cellulose were compared in simple screening experiments regarding their extrudability, printability and disintegration. A combination of Eudragit E PO and Kollidon 17 PF proved superior and therefore served as the basis for the mixture design. The resulting blends were processed via hot melt extrusion to produce filaments, which were then measured for bending stress using a 3-point-bending-test, and 3D-printed sample plates were used to determine the crystallinity index of sertraline hydrochloride using X-ray diffraction in a previously identified range with low interference from the other components. The formulation was optimised using statistically based models with the aim of minimising the bending stress to obtain flexible, process-robust filaments and simultaneously minimising the crystallinity index with the intention of improving the solubility of the drug by maximising its amorphous content. Results: The filaments made from the optimised formulation could be reliably printed, and the amorphous state of the active ingredient therein was confirmed. The oral dosage forms produced from these showed immediate release characteristics in an acidic medium. Conclusions: This study demonstrates the advantages of a mixture design for optimising complex formulations in a time- and resource-efficient way and could serve as a basis for other research groups to develop innovative, customisable drug delivery systems more effectively. Full article
(This article belongs to the Section Physical Pharmacy and Formulation)
Show Figures

Figure 1

Back to TopTop