Epicatechin-Loaded Nanocapsules: Development, Physicochemical Characterization, and NLRP3 Inflammasome-Targeting Anti-Inflammatory Activity
Simple Summary
Abstract
1. Introduction
2. Materials and Methods
2.1. Part I
2.1.1. Nanocapsule Preparation
2.1.2. Nanocapsule Characterization
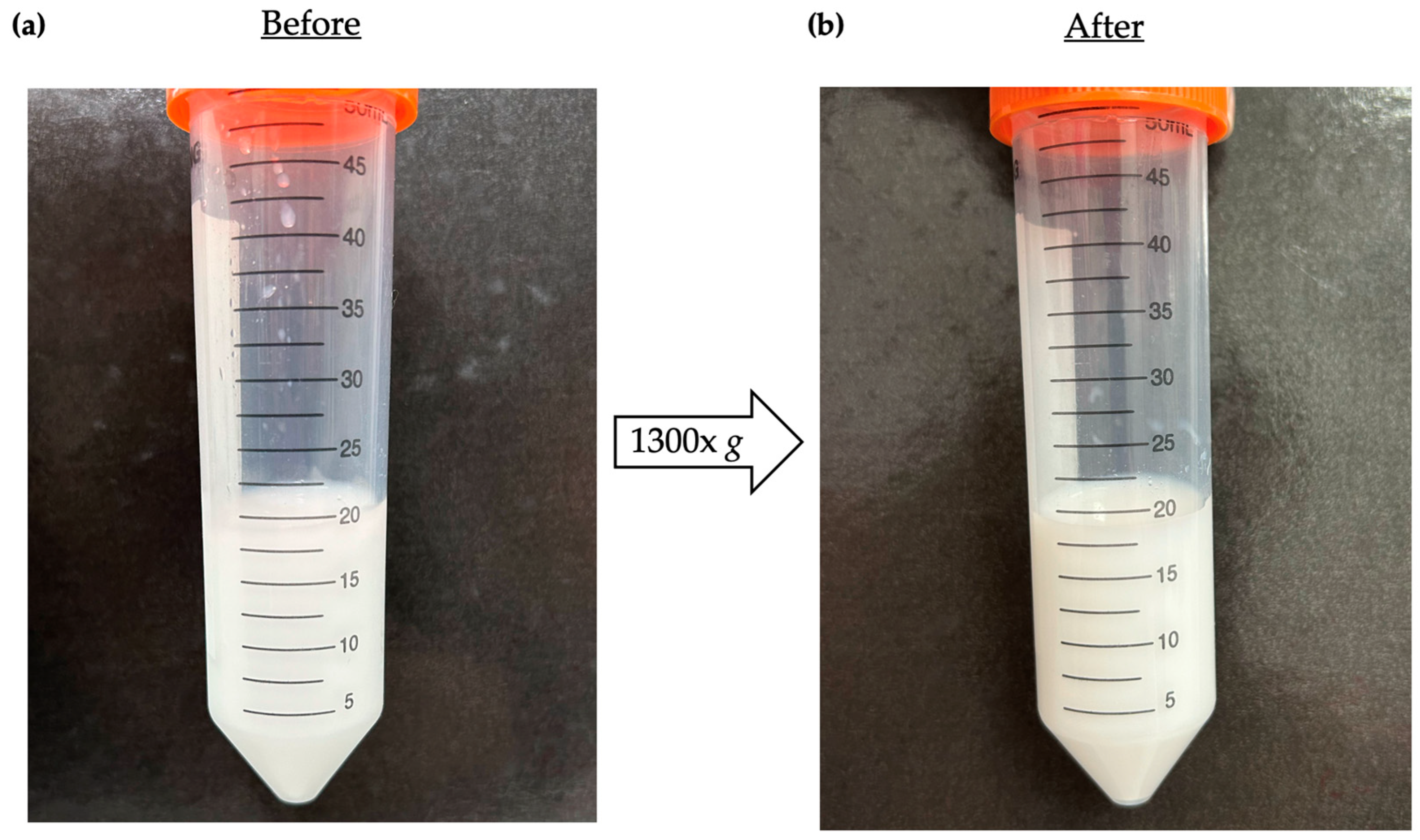
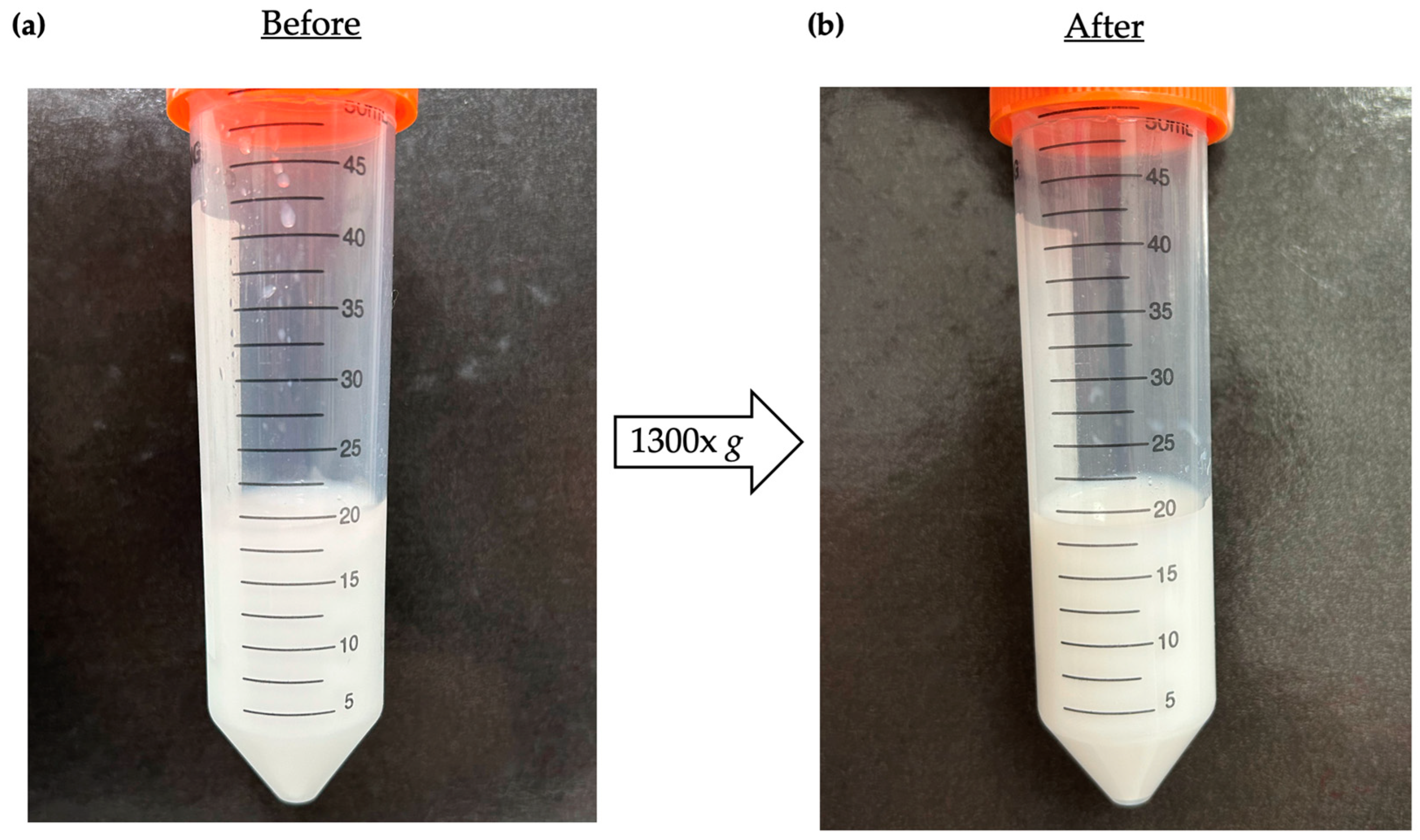
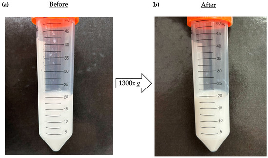
2.1.3. Centrifugation Test
2.1.4. Thermal Stability of Nanocapsules
2.2. Part II
2.2.1. Protein Corona Assay
2.2.2. In Vitro Safety Profile of the Prepared Nanocapsules
2.2.3. In Vitro Anti-Inflammatory Effects of NC-ECs
2.2.4. Experimental Analysis
2.3. Statistical Analysis
3. Results
3.1. Part I
3.1.1. Physicochemical Characteristics of NC-ECs and NC-Bs
3.1.2. NC-EC Stability by the Centrifugation Test
3.1.3. NC-EC Thermal Stability
3.2. Part II
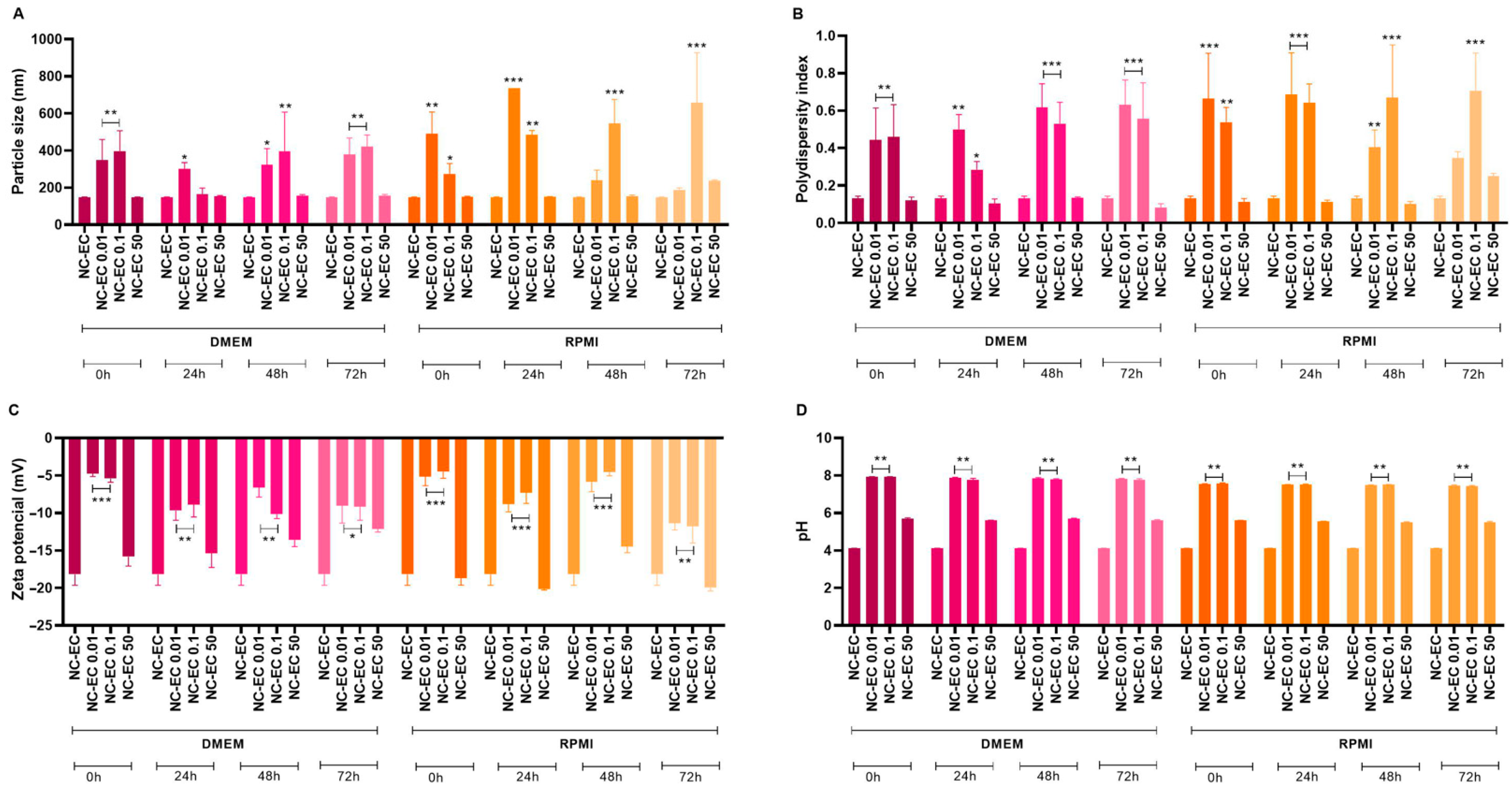
3.2.1. Protein Corona Effect by NC-ECs
3.2.2. In Vitro Safety Profile of NC-ECs and NC-Bs
3.2.3. Anti-Inflammatory Effects of NC-ECs via NLRP3 Inflammasome Modulation in Monocytes and THP-1-Derived Macrophages
4. Discussion
5. Conclusions
Supplementary Materials
Author Contributions
Funding
Institutional Review Board Statement
Informed Consent Statement
Data Availability Statement
Conflicts of Interest
Abbreviations
| NC-ECs | Epicatechin-loaded nanocapsules |
| NC-Bs | Blank nanocapsules |
| HPLC | High-performance liquid chromatography |
| RP-HPLC | Reverse-phase high-performance liquid chromatography |
| AFM | Atomic force microscopy |
| ROS | Reactive oxygen species |
| dsDNA | Double-strand DNA |
| IL-1β | Interleukin-1 beta |
| MTT | 3-(4,5-Dimethylthiazol-2-yl)-2,5-Diphenyltetrazolium Bromide |
| NLRP3 | NOD-like receptor family, pyrin domain containing 3 |
| DCFH-DA | 2′,7′-Dichlorofluorescein diacetate |
| PMA | Phorbol 12-myristate 13-acetate |
| LPS | Lipopolysaccharide |
| pH | Hydrogen potential |
| DMEM | Dulbecco’s modified Eagle medium |
| FBS | Fetal bovine serum |
| PDI | Polydispersity index |
| nm | Nanometers |
| mV | Millivolts |
| mM | Millimolar |
| NaCl | Sodium chloride |
| LogP | Logarithm of the partition coefficient |
| NO | Nitric oxide |
| ACTB | Beta-actin |
| ANOVA | Analysis of variance |
References
- Duan, L.; Rao, X.; Sigdel, K.R. Regulation of Inflammation in Autoimmune Disease. J. Immunol. Res. 2019, 2019, 7403796. [Google Scholar] [CrossRef]
- Furman, D.; Campisi, J.; Verdin, E.; Carrera-Bastos, P.; Targ, S.; Franceschi, C.; Ferrucci, L.; Gilroy, D.W.; Fasano, A.; Miller, G.W.; et al. Chronic Inflammation in the Etiology of Disease across the Life Span. Nat. Med. 2019, 25, 1822–1832. [Google Scholar] [CrossRef]
- Blevins, H.M.; Xu, Y.; Biby, S.; Zhang, S. The NLRP3 Inflammasome Pathway: A Review of Mechanisms and Inhibitors for the Treatment of Inflammatory Diseases. Front. Aging Neurosci. 2022, 14, 879021. [Google Scholar] [CrossRef]
- Kohli, P.; Steg, P.G.; Cannon, C.P.; Smith, S.C.; Eagle, K.A.; Ohman, E.M.; Alberts, M.J.; Hoffman, E.; Guo, J.; Simon, T.; et al. NSAID Use and Association with Cardiovascular Outcomes in Outpatients with Stable Atherothrombotic Disease. Am. J. Med. 2014, 127, 53–60.e1. [Google Scholar] [CrossRef] [PubMed]
- Bindu, S.; Mazumder, S.; Bandyopadhyay, U. Non-Steroidal Anti-Inflammatory Drugs (NSAIDs) and Organ Damage: A Current Perspective. Biochem. Pharmacol. 2020, 180, 114147. [Google Scholar] [CrossRef] [PubMed]
- Fraga, C.G.; Galleano, M.; Verstraeten, S.V.; Oteiza, P.I. Basic Biochemical Mechanisms behind the Health Benefits of Polyphenols. Mol. Asp. Med. 2010, 31, 435–445. [Google Scholar] [CrossRef]
- Kerimi, A.; Williamson, G. Differential Impact of Flavonoids on Redox Modulation, Bioenergetics, and Cell Signaling in Normal and Tumor Cells: A Comprehensive Review. Antioxid. Redox Signal. 2017, 29, 1633–1659. [Google Scholar] [CrossRef]
- Zheng, X.; Zhang, X.; Zeng, F. Biological Functions and Health Benefits of Flavonoids in Fruits and Vegetables: A Contemporary Review. Foods 2025, 14, 155. [Google Scholar] [CrossRef] [PubMed]
- Daussin, F.N.; Heyman, E.; Burelle, Y. Effects of (−)-Epicatechin on Mitochondria. Nutr. Rev. 2021, 79, 25–41. [Google Scholar] [CrossRef]
- Davidson, C.B.; El Sabbagh, D.E.; Machado, A.K.; Pappis, L.; Sagrillo, M.R.; Somacal, S.; Emanuelli, T.; Schultz, J.V.; Augusto Pereira da Rocha, J.; Santos, A.F.; et al. Euterpe Oleracea Mart. Bioactive Molecules: Promising Agents to Modulate the NLRP3 Inflammasome. Biology 2024, 13, 729. [Google Scholar] [CrossRef]
- Moreno-Ulloa, A.; Miranda-Cervantes, A.; Licea-Navarro, A.; Mansour, C.; Beltrán-Partida, E.; Donis-Maturano, L.; Delgado De la Herrán, H.C.; Villarreal, F.; Álvarez-Delgado, C. (−)-Epicatechin Stimulates Mitochondrial Biogenesis and Cell Growth in C2C12 Myotubes via the G-Protein Coupled Estrogen Receptor. Eur. J. Pharmacol. 2018, 822, 95–107. [Google Scholar] [CrossRef] [PubMed]
- Huang, W.; Lin, S.; Cao, H. Stability and Degradation Mechanism of (−)-Epicatechin in Thermal Processing. Food Chem. 2025, 465, 142038. [Google Scholar] [CrossRef]
- Huang, C.; Wang, Y.; Li, X.; Ren, L.; Zhao, J.; Hu, Y.; Zhang, L.; Fan, G.; Xu, J.; Gu, X.; et al. Clinical Features of Patients Infected with 2019 Novel Coronavirus in Wuhan, China. Lancet 2020, 395, 497–506. [Google Scholar] [CrossRef]
- Li, N.; Taylor, L.S.; Ferruzzi, M.G.; Mauer, L.J. Kinetic Study of Catechin Stability: Effects of pH, Concentration, and Temperature. J. Agric. Food Chem. 2012, 60, 12531–12539. [Google Scholar] [CrossRef]
- Lončarić, A.; Pablo Lamas, J.; Guerra, E.; Kopjar, M.; Lores, M. Thermal Stability of Catechin and Epicatechin upon Disaccharides Addition. Int. J. Food Sci. Technol. 2018, 53, 1195–1202. [Google Scholar] [CrossRef]
- Perez-Ruiz, A.G.; Ganem, A.; Olivares-Corichi, I.M.; García-Sánchez, J.R. Lecithin-Chitosan-TPGS Nanoparticles as Nanocarriers of (−)-Epicatechin Enhanced Its Anticancer Activity in Breast Cancer Cells. RSC Adv. 2018, 8, 34773–34782. [Google Scholar] [CrossRef]
- Chen, P.; Chen, F.; Guo, Z.L.; Lei, J.; Zhou, B. Recent Advancement in Bioeffect, Metabolism, Stability, and Delivery Systems of Apigenin, a Natural Flavonoid Compound: Challenges and Perspectives. Front. Nutr. 2023, 10, 1221227. [Google Scholar] [CrossRef]
- Patra, J.K.; Das, G.; Fraceto, L.F.; Campos, E.V.R.; Rodriguez-Torres, M.D.P.; Acosta-Torres, L.S.; Diaz-Torres, L.A.; Grillo, R.; Swamy, M.K.; Sharma, S.; et al. Nano Based Drug Delivery Systems: Recent Developments and Future Prospects. J. Nanobiotechnol. 2018, 16, 71. [Google Scholar] [CrossRef] [PubMed]
- Elmowafy, M.; Alhakamy, N.A.; Shalaby, K.; Alshehri, S.; Ali, H.M.; Mohammed, E.F.; Alruwaili, N.K.; Zafar, A. Hybrid Polylactic Acid/Eudragit L100 Nanoparticles: A Promising System for Enhancement of Bioavailability and Pharmacodynamic Efficacy of Luteolin. J. Drug Deliv. Sci. Technol. 2021, 65, 102727. [Google Scholar] [CrossRef]
- Pereira, M.P.; de Gomes, M.G.; Izoton, J.C.; Nakama, K.A.; dos Santos, R.B.; Pinto Savall, A.S.; Ramalho, J.B.; Roman, S.S.; Luchese, C.; Cibin, F.W.; et al. Cationic and Anionic Unloaded Polymeric Nanocapsules: Toxicological Evaluation in Rats Shows Low Toxicity. Biomed. Pharmacother. 2019, 116, 109014. [Google Scholar] [CrossRef]
- Cetin, M.; Atila, A.; Kadioglu, Y. Formulation and in Vitro Characterization of Eudragit® L100 and Eudragit® L100-PLGA Nanoparticles Containing Diclofenac Sodium. AAPS PharmSciTech 2010, 11, 1250–1256. [Google Scholar] [CrossRef]
- Nikam, A.; Sahoo, P.R.; Musale, S.; Pagar, R.R.; Paiva-Santos, A.C.; Giram, P.S. A Systematic Overview of Eudragit® Based Copolymer for Smart Healthcare. Pharmaceutics 2023, 15, 587. [Google Scholar] [CrossRef] [PubMed]
- Jaguezeski, A.M.; Gündel, S.S.; Favarin, F.R.; Gündel, A.; Souza, C.F.; Baldissera, M.D.; Cazarotto, C.C.; Volpato, A.; Fortuoso, B.F.; Ourique, A.F.; et al. Low-Dose Curcumin-Loaded Eudragit L-100-Nanocapsules in the Diet of Dairy Sheep Increases Antioxidant Levels and Reduces Lipid Peroxidation in Milk. J. Food Biochem. 2019, 43, e12942. [Google Scholar] [CrossRef]
- Coradini, K.; Lima, F.O.; Oliveira, C.M.; Chaves, P.S.; Athayde, M.L.; Carvalho, L.M.; Beck, R.C.R. Co-Encapsulation of Resveratrol and Curcumin in Lipid-Core Nanocapsules Improves Their in Vitro Antioxidant Effects. Eur. J. Pharm. Biopharm. 2014, 88, 178–185. [Google Scholar] [CrossRef]
- Klein, T.; Longhini, R.; De Mello, J.C.P. Development of an Analytical Method Using Reversed-Phase HPLC-PDA for a Semipurified Extract of Paullinia Cupana Var. Sorbilis (Guaraná). Talanta 2012, 88, 502–506. [Google Scholar] [CrossRef]
- Ourique, A.F.; Chaves, P.D.S.; Souto, G.D.; Pohlmann, A.R.; Guterres, S.S.; Beck, R.C.R. Redispersible Liposomal-N-Acetylcysteine Powder for Pulmonary Administration: Development, in Vitro Characterization and Antioxidant Activity. Eur. J. Pharm. Sci. 2014, 65, 174–182. [Google Scholar] [CrossRef]
- Gündel, S.d.S.; Velho, M.C.; Diefenthaler, M.K.; Favarin, F.R.; Copetti, P.M.; de Oliveira Fogaça, A.; Klein, B.; Wagner, R.; Gündel, A.; Sagrillo, M.R.; et al. Basil Oil-Nanoemulsions: Development, Cytotoxicity and Evaluation of Antioxidant and Antimicrobial Potential. J. Drug Deliv. Sci. Technol. 2018, 46, 378–383. [Google Scholar] [CrossRef]
- ANVISA. Cosmetic Product Stability Guide—Thematic Series; ANVISA: Brasília, Brazil, 2004; Volume 1, ISBN 8588233150. [Google Scholar]
- Tedesco, S.; De Majo, F.; Kim, J.; Trenti, A.; Trevisi, L.; Fadini, G.P.; Bolego, C.; Zandstra, P.W.; Cignarella, A.; Vitiello, L. Convenience versus Biological Significance: Are PMA-Differentiated THP-1 Cells a Reliable Substitute for Blood-Derived Macrophages When Studying in Vitro Polarization? Front. Pharmacol. 2018, 9, 71. [Google Scholar] [CrossRef] [PubMed]
- Song, X.; Gan, K.; Qin, S.; Chen, L.; Liu, X.; Chen, T.; Liu, H. Preparation and Characterization of General-Purpose Gelatin-Based Co-Loading Flavonoids Nano-Core Structure. Sci. Rep. 2019, 9, 6365. [Google Scholar] [CrossRef] [PubMed]
- Mocanu, M.M.; Nagy, P.; Szöllosi, J.; Mayence, A. Chemoprevention of Breast Cancer by Dietary Polyphenols. Molecules 2015, 20, 22578–22620. [Google Scholar] [CrossRef]
- Teng, H.; Zheng, Y.; Cao, H.; Huang, Q.; Xiao, J.; Chen, L. Enhancement of Bioavailability and Bioactivity of Diet-Derived Flavonoids by Application of Nanotechnology: A Review. Crit. Rev. Food Sci. Nutr. 2023, 63, 378–393. [Google Scholar] [CrossRef]
- Iriti, M.; Varoni, E.M. Chemopreventive Potential of Flavonoids in Oral Squamous Cell Carcinoma in Human Studies. Nutrients 2013, 5, 2564–2576. [Google Scholar] [CrossRef]
- Halevas, E.G.; Avgoulas, D.I.; Katsipis, G.; Pantazaki, A.A. Flavonoid-Liposomes Formulations: Physico-Chemical Characteristics, Biological Activities and Therapeutic Applications. Eur. J. Med. Chem. Rep. 2022, 5, 100059. [Google Scholar] [CrossRef]
- Brglez Mojzer, E.; Knez Hrnčič, M.; Škerget, M.; Knez, Ž.; Bren, U. Polyphenols: Extraction Methods, Antioxidative Action, Bioavailability and Anticarcinogenic Effects. Molecules 2016, 21, 901. [Google Scholar] [CrossRef]
- Mudalige, T.; Qu, H.; Van Haute, D.; Ansar, S.M.; Paredes, A.; Ingle, T. Chapter 11—Characterization of Nanomaterials: Tools and Challenges. In Micro and Nano Technologies; López Rubio, A., Fabra Rovira, M.J., Martínez Sanz, M., Gómez-Mascaraque, L.G.B.T.-N., Eds.; Elsevier: Amsterdam, The Netherlands, 2019; pp. 313–353. ISBN 978-0-12-814130-4. [Google Scholar]
- Cordenonsi, L.M.; Sponchiado, R.M.; Bandeira, J.R.; Santos, R.C.V.; Raffin, R.P.; Schapoval, E.E.S. Polymeric Nanoparticles Loaded Naringin and Naringenin: Effect of Solvent, Characterization, Photodegradation and Stability Studies. Drug Anal. Res. 2020, 4, 64–71. [Google Scholar] [CrossRef]
- Cano, A.; Ettcheto, M.; Chang, J.-H.; Barroso, E.; Espina, M.; Kühne, B.A.; Barenys, M.; Auladell, C.; Folch, J.; Souto, E.B.; et al. Dual-Drug Loaded Nanoparticles of Epigallocatechin-3-Gallate (EGCG)/Ascorbic Acid Enhance Therapeutic Efficacy of EGCG in a APPswe/PS1dE9 Alzheimer’s Disease Mice Model. J. Control. Release 2019, 301, 62–75. [Google Scholar] [CrossRef] [PubMed]
- Safer, A.-M.; Leporatti, S.; Jose, J.; Soliman, M.S. Conjugation of EGCG And Chitosan NPs As a Novel Nano-Drug Delivery System. Int. J. Nanomed. 2019, 14, 8033–8046. [Google Scholar] [CrossRef]
- Xi, A.; Bothun, G.D. Centrifugation-Based Assay for Examining Nanoparticle–Lipid Membrane Binding and Disruption. Analyst 2014, 139, 973–981. [Google Scholar] [CrossRef] [PubMed]
- Atala, E.; Fuentes, J.; Wehrhahn, M.J.; Speisky, H. Quercetin and Related Flavonoids Conserve Their Antioxidant Properties despite Undergoing Chemical or Enzymatic Oxidation. Food Chem. 2017, 234, 479–485. [Google Scholar] [CrossRef] [PubMed]
- Speisky, H.; Shahidi, F.; de Camargo, A.C.; Fuentes, J. Revisiting the Oxidation of Flavonoids: Loss, Conservation or Enhancement of Their Antioxidant Properties. Antioxidants 2022, 11, 133. [Google Scholar] [CrossRef]
- Dalcin, A.J.F.; Vizzotto, B.S.; Bochi, G.V.; Guarda, N.S.; Nascimento, K.; Sagrillo, M.R.; Moresco, R.N.; Schuch, A.P.; Ourique, A.F.; Gomes, P. Nanoencapsulation of the Flavonoid Dihydromyricetin Protects against the Genotoxicity and Cytotoxicity Induced by Cationic Nanocapsules. Colloids Surf. B Biointerfaces 2019, 173, 798–805. [Google Scholar] [CrossRef]
- Toledo, C.; Gambaro, R.C.; Padula, G.; Vela, M.E.; Castro, G.R.; Chain, C.Y.; Islan, G.A. Binary Medical Nanofluids by Combination of Polymeric Eudragit Nanoparticles for Vehiculization of Tobramycin and Resveratrol: Antimicrobial, Hemotoxicity and Protein Corona Studies. J. Pharm. Sci. 2021, 110, 1739–1748. [Google Scholar] [CrossRef]
- Bayliak, M.M.; Gospodaryov, D.V.; Lushchak, V.I. Mimicking Caloric Restriction for Anti-Aging Effects: The pro-Oxidant Role of Alpha-Ketoglutarate. Curr. Opin. Toxicol. 2022, 30, 100339. [Google Scholar] [CrossRef]
- Siqueira, F.D.S.; Alves, C.F.D.S.; Machado, A.K.; Siqueira, J.D.; Santos, T.D.; Mizdal, C.R.; Moreira, K.S.; Teixeira Carvalho, D.; Bonez, P.C.; Urquhart, C.G.; et al. Molecular Docking, Quorum Quenching Effect, Antibiofilm Activity and Safety Profile of Silver-Complexed Sulfonamide on Pseudomonas Aeruginosa. Biofouling 2021, 37, 555–571. [Google Scholar] [CrossRef]
- Ferreira, C.F.; Cordenonsi, L.M.; Santos, C.G.; Roggia, I.; Sulczewski, F.; Rodrigues, L.; Boeck, C.R.; Raffin, R.P. Desenvolvimento, Caracterização e Avaliação Da Citotoxicidade de Naringina e. Discip. Sci. Sér. Nat. E Tecnológicas 2015, 1, 284–300. [Google Scholar]
- Hussain, A.; Samad, A.; Singh, S.K.; Ahsan, M.N.; Haque, M.W.; Faruk, A.; Ahmed, F.J. Nanoemulsion Gel-Based Topical Delivery of an Antifungal Drug: In Vitro Activity and in Vivo Evaluation. Drug Deliv. 2016, 23, 652–667. [Google Scholar] [CrossRef] [PubMed]
- Mohammadzadeh, R.; Baradaran, B.; Valizadeh, H.; Yousefi, B.; Zakeri-Milani, P. Reduced ABCB1 Expression and Activity in the Presence of Acrylic Copolymers. Adv. Pharm. Bull. 2014, 4, 219–224. [Google Scholar] [CrossRef]
- Pathak, C.; Vaidya, F.U.; Pandey, S.M. Mechanism for Development of Nanobased Drug Delivery System; Elsevier Inc.: Amsterdam, The Netherlands, 2018; ISBN 9780128140291. [Google Scholar]
- Kocher, K.; Moosmann, C.; Drost, F.; Schülein, C.; Irrgang, P.; Steininger, P.; Zhong, J.; Träger, J.; Spriewald, B.; Bock, C.; et al. Adaptive Immune Responses Are Larger and Functionally Preserved in a Hypervaccinated Individual. Lancet Infect. Dis. 2024, 24, e272–e274. [Google Scholar] [CrossRef] [PubMed]
- Kaufmann, F.N.; Costa, A.P.; Ghisleni, G.; Diaz, A.P.; Rodrigues, A.L.S.; Peluffo, H.; Kaster, M.P. NLRP3 Inflammasome-Driven Pathways in Depression: Clinical and Preclinical Findings. Brain. Behav. Immun. 2017, 64, 367–383. [Google Scholar] [CrossRef]
- Luo, J.; Li, X.; Zhang, L.; Deng, M.; Zhao, J.; Zhang, J.; Tang, W.; Guo, Q.; Wang, L. 5-Deoxy-Rutaecarpine Protects against LPS-Induced Acute Lung Injury via Inhibiting NLRP3 Inflammasome-Related Inflammation. Front. Pharmacol. 2025, 16, 1522146. [Google Scholar] [CrossRef]
- Zhou, X.; Fernando, S.M.; Pan, A.Y.; Laposa, R.; Cullen, K.R.; Klimes-Dougan, B.; Andreazza, A.C. Characterizing the NLRP3 Inflammasome in Mood Disorders: Overview, Technical Development, and Measures of Peripheral Activation in Adolescent Patients. Int. J. Mol. Sci. 2021, 22, 12513. [Google Scholar] [CrossRef]
- Gao, H.; Wang, L.; Lyu, Y.; Jin, H.; Lin, Z.; Kang, Y.; Li, Z.; Zhang, X.; Jiang, Y.; Zhang, G.; et al. The P2X7R/NLRP3 Inflammasome Axis Suppresses Enthesis Regeneration through Inflammatory and Metabolic Macrophage-Stem Cell Cross-Talk. Sci. Adv. 2025, 11, eadr4894. [Google Scholar] [CrossRef] [PubMed]
- Qing, Y.; Xiang, X.; Li, S.; Wang, M.; Liang, Z.; Ren, J. Integrated Evaluation the Antioxidant Activity of Epicatechin from Cell Dynamics. Biotechnol. Prog. 2023, 39, e3328. [Google Scholar] [CrossRef] [PubMed]
- Abdi Syahputra, R.; Dalimunthe, A.; Utari, Z.D.; Halim, P.; Sukarno, M.A.; Zainalabidin, S.; Salim, E.; Gunawan, M.; Nurkolis, F.; Park, M.N.; et al. Nanotechnology and Flavonoids: Current Research and Future Perspectives on Cardiovascular Health. J. Funct. Foods 2024, 120, 106355. [Google Scholar] [CrossRef]
- Chen, B.H.; Inbaraj, B.S. Nanoemulsion and Nanoliposome Based Strategies for Improving Anthocyanin Stability and Bioavailability. Nutrients 2019, 11, 1052. [Google Scholar] [CrossRef] [PubMed]
- Khan, H.; Ullah, H.; Martorell, M.; Valdes, S.E.; Belwal, T.; Tejada, S.; Sureda, A.; Kamal, M.A. Flavonoids Nanoparticles in Cancer: Treatment, Prevention and Clinical Prospects. Semin. Cancer Biol. 2021, 69, 200–211. [Google Scholar] [CrossRef]
- Shukla, S.; Gupta, S. Apigenin: A Promising Molecule for Cancer Prevention. Pharm. Res. 2010, 27, 962–978. [Google Scholar] [CrossRef]
- Dhankhar, S.; Kumar, J.; Chauhan, S.; Zahoor, I.; Wani, S.N.; Saini, M.; Borsha, J.A.; Yasmin, S.; Ansari, M.Y. Flavonoids and Flavonoid-Based Nanoparticles for the Treatment of Arthritis. Inflammopharmacology 2025, 33, 2193–2216. [Google Scholar] [CrossRef]






| Parameters | NC-ECs [0.25 mg/mL] | NC-Bs |
|---|---|---|
| Size | 165 ± 0.35 nm | 157 ± 1.96 nm |
| PDI | 0.162 ± 0.014 | 0.15 ± 0.017 |
| Zeta potential | −9 ± 1.21 mV | −15 ± 1.7 mV |
| pH | 3.85 ± 0.02 | 3.8 ± 0.02 |
| Bioactive content | 100 ± 0.40% | Not applicable. |
| EE | 96.15 ± 1.01% | Not applicable. |
| AFM | ![]() | ![]() |
Disclaimer/Publisher’s Note: The statements, opinions and data contained in all publications are solely those of the individual author(s) and contributor(s) and not of MDPI and/or the editor(s). MDPI and/or the editor(s) disclaim responsibility for any injury to people or property resulting from any ideas, methods, instructions or products referred to in the content. |
© 2025 by the authors. Licensee MDPI, Basel, Switzerland. This article is an open access article distributed under the terms and conditions of the Creative Commons Attribution (CC BY) license (https://creativecommons.org/licenses/by/4.0/).
Share and Cite
Bordin Davidson, C.; Forrati Machado, É.; Kolinski Machado, A.; Valente de Souza, D.; Pappis, L.; Kolinski Cossettin Bonazza, G.; Ulrich Bick, D.L.; Schuster Montagner, T.R.; Gündel, A.; Zanella da Silva, I.; et al. Epicatechin-Loaded Nanocapsules: Development, Physicochemical Characterization, and NLRP3 Inflammasome-Targeting Anti-Inflammatory Activity. Biology 2025, 14, 1520. https://doi.org/10.3390/biology14111520
Bordin Davidson C, Forrati Machado É, Kolinski Machado A, Valente de Souza D, Pappis L, Kolinski Cossettin Bonazza G, Ulrich Bick DL, Schuster Montagner TR, Gündel A, Zanella da Silva I, et al. Epicatechin-Loaded Nanocapsules: Development, Physicochemical Characterization, and NLRP3 Inflammasome-Targeting Anti-Inflammatory Activity. Biology. 2025; 14(11):1520. https://doi.org/10.3390/biology14111520
Chicago/Turabian StyleBordin Davidson, Carolina, Éricles Forrati Machado, Amanda Kolinski Machado, Diulie Valente de Souza, Lauren Pappis, Giovana Kolinski Cossettin Bonazza, Djenifer Letícia Ulrich Bick, Taíse Regina Schuster Montagner, André Gündel, Ivana Zanella da Silva, and et al. 2025. "Epicatechin-Loaded Nanocapsules: Development, Physicochemical Characterization, and NLRP3 Inflammasome-Targeting Anti-Inflammatory Activity" Biology 14, no. 11: 1520. https://doi.org/10.3390/biology14111520
APA StyleBordin Davidson, C., Forrati Machado, É., Kolinski Machado, A., Valente de Souza, D., Pappis, L., Kolinski Cossettin Bonazza, G., Ulrich Bick, D. L., Schuster Montagner, T. R., Gündel, A., Zanella da Silva, I., Ferreira Ourique, A., & Kolinski Machado, A. (2025). Epicatechin-Loaded Nanocapsules: Development, Physicochemical Characterization, and NLRP3 Inflammasome-Targeting Anti-Inflammatory Activity. Biology, 14(11), 1520. https://doi.org/10.3390/biology14111520



