Next Article in Journal
Biopharmaceuticals—Current Information and New Challenges
Previous Article in Journal
Dysphania ambrosioides as a Source of Antioxidant Candidates for Benign Prostatic Hyperplasia (BPH) and Prostatitis: A Critical Review and In Silico Prioritisation
 
 
Font Type:
Arial Georgia Verdana
Font Size:
Aa Aa Aa
Line Spacing:
Column Width:
Background:
Article

Development and Optimisation of Docetaxel-Loaded Polymeric Nanoparticles for Oral Chemotherapy in Breast Cancer

1
Department of Pharmaceutics, KLE College of Pharmacy, Bengaluru 560010, Karnataka, India
2
Basic Science Research Centre, KLE College of Pharmacy, Bengaluru 560010, Karnataka, India
*
Author to whom correspondence should be addressed.
Sci. Pharm. 2025, 93(4), 58; https://doi.org/10.3390/scipharm93040058
Submission received: 19 October 2025 / Revised: 5 November 2025 / Accepted: 12 November 2025 / Published: 14 November 2025

Abstract

Docetaxel (DTX)-loaded polymeric nanoparticles composed of Eudragit RL and RS 100 were developed by solvent evaporation using D-α-tocopheryl polyethene glycol 1000 succinate as an emulsifier and optimised by Central Composite Design. The effects of homogenisation and sonication times on entrapment efficiency (%EE) and drug release (%DR) were statistically analysed across nine batches. Particle size (PS) ranged from 302 ± 1.0 to 502 ± 2.0 nm, and zeta potential (ZP) from 25.8 ± 2.5 to 42.9 ± 1.7 mV. %EE and %DR (pH 1.2 for 2 h, then pH 7.4 for 22 h, 40 mL medium at 37 ± 0.5 °C) ranged from 69.32 ± 3.77 to 92.71 ± 0.16% and 19.24 ± 3.03 to 49.17 ± 1.98%, respectively. Optimised DTX nanoparticles (DNPs) showed EE of 78.18 ± 0.56%, DR of 46.21 ± 1.41% at 24 h, PS of 357.9 ± 2.4 nm, and ZP of 42.9 ± 3.7 mV. Scanning electron microscopy revealed ~300 nm cuboidal particles with smooth surfaces. X-Ray Diffraction and Differential Scanning Colorimetry confirmed reduced drug crystallinity in DNPs. In vitro haemolysis assays showed ~11.5-fold lower haemolytic potential (p < 0.0001) versus DTX, confirming improved safety. Fluorescence microscopy indicated enhanced cellular uptake of DNPs in MDA-MB-231 cells, while cytotoxicity assays of DNPs showed a lower IC50 (39.52 µM) compared to DTX (60.81 µM), demonstrating superior anticancer efficacy. Overall, DNPs represent a promising oral chemotherapy platform for breast cancer management.

1. Introduction

According to the World Health Organisation (WHO), breast cancer is the second leading cause of cancer-related deaths worldwide, with nearly 17.5 million deaths projected by 2050 [1]. Patients with recurrent disease display considerable longevity, with a median survival period of 1 to 2 years, posing a considerable challenge to clinical management of metastatic breast cancer, which highlights the urgent need for improved treatment strategies. Additionally, the treatment modality for triple-negative breast cancer, which accounts for almost 20% of all breast cancer cases, poses further challenges. Docetaxel (DTX) is an FDA-approved drug used to treat various cancers, including breast, non-small-cell lung, hormone-refractory prostate, gastric adenocarcinoma, and head and neck squamous cell [2].
DTX is particularly effective in treating breast cancer, with response rates ranging from 50% to 72% when used as a first-line therapy. It disrupts cell division by inhibiting microtubule dynamics and arresting the cell cycle in the G2/M phase [3]. Currently, DTX is administered intravenously, either alone or as part of combination therapy, at a dosage ranging from 60 to 100 mg/m−2. DTX belongs to the Biopharmaceutics Classification System (BCS) class IV, as it is known to exhibit poor solubility (6–7 µg/mL) and low permeability. Moreover, the drug exhibits poor permeability as it is a substrate of P-glycoprotein, which leads to efflux [4]. The other major drawback of DTX is its poor water solubility, which is currently addressed by using polysorbate 80 in its formulation. The injection concentrate was a clear yellow to brownish yellow viscous solution containing 40 mg/mL DTX and 1040 mg polysorbate 80, with a 13% ethanol diluent that has to be diluted before use. Despite its effectiveness, DTX can have several adverse effects, including systemic and injection site reactions and hypersensitivity reactions, owing to the high concentration of polysorbate 80 [5,6].
In this study, we aim to develop DTX-loaded polymeric nanoparticles (DNPs) for oral chemotherapy. Oral chemotherapy has the potential to become the mainstay of breast cancer management, considering the need for chronic treatment protocols that often require chemotherapy at home.
Oral delivery systems can address key challenges in breast cancer therapy by improving patient compliance and reducing hospital dependency, thereby making treatment more accessible and non-invasive [7]. However, DTX has poor oral bioavailability (8%) owing to its high molecular weight (807.88 g/mol), poor solubility (6 μg/mL), and susceptibility to P-glycoprotein (P-gp) efflux. Therefore, the development of a nanoparticulate system is a practical approach to improving oral bioavailability. Nanoparticulate drug delivery systems have the potential to enhance the bioavailability of orally administered drugs compared with drug solutions. Nanoparticles can bypass pre-systemic metabolism, improve drug solubility, and reduce P-gp efflux, thereby enhancing gastrointestinal cellular absorption [8]. Furthermore, these formulations increase the residence time of the drug in the bloodstream and protect it from enzymatic degradation. Additionally, nanoparticles have demonstrated better bioavailability owing to their ability to deliver encapsulated drugs directly to tumour sites [9]. Moreover, nanoparticles have been reported to be well retained in tumours owing to their enhanced permeation and retention (EPR) effect [10].
Several nanoparticle-based systems for DTX delivery have been developed, including polymeric nanoparticles based on poly lactic glycolic acid (PLGA). PLGA nanoparticles loaded with DTX formulation, which offered sustained drug release, improved tumour inhibition, and reduced systemic toxicity [11]. However, these particles, composed of biodegradable polymers, are intended for intravenous administration, which is an invasive procedure that requires hospitalisation. The use of polymeric micelles for DTX has displayed improved pharmacokinetic properties and reduced toxicity in vivo [12]. Dendrimers and nanosuspensions of DTX have also been reported to offer improved cellular uptake and controlled drug release profiles, helping to overcome the pharmacokinetic drawbacks of conventional DTX formulations [13]. However, compared to other nanocarriers, dendrimers may have a limited capacity to encapsulate hydrophobic drugs such as DTX [14]. Eudragit RL100 and Eudragit RS100 are cationic, water-insoluble polymers classified as copolymers of ethyl acrylate and methyl methacrylate [15,16]. They differ in their quaternary ammonium group content, with Eudragit RL100 containing approximately 10% and Eudragit RS100 approximately 5%. Eudragit RS 100 is known to be less hydrophilic and therefore displays a more sustained release. In contrast, RL 100, which is more hydrophilic, is known to be swellable and displays a faster release rate. Therefore, a mixture of the two is expected to enable precise modulation of drug release profiles. Both polymers are recognised as USFDA-approved excipients that are described in the USP/NF and Ph. Eur. monographs, emphasising their suitability for the development of sustained-release dosage forms [17].
D-α-Tocopheryl polyethene glycol 1000 succinate (TPGS) is an amphiphilic compound formed by esterification of Vitamin E with polyethene glycol 1000 (PEG1000). TPGS was used in this study because of its ability to inhibit the P-gp efflux pump associated with multidrug resistance (MDR) in tumour cells. TPGS most likely enhances membrane permeation through pathways related to the endocytosis of the vitamin E moiety. Additionally, TPGS acts as an emulsifier and enhances the bioavailability of hydrophobic drugs by acting as a solubiliser [18,19].
Given these compelling benefits, the development of an oral nanoparticle delivery system for DTX is a promising option for oral chemotherapy. Such a system could enhance efficacy, minimise dosage, and reduce the severe side effects associated with intravenous chemotherapy. Therefore, this study aimed to develop and optimise DTX-loaded polymeric nanoparticles using a Quality-by-Design (QbD) approach to enhance oral bioavailability and achieve targeted and sustained drug delivery for potential oral chemotherapy. We plan to develop DTX nanoparticles of Eudragit RL100 and Eudragit RS100 with the most desirable critical quality attributes (CQAs) using Response Surface Methodology (RSM). Furthermore, this study aimed to elucidate the relationship between formulation variables and CQAs, such as particle size (PS), zeta potential (ZP), entrapment efficiency (EE), and drug release (DR), to assess drug delivery efficiency. Finally, the evaluation of the optimised formulation for in vitro haemolysis, MTT [3-(4,5-Dimethylthiazol-2-yl)-2,5-Diphenyltetrazolium Bromide] cytotoxicity, and cellular uptake studies in MDA-MB-231 breast cancer cells is an integral part of this investigation.

2. Materials and Methods

A generous sample of anhydrous DTX was obtained from Laurus Labs (Hyderabad, India). Eudragit RS 100 and Eudragit RL 100 were donated by Evonik (Mumbai, India). D-α-Tocopheryl polyethene glycol 1000 succinate was provided by Matrix Life Sciences (Aurangabad, India). Dichloromethane (DCM) was obtained from Thermo Fisher Scientific (Mumbai, India). Deionised water was obtained using a Milli-Q water purification system (Millipore, Bedford, MA, USA). MDA-MB-231 cells were obtained from the American Type Culture Collection (ATCC), (Manassas, VA, USA). T25 flasks were procured from Falcon, and Dulbecco’s modified Eagle’s medium (DMEM), 0.05% trypsin-EDTA, and foetal bovine serum (FBS) were obtained from Gibco Scientific (Waltham, MA, USA). The MTT reagent and DMSO were purchased from Sigma Aldrich, Bangalore, India. All other chemicals used were of analytical grade and were procured from S.D. Fine Chemicals Pvt. Ltd. (Mumbai, India).

2.1. Formulation of Docetaxel-Loaded Nanoparticles Using Design of Experiment (DoE)

Preliminary studies revealed that homogenisation and sonication times were the two processing variables that significantly influenced the quality attributes of nanoparticles. To explore this further, a 9-run Central Composite Design (CCD) with two factors at three levels was set up using Design Expert®13 software to develop DNPs. This design was employed to elucidate the effect of independent processing variables, namely homogenisation time (A) and sonication time (B), on the responses EE (Y1), DR at 24 h (Y2), PS (Y3), and ZP (Y4). The impact of these critical independent variables on the responses that determined the CQAs of DNPs was explored in detail in the present study.
A comprehensive failure mode and effect analysis (FMEA) was conducted to systematically identify and evaluate potential sources of variability influencing the critical quality attributes (CQAs) of DNPs. The potential risk associated with the process was assessed using the Risk Priority Number (RPN), determined as the product of severity, occurrence, and detection scores (RPN = S × O × D). Among the evaluated parameters, homogenisation time and probe sonication time were identified as high-risk operational variables (typically corresponding to RPN values ≥ 100 in FMEA), as they were found to exert a significant influence on the CQAs, including EE, PS, ZP, and DR behaviour. Optimisation of these variables effectively minimised process variability and ensured reproducibility. Moderate-risk factors such as solvent evaporation, lyophilisation, and material variability were adequately controlled through validated drying protocols and analytical verification. Collectively, the FMEA confirmed that the QbD-driven optimisation strategy established a robust and reliable formulation design space, ensuring consistent product performance with minimal residual risk (Figure 1 and Table 1).
The ideal amounts of individual polymers required to yield DNPs with high EE, prolonged DR, PS below 500 nm, and high ZP to obtain a stable formulation were established during preliminary trials. Therefore, the amount of DTX and the drug-to-polymer ratio (1:2, w/w) were kept constant for all trials. The homogenisation time was varied in the range of 5 to 15 min, while the probe sonication time was varied between 75 s and 315 s. The remaining processing parameters, such as the volume and composition of the continuous and dispersed phases, were kept the same during all the trials. The constraints set to optimise the processing conditions to obtain the DNPs with the most desirable quality attributes are indicated in Table 2.
DNPs, composed of a mixture of Eudragit RL 100 and Eudragit RS 100, were developed using the solvent evaporation technique using TPGS as an emulsifier. The preparation involved dissolving DTX, TPGS, and the polymers (in the ratio of 28:5:67) in dichloromethane to form an organic phase. Simultaneously, 0.03% w/v TPGS was dissolved in purified water (aqueous phase). The organic phase was added to the aqueous phase (1 organic phase/15 aqueous phase) at a rate of 1 mL/min using an insulin syringe. The mixture was homogenised at 10,000 rpm using a homogeniser (IKA® T18 Digital Ultra Turrax®, IKA-Werke GmbH & Co. KG, Baden-Wurttemberg, Germany) at room temperature (25 °C). The resulting emulsion was ultrasonicated at 50 W in pulse mode (3 s on and 6 s off) using a Labman Pro-650 (Labman Scientific Instruments Pvt. Ltd., Chennai, India). The probe was immersed in the emulsion, and ultrasonication was performed for a specified duration to produce DNPs. The homogenisation and probe sonication times were varied as per the design to disperse the organic phase into the aqueous phase, forming an oil-in-water (O/W) emulsion (Figure 2). After evaporating the organic phase at 30 °C overnight under magnetic stirring, the sample was centrifuged (Remi PR 24, Mumbai, India) at 10,000 rpm. The DNPs collected from centrifugation were resuspended in 10 mL of purified water and kept in a deep freezer at −80 °C for two days and deep frozen before being subjected to lyophilisation (Alpha 2–4 LD plus, Christ, Germany) for two days. The dried product of DNPs was stored in airtight containers. A total of nine batches of DNPs were prepared by varying independent factors based on the experimental conditions (Table 3).

2.2. Characterisation of Docetaxel-Loaded Nanoparticles

2.2.1. Scanning Electron Microscopy (SEM)

Scanning electron microscopy (Tescan-Vega3 LMU, Tescan, Brno, Czech Republic) at 10 kV was used to examine the surface morphology and topography of DNPs. DNPs were diluted up to five times with distilled water and sonicated to enable their dispersion. One drop of the dispersed sample was placed on a cover slip and dried for 24 h in a hot-air oven at 40 °C. The cover slip was subsequently gold-coated using an ion sputtering device under reduced pressure (0.001 Torr) for 5 min, and the sample was scanned under suitable magnification to acquire photomicrographs of the DNPs [20,21].

2.2.2. Entrapment Efficiency and Drug Loading

Lyophilised DNPs equivalent to 5 mg of DTX from each batch were dispersed in distilled water (10 mL), stirred for 15 min on a magnetic stirrer (Remi, 2MLH, Mumbai, India) at 100 rpm, and then sonicated in a bath sonicator (GT Sonic ultrasonic, Shenzhen, China) for 5 min. The resulting dispersion was centrifuged (Remi PR 24, Mumbai, India) at 11,000 rpm for 10 min to obtain a clear supernatant. The supernatant was assayed to determine the amount of unincorporated drug using UV spectrophotometry (Shimadzu UV-1900I, Shimadzu Corporation, Kyoto, Japan). DTX concentration was estimated spectrophotometrically at 232 nm using a standard calibration curve created using the same solvent system. Entrapment efficiency and drug loading were computed by the differential method using Equations (1) and (2), respectively [22].
E E % = T o t a l   d r u g   t a k e n d r u g   i n   s u p e r n a t a n t T o t a l   d r u g   t a k e n × 100
D L % = M a s s   o f   d r u g   i n   n a n o p r t i c l e T o t a l   m a s s   o f   n a n o p a r t i c l e s × 100

2.2.3. Particle Size, Zeta Potential, and Polydispersity Index

PS was measured by dynamic light scattering (DLS), which is effective for estimating the size of particles from a few nanometres to micrometres. The ZP of the DNPs was determined using the electrophoretic light scattering method. About 2 mg of DNPs were added to 10 mL of purified water and subjected to sonication in a bath sonicator until a homogeneous dispersion was obtained to enable accurate measurement [23]. The PS, polydispersity index (PDI), and ZP were analysed using a Zeta sizer Nano-ZS (Malvern Instruments Limited, Southboro, MA, USA).

2.2.4. Fourier Transform Infrared Spectroscopy (FTIR)

FTIR (Jasco 460 Plus Spectrophotometer, Japan Spectroscopic Company, Tokyo, Japan) was used to assess drug excipient compatibility. The test samples were physically mixed with potassium bromide using an agate mortar and pestle at a 1:100 ratio. The mixture was transferred to a diffuse reflectance sample holder, and the samples were exposed to IR radiation. The samples were subsequently scanned in the range of 400–4000 cm−1 at a scanning speed of 2 mm/s−1 to acquire the data [24].

2.2.5. Differential Scanning Calorimetry (DSC)

The thermal properties of the samples were recorded using DSC (Shimadzu DSC-60, Shimadzu Corporation, Kyoto, Japan). Temperature and energy calibrations were performed using the well-known melting temperatures and melting enthalpies of high-purity indium. The samples to be analysed were placed in an aluminium sealed crucible with pierced lids, and an identical empty crucible was used as a reference for each measurement. The samples were heated from room temperature to 230 °C at a rate of 10 °C/min with nitrogen purging (100 mL/min) during data acquisition. The degree of crystallinity (Xc) of the samples was computed using the thermal data of DTX as a reference, according to Equation (3) [25,26].
X c = Δ H m 1 w × Δ H m 0 × 100 %
where ΔHm is the measured heat of fusion, ΔH0m is the heat of fusion of 100% crystalline DTX, and w is the weight fraction of DTX in the polymer matrix.

2.2.6. X-Ray Powder Diffraction (XRD)

X-ray Diffraction studies were employed to study the solid state of the drug present in the samples, along with DSC. X-ray diffractograms of DTX, excipients, the physical mixture, and lyophilised DNPs were recorded using a Cu K-alpha X-ray diffractometer (Rigaku Miniflex, The Woodlands, TX, USA). The instrument was operated at a voltage of 40 kV/15 mA with a 2θ wide angle. The diffractograms of the samples were recorded at 2θ values ranging from 3° to 45°. To determine drug crystallinity, diffractograms of the samples were compared with that of DTX, used as a reference. The relative crystallinity of the samples was determined by comparing the intensities of the characteristic DTX peaks. The relative degree of crystallinity (RDC) of DNPs compared to that of DTX was computed using Equation (4) [27,28].
R D C = I s I R
where ‘IS’ represents the intensity of the characteristic peak of the drug in the sample, and ‘IR’ represents the intensity of the characteristic peak in the reference.

2.2.7. In Vitro Release Study

The release of DTX from the formulations was assessed by placing 2 mL of the nanoparticle formulation (equivalent to 10 mg DTX in purified water) in a dialysis bag with a molecular weight cut-off (MWCO) of 12,000–14,000 Da (HiMedia, Thane, India). The dialysis bag was then suspended in a beaker containing 40 mL of pH 1.2 HCl for 0–2 h, followed by phosphate buffer (40 mL) at pH 7.4 for the next 22 h, and gently stirred using a magnetic bead at 37 ± 0.5 °C. The use of HCl pH 1.2 for the initial 2 h mimics gastric conditions and residence time, while PBS pH 7.4 for 22 h reflects intestinal conditions, making this a standardised and predictive in vitro GI model [29,30]. Samples (5 mL) were withdrawn at regular intervals for up to 24 h and replaced with an equal volume of the respective buffer to maintain the sink conditions. The collected samples were quantified using UV–Visible spectrophotometry at 232 nm to determine the amount of drug released at different time points [31,32].
An attempt was made to fit the dissolution profiles of the DNPs into different mathematical models to understand the kinetics and mechanisms of drug release. The in vitro release data obtained in this study were fitted to four different kinetic models: zero order, first order, Higuchi, and Korsmeyer–Peppas equations. This data fitment helps to understand the mechanism and kinetics of the release behaviour of DTX from nanoparticles [9].

2.2.8. In Vitro Haemolysis

A haemolysis test was performed to compare the toxicity of DNPs and DTX. An in vitro haemolysis test was performed using freshly collected Wistar rat blood according to the standard procedure described in the literature. Immediately after collection, the blood samples were washed three times with PBS, and erythrocytes were collected by centrifugation (Eltek RC4815F, Elektrocraft India Private Limited, Mumbai, India) at 2800 rpm for 5 min. A washing step was performed to remove the serum proteins and debris. To the erythrocyte suspension (100 µL), 900 µL of the sample (containing 50 µg/mL DTX) was added. The samples were incubated (Remi Incubator shaker SLM-INC OS-250, Mumbai, India) for 1 h at 37 °C with intermittent shaking and centrifuged at 3000 rpm for 1 h. The supernatant was collected, and the amount of haemoglobin present in the samples was quantified spectrophotometrically at 540 nm, using untreated plasma as a blank. Erythrocytes incubated with distilled water and saline served as positive (100% haemolysis) and negative (0% haemolysis) controls, respectively [32]. Data acquired in triplicate are represented as percentages. The percentage of haemolysis was calculated using Equation (5):
% H R = A b s t A b s n c A b s p c A b s n c × 100
where Abst, Abspc, and Absnc represent absorbances of the test samples and positive and negative controls, respectively.

2.2.9. Cell Uptake Study

DNP uptake was measured in the MDA-MB-231 (triple-negative human breast adenocarcinoma) cell line. The cell line was enriched with 10% foetal bovine serum (FBS), penicillin (100 IU/mL), and streptomycin (100 µg/mL) in a humidified atmosphere of 5% CO2 at 37 °C until confluence. The cells were dissociated with a cell-dissociating solution and 0.05% trypsin; then, the viability of the cells was checked, and they were centrifuged. The cells were seeded at 5 × 105 cells/well in P35 dishes and incubated to reach 80% confluence at 37 °C in a CO2 atmosphere (5%) for 24 h. Upon reaching 80% confluence, the cells were incubated with the test sample containing coumarin-6-loaded NPs (10 µg/mL) for 2, 6, and 12 h at 37 °C [33]. The cells were then washed three times with phosphate-buffered saline (PBS). The cells were observed under a fluorescence microscope to assess the cellular uptake of DNPs (Lawrence and Mayo’s fluorescence microscope, Kolkata, India) [32,34].

2.2.10. MTT Assay

Cell viability upon treatment with DTX and DNPs was assessed using the MDA-MB-231 cell line. The cells were cultured using MDA-MB-231 cells, following the procedure described in the previous section. The cells from the cell line were seeded in a 96-well plate at a density of 50,000 cells/well and incubated for 24 h. Following incubation, the supernatant was separated, and the monolayer was rinsed with the respective media. Each designated well was subsequently filled with 100 µL of fresh medium containing various concentrations (3.125, 6.25, 12.5, 25, 50, and 100µM) of DTX or DNPs and incubated for 24 h at 37 °C in a 5% CO2 atmosphere. After incubation, the culture medium was replaced with 5 mg/10 mL 3-[4, 5-dimethylthiazol-2-yl]-2, 5-diphenyl tetrazolium bromide (MTT) in PBS for all predesignated wells and incubated for 4 h at 37 °C in an atmosphere of CO2 (5%). The cells were then treated with 100 µL DMSO, and the plates were gently shaken to solubilise the formazan crystals. Finally, absorbance was measured at 590 nm using a multimode microplate reader (Spectramax i3X, Molecular Devices, San Jose, CA, USA). The IC50 values for DNPs and DTX were derived from nonlinear regression analysis (curve fit) based on a sigmoid dose–response curve (variable) and computed [32,35].

2.3. Statistical Analysis

The data were analysed using Analysis of Variance (ANOVA) facilitated by the DesignExpert®13 tool, Stat-Ease, Inc., Minneapolis, MN, USA. Statistical significance was determined at a probability threshold of p < 0.05. The experimental data generated were computed using GraphPad Prism 5 (GraphPad, San Diego, CA, USA).

3. Results and Discussion

In the current investigation, Eudragit RL and RS 100 were used to produce DTX polymeric nanoparticles. DNPs were developed to improve drug solubility and overcome P-gp-mediated efflux to improve gastrointestinal cellular absorption and deliver DTX to the target tumour site. Drug absorption and uptake of DNPs likely occur through paracellular, transcellular, or M-cell pathways. TPGS is known to interact with cell membranes and modulate tight junction proteins, such as claudins and occludins, which loosen tight junctions between epithelial cells. This temporarily increases paracellular transport, allowing small drug molecules released from DNPs to pass through. In addition, TPGS plays a key role in producing nanoparticles of about 400 nm that could be better transported across the intestinal epithelium. Thus, TPGS is a key excipient in oral nanoparticle formulations designed to enhance the paracellular uptake of drugs, even if the nanoparticles themselves do not pass through the intestinal barrier [36,37,38]. Several factors, such as PS and surface charge, govern the uptake of nanoparticles. By virtue of being cationic polymers, such as polyacrylates, they are likely to enhance paracellular uptake by interacting with negatively charged endothelial cell membranes [39]. Polymeric nanoparticles can enhance the absorption of the released drug and particulate uptake as they are nanosized [40]. Moreover, TPGS inhibits ubiquitous efflux-mediated transporters, thereby increasing drug absorption and particulate uptake. Particulate uptake most likely delivers encapsulated DTX directly to the target tumour sites. Therefore, entrapment efficiency and drug release are considered two critical quality attributes of DNPs that influence cell viability and cytotoxicity. The DNPs are intended to be delivered to the target tumour sites while minimising systemic exposure.

3.1. Effect of Independent Variables on Dependent Variables

The Central Composite Design (CCD), comprising eight non-centre points and one centre point, is a highly suitable Response Surface Methodology (RSM) for fitting a quadratic surface. It is one of the most commonly used RSM designs for process optimisation, allowing the establishment of the design space and optimisation of process parameters with fewer runs than other RSM designs. The preliminary studies indicated that critical processing factors, namely homogenisation and sonication time, influenced key responses, including entrapment efficiency and drug release. The CCD selected offers a relatively high prognostic capability across the entire design space with low prediction errors.
The homogenisation and sonication times were varied during the trials, whereas the DNP composition and the rest of the processing variables were kept constant. The mathematical models generated were refined by eliminating insignificant terms using the backward elimination strategy to improve predictability, with the aim of obtaining a better correlation between the experimental and predicted values.

3.1.1. Influence of Independent Variable on Particle Size

The PS of the model formulation of DNPs ranged from 302 ± 1.0 nm to 502 ± 2.0 nm across various combinations of factor levels in the formulation. The Analysis of Variance (ANOVA) results demonstrated that both homogenisation time and probe sonication time had a statistically significant effect on the average PS, as presented in Table 4 and Figure 3A. The relationship between these two processing variables is represented by Equation (6):
P S = 377.11 16.20 A 70.39 B
where A and B are independent variables or factors that represent homogenisation time and probe sonication time, respectively. The intercept 377.11 represents the predicted particle size when both factors are kept constant at their midpoint settings. The regression coefficient (−16.20) represents the effect of homogenisation time on particle size while controlling all other variables. The negative sign indicates an inverse relationship, such that for every one-unit increase in homogenisation time, the predicted particle size decreases by 16.20 units. Likewise, the negative sign associated with sonication time indicates that with a one-unit increase in sonication time, the predicted particle size is likely to drop by 70.39 units.
The model yielded an F-value of 31.42, indicating that the design was statistically significant (p = 0.0007). A strong correlation was observed between the experimental and predicted values, as evidenced by the coefficient of determination (R2) of 0.9128. Moreover, the adjusted R2 of 0.8838 and the predicted R2 of 0.8324 further confirmed the model’s robustness and predictive capability. Adequate precision, measured by the signal-to-noise (S/N) ratio, was found to be 13.38, substantially exceeding the acceptable threshold of 4, demonstrating an adequate signal. Additionally, the coefficient of variation (CV) was 6.83%, indicating good precision and reliability of the model.
The PS of the nanoparticles determines the drug release and, therefore, the absorption. Particles with sizes of 500 nm or less were generally better absorbed than those with sizes of 1–5 μm. Nanoparticles with a PS of less than 5 μm are likely to be absorbed into the lymphatic system by endocytosis through the M cells of Peyer’s patches in intestinal enterocytes [41]. In contrast, paracellular uptake typically allows the passage of molecules with a size of up to approximately 0.3–1.0 nm. Therefore, particles smaller than 0.4 nm could potentially pass through these junctions, while transcellular uptake increases in the order of 50 nm > 200 nm > 500 nm > 1000 nm [42]. Reducing the PS of polymeric nanoparticles to below 400 nm has been shown to enhance the dissolution rate, facilitate drug diffusion across the unstirred diffusion layer (UDL), and ultimately improve oral bioavailability, which is a significant challenge for hydrophobic anticancer drugs [43].
The contour plots in Figure 3 illustrate the effect of homogenisation time and probe sonication time on PS. The plots visually corroborate that smaller PS occurs at higher homogenisation times and probe sonication periods, highlighting the need to increase the processing parameters to enable PS reduction (Figure 3B).

3.1.2. Influence of Independent Variable on Zeta Potential

ZP measurement is a critical parameter for assessing the surface charge of nanoparticle systems and predicting their colloidal stability. Based on established criteria, ZP values within specific ranges correspond to varying degrees of nanoparticle stability. Values between ±0 to 10 mV are considered highly unstable, those between ±10 to 20 mV are relatively stable, and values from ±20 to 30 mV are moderately stable. ZP values exceeding ±30 mV are indicative of high colloidal stability [44,45]. These classifications offer important insights into the physicochemical behaviour and dispersion potential of nanoparticle formulations.
For the model DNP formulations, ZP values ranged from 25.8 ± 2.5 mV to 42.9 ± 1.7 mV (Table 4), which indicated moderate to high stability. The quantitative relationship between these two processing factors is represented by the following quadratic Equation (7).
Z P = 40.50 + 1.52 A + 6.64 B 1.25 A B 2.67 A 2 1.73 B 2
where A and B represent homogenisation time and probe sonication time, respectively. The intercept (40.50) indicates the predicted zeta potential when both A and B are at their central (coded zero) levels. The positive linear coefficients of A (1.52) and B (6.64) indicate that increasing either parameter enhances the zeta potential. The negative interaction term (AB, −1.25) suggests that the combined increase in both factors has a negative effect on ZP. The negative quadratic coefficients (−2.67 for A2 and −1.73 for B2) demonstrate a curvilinear relationship, indicating that excessive levels of either factor reduce the zeta potential.
This model demonstrated strong statistical significance, with an F-value of 84.82 and a p-value of 0.0020. The coefficient of determination (R2) was 0.9930, indicating an excellent model fit (Table 5). Additionally, the signal-to-noise (S/N) ratio was calculated to evaluate model adequacy; a value greater than 4 is generally desirable. The obtained ratio of 24.964 confirmed the model’s reliability. The coefficient of variation (CV) was 2.65%, further indicating high precision and reproducibility.
The high positive values of ZP observed in the DNP formulations suggest strong electrostatic repulsion among particles, contributing to physical stability by preventing aggregation. The positive charge carried by DNPs can be attributed to the cationic nature of the polymers used. Furthermore, the cationic nature of the nanoparticles is expected to improve mucoadhesion and retention at the negatively charged target site, thereby enhancing absorption [44]. Supporting this, previous studies have shown that positively charged polymers such as chitosan and Eudragit® RS/RL can interact effectively with negatively charged mucosal surfaces [46]. These interactions may transiently open tight junctions between epithelial cells, promoting paracellular transport and increasing drug bioavailability [47]. The 3D surface plot (Figure 3C) and contour plot (Figure 3D) demonstrate the variation in ZP with different homogenisation and sonication times. ZP increases with higher homogenisation time up to a certain point, then plateaus or slightly declines, suggesting an optimal process window for maximising stability. The 2D contour plot further depicts the zones where ZP assumes the highest value, indicating enhanced colloidal stability under those processing conditions. ZP is important for preventing particle aggregation and ensuring formulation robustness.

3.1.3. Influence of Independent Variable on Entrapment Efficiency

The EE of the model formulation of DNPs varied between 69 ± 3.77% and 93 ± 0.16% across different factor level combinations in the formulation. The relationship between the two processing variables is expressed by Equation (8).
E E = 79.50 1.30 A 7.40 B + 0.72 A B + 2.47 A 2 + 0.43 B 2
where A and B denote homogenisation time and probe sonication time, respectively. The constant term (intercept) of 79.50 represents the predicted entrapment efficiency when both factors (A) and (B) are at their central (coded zero) levels. The negative linear coefficients of A (−1.30) and B (−7.40) indicate that increasing either factor individually reduces the entrapment efficiency. The positive interaction term (AB, +0.72) suggests a positive synergistic effect when both parameters are increased simultaneously. The positive quadratic terms (2.47 for A2 and 0.43 for B2) imply curvature in the response surface, indicating that moderate levels of homogenisation and sonication times favour higher entrapment efficiency, with potential declines at extreme levels.
The generated quadratic model was significant (F-value = 79.89; p-value = 0.0022), with a regression coefficient of 0.9801, indicating a good fit (Table 5). The two independent variables significantly influenced %EE, as indicated by the polynomial equation (Equation (8)). The likely reason for the reduction in %EE with an increase in homogenisation time (A) during the production of the O/W emulsion is likely to reduce the globule size and, therefore, the PS of DNPs produced. A similar observation of a decrease in PS with an increase in homogenisation time has been reported in the development of long-acting biodegradable polymeric nanoparticles of DTX [48]. A smaller globule size is likely to increase the proportion of surface drug, resulting in higher drug loss and poor entrapment. Likewise, increasing the duration of sonication during emulsion preparation eventually reduced the size of DNPs. The reduction in PS with an increase in sonication time is the probable reason for the decrease in %EE. A reduction in the PS with increasing sonication time has been observed during the development of biodegradable polymeric nanoparticles [49]. The nonlinear relationship between the variables and responses is evident from the 3D surface graph (Figure 4A). The %EE was found to approach a high value of approximately 90% at low settings for the two variables, as indicated by the contour plots. In contrast, the %EE approached 75% at higher levels of the two variables (Table 4) [48,50]. Therefore, to attain better entrapment, lower settings for the two processing variables should be chosen.
The contour plot clearly described zones of varying EE, with values ranging from approximately 70% to 95%. These plots signify that optimal EE is achieved with extended homogenisation combined with prolonged probe sonication (above 255 s), indicating the critical role of mechanical processing in maximising drug loading within the nanoparticle system (Figure 4B).

3.1.4. Influence of Independent Variable on Drug Release

Over 24 h, drug release from the DTX solution was 86.87 ± 1.01%, and drug release from various model formulations of DNPs ranged from 19.24 ± 3.03% to 49.17 ± 1.98%. An initial burst release was observed, which was likely due to the release of the unentrapped drugs adsorbed on the nanoparticle surface. A similar phenomenon has been previously reported in polymeric nanoparticle systems [51].
The release of DTX from the nanoparticle formulation exhibited a markedly slower profile than that of DTX solution. This behaviour is primarily attributed to the drug’s entrapment within the polymeric matrix, which restricts its mobility and introduces a diffusion-controlled release mechanism. Unlike the immediate availability of free drug molecules in solution, the encapsulated DTX must gradually diffuse through the matrix to reach the surrounding medium. As a result, the nanoparticle system provides a prolonged release pattern, in contrast to the rapid liberation observed with the unencapsulated formulation [52,53].
The drug release data were fitted to a quadratic model, which was simplified to a linear equation by the backward elimination of insignificant terms (Equation (9)).
D R = 32.06 + 1.45 A + 7.78 B
where A and B represent homogenisation time and probe sonication time, respectively. The intercept (32.06) denotes the predicted drug release at the central (coded zero) levels of both factors. The positive linear coefficients of A (1.45) and B (7.78) indicate that increasing homogenisation and probe sonication times enhances the drug release, with sonication time exhibiting a more pronounced effect.
The linear model exhibited strong statistical relevance, with an F-value of 15.68 and a p-value of 0.0041, indicating that the model was significant. The regression coefficient (R2 = 0.8394) confirmed a good fit (Table 5). As homogenisation and sonication times increased, the PS decreased, which in turn enhanced drug release due to increased surface area. The increase in drug release was ascribed to reduced diffusional path length and an increase in the surface area [22], as indicated in the 3D surface graph (Figure 4C). This further supports the regression findings, illustrating that higher homogenisation and sonication times yield formulations with better drug release profiles. The contour plot further clarifies this trend, displaying maximum drug release at higher sonication and homogenisation times, with the lowest release observed at a lower homogenisation time. These observations indicate that the process parameters can be strategically manipulated to achieve desired controlled release profiles, balancing rapid therapeutic onset against sustained drug delivery requirements (Figure 4D).

3.2. Optimisation of Docetaxel-Loaded Polymeric Nanoparticles

The influence of independent variables, such as homogenisation time (A) and probe sonication time (B), on response factors, such as EE, DR, PS, and ZP, was systematically investigated. A numerical point prediction method was employed to develop an optimal nanoparticle formulation, with the aim of achieving the highest EE (at least 70%), DR (minimum 30% release in the first 24 h of the in vitro release study), minimum PS (less than 500 nm) and optimal ZP (more than +30 mV). By setting constraints to maximise the drug release, an optimal point for the two variables was suggested (Figure 5).
The optimised batch of DNPs was produced using a homogenisation time of 15 min and a probe sonication time of 278 s. The experimental values of %EE, %DR, PS nm, and ZP mV for the optimised batch were 78.18 ± 0.56%, 46.21 ± 1.41%, 357.9 ± 2.4 nm, and 42.9 ± 3.7 mV, respectively (Figure 6). The experimental values were closely aligned with the predicted values for EE (78.31%), drug release (35.35%), PS (344.76 nm), and ZP (41.31 mV), suggesting a higher prognostic ability of the predictor models (Table 6).

3.3. Characterisation of Docetaxel-Loaded Polymeric Nanoparticles

3.3.1. Scanning Electron Microscopy

The scanning electron microscopy (SEM) image indicates that the DNPs were discrete and cuboidal in shape with a smooth surface (Figure 6A). The SEM images revealed an average PS of approximately 300 ± 36 nm. These findings indicate that the bottom-up solvent evaporation technique can produce particles of uniform size. The PS of nanoparticles determines the particulate uptake, drug absorption, and delivery of the drug to the target tumour site [54].

3.3.2. Particle Size, Polydispersity, and Zeta Potential

DTX-loaded polymeric nanoparticles were successfully developed and optimised, exhibiting an average PS of 357.9 ± 2.4 nm and a PDI of 0.387, indicative of a relatively narrow size distribution (Figure 6B). The low PDI value further confirms a uniform PS distribution within the formulation. Additionally, the nanoparticles displayed a ZP of +42.9 ± 3.7 mV (Figure 3C), signifying a strong positive surface charge. Such a high ZP (greater than +30 mV) suggests enhanced colloidal stability, as it helps to prevent particle aggregation in suspension [55].

3.3.3. Fourier Transform Infrared Spectroscopic Analysis

DTX exhibited characteristic peaks at 709.68 and 1491.67 cm−1 for the aromatic vibrations of the monosubstituted benzene ring in the drug (Figure 7), 1723.09 cm−1 for the carbonyl group, and 3462.56 cm−1 for the primary amine group (N-H). These spectral observations authenticated the DTX sample used in this study [21,49]. The FTIR spectra of the physical mixture displayed all the characteristic peaks of DTX, which were found at 711.60, 1491.67, 1724.05, and 3431.71 cm−1, respectively. In the FTIR spectra of DNPs, characteristic peaks were observed at 712.57, 1724.05, 1491.67, and 3431.71 cm−1. The appearance of the characteristic peak of the drug in the FTIR spectra of DNPs ruled out the possibility of chemical interactions with the other excipients. Spectral analysis confirmed the chemical integrity of DTX in the DNPs [24,56].

3.3.4. Differential Scanning Calorimetry

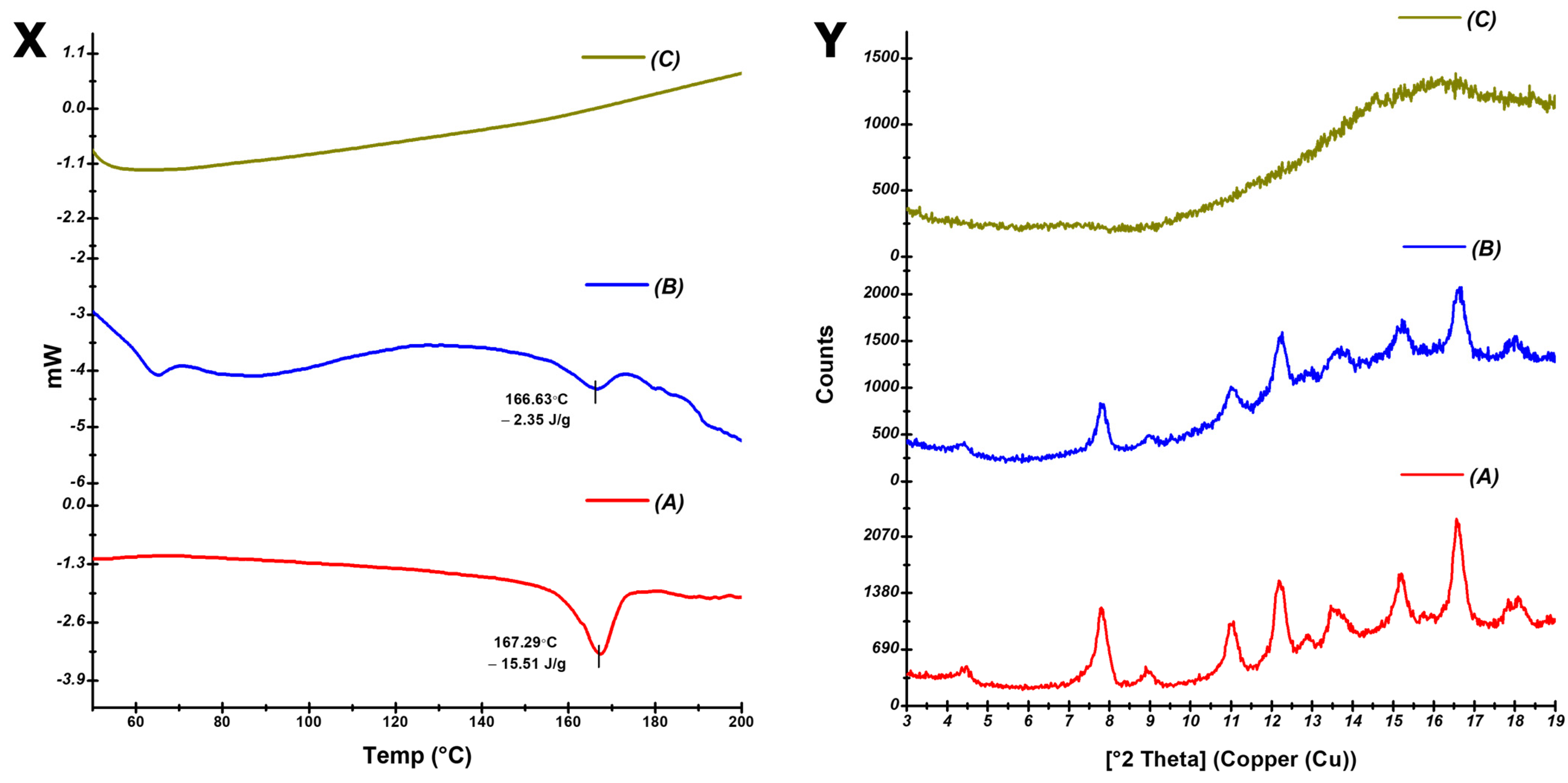
The melting and crystallisation behaviour of neat DTX, the DTX physical mixture, and the DNP formulation were studied using DSC. The DSC thermogram of DTX displayed a sharp endothermic peak at 167.29 °C with a peak onset at 160.87 °C, which corresponds to the melting point of the drug [57]. The enthalpy of fusion (ΔH) for neat DTX and in the physical mixture of the DSCs was found to be −15.51 J/g and −2.35 J/g, respectively (X in Figure 8). The crystallinity of the drug in the physical mixture was reduced by 26.44% compared to that of DTX, indicating the partial solubility of the drug in the molten polymer. Further, the endothermic peak completely disappeared in the thermogram of DNPs, indicating the amorphous nature of the drug in the nanoparticles.

3.3.5. X-Ray Diffraction Analysis

X-ray diffractograms were used to examine the crystallinity of DTX, its physical mixture, and its nanoparticles. This technique revealed the distinctive crystalline structure of the compound. DTX showed characteristic peaks between 7° and 25° at 2θ (Y in Figure 8), with prominent peaks at 7.8°, 12.2°, 13.5°, 15.2°, 16.6°, 20.0°, and 23.0°, which were consistent with observations of the previous studies [58,59]. The diffractogram of the physical mixture displayed characteristic crystalline peaks of DTX at 7.8°, 12.2°, 13.7°, 15.2°, 16.6°, 20.0°, and 23.0° ± 0.2°, indicating a semicrystalline state. In the physical mixture, both the number and intensity of peaks related to the drug decreased considerably. For instance, the peak at 7.8° 2θ, which displayed an intensity of 1203 counts for DTX, decreased to 788 counts in the physical mixture, indicating a reduction in crystallinity of approximately 65%. Further, this peak was absent in the DNP formulation, suggesting that the drug existed in an amorphous state within the polymer matrix.
Solid-state characterisation using DSC and XRD supports the presence of DTX in an amorphous or molecular state [58,59]. As DTX is embedded in an amorphous form in a polymeric matrix, it is likely to exhibit sustained drug release.

3.3.6. In Vitro Drug Release

Drug release from polymeric nanoparticles is influenced by several factors, including the biocompatibility and biodegradability of the polymer, stability of the nanoparticles, molecular weight (MW) of the polymers, and pH of the surrounding medium [31]. For example, DNPs exhibited an initial burst release, followed by a prolonged release over time, reaching a maximum of 46.21 ± 1.41% at pH 1.2 and 7.4 for the optimised batch (Figure 9). For the model formulation batches, the drug release also showed an initial burst release followed by a prolonged release.
The optimised nanoparticle formulation utilised a combination of Eudragit RL 100 and RS 100 polymers, which together form a swellable matrix.
The drug release from this formulation was best described by the Higuchi kinetic model (R2 = 0.974), confirming a diffusion-controlled mechanism where the drug diffuses from the hydrated polymer matrix to the surface (Table 7). According to the Higuchi model, the drug located on the surface is released initially. Subsequently, the dissolution medium is known to pass into the matrix, dissolving the drug, and the dissolved form of the drug diffuses out of the matrix through the tortuous pathway. Eudragit RL 100, with its higher content of quaternary ammonium groups, promotes greater matrix swelling and water uptake than RS 100, thereby enhancing drug diffusion through the polymer network. In this system, drug molecules must traverse the swellable matrix before release, and any decrease in diffusion rate due to matrix composition or crosslinking directly slows the overall release [22]. The Korsmeyer–Peppas model, an empirical approach for characterising complex release behaviour, uses the release exponent (n) to indicate the mechanism of release. Values of n ≤ 0.43 indicate Fickian diffusion, 0.43 < n < 0.85 represent anomalous (non-Fickian) transport that is a characteristic feature of sellable matrices, and n = 0.85 denotes Case II (zero-order) release [60]. In this study, the calculated n value of 0.61 signifies anomalous transport, where both diffusion and polymer relaxation govern the drug release process. The non-Fickian diffusion in the present case can be attributed to the swellable nature of RL 100.

3.3.7. In Vitro Haemolysis

Haemolysis is a critical screening test that aligns with the parameters outlined in ISO 10993-4. Taxanes can induce anaemia due to their myelosuppressive effects or drug-induced haemolytic anaemia. This is an essential in vitro evaluation method used to assess the biocompatibility and safety of pharmaceutical formulations, particularly those intended for oral chemotherapeutic delivery systems. Although oral drugs are not directly administered into the bloodstream, some nano- or micro-formulations, such as liposomes, nanoparticles, or surfactants, may enter the systemic circulation following absorption from the gastrointestinal (GI) tract. In such cases, there is a risk that these components could come into contact with red blood cells (RBCs) and potentially cause haemolysis, rupture, or destruction of RBCs, which can lead to anaemia and other adverse effects [61]. The test measures the susceptibility of red blood cell membranes when they come into contact with foreign substances. The haemolysis rates of DTX and the optimised formulation were 83.6 ± 7.47 and 7.25 ± 1.00%, respectively. The nanoparticles demonstrated significantly lower (p < 0.0001) haemolysis (~11.5 times lower) than DTX. Our study findings revealed that DNPs had a protective effect on red blood cells (RBCs). The observed decrease in haemolysis was attributed to the gradual and sustained release of DTX from the polymer matrix [22,49]. Overall, these results demonstrate the safety of DNPs for oral administration [62]. Because of their significantly lower haemolytic potential, these particles are likely to be taken up and safely translocated through the M cell pathway via the lymphatic system before reaching the target site [63].

3.3.8. Cell Uptake Study

MDA-MB-231 cells are known to be the least efficient in base excision repair (BER), exhibiting significant defects in pathways involving AAG (3-alkyladenine) glycosylase, MUTYH glycosylase, oxidative glycosylases, and UNG glycosylase (uracil-DNA glycosylase). Our visual observations indicated a substantial increase in nanoparticle uptake, as evidenced by the intense fluorescence observed within the cells (Figure 10A). Several factors may contribute to the enhanced cellular internalisation of coumarin-6-loaded nanoparticles. The cationic surface of the nanoparticles promotes mucoadhesion through electrostatic interactions with the negatively charged cell membrane, thereby improving cellular absorption [64]. TPGS acts as an effective efflux inhibitor through its interaction with P-glycoprotein (P-gp), a major transporter responsible for restricting intracellular drug accumulation. It has been shown to inhibit the ATPase activity of P-gp, thereby attenuating drug efflux and enhancing cellular uptake of therapeutic agents [65]. Additionally, the presence of TPGS likely facilitates endocytic uptake by acting as an efflux inhibitor [66], while the PS also plays a critical role in influencing cellular uptake [57]. Incorporating TPGS into the internal phase of polymeric nanoparticles enhances their internalisation by cancer cells and aids in overcoming multidrug resistance, underscoring its value as a functional excipient in nanoparticle-based cancer therapy [44].

3.3.9. In Vitro Anticancer Study by MTT Assay

The cell viability of DNPs was significantly lower (p < 0.05) than that of DTX at all concentrations in the 24 h study, indicating the better efficacy of DNPs compared to DTX in eradicating cancer cells (Figure 10B). The inhibitory concentration (IC50) is the concentration of a drug required to kill 50% of cancer cells. The IC50 values computed for DTX and DNPs were found to be 60.81 μM and 39.52 μM, respectively (Figure 10C and 10D, respectively). The IC50 value for DNPs was considerably lower than that of DTX, indicating the superior potency of the nanoparticles compared to the drug per se. The lower IC50 values can be attributed to the smaller size and cationic surface charge of the nanoparticles, which promote mucoadhesion and retention at the target tumour site through electrostatic interactions with the negatively charged cell membrane, thus enhancing nanoparticle absorption [67,68]. Moreover, the lower IC50 value could be attributed to the presence of TPGS, which acts as an efflux inhibitor of DNPs, possibly leading to enhanced cellular uptake by endocytosis. Lower IC50 values observed with polymeric nanoparticles in earlier studies were ascribed to enhanced uptake, which could possibly lead to greater drug accumulation in tumour cells [35]. The results obtained with the assay correlated well with those obtained from the uptake studies. The results obtained indicate higher cytotoxic potential of DNPs at lower doses than that of DTX.

4. Conclusions

In this study, docetaxel-loaded polymeric nanoparticles of Eudragit RS and RL 100 were developed and optimised using the solvent evaporation technique. The optimised docetaxel nanoparticles developed employing Central Composite Design exhibited higher entrapment efficiency and controlled drug release. The nanoparticles were found to be safe for oral administration, as they displayed reduced haemolytic potential compared with the drug. In addition, the nanoparticles, by virtue of their smaller size and unique composition, displayed superior uptake and better potency against human breast cancer MDA-MB-231 cells compared to docetaxel. These studies conclusively indicate that polymeric nanoparticles can substantially reduce the dose of DTX, thereby reducing its toxicity. Nevertheless, additional preclinical investigations focusing on dose optimisation, as well as safety assessments, are necessary. This study demonstrated that docetaxel-loaded polymeric nanoparticles could be a promising approach in the management of breast cancer by oral chemotherapy at home.

Author Contributions

Conceptualization, D.W.; methodology, D.W.; software, D.W.; validation, D.W.; formal analysis, D.W.; investigation, D.W.; resources, D.W.; data curation, D.W.; writing—original draft preparation, D.W.; writing—review and editing, D.W.; visualisation, D.W., A.K., and R.S.; supervision, S.H.N.; project administration, D.W.; funding acquisition, D.W. All authors have read and agreed to the published version of the manuscript.

Funding

This research received no external funding.

Institutional Review Board Statement

Not applicable.

Informed Consent Statement

Not applicable.

Data Availability Statement

The raw data supporting the conclusions of this article will be made available by the authors on request.

Acknowledgments

The authors express their gratitude to Sri Prabhakar Kore, Chancellor of KLE Academy of Higher Education and Research, Deemed University, Belgaum, for generously providing the financial support for carrying out the project. The authors are also grateful to Vision Group on Science and Technology, Bengaluru, Karnataka, India, for providing the necessary equipment needed to undertake the research work.

Conflicts of Interest

The authors declare no conflicts of interest.

Abbreviations

The following abbreviations are used in this manuscript:
DTXDocetaxel
DNPDocetaxel nanoparticles
FMEAFailure mode and effect analysis
QbDQuality by Design
QTPPQuality Target Product Profile
CQAsCritical quality attributes
TPGSD-α-Tocopheryl polyethene glycol 1000 succinate
CCDCentral Composite Design
IC50Half-Maximal Inhibitory Concentration
PBSPhosphate-buffered saline
ANOVAAnalysis of Variance

References

  1. Shaik, E.B.; Pindiprolu, S.K.S.; Phanikumar, C.S.; Samuel, T.; Kumar, B.N.; Santhoshi, P.M. Optical emissions of chitosan modified LaAlO3: Bi3+, Tb3+ nanoparticles for bio labelling and drug delivery to breast cancer cells. Opt. Mater. 2020, 107, 110162. [Google Scholar] [CrossRef]
  2. Zafar, S.; Akhter, S.; Garg, N.; Selvapandiyan, A.; Jain, G.K.; Ahmad, F.J. Co-encapsulation of docetaxel and thymoquinone in mPEG-DSPE-vitamin E TPGS-lipid nanocapsules for breast cancer therapy: Formulation optimization and implications on cellular and in vivo toxicity. Eur. J. Pharm. Biopharm. 2020, 148, 10–26. [Google Scholar] [CrossRef]
  3. Di Francesco, M.; Pastorino, F.; Ferreira, M.; Fragassi, A.; Di Francesco, V.; Palange, A.L. Augmented efficacy of nano-formulated docetaxel plus curcumin in orthotopic models of neuroblastoma. Pharmacol. Res. 2022, 188, 106639. [Google Scholar] [CrossRef] [PubMed]
  4. Alshamrani, M.; Ayon, N.J.; Alsalhi, A.; Akinjole, O. Self-assembled nanomicellar formulation of docetaxel as a potential breast cancer chemotherapeutic system. Life 2022, 12, 485. [Google Scholar] [CrossRef] [PubMed]
  5. Elm’hadi, C.; Tanz, R.; Khmamouche, M.R. Toxicities of docetaxel: Original drug versus generics—A comparative study about 81 cases. SpringerPlus 2016, 5, 732. [Google Scholar] [CrossRef]
  6. Rawal, S.; Khot, S.; Vivek, B.; Patel, B.; Patel, M.M. Surface-modified nanoparticles of docetaxel for chemotherapy of lung cancer: An intravenous to oral switch. Int. J. Pharm. 2023, 636, 122846. [Google Scholar] [CrossRef]
  7. Cui, W.; Zhao, H.; Wang, C.; Chen, Y.; Luo, C.; Zhang, S. Co-encapsulation of docetaxel and cyclosporin A into SNEDDS to promote oral cancer chemotherapy. Drug Deliv. 2019, 26, 542–550. [Google Scholar] [CrossRef] [PubMed]
  8. Hu, K.; Cao, S.; Hu, F.; Feng, J. Enhanced oral bioavailability of docetaxel by lecithin nanoparticles: Preparation, in vitro, and in vivo evaluation. Int. J. Nanomed. 2012, 7, 3537. [Google Scholar] [CrossRef]
  9. Mathur, P.; Sharma, S.; Rawal, S.; Patel, B.; Patel, M.M. Fabrication, optimization, and in vitro evaluation of docetaxel-loaded nanostructured lipid carriers for improved anticancer activity. J. Liposome Res. 2019, 30, 182–196. [Google Scholar] [CrossRef]
  10. Nakamura, Y.; Mochida, A.; Choyke, P.L.; Kobayashi, H. Nanodrug delivery: Is the enhanced permeability and retention effect sufficient for curing cancer? Bioconjugate Chem. 2016, 27, 2225–2238. [Google Scholar] [CrossRef] [PubMed]
  11. Rafiei, P.; Haddadi, A. Docetaxel-loaded PLGA and PLGA-PEG nanoparticles for intravenous application: Pharmacokinetics and biodistribution profile. Int. J. Nanomed. 2017, 12, 935–947. [Google Scholar] [CrossRef]
  12. Kim, T.; Kim, D.; Chung, J.; Shin, S.G.; Kim, S.; Heo, D.S.; Kim, N.K. Phase I and Pharmacokinetic Study of Genexol-PM, a Cremophor-Free, Polymeric Micelle-Formulated Paclitaxel, in Patients with Advanced Malignancies. Clin. Cancer Res. 2004, 10, 3708–3716. [Google Scholar] [CrossRef] [PubMed]
  13. Chaurawal, N.; Raza, K. Nano-interventions for the drug delivery of docetaxel to cancer cells. Health Sci. Rev. 2023, 7, 100101. [Google Scholar] [CrossRef]
  14. Mody, N.; Tekade, R.K.; Mehra, N.K.; Chopdey, P.; Jain, N.K. Dendrimer, liposomes, carbon nanotubes and PLGA nanoparticles: One Platform assessment of drug delivery potential. AAPS PharmSciTech 2014, 15, 388–399. [Google Scholar] [CrossRef] [PubMed]
  15. Dehghani, M.H.; Maram, N.S.; Moghimipour, E.; Khorsandi, L.; Khah, M.A.; Mahdavinia, M. Protective effect of gallic acid and gallic acid-loaded Eudragit-RS 100 nanoparticles on cisplatin-induced mitochondrial dysfunction and inflammation in rat kidney. Biochim. Biophys. Acta Mol. Basis Dis. 2020, 1866, 165911. [Google Scholar] [CrossRef]
  16. Yurtdas-KırımLıoglu, G.; Gorgulu, S. Surface modification of PLGA nanoparticles with chitosan or Eudragit® RS 100: Characterization, prolonged release, cytotoxicity, and enhanced antimicrobial activity. J. Drug Delivery Sci. Technol. 2021, 61, 102145. [Google Scholar] [CrossRef]
  17. Kamath, A.J.; Donadkar, A.D.; Nair, B.; Kumar, A.R.; Sabitha, M.; Sethi, G.; Chauhan, A.S.; Nath, L.R. Smart polymer-based delivery systems for curcumin in colon cancer therapy: A review. Pharm. Ther. Res. 2024, 39, 698–713. [Google Scholar] [CrossRef]
  18. Liu, H.; Tu, L.; Zhou, Y.; Dang, Z.; Wang, L.; Du, J. Improved bioavailability and antitumor effect of Docetaxel by TPGS modified proniosomes: In vitro and in vivo evaluations. Sci. Rep. 2017, 7, 43372. [Google Scholar] [CrossRef]
  19. Mehata, A.K.; Setia, A.; Vikas, V.; Malik, A.K.; Hassani, R.; Dailah, H.G. Vitamin E TPGS-based nanomedicine, nanotheranostics, and targeted drug delivery: Past, present, and future. Pharmaceutics 2023, 15, 722. [Google Scholar] [CrossRef]
  20. Vikas; Viswanadh, M.K.; Mehata, A.K.; Sharma, V.; Priya, V.; Varshney, N.; Muthu, M.S. Bioadhesive chitosan nanoparticles: Dual targeting and pharmacokinetic aspects for advanced lung cancer treatment. Carbohydr. Polym. 2021, 274, 118617. [Google Scholar] [CrossRef]
  21. Vladár, A.E.; Hodoroaba, V. Characterisation of nanoparticles by scanning electron microscopy. In Characterization of Nanoparticles; Elsevier: Amsterdam, The Netherlands, 2019; pp. 7–27. [Google Scholar]
  22. Jeswani, G.; Chablani, L.; Gupta, U.; Sahoo, R.K.; Nakhate, K.T.; Ajazuddin, N. Development and optimization of paclitaxel loaded Eudragit/PLGA nanoparticles by simplex lattice mixture design: Exploration of improved hemocompatibility and in vivo kinetics. Biomed. Pharmacother. 2021, 144, 112286. [Google Scholar] [CrossRef]
  23. Avlani, D.; Shivakumar, H.N.; Kumar, A.; Prajila, A.; Baraka, B.B.H.; Bhagya, V. Pre-exposure prophylactic mucoadhesive sodium alginate microsphere-laden pessaries for intravaginal delivery of tenofovir disoproxil fumarate. Int. J. Biol. Macromol. 2024, 258, 128816. [Google Scholar] [CrossRef]
  24. Khamaikawin, W.; Locharoenrat, K. Evaluation of a docetaxel-cisplatin-fluorouracil-Au complex in a human oral carcinoma cell line. Drug Deliv. Transl. Res. 2023, 51, 148–157. [Google Scholar] [CrossRef] [PubMed]
  25. Moreira, T.D.S.; Silva, A.D.O.; Vasconcelos, B.R.F. DOPE/CHEMS-based EGFR-targeted immunoliposomes for docetaxel delivery: Formulation development, physicochemical characterization, and biological evaluation on prostate cancer cells. Pharmaceutics 2023, 15, 915. [Google Scholar] [CrossRef]
  26. Tarani, E.; Arvanitidis, I.; Christofilos, D. Calculation of the degree of crystallinity of HDPE/GNPs nanocomposites by using various experimental techniques: A comparative study. J. Mater. Sci. 2023, 58, 1621–1639. [Google Scholar] [CrossRef]
  27. Aleem, O.A.E.; Kuchekar, B.S.; Pore, Y.; Late, S. Effect of β-cyclodextrin and hydroxypropyl β-cyclodextrin complexation on physicochemical properties and antimicrobial activity of cefdinir. J. Pharm. Biomed. Anal. 2018, 47, 535–540. [Google Scholar] [CrossRef]
  28. Hirpara, M.P.; Manikkath, J.; Sivakumar, K. Long-circulating PEGylated chitosan nanoparticles of rosuvastatin calcium: Development and in vitro and in vivo evaluations. Int. J. Biol. Macromol. 2018, 107, 2190–2200. [Google Scholar] [CrossRef]
  29. Dixit, Y.; Kanojiya, K.; Bhingardeve, N.; Ahire, J.J.; Saroj, D. In vitro human gastrointestinal tract simulation systems: A panoramic review. Probiotics Antimicro. Prot. 2024, 16, 501–518. [Google Scholar] [CrossRef] [PubMed]
  30. Ji, H.; Hu, J.; Zuo, S.; Zhang, S.; Li, M.; Nie, S. In vitro gastrointestinal digestion and fermentation models and their applications in food carbohydrates. Crit. Rev. Food Sci. Nutr. 2021, 62, 5349–5371. [Google Scholar] [CrossRef] [PubMed]
  31. Miraj, S.; Saeed, H.; Iqtedar, M.; Albekairi, N.A.; Ahmed, N.; Danish, M.Z. Docetaxel-loaded methoxy poly (ethylene glycol)-poly (L-lactic acid) nanoparticles for breast cancer: Synthesis, characterization, method validation, and cytotoxicity. Pharmaceuticals 2023, 16, 1600. [Google Scholar] [CrossRef]
  32. Yadav, D.K.; Pawar, H.; Wankhade, S.; Suresh, S. Development of novel docetaxel phospholipid nanoparticles for intravenous administration: Quality by Design approach. AAPS PharmSciTech 2015, 16, 855–864. [Google Scholar] [CrossRef]
  33. Tran, P.; Nguyen, T.N.; Lee, Y.; Tran, P.N.; Park, J. Docetaxel-loaded PLGA nanoparticles to increase pharmacological sensitivity in MDA-MB-231 and MCF-7 breast cancer cells. Korean J. Physiol. Pharmacol. 2021, 25, 479–488. [Google Scholar] [CrossRef]
  34. Youm, I.; Bazzil, J.D.; Otto, J.W.; Caruso, A.N.; Murowchick, J.B.; Youan, B.C. Influence of surface chemistry on cytotoxicity and cellular uptake of nanocapsules in breast cancer and phagocytic cells. AAPS J. 2014, 16, 550–567. [Google Scholar] [CrossRef] [PubMed]
  35. Rajendra, P.K.M.; Nidamanuri, B.S.S.; Swaroop, A.K.; Krishnamurali, J.S.; Balan, A.P.; Selvaraj, J. Fabrication and in vitro evaluation of silk fibroin-folic acid decorated paclitaxel and hydroxyurea nanostructured lipid carriers for targeting ovarian cancer cells: A double sword approach. J. Drug Deliv. Sci. Technol. 2023, 81, 104270. [Google Scholar] [CrossRef]
  36. Collnot, E.M.; Baldes, C.; Wempe, M.F.; Hyatt, J.; Navarro, L.; Edgar, K.J.; Schaefer, U.F.; Lehr, C.M. Influence of vitamin E TPGS poly (ethylene glycol) chain length on apical efflux transporters in Caco-2 cell monolayers. J. Control. Release 2006, 111, 35–40. [Google Scholar] [CrossRef]
  37. Qu, X.; Zou, Y.; He, C.; Zhou, Y.; Jin, Y.; Deng, Y.; Wang, Z.; Li, X.; Zhou, Y.; Liu, Y. Improved intestinal absorption of paclitaxel by mixed micelles self-assembled from vitamin E succinate-based amphiphilic polymers and their transcellular transport mechanism and intracellular trafficking routes. Drug Deliv. 2018, 25, 210–225. [Google Scholar] [CrossRef] [PubMed]
  38. Zhang, Z.; Tan, S.; Feng, S.S. Vitamin E TPGS as a molecular biomaterial for drug delivery. Biomaterials 2012, 33, 4889–4906. [Google Scholar] [CrossRef]
  39. Salamat-Miller, N.; Johnston, T.P. Current strategies used to enhance the paracellular transport of therapeutic polypeptides across the intestinal epithelium. Int. J. Pharm. 2005, 294, 201–216. [Google Scholar] [CrossRef] [PubMed]
  40. Kulkarni, S.A.; Feng, S.S. Effects of particle size and surface modification on cellular uptake and biodistribution of polymeric nanoparticles for drug delivery. Pharm. Res. 2013, 30, 2512–2522. [Google Scholar] [CrossRef]
  41. Win, K.Y.; Feng, S. Effects of particle size and surface coating on cellular uptake of polymeric nanoparticles for oral delivery of anticancer drugs. Biomaterials 2004, 26, 2713–2722. [Google Scholar] [CrossRef]
  42. Wang, Y.; Mo, Y.; Sun, Y. Intestinal nanoparticle delivery and cellular response: A review of the bidirectional nanoparticle-cell interplay in the mucosa based on physiochemical properties. J. Nanobiotechnol. 2024, 22, 669. [Google Scholar] [CrossRef]
  43. He, C.; Yin, L.; Tang, C.; Yin, C. Size-dependent absorption mechanism of polymeric nanoparticles for oral delivery of protein drugs. Biomaterials 2012, 33, 8569–8578. [Google Scholar] [CrossRef]
  44. Yurtdaş-Kırımlıoğlu, G.; Güleç, K.; Görgülü, Ş.; Kıyan, H.T. Oseltamivir phosphate-loaded pegylated-Eudragit nanoparticles for lung cancer therapy: Characterization, prolonged release, cytotoxicity profile, apoptosis pathways and in vivo anti-angiogenic effect by using CAM assay. Microvasc. Res. 2022, 139, 104251. [Google Scholar] [CrossRef]
  45. Motwani, S.K.; Chopra, S.; Talegaonkar, S.; Kohli, K.; Ahmad, F.J.; Khar, R.K. Chitosan-sodium alginate nanoparticles as submicroscopic reservoirs for ocular delivery: Formulation, optimisation and in vitro characterization. Eur. J. Pharm. Biopharm. 2008, 68, 513–525. [Google Scholar] [CrossRef] [PubMed]
  46. El-Shabouri, M.H. Positively charged nanoparticles for improving the oral bioavailability of cyclosporin-A. Int. J. Pharm. 2002, 249, 101–108. [Google Scholar] [CrossRef]
  47. Yenilmez, E. Desloratadine-Eudragit® RS100 Nanoparticles: Formulation and Characterization. Turk. J. Pharm. Sci. 2017, 14, 148–156. [Google Scholar] [CrossRef] [PubMed]
  48. Vardhan, H.; Mittal, P.; Adena, S.K.R.; Mishra, B. Long-circulating polyhydroxybutyrate-co-hydroxyvalerate nanoparticles for tumor-targeted docetaxel delivery: Formulation, optimization and in vitro characterization. Eur. J. Pharm. Sci. 2017, 99, 85–94. [Google Scholar] [CrossRef] [PubMed]
  49. Pawar, H.; Wankhade, S.R.; Yadav, D.K.; Suresh, S. Development and evaluation of co-formulated docetaxel and curcumin biodegradable nanoparticles for parenteral administration. Pharm. Dev. Technol. 2015, 21, 725–736. [Google Scholar] [CrossRef]
  50. Fatima, S.; Panda, A.K.; Talegaonkar, S.; Iqbal, Z.; Ahmad, F.J. Optimization and designing of amikacin-loaded Poly D, L-Lactide-co-glycolide nanoparticles for effective and sustained drug delivery. J. Pharm. BioAllied Sci. 2019, 11, 83–95. [Google Scholar]
  51. Soppimath, K.S.; Aminabhavi, T.M.; Kulkarni, A.R.; Rudzinski, W.E. Biodegradable polymeric nanoparticles as drug delivery devices. J. Control. Release 2001, 70, 1–20. [Google Scholar] [CrossRef]
  52. Kim, D.; Cho, H.; Park, J.W.; Yoon, I. Surface-modified solid lipid nanoparticles for oral delivery of docetaxel: Enhanced intestinal absorption and lymphatic uptake. Int. J. Nanomed. 2014, 9, 495. [Google Scholar] [CrossRef]
  53. Danhier, F.; Ansorena, E.; Silva, J.M.; Coco, R.; Breton, A.L.; Préat, V. PLGA-based nanoparticles: An overview of biomedical applications. J. Control. Release 2012, 161, 505–522. [Google Scholar] [CrossRef]
  54. Tran, P.H.; Wang, T.; Yang, C.; Tran, T.T.; Duan, W. Development of conjugate-by-conjugate structured nanoparticles for oral delivery of docetaxel. Mater. Sci. Eng. C 2020, 107, 110346. [Google Scholar] [CrossRef]
  55. Akilo, O.D.; Choonara, Y.E.; Strydom, A.M.; Toit, L.C.D.; Kumar, P.; Modi, G.; Pillay, V. AN in vitro evaluation of a carmustine-loaded Nano-co-Plex for potential magnetic-targeted intranasal delivery to the brain. Int. J. Pharm. 2016, 500, 196–209. [Google Scholar] [CrossRef] [PubMed]
  56. Da Rocha, M.C.O.; Da Silva, P.B.; Radicchi, M.; Andrade, B.Y.G.; De Oliveira, J.V.; Venus, T. Docetaxel-loaded solid lipid nanoparticles prevent tumor growth and lung metastasis of 4T1 murine mammary carcinoma cells. J. Nanobiotechnol. 2020, 18, 43. [Google Scholar] [CrossRef] [PubMed]
  57. Sadaquat, H.; Akhtar, M.; Nazir, M.; Ahmad, R.; Alvi, Z.; Akhtar, N. Biodegradable and biocompatible polymeric nanoparticles for enhanced solubility and safe oral delivery of docetaxel: In vivo toxicity evaluation. Int. J. Pharm. 2021, 598, 120363. [Google Scholar] [CrossRef] [PubMed]
  58. Giri, B.R.; Lee, J.; Lim, D.Y.; Kim, D.W. Docetaxel/dimethyl-β-cyclodextrin inclusion complexes: Preparation, in vitro evaluation and physicochemical characterization. Drug Dev. Ind. Pharm. 2021, 47, 319–328. [Google Scholar] [CrossRef]
  59. De Carvalho, F.V.; De Morais Ribeiro, L.N.; De Moura, L.D.; Da Silva, G.H.R.; Mitsutake, H.; Mendonça, T. Docetaxel loaded in Copaiba oil-nanostructured lipid carriers as a promising DDS for breast cancer treatment. Molecules 2022, 27, 8838. [Google Scholar] [CrossRef]
  60. Zhu, W.; Long, J.; Shi, M. Release kinetics model fitting of drugs with different structures from viscose fabric. Materials 2023, 16, 3282. [Google Scholar] [CrossRef]
  61. Yedgar, S.; Barshtein, G.; Gural, A. Hemolytic activity of nanoparticles as a marker of their hemocompatibility. Micromachines 2022, 13, 2091. [Google Scholar] [CrossRef]
  62. Khalid, H.M.; Rasul, A.; Shah, S.; Abbas, G.; Mahmood, A. Disulfide bridged nanoparticles of thiolated sodium alginate and eudragit RS100 for oral delivery of paclitaxel: In vitro and in vivo evaluation. ACS Omega 2023, 8, 9662–9672. [Google Scholar] [CrossRef]
  63. Guo, X.; Zhang, J.; Cai, Q.; Fan, S.; Xu, Q.; Zang, J. Acetic acid transporter-mediated, oral, multifunctional polymer liposomes for oral delivery of docetaxel. Colloids Surf. B 2020, 198, 111499. [Google Scholar] [CrossRef]
  64. Yang, Y.; Yin, Y.; Zhang, J.; Zuo, T.; Liang, X.; Li, J. Folate and borneol modified bifunctional nanoparticles for enhanced oral absorption. Pharmaceutics 2018, 10, 146. [Google Scholar] [CrossRef] [PubMed]
  65. Liu, T.; Liu, X.; Xiong, H.; Xu, C.; Yao, J.; Zhu, X.; Zhou, J.; Yao, J. Mechanisms of TPGS and its derivatives inhibiting P-glycoprotein efflux pump and application for reversing multidrug resistance in hepatocellular carcinoma. Polym. Chem. 2018, 9, 1827–1839. [Google Scholar] [CrossRef]
  66. Tan, S.; Zou, C.; Zhang, W.; Yin, M.; Gao, X.; Tang, Q. Recent developments in d-α-tocopheryl polyethylene glycol-succinate-based nanomedicine for cancer therapy. Drug Deliv. 2017, 24, 1831–1842, Erratum in: Drug Deliv. 2017, 24, 1930. [Google Scholar] [CrossRef] [PubMed]
  67. Lee, K.J.; Mann, E.; Wright, G.; Piett, C.G.; Nagel, Z.D.; Gassman, N.R. Exploiting DNA repair defects in triple negative breast cancer to improve cell killing. Ther. Adv. Med. Oncol. 2020, 12, 175883592095835. [Google Scholar] [CrossRef]
  68. Lhaglham, P.; Jiramonai, L.; Jia, Y.; Huang, B.; Huang, Y.; Gao, X. Drug nanocrystals: Surface engineering and its applications in targeted delivery. iScience 2024, 27, 111185. [Google Scholar] [CrossRef]
Figure 1. Failure mode and effect analysis (FMEA), illustrating risk analysis for the development of docetaxel nanoparticles. Abbreviations: DTX: docetaxel; RSM: Response Surface Methodology.
Figure 1. Failure mode and effect analysis (FMEA), illustrating risk analysis for the development of docetaxel nanoparticles. Abbreviations: DTX: docetaxel; RSM: Response Surface Methodology.
Scipharm 93 00058 g001
Figure 2. Schematic representation of the sequential steps involved in preparation and processing workflow for docetaxel-loaded Eudragit nanoparticles. Abbreviations: DTX: docetaxel; TPGS: D-α-Tocopheryl polyethene glycol 1000 succinate.
Figure 2. Schematic representation of the sequential steps involved in preparation and processing workflow for docetaxel-loaded Eudragit nanoparticles. Abbreviations: DTX: docetaxel; TPGS: D-α-Tocopheryl polyethene glycol 1000 succinate.
Scipharm 93 00058 g002
Figure 3. Three-dimensional surface and Two-dimensional contour plots depicting the interactive effects of probe sonication and homogenisation time on particle size (A,B) and zeta potential (C,D). The plots are colour-coded, with blue indicating lower response values and red indicating higher response values.
Figure 3. Three-dimensional surface and Two-dimensional contour plots depicting the interactive effects of probe sonication and homogenisation time on particle size (A,B) and zeta potential (C,D). The plots are colour-coded, with blue indicating lower response values and red indicating higher response values.
Scipharm 93 00058 g003
Figure 4. Three-dimensional surface and four-dimensional contour plots depicting the interactive effects of probe sonication and homogenisation time on entrapment efficiency (A,B) and drug release (C,D). The plots are colour-coded, with blue indicating lower response values and red indicating higher response values.
Figure 4. Three-dimensional surface and four-dimensional contour plots depicting the interactive effects of probe sonication and homogenisation time on entrapment efficiency (A,B) and drug release (C,D). The plots are colour-coded, with blue indicating lower response values and red indicating higher response values.
Scipharm 93 00058 g004
Figure 5. Plot (A) displays the desirability response surface, with blue indicating low desirability and red indicating regions of high desirability as determined by numerical optimisation. Plot (B) presents the overlay design space plot, where the yellow region denotes the optimal formulation area and the grey region represents conditions outside the design space, based on variations in homogenisation (HT) and probe sonication time (PT).
Figure 5. Plot (A) displays the desirability response surface, with blue indicating low desirability and red indicating regions of high desirability as determined by numerical optimisation. Plot (B) presents the overlay design space plot, where the yellow region denotes the optimal formulation area and the grey region represents conditions outside the design space, based on variations in homogenisation (HT) and probe sonication time (PT).
Scipharm 93 00058 g005
Figure 6. Representative (A) scanning electron microscopy (SEM) image of the DNPs, (B) particle size distribution profile, and (C) zeta potential profile.
Figure 6. Representative (A) scanning electron microscopy (SEM) image of the DNPs, (B) particle size distribution profile, and (C) zeta potential profile.
Scipharm 93 00058 g006
Figure 7. FTIR spectra illustrating (A) docetaxel, (B) Eudragit RS 100, (C) Eudragit RL 100, (D) TPGS, (E) the physical mixture, and (F) the optimised DNP formulation.
Figure 7. FTIR spectra illustrating (A) docetaxel, (B) Eudragit RS 100, (C) Eudragit RL 100, (D) TPGS, (E) the physical mixture, and (F) the optimised DNP formulation.
Scipharm 93 00058 g007
Figure 8. DSC thermograms (X) and XRD diffractograms (Y) of (A) docetaxel, (B) docetaxel–excipient physical mixture, and (C) optimised DNPs.
Figure 8. DSC thermograms (X) and XRD diffractograms (Y) of (A) docetaxel, (B) docetaxel–excipient physical mixture, and (C) optimised DNPs.
Scipharm 93 00058 g008
Figure 9. Comparative in vitro drug release study: (A) Formulations F1 to F5; (B) Formulations F6 to F9; and (C) optimised formulation and docetaxel using dialysis method in solution of pH 1.2 for 2 h followed by pH 7.4 buffer at 37 ± 0.5 °C for 24 h. All the values are expressed as means ± SD (n = 3).
Figure 9. Comparative in vitro drug release study: (A) Formulations F1 to F5; (B) Formulations F6 to F9; and (C) optimised formulation and docetaxel using dialysis method in solution of pH 1.2 for 2 h followed by pH 7.4 buffer at 37 ± 0.5 °C for 24 h. All the values are expressed as means ± SD (n = 3).
Scipharm 93 00058 g009
Figure 10. (A) Cellular uptake of nanoparticles (NPs) in MDA-MB-231 cells: (A1) transmitted light channel and (A2) optimised DNPs; (B) cell viability (%) at various docetaxel concentrations (n = 3); IC50 plots for (C) docetaxel standard and (D) optimised DNPs after 24 h incubation with MDA-MB-231 cells at different concentrations (n = 3).
Figure 10. (A) Cellular uptake of nanoparticles (NPs) in MDA-MB-231 cells: (A1) transmitted light channel and (A2) optimised DNPs; (B) cell viability (%) at various docetaxel concentrations (n = 3); IC50 plots for (C) docetaxel standard and (D) optimised DNPs after 24 h incubation with MDA-MB-231 cells at different concentrations (n = 3).
Scipharm 93 00058 g010
Table 1. Quality target product profiles for docetaxel nanoparticles.
Table 1. Quality target product profiles for docetaxel nanoparticles.
QTPP ElementsTargetJustification
Dosage FormNanoparticlesDesigned to enhance aqueous solubility and dissolution rates, resulting in improved bioavailability and therapeutic effectiveness
Route of AdministrationOralMost patient-friendly and widely accepted route
Drug Product Quality Attributes
Entrapment
Efficiency (%)
Maximise Ensures the highest possible drug load within the carrier system, which directly impacts therapeutic potential
Drug Release (%) in 24 hTargetHelps maintain desired plasma concentrations, enabling consistent therapeutic levels.
Particle Size (nm)<500 nmSmaller PS enhances drug dissolution, absorption, and distribution while minimising aggregation and ensuring uniformity across the dosage form.
Zeta Potential (mV)MaximiseEnables development of a stable formulation and prevents agglomeration of particles.
Table 2. The processing parameters were set with levels and constraints according to the Central Composite Design to produce DTX-loaded polymeric nanoparticles.
Table 2. The processing parameters were set with levels and constraints according to the Central Composite Design to produce DTX-loaded polymeric nanoparticles.
FactorsCoded Level
Independent VariablesLowMediumHigh
A: Homogenisation time (min)51015
B: Probe sonication time (s)75195315
Dependent variablesConstraints
Y1: Entrapment efficiency (%)Maximise
Y2: Drug release (%) in 24 hTarget
Y3: Particle size (nm)In range
Y4: Zeta potential (mV)In range
Table 3. Processing conditions as per Central Composite Design to produce DTX-loaded polymeric nanoparticles.
Table 3. Processing conditions as per Central Composite Design to produce DTX-loaded polymeric nanoparticles.
RunFactor AFactor B
Homogenisation
Time (min)
Probe Sonication
Time (s)
F12.93195
F21575
F310195
F45315
F51025.29
F6575
F717.07195
F810364.71
F915315
Table 4. Formulation and process factors for central composite design.
Table 4. Formulation and process factors for central composite design.
RunParticle Size
(nm)
Zeta Potential
(mV)
Entrapment Efficiency
(%)
Drug Release
(%)
F1398 ± 4.8033.6 ± 0.6185.34 ± 0.8229.20 ± 0.84
F2430 ± 6.3831.5 ± 0.5888.24 ± 0.8126.32 ± 1.19
F3335 ± 2.7240.5 ± 0.4279.50 ± 2.9233.79 ± 1.01
F4320 ± 5.6742.2 ± 0.6076.38 ± 5.9036.44 ± 0.90
F5458 ± 10.4828.6 ± 0.2490.12 ± 0.6125.25 ± 1.05
F6502 ± 1.1625.8 ± 0.3692.71 ± 0.1619.24 ± 3.03
F7370 ± 4.2637.7 ± 0.2882.26 ± 1.4531.59 ± 0.99
F8279 ± 2.3046.5 ± 0.2669.32 ± 3.7749.17 ± 1.98
F9302 ± 7.2842.9 ± 0.3874.77 ± 4.6237.55 ± 0.57
All values mentioned in the table are means ± SD (n = 3).
Table 5. Statistical ANOVA results for the mathematical models generated.
Table 5. Statistical ANOVA results for the mathematical models generated.
ResponseMathematical Model
F-Value* p-ValueR2R2 (adj)CV%Remark *
PS (nm)31.420.00070.91280.88386.83Significant
ZP (mV)84.820.00200.99300.98132.65Significant
EE (%)79.890.00220.99250.98011.33Significant
DR (%)15.680.00410.83940.785912.47Significant
* p < 0.05 indicates the models are statistically significant.
Table 6. Process parameters of the optimised formulation and comparison of the experimental values of the response parameters/product quality attributes with the predicted values.
Table 6. Process parameters of the optimised formulation and comparison of the experimental values of the response parameters/product quality attributes with the predicted values.
FormulationProcess Parameters HT:PT (min:s)ResponsesExperimental
Value
Predicted
Value
Optimised Formulation15.0:278.0Y1 (%)78.18 ± 0.5678.31
Y2 (%)46.21 ± 1.4135.35
Y3 (nm)357.9 ± 2.4344.76
Y4 (mV)42.9 ± 3.741.31
Table 7. Data fitment indicating the kinetics and mechanism of drug release of docetaxel nanoparticles.
Table 7. Data fitment indicating the kinetics and mechanism of drug release of docetaxel nanoparticles.
BatchHiguchi PlotKorsmeyer–Peppas PlotFirst-Order Plot
* KH (%h−1/2)R2* KP (h−n)R2n Values* K1 (h−1)R2
F114.45 ± 0.530.989 ± 0.030.042 ± 0.0010.969 ± 0.020.60650.057 ± 0.0010.919 ± 0.02
F215.04 ± 0.100.981 ± 0.020.034 ± 0.0020.941 ± 0.010.64510.059 ± 0.0020.878 ± 0.03
F313.52 ± 0.120.976 ± 0.010.037 ± 0.0010.986 ± 0.030.69360.055 ± 0.0030.908 ± 0.00
F412.97 ± 0.240.966 ± 0.030.043 ± 0.0020.982 ± 0.050.67580.053 ± 0.0010.888 ± 0.06
F515.26 ± 0.370.989 ± 0.020.036 ± 0.0030.937 ± 0.040.61500.059 ± 0.0020.893 ± 0.02
F616.49 ± 0.480.994 ± 0.010.030 ± 0.0010.991 ± 0.030.58460.065 ± 0.0030.919 ± 0.01
F713.96 ± 0.130.987 ± 0.030.042 ± 0.0020.973 ± 0.010.63440.056 ± 0.0040.928 ± 0.03
F810.38 ± 0.150.976 ± 0.030.046 ± 0.0010.985 ± 0.020.74740.049 ± 0.0020.938 ± 0.07
F912.75 ± 0.480.966 ± 0.010.041 ± 0.0020.982 ± 0.030.69770.053 ± 0.0010.888 ± 0.08
DTX2.68 ± 0.490.973 ± 0.020.030 ± 0.0030.951 ± 0.021.05560.043 ± 0.0020.993 ± 0.09
Opt **.10.98 ± 0.500.974 ± 0.020.067 ± 0.0030.958 ± 0.040.60910.050 ± 0.0010.885 ± 0.10
** Optimised formulation. * All values in the table are presented as means ± SD (n = 3).
Disclaimer/Publisher’s Note: The statements, opinions and data contained in all publications are solely those of the individual author(s) and contributor(s) and not of MDPI and/or the editor(s). MDPI and/or the editor(s) disclaim responsibility for any injury to people or property resulting from any ideas, methods, instructions or products referred to in the content.

Share and Cite

MDPI and ACS Style

Wali, D.; Nanjappa, S.H.; Kumar, A.; Shinde, R. Development and Optimisation of Docetaxel-Loaded Polymeric Nanoparticles for Oral Chemotherapy in Breast Cancer. Sci. Pharm. 2025, 93, 58. https://doi.org/10.3390/scipharm93040058

AMA Style

Wali D, Nanjappa SH, Kumar A, Shinde R. Development and Optimisation of Docetaxel-Loaded Polymeric Nanoparticles for Oral Chemotherapy in Breast Cancer. Scientia Pharmaceutica. 2025; 93(4):58. https://doi.org/10.3390/scipharm93040058

Chicago/Turabian Style

Wali, Divya, Shivakumar H. Nanjappa, Avichal Kumar, and Rushikesh Shinde. 2025. "Development and Optimisation of Docetaxel-Loaded Polymeric Nanoparticles for Oral Chemotherapy in Breast Cancer" Scientia Pharmaceutica 93, no. 4: 58. https://doi.org/10.3390/scipharm93040058

APA Style

Wali, D., Nanjappa, S. H., Kumar, A., & Shinde, R. (2025). Development and Optimisation of Docetaxel-Loaded Polymeric Nanoparticles for Oral Chemotherapy in Breast Cancer. Scientia Pharmaceutica, 93(4), 58. https://doi.org/10.3390/scipharm93040058

Article Metrics

Back to TopTop