Sign in to use this feature.

Years

Between: -

Subjects

remove_circle_outline
remove_circle_outline
remove_circle_outline
remove_circle_outline
remove_circle_outline
remove_circle_outline
remove_circle_outline
remove_circle_outline
remove_circle_outline

Journals

remove_circle_outline
remove_circle_outline
remove_circle_outline
remove_circle_outline
remove_circle_outline
remove_circle_outline
remove_circle_outline
remove_circle_outline
remove_circle_outline
remove_circle_outline
remove_circle_outline
remove_circle_outline
remove_circle_outline
remove_circle_outline
remove_circle_outline

Article Types

Countries / Regions

remove_circle_outline
remove_circle_outline
remove_circle_outline
remove_circle_outline
remove_circle_outline
remove_circle_outline

Search Results (1,074)

Search Parameters:
Keywords = ECG analysis

Order results
Result details
Results per page
Select all
Export citation of selected articles as:
20 pages, 3637 KB  
Article
Denoising Non-Invasive Electroespinography Signals by Different Cardiac Artifact Removal Algorithms
by Desirée I. Gracia, Eduardo Iáñez, Mario Ortiz and José M. Azorín
Biosensors 2026, 16(2), 82; https://doi.org/10.3390/bios16020082 - 29 Jan 2026
Viewed by 191
Abstract
The non-invasive recording of spinal cord neuronal activity, also known as electrospinography (ESG), using high-density surface electromyography (HD-sEMG) is a promising emerging biosensing modality. However, these recordings often contain electrocardiographic (ECG) artifacts that must be removed for accurate analysis. Given the emerging nature [...] Read more.
The non-invasive recording of spinal cord neuronal activity, also known as electrospinography (ESG), using high-density surface electromyography (HD-sEMG) is a promising emerging biosensing modality. However, these recordings often contain electrocardiographic (ECG) artifacts that must be removed for accurate analysis. Given the emerging nature of ESG and the lack of dedicated signal processing methods, this study assesses the performance of seven established EMG denoising algorithms for their ability to preserve the broad spectral bandwidth needed for future ESG characterization: Template Subtraction (TS), Adaptive Template Subtraction (ATS), High-Pass Filtering at 200 Hz (HP200), ATS combined with HP200, Second-Order Extended Kalman Smoother (EKS2), Stationary Wavelet Transform (SWT), and Empirical Mode Decomposition (EMD). Performance was quantified using six metrics: Relative Error (RE), Signal-to-Noise Ratio (SNR), Cross-Correlation (CC), Spectral Distortion (SD), and Kurtosis Ratio (KR2) and its variation (ΔKR2). ESG data were recorded from nine healthy participants at brachial and lumbar plexus sites with various electrode configurations. ATS consistently outperformed all other methods in suppressing cardiac artifacts of varying shapes. Although it did not fully preserve low-frequency content, ATS achieved the best balance between artifact removal and signal integrity. Algorithm performance improved when ECG contamination was lower, especially in brachial plexus recordings with closer reference electrodes. Full article
Show Figures

Figure 1

16 pages, 519 KB  
Article
An Efficient and Automated Smart Healthcare System Using Genetic Algorithm and Two-Level Filtering Scheme
by Geetanjali Rathee, Hemraj Saini, Chaker Abdelaziz Kerrache, Ramzi Djemai and Mohamed Chahine Ghanem
Digital 2026, 6(1), 10; https://doi.org/10.3390/digital6010010 - 28 Jan 2026
Viewed by 79
Abstract
This paper proposes an efficient and automated smart healthcare communication framework that integrates a two-level filtering scheme with a multi-objective Genetic Algorithm (GA) to enhance the reliability, timeliness, and energy efficiency of Internet of Medical Things (IoMT) systems. In the first stage, physiological [...] Read more.
This paper proposes an efficient and automated smart healthcare communication framework that integrates a two-level filtering scheme with a multi-objective Genetic Algorithm (GA) to enhance the reliability, timeliness, and energy efficiency of Internet of Medical Things (IoMT) systems. In the first stage, physiological signals collected from heterogeneous sensors (e.g., blood pressure, glucose level, ECG, patient movement, and ambient temperature) were pre-processed using an adaptive least-mean-square (LMS) filter to suppress noise and motion artifacts, thereby improving signal quality prior to analysis. In the second stage, a GA-based optimization engine selects optimal routing paths and transmission parameters by jointly considering end-to-end delay, Signal-to-Noise Ratio (SNR), energy consumption, and packet loss ratio (PLR). The two-level filtering strategy, i.e., LMS, ensures that only denoised and high-priority records are forwarded for more processing, enabling timely delivery for supporting the downstream clinical network by optimizing the communication. The proposed mechanism is evaluated via extensive simulations involving 30–100 devices and multiple generations and is benchmarked against two existing smart healthcare schemes. The results demonstrate that the integrated GA and filtering approach significantly reduces end-to-end delay by 10%, as well as communication latency and energy consumption, while improving the packet delivery ratio by approximately 15%, as well as throughput, SNR, and overall Quality of Service (QoS) by up to 98%. These findings indicate that the proposed framework provides a scalable and intelligent communication backbone for early disease detection, continuous monitoring, and timely intervention in smart healthcare environments. Full article
Show Figures

Figure 1

12 pages, 1038 KB  
Article
Retrospective Analysis of Incidental Myocardial Perfusion Defects on Non-ECG-Gated Contrast-Enhanced CT in Emergency Settings
by Jia-Hao Zhou, Meng-Yu Wu and Jong-Kai Hsiao
Medicina 2026, 62(2), 277; https://doi.org/10.3390/medicina62020277 - 28 Jan 2026
Viewed by 107
Abstract
Background and Objectives: Coronary heart disease is a leading cause of death in developed countries. While ECG-gated coronary CT is commonly used to detect coronary artery stenosis, the potential of non-ECG-gated CT (NECE-CT) to reveal incidental myocardial perfusion defects indicative of acute myocardial [...] Read more.
Background and Objectives: Coronary heart disease is a leading cause of death in developed countries. While ECG-gated coronary CT is commonly used to detect coronary artery stenosis, the potential of non-ECG-gated CT (NECE-CT) to reveal incidental myocardial perfusion defects indicative of acute myocardial infarction (AMI) remains underexplored, particularly in emergency settings where rapid diagnosis is crucial. Materials and Methods: We retrospectively analyzed 22 suspected AMI patients from the emergency department who underwent NECE-CT without either an initial AMI diagnosis or available cardiac enzyme or ECG data. Results: AMI was confirmed in 45% (n = 10) of patients, with 30% (n = 3/10) showing elevated troponin I levels only after the CT exam. In the AMI group, all patients had perfusion defects, with 20% (n = 2) showing transmural defects and 80% (n = 8) showing endocardial defects. In contrast, all patients in the non-AMI group exhibited endocardial defects. Coronary artery calcification was significantly higher in the AMI group (70%) compared to the non-AMI group (25%, p < 0.05). Conclusions: These findings suggest that NECE-CT may reveal myocardial perfusion defects as an ancillary sign of AMI. While not a standalone diagnostic tool, careful evaluation of the myocardium in emergency CT scans may raise suspicion of AMI in patients with atypical presentations, offering more insight than standard methods. Further prospective studies with larger cohorts are needed to validate the clinical utility of these incidental findings. Full article
(This article belongs to the Section Cardiology)
Show Figures

Figure 1

45 pages, 1232 KB  
Review
Predicting Intrapartum Acidemia: A Review of Approaches Based on Fetal Heart Rate
by Gabriele Varisco, Giulio Steyde, Elisabetta Peri, Iris Hoogendoorn, Maria G. Signorini, Judith O. E. H. van Laar, Massimo Mischi and Marieke B. van der Hout-van der Jagt
Bioengineering 2026, 13(2), 146; https://doi.org/10.3390/bioengineering13020146 - 27 Jan 2026
Viewed by 298
Abstract
Fetal acidemia, caused by impaired gas exchange between the fetus and the mother, is a leading cause of stillbirth and neurologic complications. Early prediction is therefore essential to guide timely clinical intervention. Several strategies rely on cardiotocography (CTG), which combines fetal heart rate [...] Read more.
Fetal acidemia, caused by impaired gas exchange between the fetus and the mother, is a leading cause of stillbirth and neurologic complications. Early prediction is therefore essential to guide timely clinical intervention. Several strategies rely on cardiotocography (CTG), which combines fetal heart rate (fHR) with uterine contractions and has led to development of clinical guidelines for CTG interpretation and the introduction of different fHR features. Additionally, ST event analysis, investigating changes in the ST segments of the fetal electrocardiogram (fECG), has been proposed as a complementary tool. This narrative review adopts a systematic approach, with comprehensive searches in Embase and PubMed to ensure full coverage of the available literature, and summarizes findings from 30 studies. Clinical guidelines for CTG interpretation frequently lead to intermediate risk level annotations, leaving the final decision regarding fetal management to clinical experience. In contrast, various fHR features can successfully discriminate between fetuses developing acidemia and healthy controls. Evidence regarding the added value of ST events derived from the scalp electrode remains conflicting, due to concerns about invasiveness. Recent studies on machine learning models highlight their ability to integrate multiple fHR features and improve predictive performance, suggesting a promising direction for enhancing acidemia prediction during labor. Full article
Show Figures

Figure 1

13 pages, 3199 KB  
Article
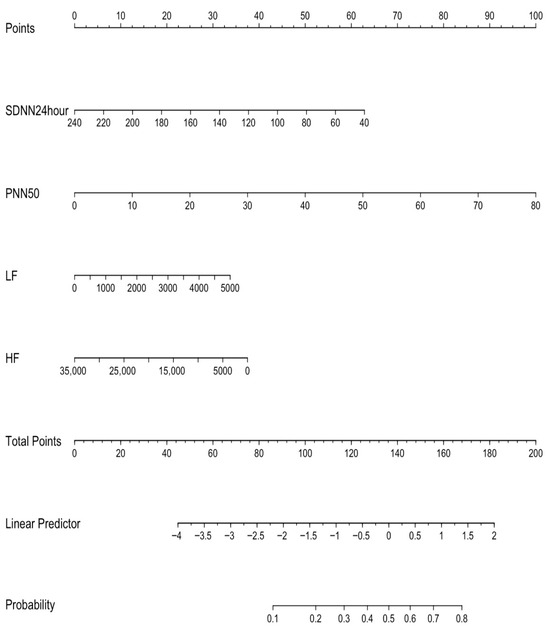
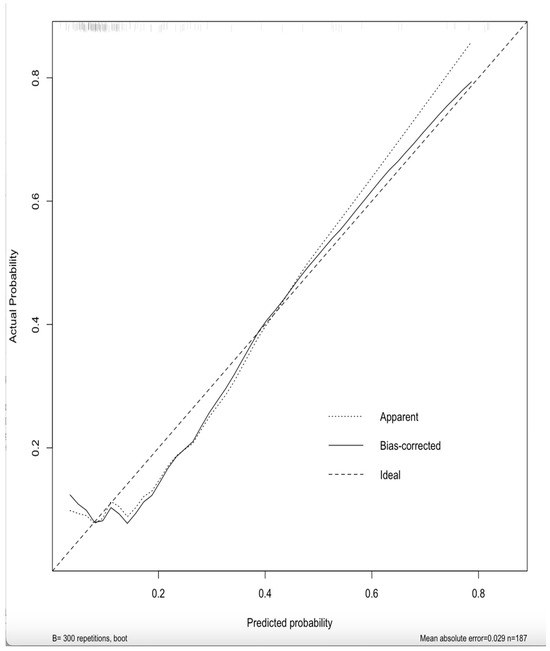
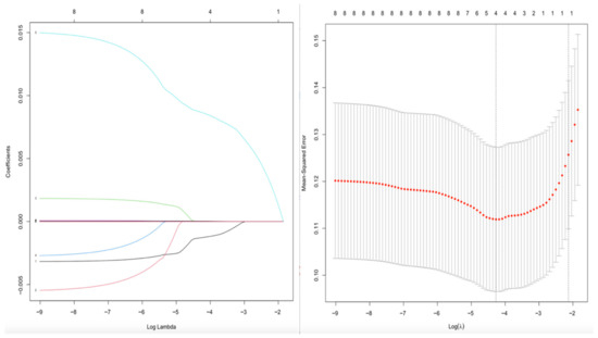
Heart Rate Variability Nomogram Predicts Atrial Fibrillation in Patients with Moderate to High Burden of Premature Ventricular Complexes
by Koray Kalenderoglu, Mert Ilker Hayiroglu, Tufan Cinar, Faysal Saylik, Gokcem Ayan Bayraktar, Melih Oz, Miray Ozer Oz, Kadir Gurkan and Tolga Aksu
Medicina 2026, 62(2), 243; https://doi.org/10.3390/medicina62020243 - 23 Jan 2026
Viewed by 183
Abstract
Background and Objectives: There is a well-established correlation between premature ventricular contractions (PVCs) and atrial fibrillation (AF), with a higher burden of PVCs increasing the likelihood of new-onset AF. This study aims to investigate the impact of heart rate variability (HRV) on the [...] Read more.
Background and Objectives: There is a well-established correlation between premature ventricular contractions (PVCs) and atrial fibrillation (AF), with a higher burden of PVCs increasing the likelihood of new-onset AF. This study aims to investigate the impact of heart rate variability (HRV) on the onset of AF in patients with moderate to high burdens of PVCs, as observed through 24 h ambulatory electrocardiogram (ECG) analysis. Materials and Methods: Our study was a retrospective analysis involving 187 patients at a single tertiary center. We analyzed PVC counts from 24 h ECG recordings, categorizing the patients into groups based on whether they developed AF or not. Additionally, we developed a nomogram to estimate the risk of AF development in these patients. Results: A new-onset AF was detected in 16% of the cohort. Analysis of 24 h ambulatory ECG data revealed statistically significant increases in the SDNN index, RMSSD, PNN50, total power (TP), and low-frequency (LF) values in AF patients. To estimate the risk of AF, a risk prediction nomogram was created using high-frequency (HF), LF, SDNN index, and PNN50. Among these variables, PNN50 was identified as the strongest predictor in the multivariable model. Additionally, a decision curve analysis demonstrated that the nomogram offers a net clinical benefit for detecting AF in patients when the baseline threshold risk exceeds 15%. Conclusions: Our study found that among patients with AF who had a moderate to high burden of PVCs using 24 h ambulatory ECGs, several HRV parameters were elevated. This increased autonomic instability may play a role in the development and persistence of AF episodes. Full article
Show Figures

Graphical abstract

21 pages, 9412 KB  
Article
Chaotic Dynamics Analysis of Magnetocardiography Signals for Early Detection of Myocardial Ischemia
by Keyi Li, Xiangyang Zhou, Yuchen Liu, Jiaojiao Pang, Rui Shang, Yadan Zhang, Yangyang Cui, Dong Xu and Min Xiang
Bioengineering 2026, 13(2), 129; https://doi.org/10.3390/bioengineering13020129 - 23 Jan 2026
Viewed by 246
Abstract
The heart exhibits inherently nonlinear and chaotic electrical dynamics, making the early detection of myocardial ischemia (MI) challenging using traditional electrocardiography (ECG) or standard magnetocardiography (MCG). In this study, we propose an engineering-oriented framework that integrates classical nonlinear dynamics with machine-learning-based analysis, termed [...] Read more.
The heart exhibits inherently nonlinear and chaotic electrical dynamics, making the early detection of myocardial ischemia (MI) challenging using traditional electrocardiography (ECG) or standard magnetocardiography (MCG). In this study, we propose an engineering-oriented framework that integrates classical nonlinear dynamics with machine-learning-based analysis, termed the Magnetocardiography Chaotic Dynamics Map (MCDM), to reconstruct nonlinear phase-space trajectories from 36-channel MCG recordings and capture differences in reconstructed nonlinear dynamics associated with ischemic conditions. Morphological and quantitative analyses of the MCDM patterns reveal marked differences between healthy and ischemic subjects. Using a machine-learning classifier trained on HOG and LBP descriptors, the proposed MCDM-based model achieved an accuracy of 92.19%, a sensitivity of 88.75%, a specificity of 95.63%, an F1-score of 91.91%, and an AUC of 89.80%, demonstrating effective discriminative capability for early ischemia screening. Owing to its computational simplicity and noninvasive nature, the proposed MCDM framework represents a promising tool for scalable screening of ischemic heart disease. Full article
(This article belongs to the Section Biosignal Processing)
Show Figures

Graphical abstract

12 pages, 548 KB  
Article
17β-Estradiol Does Not Designate Non-Sex-Specific Early Ventricular Arrhythmia in Acute Myocardial Infarction, in Contrast to C-Reactive Protein
by Niya E. Semedzhieva, Adelina Tsakova, Vesela Lozanova, Petar I. Atanasov and Dobrinka Dineva
Int. J. Mol. Sci. 2026, 27(2), 970; https://doi.org/10.3390/ijms27020970 - 19 Jan 2026
Viewed by 152
Abstract
Despite the evidence from experimental studies that endogenous hormones have sex-related effects on action potential duration, the relationship between gonadal steroids and ventricular repolarization in acute myocardial infarction (AMI) is not clear. We tested the hypothesis that endogenous 17β-estradiol (E2) and 17β-estradiol-to-testosterone ratio [...] Read more.
Despite the evidence from experimental studies that endogenous hormones have sex-related effects on action potential duration, the relationship between gonadal steroids and ventricular repolarization in acute myocardial infarction (AMI) is not clear. We tested the hypothesis that endogenous 17β-estradiol (E2) and 17β-estradiol-to-testosterone ratio (E2/T) are associated with inflammation, influencing the occurrence of early ventricular arrhythmia (VA) in AMI. Electrocardiographic (ECG) repolarization indices, including resting heart rate (HR), corrected QT (QTc) interval, QTc minimum (QTcmin), QTc maximum (QTcmax), and QTc dispersion (QTcd), along with E2, total T, and the ratio of E2 to T (E2/T), were measured and analyzed after percutaneous coronary intervention in 86 patients (36 women, 41.9%). In a non-specific sex analysis, the incidence of early VA in the course of AMI was determined by the ejection fraction of the left ventricle (OR 0.876, p = 0.054), and by the peak levels of plasma C-reactive protein (OR 1.026, p = 0.077). Endogenous plasma 17β-estradiol tended to be higher in cases with early ventricular arrhythmia (124.5 ± 79 vs. 181 ± 192.8, p = 0.089). 17β-estradiol levels were significantly predicted by C-reactive protein (OR 1.050, p = 0.042). This study found that reduced systolic function of the left ventricle and higher peak CRP levels are associated with endogenous plasma 17β-estradiol in the acute phase of MI, and predicted the risk of early in-hospital ventricular arrhythmia. Full article
(This article belongs to the Special Issue Steroids in Human Disease and Health)
Show Figures

Figure 1

14 pages, 615 KB  
Review
Artificial Intelligence Applied to Electrocardiograms Recorded in Sinus Rhythm for Detection and Prediction of Atrial Fibrillation: A Scoping Review
by Ziga Mrak, Franjo Husam Naji and Dejan Dinevski
Medicina 2026, 62(1), 199; https://doi.org/10.3390/medicina62010199 - 17 Jan 2026
Viewed by 200
Abstract
Background and Objectives: Subclinical paroxysmal atrial fibrillation (AF) is often undetected by conventional screening strategies, until complications emerge. Artificial intelligence (AI) applied to sinus rhythm electrocardiograms has emerged as a promising tool to identify individuals with occult AF and to predict the risk [...] Read more.
Background and Objectives: Subclinical paroxysmal atrial fibrillation (AF) is often undetected by conventional screening strategies, until complications emerge. Artificial intelligence (AI) applied to sinus rhythm electrocardiograms has emerged as a promising tool to identify individuals with occult AF and to predict the risk of future incident AF. This scoping review synthesizes evidence from original studies evaluating AI models trained on sinus rhythm ECGs for AF detection or AF prediction. Materials and Methods: A comprehensive search of MEDLINE, Embase, Web of Science, Scopus, and IEEE Xplore was conducted to identify peer-reviewed studies from inception to November 2025. Eligible studies included original investigations in which the model input was a sinus rhythm ECG and the outcome was either paroxysmal AF or new-onset AF. Extracted variables included cohort characteristics, ECG acquisition parameters, AI architecture, model predictive performance, AF prediction horizon, clinical outcomes, and validation strategy. Risk of bias was assessed using PROBAST. Results: Nineteen studies met the inclusion criteria. Retrospective datasets ranging from several thousand to over one million ECGs and convolutional or deep neural network AI architectures were used in most studies. AI-ECG models demonstrated high diagnostic accuracy for detecting subclinical AF (ten studies; AUROC 0.75–0.90) and for predicting long-term new-onset AF (six studies; AUROC 0.69–0.85) from a single sinus rhythm ECG. Robust external validation was reported in eleven studies. Combining AI-ECG models with clinical risk factors improved AF predictive performance in several reports. Key limitations across studies included retrospective design, patient selection, limited calibration reporting, and sparse prospective impact data. Conclusions: AI-based analysis of sinus rhythm ECGs can detect occult AF and stratify future AF risk with moderate-to-high accuracy across multiple populations and healthcare systems. However, rigorous prospective trials, evaluating clinical benefit, cost-effectiveness, calibration across demographic groups, and real-world implementation, are required before broad adoption in clinical practice. Full article
Show Figures

Figure 1

12 pages, 1316 KB  
Article
A Screening Method for Determining Left Ventricular Systolic Function Based on Spectral Analysis of a Single-Channel Electrocardiogram Using Machine Learning Algorithms
by Natalia Kuznetsova, Aleksandr Suvorov, Daria Gognieva, Zaki Fashafsha, Dmitrii Podgalo, Dinara Mesitskaya, Dmitry Shchekochikhin, Vsevolod Sedov, Petr Chomakhidze and Philippe Kopylov
Diagnostics 2026, 16(2), 262; https://doi.org/10.3390/diagnostics16020262 - 14 Jan 2026
Viewed by 194
Abstract
Background and Objectives: Given the non-specificity of symptoms and complex methods for diagnosing heart failure, which are not applicable in screening, it is of great importance to develop a simple screening method for identifying systolic dysfunction of the heart based on available biosignals, [...] Read more.
Background and Objectives: Given the non-specificity of symptoms and complex methods for diagnosing heart failure, which are not applicable in screening, it is of great importance to develop a simple screening method for identifying systolic dysfunction of the heart based on available biosignals, one of which is a single-channel electrocardiogram (ECG). The method does not require the participation of medical staff. Aim: To create a screening model for detecting left ventricular systolic dysfunction in a complex analysis of single-channel ECG parameters using machine learning algorithms Methods: We included 624 patients aged 18 to 90 years. All patients underwent echocardiography and single-channel I-lead ECG recording using a portable electrocardiograph. The left ventricle ejection fraction (LV EF) was determined in the apical 2-chamber and 4-chamber view using the BIPLANE Simpson method and confirmed by two independent experts. Single-channel ECG analysis was performed using advanced signal processing and machine learning techniques. Results: For identifying LV EF below 52% in men and below 54% in women, the best result was demonstrated by “Lasso regression”: sensitivity 79.2%, specificity 81.7%, AUC = 0.849. For detection of LVEF below 40%, the “Extra Trees” model was the best, with a sensitivity of 83.1% and a specificity of 82.7%, AUC = 0.972. External testing of the algorithm was conducted on a sample of 600 patients. The accuracy was 98%, specificity 98.4%, and sensitivity 93.5%. Conclusions: The results indicate quite high diagnostic accuracy of screening for left ventricular systolic dysfunction when analyzing single-channel ECG parameters using modern signal processing and machine learning technologies. Full article
(This article belongs to the Section Machine Learning and Artificial Intelligence in Diagnostics)
Show Figures

Graphical abstract

16 pages, 317 KB  
Review
Artificial Intelligence-Driven Integration of ECG and Molecular Biomarkers in Pulmonary Embolism
by Bojana Uzelac and Sanja Stanković
Int. J. Mol. Sci. 2026, 27(2), 813; https://doi.org/10.3390/ijms27020813 - 14 Jan 2026
Viewed by 331
Abstract
Pulmonary embolism (PE) is a serious cardiovascular condition and the third leading cause of cardiovascular mortality worldwide. However, its clinical presentation is often non-specific, making timely detection challenging. Biomarkers are commonly used to support early diagnosis and risk stratification. Molecular biomarkers provide information [...] Read more.
Pulmonary embolism (PE) is a serious cardiovascular condition and the third leading cause of cardiovascular mortality worldwide. However, its clinical presentation is often non-specific, making timely detection challenging. Biomarkers are commonly used to support early diagnosis and risk stratification. Molecular biomarkers provide information related to coagulation, inflammation, and cardiac injury. Electrocardiography (ECG) reflects cardiac functional changes caused by right ventricular (RV) stress and dilation secondary to increased pulmonary vascular resistance. Individually, these biomarkers have limited diagnostic accuracy. A promising approach to improving PE management involves integrating multimodal clinical data using Artificial Intelligence (AI). AI-based models can detect subtle patterns in ECG signals and molecular biomarker profiles that may be missed by conventional analysis. Combining these data sources may enhance diagnostic accuracy, refine risk assessment, and support personalized treatment. Despite ongoing challenges, including data quality, interpretability, and ethical considerations, AI-driven integration of ECG and molecular biomarkers represents a significant step forward in PE diagnosis and management. Further validation in large, prospective clinical studies is required. Full article
(This article belongs to the Special Issue Molecular Biomarkers for Targeted Therapies)
Show Figures

Graphical abstract

17 pages, 3529 KB  
Article
Study on Multimodal Sensor Fusion for Heart Rate Estimation Using BCG and PPG Signals
by Jisheng Xing, Xin Fang, Jing Bai, Luyao Cui, Feng Zhang and Yu Xu
Sensors 2026, 26(2), 548; https://doi.org/10.3390/s26020548 - 14 Jan 2026
Viewed by 285
Abstract
Continuous heart rate monitoring is crucial for early cardiovascular disease detection. To overcome the discomfort and limitations of ECG in home settings, we propose a multimodal temporal fusion network (MM-TFNet) that integrates ballistocardiography (BCG) and photoplethysmography (PPG) signals. The network extracts temporal features [...] Read more.
Continuous heart rate monitoring is crucial for early cardiovascular disease detection. To overcome the discomfort and limitations of ECG in home settings, we propose a multimodal temporal fusion network (MM-TFNet) that integrates ballistocardiography (BCG) and photoplethysmography (PPG) signals. The network extracts temporal features from BCG and PPG signals through temporal convolutional networks (TCNs) and bidirectional long short-term memory networks (BiLSTMs), respectively, achieving cross-modal dynamic fusion at the feature level. First, bimodal features are projected into a unified dimensional space through fully connected layers. Subsequently, a cross-modal attention weight matrix is constructed for adaptive learning of the complementary correlation between BCG mechanical vibration and PPG volumetric flow features. Combined with dynamic focusing on key heartbeat waveforms through multi-head self-attention (MHSA), the model’s robustness under dynamic activity states is significantly enhanced. Experimental validation using a publicly available BCG-PPG-ECG simultaneous acquisition dataset comprising 40 subjects demonstrates that the model achieves excellent performance with a mean absolute error (MAE) of 0.88 BPM in heart rate prediction tasks, outperforming current mainstream deep learning methods. This study provides theoretical foundations and engineering guidance for developing contactless, low-power, edge-deployable home health monitoring systems, demonstrating the broad application potential of multimodal fusion methods in complex physiological signal analysis. Full article
(This article belongs to the Section Biomedical Sensors)
Show Figures

Figure 1

15 pages, 1040 KB  
Article
A Novel ECG Score for Predicting Left Ventricular Systolic Dysfunction in Stable Angina: A Pilot Study
by Nadir Emlek, Hüseyin Durak, Mustafa Çetin, Ali Gökhan Özyıldız, Elif Ergül, Ahmet Seyda Yılmaz and Hakan Duman
Diagnostics 2026, 16(2), 237; https://doi.org/10.3390/diagnostics16020237 - 12 Jan 2026
Viewed by 198
Abstract
Background: Left ventricular systolic dysfunction (LVSD) is a major determinant of prognosis in patients with ischemic heart disease. Electrocardiography (ECG) is widely available, inexpensive, and may aid in identifying patients at risk. We hypothesized that a composite score derived from multiple established ECG [...] Read more.
Background: Left ventricular systolic dysfunction (LVSD) is a major determinant of prognosis in patients with ischemic heart disease. Electrocardiography (ECG) is widely available, inexpensive, and may aid in identifying patients at risk. We hypothesized that a composite score derived from multiple established ECG markers could improve the detection of LVSD in patients with stable angina. Methods: In this single-center, cross-sectional study, 177 patients undergoing elective coronary angiography for stable angina were included. Patients were classified as LVSD-negative (n = 123) or LVSD-positive (n = 54) based on echocardiographic ejection fraction. ECG parameters, including fragmented QRS, pathologic Q waves, R-wave peak time, QRS duration, and frontal QRS–T angle, were assessed. Independent predictors of LVSD were identified using multivariate logistic regression. A composite ECG score was constructed by assigning one point to each abnormal parameter. Model robustness was evaluated using bootstrap resampling (1000 iterations) and 10-fold cross-validation. Results: Multivariable analysis identified prior stent implantation, fragmented QRS, pathological Q waves, R-wave peak time, frontal QRS–T angle (log-transformed), and QRS duration as independent predictors of LVSD. ROC analysis demonstrated good discriminatory performance for R-wave peak time (AUC 0.804), QRS duration (AUC 0.649), and frontal QRS–T angle (AUC 0.825) measurements. The composite ECG score showed a stepwise association with LVSD: a score of ≥2 yielded high sensitivity (88%) and negative predictive value (97%), whereas a score of ≥3 provided high specificity (100%) and positive predictive value (100%). Bootstrap resampling and cross-validation confirmed model stability and strong discriminatory performance (mean AUC, 0.964; accuracy, 0.91). Conclusions: A simple composite ECG score integrating multiple established ECG markers is associated with the robust detection of LVSD in patients with stable angina. Although not a substitute for echocardiography, this score may support early risk stratification and help identify patients who warrant further imaging evaluations. External validation in larger and more diverse populations is required before routine clinical implementation of this model. Full article
(This article belongs to the Special Issue Clinical Diagnosis and Management in Cardiology)
Show Figures

Figure 1

28 pages, 4481 KB  
Article
Smart Steering Wheel Prototype for In-Vehicle Vital Sign Monitoring
by Branko Babusiak, Maros Smondrk, Lubomir Trpis, Tomas Gajdosik, Rudolf Madaj and Igor Gajdac
Sensors 2026, 26(2), 477; https://doi.org/10.3390/s26020477 - 11 Jan 2026
Viewed by 437
Abstract
Drowsy driving and sudden medical emergencies are major contributors to traffic accidents, necessitating continuous, non-intrusive driver monitoring. Since current technologies often struggle to balance accuracy with practicality, this study presents the design, fabrication, and validation of a smart steering wheel prototype. The device [...] Read more.
Drowsy driving and sudden medical emergencies are major contributors to traffic accidents, necessitating continuous, non-intrusive driver monitoring. Since current technologies often struggle to balance accuracy with practicality, this study presents the design, fabrication, and validation of a smart steering wheel prototype. The device integrates dry-contact electrocardiogram (ECG), photoplethysmography (PPG), and inertial sensors to facilitate multimodal physiological monitoring. The system underwent a two-stage evaluation involving a single participant: laboratory validation benchmarking acquired signals against medical-grade equipment, followed by real-world testing in a custom electric research vehicle to assess performance under dynamic conditions. Laboratory results demonstrated that the prototype captured high-quality signals suitable for reliable heart rate variability analysis. Furthermore, on-road evaluation confirmed the system’s operational functionality; despite increased noise from motion artifacts, the ECG signal remained sufficiently robust for continuous R-peak detection. These findings confirm that the multimodal smart steering wheel is a feasible solution for unobtrusive driver monitoring. This integrated platform provides a solid foundation for developing sophisticated machine-learning algorithms to enhance road safety by predicting fatigue and detecting adverse health events. Full article
(This article belongs to the Section Electronic Sensors)
Show Figures

Figure 1

35 pages, 1875 KB  
Review
FPGA-Accelerated ECG Analysis: Narrative Review of Signal Processing, ML/DL Models, and Design Optimizations
by Laura-Ioana Mihăilă, Claudia-Georgiana Barbura, Paul Faragó, Sorin Hintea, Botond Sandor Kirei and Albert Fazakas
Electronics 2026, 15(2), 301; https://doi.org/10.3390/electronics15020301 - 9 Jan 2026
Viewed by 325
Abstract
Recent advances in deep learning have had a significant impact on biomedical applications, driving precise actions in automated diagnostic processes. However, integrating neural networks into medical devices requires meeting strict requirements regarding computing power, energy efficiency, reconfigurability, and latency, essential conditions for real-time [...] Read more.
Recent advances in deep learning have had a significant impact on biomedical applications, driving precise actions in automated diagnostic processes. However, integrating neural networks into medical devices requires meeting strict requirements regarding computing power, energy efficiency, reconfigurability, and latency, essential conditions for real-time inference. Field-Programmable Gate Array (FPGA) architectures provide a high level of flexibility, performance, and parallel execution, thus making them a suitable option for the real-world implementation of machine learning (ML) and deep learning (DL) models in systems dedicated to the analysis of physiological signals. This paper presents a review of intelligent algorithms for electrocardiogram (ECG) signal classification, including Support Vector Machines (SVMs), Artificial Neural Networks (ANNs), Recurrent Neural Networks (RNNs), Long Short-Term Memory Networks (LSTMs), and Convolutional Neural Networks (CNNs), which have been implemented on FPGA platforms. A comparative evaluation of the performances of these hardware-accelerated solutions is provided, focusing on their classification accuracy. At the same time, the FPGA families used are analyzed, along with the reported performances in terms of operating frequency, power consumption, and latency, as well as the optimization strategies applied in the design of deep learning hardware accelerators. The conclusions emphasize the popularity and efficiency of CNN architectures in the context of ECG signal classification. The study aims to offer a current overview and to support specialists in the field of FPGA design and biomedical engineering in the development of accelerators dedicated to physiological signals analysis. Full article
(This article belongs to the Special Issue Emerging Biomedical Electronics)
Show Figures

Figure 1

28 pages, 3293 KB  
Article
Assessment of Potential Predictors of Aortic Stenosis Severity Using ECG-Gated Multidetector CT in Patients with Bicuspid and Tricuspid Aortic Valves Prior to TAVI
by Piotr Machowiec, Piotr Przybylski and Elżbieta Czekajska-Chehab
J. Clin. Med. 2026, 15(2), 551; https://doi.org/10.3390/jcm15020551 - 9 Jan 2026
Viewed by 267
Abstract
Background/Objectives: The aim of this study was to evaluate the usefulness of selected predictive parameters obtainable from cardiac multidetector computed tomography for assessing the severity of aortic valve stenosis in patients scheduled for transcatheter aortic valve implantation (TAVI). Methods: A detailed [...] Read more.
Background/Objectives: The aim of this study was to evaluate the usefulness of selected predictive parameters obtainable from cardiac multidetector computed tomography for assessing the severity of aortic valve stenosis in patients scheduled for transcatheter aortic valve implantation (TAVI). Methods: A detailed retrospective analysis was performed on 105 patients with a bicuspid aortic valve (BAV), selected from a cohort of 1000 patients with BAV confirmed on ECG-gated CT, and on 105 patients with a tricuspid aortic valve (TAV) matched for sex and age. All patients included in both groups had significant aortic stenosis confirmed on transthoracic echocardiography. Results: Across the entire cohort, a trend toward higher aortic valve calcium scores was observed in patients with bicuspid compared to tricuspid aortic valves (4194.8 ± 2748.7 vs. 3335.0 ± 1618.8), although this difference did not reach statistical significance (p = 0.080). However, sex-stratified analysis showed higher calcium scores in males with BAV than with TAV (5596.8 ± 2936.6 vs. 4061.4 ± 1659.8, p = 0.002), with no significant difference observed among females (p > 0.05). Univariate regression analysis showed that the aortic valve calcium score was the strongest statistically significant predictor of aortic stenosis severity in both groups, with R2 = 0.224 for BAV and R2 = 0.479 for TAV. In the multiple regression model without interaction terms, the explanatory power increased to R2 = 0.280 for BAV and R2 = 0.495 for TAV. Conclusions: In patients scheduled for TAVI, linear regression models assess the severity of aortic stenosis more accurately than any individual predictive parameter obtainable from ECG-CT, with the aortic valve Agatston score emerging as the most reliable single CT-derived predictor of stenosis severity in both TAV and BAV subgroups. Full article
(This article belongs to the Special Issue Advances in Cardiovascular Computed Tomography (CT))
Show Figures

Figure 1

Back to TopTop