Sign in to use this feature.

Years

Between: -

Subjects

remove_circle_outline
remove_circle_outline
remove_circle_outline
remove_circle_outline
remove_circle_outline
remove_circle_outline
remove_circle_outline
remove_circle_outline
remove_circle_outline

Journals

Article Types

Countries / Regions

Search Results (113)

Search Parameters:
Keywords = Design of BIPVs

Order results
Result details
Results per page
Select all
Export citation of selected articles as:
18 pages, 3654 KB  
Article
Evaluation of the Performance of a Building-Attached Photovoltaic Panel on Different Orientations in Ibarra—Ecuador
by Luis H. Álvarez-Játiva, Nelson R. Imbaquingo-Chasiguano, Juan P. Romero-Astudillo, Juan Guamán-Tabango and Juan García-Montoya
Energies 2026, 19(7), 1666; https://doi.org/10.3390/en19071666 (registering DOI) - 28 Mar 2026
Abstract
Building-Integrated and Building-Attached Photovoltaic (BIPV/BAPV) systems are increasingly being adopted in metropolitan areas worldwide, driven by international commitments to reduce greenhouse gas emissions and the declining cost of PV technology. A promising application involves the vertical integration of PV panels into building facades, [...] Read more.
Building-Integrated and Building-Attached Photovoltaic (BIPV/BAPV) systems are increasingly being adopted in metropolitan areas worldwide, driven by international commitments to reduce greenhouse gas emissions and the declining cost of PV technology. A promising application involves the vertical integration of PV panels into building facades, which offers architectural and energy benefits, particularly in urban environments with limited roof space. This study experimentally evaluates the energy behavior of 12 vertically mounted 5 W PV panels (model SP005P) installed on university buildings in Ibarra, Ecuador, across four azimuth orientations (−135° SE, −45° NE, 45° NW, 135° SW). A continuous 8-month monitoring campaign was conducted using a custom-designed Arduino-based data logger, validated with multimeter measurements (error < 5%). The dataset was used to develop MATLAB version 2025b forecasting models based on Sum-of-Sine functions, achieving R2 values between 0.83 and 0.98 and RMSE values between 0.024 and 0.082 W. The 45° (NW) orientation achieved the highest annual energy yield of 48% STC, reaching up to ≈440 kWh/kWp in the best-performing facade, while 135° (SW) also exhibited favorable performance compared with the northeast and southeast orientations. These findings provide significant evidence for facade-integrated PV design in equatorial latitudes, offering performance benchmarks and validated forecasting tools that can support architectural planning, BIPV feasibility analysis, and urban solar-energy strategies in regions with similar conditions. Full article
Show Figures

Figure 1

16 pages, 5087 KB  
Article
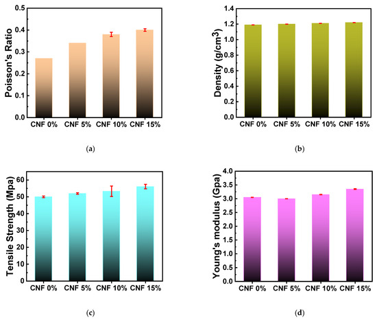
Eco-Friendly and Structurally Efficient Photovoltaic Modules with Transparent Bio-Based Epoxy and CNF Composite Back-Sheets for BIPV Applications
by Chanyong Lee, Yohan Noh, Hangoo Cho and Jaehyeong Lee
Energies 2026, 19(4), 983; https://doi.org/10.3390/en19040983 - 13 Feb 2026
Viewed by 269
Abstract
Building-integrated photovoltaic (BIPV) systems require photovoltaic modules that simultaneously ensure structural reliability, optical transparency, and environmental sustainability. Conventional photovoltaic modules typically employ tempered glass as the front cover, which offers excellent optical performance but suffers from inherent drawbacks, including high density, brittleness, and [...] Read more.
Building-integrated photovoltaic (BIPV) systems require photovoltaic modules that simultaneously ensure structural reliability, optical transparency, and environmental sustainability. Conventional photovoltaic modules typically employ tempered glass as the front cover, which offers excellent optical performance but suffers from inherent drawbacks, including high density, brittleness, and limited design flexibility for BIPV applications. In this study, a glass-free photovoltaic module architecture is proposed, consisting of a transparent bio-based epoxy front cover and a mechanically reinforced cellulose nanofiber (CNF)/bio-based epoxy composite back-sheet. The mechanical properties of CNF/bio-based epoxy composites with CNF contents ranging from 0 to 15 wt% were systematically investigated, and the optical transmittance of the transparent bio-based epoxy was evaluated in comparison with conventional tempered glass. Structural reliability was assessed through finite element analysis under a static mechanical load of 5400 Pa, in accordance with IEC 61215 standards. In addition, the electrical performance of the proposed glass-free module was experimentally compared with that of a conventional glass-based module using identical shingled solar cells. The results reveal that CNF incorporation significantly enhances the stiffness and strength of the bio-based epoxy composite while inducing only a marginal increase in density. Under the IEC mechanical load condition, the glass-free module exhibited up to a 72% reduction in total deformation compared to the conventional glass-based module, demonstrating substantially improved structural efficiency. The transparent bio-based epoxy front layer maintained over 90% optical transmittance in the visible wavelength range at practical thicknesses of 1.0–1.5 mm, comparable to that of 3.2 mm tempered glass. Furthermore, the glass-free module preserved electrical performance, showing less than a 1% difference in maximum power output and stable current–voltage characteristics relative to the reference module. Overall, this study demonstrates that CNF/bio-based epoxy glass-free photovoltaic modules can achieve enhanced structural reliability without compromising optical transparency or electrical performance, highlighting their potential as sustainable and structurally efficient alternatives for next-generation BIPV applications. Full article
(This article belongs to the Section A2: Solar Energy and Photovoltaic Systems)
Show Figures

Figure 1

47 pages, 2718 KB  
Review
A Systematic Review of the Scalability of Building-Integrated Photovoltaics from a Multidisciplinary Perspective
by Baitong Li, Dian Zhou, Mengyuan Zhou, Duo Xu, Qian Zhang, Yingtao Qi, Zongzhou Zhu and Yujun Yang
Buildings 2026, 16(2), 332; https://doi.org/10.3390/buildings16020332 - 13 Jan 2026
Viewed by 361
Abstract
Over the past two decades, Building-Integrated Photovoltaics (BIPV) has become a core technology in the green building sector, driven by global carbon-neutrality goals and the growing demand for sustainable design. This review adopts a scalability-oriented perspective and systematically examines 82 peer-reviewed articles published [...] Read more.
Over the past two decades, Building-Integrated Photovoltaics (BIPV) has become a core technology in the green building sector, driven by global carbon-neutrality goals and the growing demand for sustainable design. This review adopts a scalability-oriented perspective and systematically examines 82 peer-reviewed articles published between 2001 and 2025. The results indicate that existing research is dominated by studies on electrical and thermal performance, with East Asia and Europe—particularly China, Japan, and Germany—emerging as the most active regions. This dominance matters for scalability because real projects must satisfy comfort, compliance, buildability, and operation/maintenance constraints alongside energy yield; limited evidence in these dimensions increases delivery risk when transferring solutions across regions and building types. Accordingly, we interpret the observed distribution as an evidence-maturity pattern: performance gains are increasingly well characterized, whereas deployment-relevant uncertainties (e.g., boundary-condition sensitivity and validation depth) remain less consistently reported. Multidimensional integration of thermal, optical, and electrical functions is gaining momentum; however, user-centered performance dimensions remain underexplored. Simulation-based approaches still prevail, whereas large-scale empirical studies are limited. The review also reveals extensive interdisciplinary collaboration but also identifies a notable lack of architectural perspectives. Using Biblioshiny, this study maps co-authorship networks and research structures. Based on the evidence, we propose future research directions to enhance the practical scalability of BIPV, including strengthening interdisciplinary integration, expanding empirical validation, and developing product-level design strategies. Full article
(This article belongs to the Special Issue Carbon-Neutral Pathways for Urban Building Design)
Show Figures

Figure 1

29 pages, 3429 KB  
Article
Integrating Eco-Design and a Building-Integrated Photovoltaic (BIPV) System for Achieving Net Zero Energy Building for a Hot–Dry Climate
by Mohamed Ouazzani Ibrahimi, Abdelali Mana, Samir Idrissi Kaitouni and Abdelmajid Jamil
Buildings 2025, 15(24), 4538; https://doi.org/10.3390/buildings15244538 - 16 Dec 2025
Viewed by 850
Abstract
Despite growing interest in positive-energy and net-zero-energy buildings (NZEBs), few studies have addressed the integration of biobased construction with building-integrated photovoltaics (BIPV) under hot–dry climate conditions, particularly in Morocco and North Africa. This study fills this gap by presenting a simulation-based evaluation of [...] Read more.
Despite growing interest in positive-energy and net-zero-energy buildings (NZEBs), few studies have addressed the integration of biobased construction with building-integrated photovoltaics (BIPV) under hot–dry climate conditions, particularly in Morocco and North Africa. This study fills this gap by presenting a simulation-based evaluation of energy performance and renewable energy integration strategies for a residential building in the Fes-Meknes region. Two structural configurations were compared using dynamic energy simulations in DesignBuilder/EnergyPlus, that is, a conventional concrete brick model and an eco-constructed alternative based on biobased wooden materials. Thus, the wooden construction reduced annual energy consumption by 33.3% and operational CO2 emissions by 50% due to enhanced thermal insulation and moisture-regulating properties. Then multiple configurations of the solar energy systems were analysed, and an optimal hybrid off-grid hybrid system combining rooftop photovoltaic, BIPV, and lithium-ion battery storage achieved a 100% renewable energy fraction with an annual output of 12,390 kWh. While the system incurs a higher net present cost of $45,708 USD, it ensures full grid independence, lowers the electricity cost to $0.70/kWh, and improves occupant comfort. The novelty of this work lies in its integrated approach, which combines biobased construction, lifecycle-informed energy modelling, and HOMER-optimised PV/BIPV systems tailored to a hot, dry climate. The study provides a replicable framework for designing NZEBs in Morocco and similar arid regions, supporting the low-carbon transition and informing policy, planning, and sustainable construction strategies. Full article
(This article belongs to the Section Building Energy, Physics, Environment, and Systems)
Show Figures

Figure 1

22 pages, 1760 KB  
Article
Modeling Energy Storage Systems for Cooperation with PV Installations in BIPV Applications
by Grzegorz Trzmiel, Damian Głuchy, Stanisław Mikulski, Nikodem Sowinski and Leszek Kasprzyk
Energies 2025, 18(24), 6546; https://doi.org/10.3390/en18246546 - 14 Dec 2025
Viewed by 498
Abstract
The main objective of this article is to model, simulate, and analyze the interaction of energy storage systems with BIPV installations. Currently, due to the instability of energy generation, the economic challenges of integrating PV installations into the electricity grid, and the desire [...] Read more.
The main objective of this article is to model, simulate, and analyze the interaction of energy storage systems with BIPV installations. Currently, due to the instability of energy generation, the economic challenges of integrating PV installations into the electricity grid, and the desire to increase self-consumption, energy storage facilities are becoming increasingly popular. Subsidy programs most often favor PV installations, including BIPV, that work with energy storage devices. Therefore, there is a justified need to model energy storage devices for use with BIPV. The article describes the rationale for the benefits of using energy storage systems within current billing models, using Poland as an example. The introduction also provides an overview of the most popular energy storage technologies compatible with renewable energy installations. To achieve these objectives, appropriate system solutions were designed in the MATLAB environment and used to perform simulations, taking into account variable energy demand. An economic analysis of the system’s operation was conducted using a prosumer net-billing model, and adjustments were made to the system configuration. It has been shown that the use of appropriate energy storage solutions, cooperating with photovoltaic installations, allows for increased self-consumption and more efficient management of electricity obtained in BIPV, which has a positive impact on the payback time and economic profits. The analysis method used and the results obtained are true for the assumed known load profile; however, the method can be successfully applied to various load profiles. Full article
Show Figures

Figure 1

32 pages, 5802 KB  
Article
Research on a Comprehensive Performance Analysis Method for Building-Integrated Photovoltaics Considering Global Climate Change
by Ran Wang, Caibo Tang, Yuge Ma, Shilei Lu and Quanyi Lin
Buildings 2025, 15(24), 4463; https://doi.org/10.3390/buildings15244463 - 10 Dec 2025
Viewed by 564
Abstract
Building-integrated photovoltaics (BIPVs) represent a pivotal technology for enhancing the utilization of renewable energy in buildings. However, challenges persist, including the lack of integrated design models, limited analytical dimensions, and insufficient consideration of climate change impacts. This study proposes a comprehensive performance assessment [...] Read more.
Building-integrated photovoltaics (BIPVs) represent a pivotal technology for enhancing the utilization of renewable energy in buildings. However, challenges persist, including the lack of integrated design models, limited analytical dimensions, and insufficient consideration of climate change impacts. This study proposes a comprehensive performance assessment framework for BIPV that incorporates global climate change factors. An integrated simulation model is developed using EnergyPlus8.9.0, Optics6, and WINDOW7.7 to evaluate BIPV configurations such as photovoltaic facades, shading systems, and roofs. A multi-criteria evaluation system is established, encompassing global warming potential (GWP), power generation, energy flexibility, and economic cost. Future hourly weather data for the 2050s and 2080s are generated using CCWorldWeatherGen under representative climate scenarios. Monte Carlo simulations are conducted to assess performance across variable combinations, supplemented by sensitivity and uncertainty analyses to identify key influencing factors. Results indicate (1) critical design parameters—including building orientation, wall thermal absorptance, window-to-wall ratios, PV shading angle, glazing optical properties, equipment and lighting power density, and occupancy—significantly affect overall performance. Equipment and lighting densities most influence carbon emissions and flexibility, whereas envelope thermal properties dominate cost impacts. PV shading outperforms other forms in power generation. (2) Under intensified climate change, GWP and life cycle costs increase, while energy flexibility declines, imposing growing pressure on system performance. However, under certain mid-century climate conditions, BIPV power generation potential improves due to altered solar radiation. The study recommends integrating climate-adaptive design strategies with energy systems such as PEDF (photovoltaic, energy storage, direct current, and flexibility), refining policy mechanisms, and advancing BIPV deployment with climate-resilient approaches to support building decarbonization and enhance adaptive capacity. Full article
Show Figures

Figure 1

7 pages, 857 KB  
Communication
Multilayer Haze-Assisted Luminescent Solar Concentrators for Enhanced Photovoltaic Performance
by Jae-Jin Lee, Tae-Woong Moon, Dong-Ha Kim and Suk-Won Choi
Materials 2025, 18(23), 5422; https://doi.org/10.3390/ma18235422 - 1 Dec 2025
Viewed by 458
Abstract
Building-integrated photovoltaics (BIPVs) can benefit not only from transparent but also from opaque modules that maximize light capture. We present haze-assisted luminescent solar concentrators (HALSCs) that integrate scattering and luminescence in multilayer designs. Polymer–liquid crystal composites with embedded dyes form micron-scale domains that [...] Read more.
Building-integrated photovoltaics (BIPVs) can benefit not only from transparent but also from opaque modules that maximize light capture. We present haze-assisted luminescent solar concentrators (HALSCs) that integrate scattering and luminescence in multilayer designs. Polymer–liquid crystal composites with embedded dyes form micron-scale domains that act as broadband Mie scattering centers, while the dye provides spectral conversion. Monte Carlo ray-tracing simulations and experiments reveal that edge-emitted intensity increases with haze thickness but saturates beyond a threshold; segmenting the same thickness into multiple thinner layers enables repeated scattering, markedly enhancing side-guided emission. When coupled with crystalline silicon solar cells, multilayer HALSCs converted this optical advantage into enhanced photocurrent, with triple-layer devices nearly doubling output relative to transparent controls. These findings establish opacity–luminescence coupling and multilayer haze engineering as effective design principles, positioning HALSCs as practical platforms for advanced BIPVs and optical energy-management systems. Full article
(This article belongs to the Special Issue Advances in Electronic and Photonic Materials)
Show Figures

Figure 1

25 pages, 1209 KB  
Systematic Review
Design Strategies for Building-Integrated Photovoltaics in High-Rise Buildings: A Systematic Review
by Sanobar Hamidi and Omar S. Asfour
Architecture 2025, 5(4), 118; https://doi.org/10.3390/architecture5040118 - 26 Nov 2025
Cited by 1 | Viewed by 2126
Abstract
This systematic review examined the use of building-integrated photovoltaics (BIPVs) in high-rise buildings, focusing on early-stage design strategies to enhance energy performance. With limited rooftop space in tall buildings, façades offer a promising alternative for solar energy generation. Using the PRISMA framework, 41 [...] Read more.
This systematic review examined the use of building-integrated photovoltaics (BIPVs) in high-rise buildings, focusing on early-stage design strategies to enhance energy performance. With limited rooftop space in tall buildings, façades offer a promising alternative for solar energy generation. Using the PRISMA framework, 41 articles were synthesized to identify key parameters influencing the effectiveness of BIPV systems. This included environmental and urban contexts, building form and orientation, façade configuration, and typology-specific characteristics for residential, office, and mixed-use buildings. The findings highlight the importance of integrating BIPV from the earliest stages of the design process. Local climate and latitude guide optimal façade orientation and form, while module efficiency can be improved with ventilation, air gaps, and appropriate spacing. Urban density, site placement, and shading patterns also significantly affect overall energy output. Podiums and multifaceted building forms enhance solar exposure and reduce self-shading, while building height, orientation, and spacing further influence BIPV potential. Different building types require tailored strategies to balance energy generation, daylight, and architectural quality. Finally, the review identified research gaps and proposed future directions to support architects, designers, and urban planners in effectively incorporating photovoltaic systems into high-rise building design. Full article
Show Figures

Figure 1

33 pages, 9479 KB  
Article
Numerical Simulation Study on the Energy Benefits and Environmental Impacts of BIPV Installation Configurations and Positions at the Street Canyon Scale
by Minghua Huang, Kuan Chen, Fangxiong Wang and Junhui Liao
Buildings 2025, 15(20), 3692; https://doi.org/10.3390/buildings15203692 - 14 Oct 2025
Cited by 1 | Viewed by 706
Abstract
Building-integrated photovoltaic (BIPV) systems play a pivotal role in advancing low-carbon urban transformation. However, replacing conventional building envelope materials with photovoltaic (PV) panels modifies heat transfer processes and airflow patterns, potentially influencing urban environmental quality. This study examines the impacts of BIPV on [...] Read more.
Building-integrated photovoltaic (BIPV) systems play a pivotal role in advancing low-carbon urban transformation. However, replacing conventional building envelope materials with photovoltaic (PV) panels modifies heat transfer processes and airflow patterns, potentially influencing urban environmental quality. This study examines the impacts of BIPV on building energy efficiency, PV system performance, and street canyon micro-climates, including airflow, temperature distribution, and pollutant dispersion, under perpendicular wind speeds ranging from 0.5 to 4 m/s, across three installation configurations and three installation positions. Results indicate that rooftop PV panels outperform facade-mounted systems in power generation. Ventilated PV configurations achieve optimal energy production and thermal insulation, thereby reducing building cooling loads and associated electricity consumption. Moreover, BIPV installations enhance street canyon ventilation, improving pollutant removal rates: ventilation rates increased by 1.43 times (rooftop), 3.02 times (leeward facade), and 2.09 times (windward facade) at 0.5 m/s. Correspondingly, canyon-averaged pollutant concentrations decreased by 30.1%, 87.7%, and 85.9%, respectively. However, the introduction of facade PV panels locally reduces pedestrian thermal comfort, particularly under low wind conditions, but this negative effect is significantly alleviated with increasing wind speed. To quantitatively evaluate BIPV-induced micro-climatic impacts, this study introduces the Pollutant-Weighted Air Exchange Rate (PACH)—a metric that weights the air exchange rate by pollutant concentration—providing a more precise indicator for evaluating micro-environmental changes. These findings offer quantitative evidence to guide urban-scale BIPV deployment, supporting the integration of renewable energy systems into sustainable urban design. Full article
(This article belongs to the Section Building Energy, Physics, Environment, and Systems)
Show Figures

Graphical abstract

25 pages, 2582 KB  
Article
Digitized Energy Systems and Open-Access Platforms: Accelerating Cities’ Transition to Carbon Neutrality
by Ilias K. Kasmeridis, Nikolaos Skandalos, Tsampika Dimitriou, Vassilios V. Dimakopoulos and Dimitrios Karamanis
Urban Sci. 2025, 9(9), 364; https://doi.org/10.3390/urbansci9090364 - 10 Sep 2025
Cited by 2 | Viewed by 1882
Abstract
Urban environments encounter urgent challenges in transitioning to net-zero emissions, particularly with respect to the adoption and large-scale incorporation of renewable energy solutions such as photovoltaic (PV) technologies. This study explores the interrelation of digitized energy systems, digital twins, and open-access platforms in [...] Read more.
Urban environments encounter urgent challenges in transitioning to net-zero emissions, particularly with respect to the adoption and large-scale incorporation of renewable energy solutions such as photovoltaic (PV) technologies. This study explores the interrelation of digitized energy systems, digital twins, and open-access platforms in accelerating effective PV deployment in cities moving toward carbon neutrality. We examine how digital tools can enhance PV performance, demand-side management, and grid integration, while open-access platforms contribute to data sharing, raising awareness, public engagement, and stakeholder collaboration. We also present BIPV-city—a novel, open-access, digital, and climate-aware platform developed to support and optimize PV integration in building and urban areas. Validations of the solar irradiance calculations against PVGIS for several European cities exhibit a strong agreement, with a root mean square error (RMSE) extending from 3.3 to 7.6. The validation of the standardized BESTEST Case 600 against TRNSYS simulations for three representative climates—Athens, Prague, and Dubai—with tilt variations confirmed substantial alignment for plane-of-array (POA) radiation (within ±2% and ±6% for the global and direct/diffuse components, respectively) and annual PV yield estimations (within ±10%). The findings highlight that the BIPV-city platform is a reliable, user-friendly tool that can harness climate-responsible and scalable BIPV deployment in the built environment through digital innovation. Full article
Show Figures

Figure 1

23 pages, 3836 KB  
Article
Integration of PV Systems in Urban Environments: Complementary Metrics to Analyze Their Performance
by Carlos Gilabert-Torres, Leocadio Hontoria-García, Juan Ignacio Fernández-Carrasco, Adel Mellit and Catalina Rus-Casas
Energies 2025, 18(16), 4411; https://doi.org/10.3390/en18164411 - 19 Aug 2025
Cited by 1 | Viewed by 1134
Abstract
The decarbonization of the energy sector drives the implementation of building-integrated and building-applied photovoltaic (BIPV–BAPV) systems. However, these systems face space and design limitations in urban environments. This study proposes an innovative methodology for the design and sizing of urban photovoltaic systems, considering [...] Read more.
The decarbonization of the energy sector drives the implementation of building-integrated and building-applied photovoltaic (BIPV–BAPV) systems. However, these systems face space and design limitations in urban environments. This study proposes an innovative methodology for the design and sizing of urban photovoltaic systems, considering diverse distributions and introducing metrics that link performance to occupied area. The methodology was applied to a university building in southern Spain, comparing the performance of rooftop photovoltaic (RTPV) and facade-applied photovoltaic (FAPV) systems. FAPV showed a larger useful area, resulting in similar self-sufficiency indices (RTPV: 22%, FAPV: 21%) and a 5% higher total emission reduction compared to the RTPV system. The proposed metrics demonstrate that FAPV outperforms RTPV both in final yield (49 vs. 21 kWh/kWp·m2) and total emission reduction (3.1 vs. 1.3 kgCO2eq/kWp·m2) normalized by installed power and occupied area. These complementary metrics are crucial for evaluating and selecting optimal photovoltaic configurations with varying generation densities and efficiencies, driving urban decarbonization and the creation of Zero Energy Buildings (ZEBs). Full article
(This article belongs to the Special Issue New Trends in Photovoltaic Power System)
Show Figures

Figure 1

20 pages, 6960 KB  
Article
Silicon-Based Solar Brick for Textile Ceramic Technology
by P. Casariego, V. Sarrablo, R. Barrientos and S. Santamaria-Fernandez
Ceramics 2025, 8(3), 106; https://doi.org/10.3390/ceramics8030106 - 15 Aug 2025
Viewed by 1352
Abstract
Recent advances in prefabricated construction have enabled modular systems offering structural performance, rapid assembly, and design flexibility. Textile Ceramic Technology (TCT) integrates ceramic elements within a stainless-steel mesh, creating versatile architectural envelopes for façades, roofs, and pavements. This study investigates the integration of [...] Read more.
Recent advances in prefabricated construction have enabled modular systems offering structural performance, rapid assembly, and design flexibility. Textile Ceramic Technology (TCT) integrates ceramic elements within a stainless-steel mesh, creating versatile architectural envelopes for façades, roofs, and pavements. This study investigates the integration of silicon photovoltaic (PV) modules into TCT to develop an industrialized Building-Integrated Photovoltaics (BIPV) system that maintains energy efficiency and visual coherence. Three full-scale solar brick prototypes are presented, detailing design objectives, experimental results, and conclusions. The first prototype demonstrated the feasibility of scaling small silicon PV units with good efficiency but limited aesthetic integration. The second embedded PV cells within ceramic bricks, improving aesthetics while maintaining electrical performance. Durability tests—including humidity, temperature cycling, wind, and hail impact—confirmed system stability, though structural reinforcement is needed for impact resistance. The third prototype outlines future work focusing on modularity and industrial scalability. Results confirm the technical viability of silicon PV integration in TCT, enabling active façades that generate renewable energy without compromising architectural freedom or aesthetics. This research advances industrialized, sustainable building envelopes that reduce environmental impact through distributed energy generation. Full article
Show Figures

Figure 1

32 pages, 7126 KB  
Article
Switchable Building-Integrated Photovoltaic–Thermal Curtain Wall for Building Integration
by Masoud Valinejadshoubi, Anna-Maria Sigounis, Andreas K. Athienitis and Ashutosh Bagchi
Processes 2025, 13(8), 2512; https://doi.org/10.3390/pr13082512 - 9 Aug 2025
Cited by 1 | Viewed by 1350
Abstract
This study presents a novel switchable multi-inlet Building integrated photovoltaic/thermal (BIPV/T) curtain wall system designed to enhance solar energy utilization in commercial buildings. The system integrates controllable air inlets and motorized dampers that dynamically adjust airflow patterns in response to real-time environmental conditions [...] Read more.
This study presents a novel switchable multi-inlet Building integrated photovoltaic/thermal (BIPV/T) curtain wall system designed to enhance solar energy utilization in commercial buildings. The system integrates controllable air inlets and motorized dampers that dynamically adjust airflow patterns in response to real-time environmental conditions such as solar irradiance, ambient air temperature, and PV panel temperature. A steady-state energy balance model, developed using a thermal network analogy and implemented in Python, was used to simulate winter operation in Montréal, Canada. Three operating modes with different air inlet configurations were assessed to evaluate system performance across variable air velocities and solar conditions. Results indicate that the switchable system improves combined thermal and electrical generation by 2% to 25% compared to fixed one- or two-inlet systems. Under low irradiance and air velocity, one-inlet operation is dominant, while higher solar gain and airflow favor two-inlet configurations. The system demonstrates effective temperature control and enhanced energy yield through optimized airflow management. This work highlights the potential of integrated control strategies and modular façade design in improving the efficiency of solar building envelope systems and offers practical implications for scalable deployment in energy-efficient, heating-dominated climates. Full article
(This article belongs to the Special Issue Design and Optimisation of Solar Energy Systems)
Show Figures

Figure 1

26 pages, 2473 KB  
Article
Strategic Assessment of Building-Integrated Photovoltaics Adoption: A Combined SWOT-AHP Approach
by Mladen Bošnjaković and Robert Santa
Energies 2025, 18(16), 4221; https://doi.org/10.3390/en18164221 - 8 Aug 2025
Cited by 5 | Viewed by 2704
Abstract
The integration of renewable energy technologies into the building sector is critical for achieving climate and energy targets, particularly within the framework of the European Union’s decarbonization policies. Building-integrated photovoltaics (BIPV) offer a promising solution by enabling the dual function of building envelope [...] Read more.
The integration of renewable energy technologies into the building sector is critical for achieving climate and energy targets, particularly within the framework of the European Union’s decarbonization policies. Building-integrated photovoltaics (BIPV) offer a promising solution by enabling the dual function of building envelope components and on-site electricity generation. However, the widespread adoption of BIPV faces significant barriers, including high initial investment costs, design and integration complexity, fragmented standardisation and a shortage of skilled labour. This study systematically identifies, evaluates and prioritises the key factors influencing the implementation of BIPV technologies using a hybrid SWOT (strengths, weaknesses, opportunities, threats) and Analytic Hierarchy Process (AHP) methodology. A comprehensive literature review and a modified Delphi method involving expert input were employed to select and rank the most relevant factors in each SWOT category. The results indicate that external factors—particularly regulatory requirements for energy efficiency, renewable energy adoption and financial incentives—are the most significant drivers for BIPV deployment. Conversely, competition from building-attached photovoltaics (BAPV), high investment costs and the complexity of integration represent the main barriers and threats, compounded by internal weaknesses such as a lack of qualified workforce and fragmented standardisation. The findings underscore the importance of targeted regulatory and financial support, standardisation and workforce development to accelerate BIPV adoption. This research provides a structured decision-making framework for policymakers and stakeholders, supporting strategic planning for the integration of BIPV in the construction sector and contributing to the transition towards sustainable urban energy systems. Full article
(This article belongs to the Special Issue Energy Management and Life Cycle Assessment for Sustainable Energy)
Show Figures

Figure 1

28 pages, 2422 KB  
Article
Reverse Logistics Network Optimization for Retired BIPV Panels in Smart City Energy Systems
by Cimeng Zhou and Shilong Li
Buildings 2025, 15(14), 2549; https://doi.org/10.3390/buildings15142549 - 19 Jul 2025
Cited by 1 | Viewed by 1092
Abstract
Through the energy conversion of building skins, building-integrated photovoltaic (BIPV) technology, the core carrier of the smart city energy system, encourages the conversion of buildings into energy-generating units. However, the decommissioning of the module faces the challenge of physical dismantling and financial environmental [...] Read more.
Through the energy conversion of building skins, building-integrated photovoltaic (BIPV) technology, the core carrier of the smart city energy system, encourages the conversion of buildings into energy-generating units. However, the decommissioning of the module faces the challenge of physical dismantling and financial environmental damage because of the close coupling with the building itself. As the first tranche of BIPV projects will enter the end of their life cycle, it is urgent to establish a multi-dimensional collaborative recycling mechanism that meets the characteristics of building pv systems. Based on the theory of reverse logistics network, the research focuses on optimizing the reverse logistics network during the decommissioning stage of BIPV modules, and proposes a dual-objective optimization model that considers both cost and carbon emissions for BIPV. Meanwhile, the multi-level recycling network which covers “building points-regional transfer stations-specialized distribution centers” is designed in the research, the Pareto solution set is solved by the improved NSGA-II algorithm, a “1 + 1” du-al-core construction model of distribution center and transfer station is developed, so as to minimize the total cost and life cycle carbon footprint of the logistics network. At the same time, the research also reveals the driving effect of government reward and punishment policies on the collaborative behavior of enterprise recycling, and provides methodological support for the construction of a closed-loop supply chain of “PV-building-environment” symbiosis. The study concludes that in the process of constructing smart city energy system, the systematic control of resource circulation and environmental risks through the optimization of reverse logistics network can provide technical support for the sustainable development of smart city. Full article
(This article belongs to the Special Issue Research on Smart Healthy Cities and Real Estate)
Show Figures

Figure 1

Back to TopTop