Modeling Energy Storage Systems for Cooperation with PV Installations in BIPV Applications
Abstract
1. Introduction
1.1. The Role of Energy Storage in Power Systems
1.2. Issues Related to the Design of Energy Storage Facilities
- Insufficiently regulated SEI—the interfacial layer between the electrodes and the electrolyte liquid, which, if sealed (which is a challenge), prevents direct contact between the anode, cathode, and electrolyte.
- Explosion hazard—caused by a spontaneous, self-propelled series of uncontrolled changes that provoke heat generation and ultimately explosion. This phenomenon is known as thermal runaway.
- Battery toxicity related to the internal composition of the electrolytes used in LiPo batteries.
- Recycling, due to the growing demand for batteries in electric mobility and energy storage systems, where 5% of components/devices are recycled.
- Degradation of battery capacity over time, resulting from changes in the electrolyte’s chemical structure.
- Technology is providing an increasing number of possibilities that can provide a platform for solving the above problems. These include [16]:
- use of a nanometric cathode;
- reducing the cathode size through the use of nanostructured material in lithium-ion batteries;
- modifying electrolytes to achieve the following characteristics: non-flammability, non-toxicity, low vapor pressure, thermal stability, resistance to temperature changes;
- refining ionic liquid technology;
- anode modification;
- using a BMS (Battery Management System), which allows for the observation and analysis of changes in important battery parameters.
1.3. Comparison of Parameters of Selected Lithium-Ion Technologies
1.4. Charging Lithium-Ion Batteries
1.5. CC/CV (Constant Current/Constant Voltage) Charging Algorithm
1.6. LiFePo4 Cell Structure
1.7. Organization of the Paper
2. Materials and Methods
2.1. Data Generation from BIPV Installations
2.2. Simulation of the Facility’s Energy Demand
2.3. Energy Storage Model
2.4. Energy Storage Control Algorithm
2.5. Economic Analysis of a Prosumer Installation in Poland
3. Case Study
3.1. Parameters of the Analyzed Object
- Work in the mechanical workshop takes place from 8:00 a.m. to 4:00 p.m. on each business day (Monday–Friday);
- The building is equipped with a heating system that does not rely on electricity (i.e., no electric heaters are used);
- The year 2024 is used as the reference year for operating the storage system. Due to the way data are processed in the Helioscope software, the simulation repeats after 365 days, effectively extending 2024 as the test year and reproducing the same work schedule and electricity demand patterns;
- Electricity demand is calculated as the sum of the installed power of the devices located in the facility, adjusted by the simultaneity factor (Table 7);
- A total of 250 working days per year is assumed.
3.2. PV Installation Parameters
- Installation place: city of Gniezno in Poland (Greater Poland);
- Coordinates: and [WGS 84 (EPSG 4326)];
- Expected installation power: 49.8 kWp;
- PV module model selection: REC 280TP (280 Wp) [38];
- Azimuth angle: 170°;
- Module angle relative to the Sun: 45°.
3.3. Energy Storage System Parameters
4. Results and Discussion—Simulation and Analysis
4.1. Selection of the Target Configuration of Energy Storage
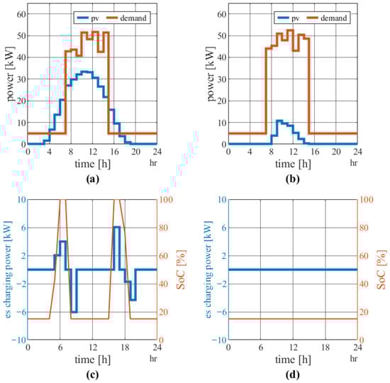
4.2. Simulation Results for 6.4 kW Energy Storage
4.3. Example Diagram of an Energy Storage Installation for Cooperation with BIPV
5. Conclusions
Author Contributions
Funding
Data Availability Statement
Conflicts of Interest
References
- Belloni, E.; Bianchini, G.; Casini, M.; Faba, A.; Intravaia, M.; Laudani, A.; Lozito, G.M. An overview on building-integrated photovoltaics: Technological solutions, modeling, and control. Energy Build. 2024, 324, 114867. [Google Scholar] [CrossRef]
- Wang, Y.; Zhang, Y. Management strategy for building—Photovoltaic with battery energy storage. Int. J. Low-Carbon Technol. 2025, 20, ctae282. [Google Scholar] [CrossRef]
- Zhou, S.; Ge, L.; Zheng, Z.; Wang, M.; Xu, Z. A Review of Distribution Grid Consumption Strategies Containing Distributed Photovoltaics. Appl. Sci. 2024, 14, 5617. [Google Scholar] [CrossRef]
- Pillai, D.S.; Shabunko, V.; Krishna, A. A comprehensive review on building integrated photovoltaic systems: Emphasis to technological advancements, outdoor testing, and predictive maintenance. Renew. Sustain. Energy Rev. 2022, 156, 111946. [Google Scholar] [CrossRef]
- Guo, X.; Lin, M.; Feng, W.; Wang, Y.; Zhang, H.; Ma, W. Operation optimization strategy of a BIPV-battery storage hybrid system. Results Eng. 2023, 18, 101066. [Google Scholar] [CrossRef]
- Tu, R.; Yang, H.; Wang, Q.; Lin, J. Reviews of Photovoltaic and Energy Storage Systems in Buildings for Sustainable Power Generation and Utilization from Perspectives of System Integration and Optimization. Energies 2025, 18, 2683. [Google Scholar] [CrossRef]
- Toosi, H.A. Life Cycle Cost Optimization of Battery Energy Storage Systems for BIPV-Supported Smart Buildings: A Techno-Economic Analysis. Sustainability 2025, 17, 5820. [Google Scholar]
- Abdelsattar, M.; AbdelMoety, A.; Emad-Eldeen, A. Advanced Machine Learning Techniques for Predicting Power Generation and Fault Detection in Solar Photovoltaic Systems. Neural Comput. Appl. 2025, 37, 8825–8844. [Google Scholar] [CrossRef]
- Piasecki, S. Rola Magazynów Energii W Procesie Transformacji Energetycznej. Available online: https://www.urzadzeniadlaenergetyki.pl/magazyny-energii/rola-magazynow-energii-w-procesie-transformacji-energetycznej (accessed on 30 December 2024).
- Hylla, P.; Trawiński, T.; Polnik, B.; Burlikowski, W.; Prostański, D. Overview of Hybrid Energy Storage Systems Combined with RES in Poland. Energies 2023, 16, 5792. [Google Scholar] [CrossRef]
- Adeyinka, A.M.; Esan, O.C.; Ijaola, A.O.; Farayibi, P.K. Advancements in Hybrid Energy Storage Systems for Enhancing Renewable Energy-to-Grid Integration. Sustain. Energy Res. 2024, 11, 26. [Google Scholar] [CrossRef]
- Adamska, B. Magazyny energii niezbędnym elementem transformacji energetycznej. Energetyka Rozproszona 2022, 7, 55–61. [Google Scholar] [CrossRef]
- Wojciechowski, H. Technologie Magazynowania Energii. Cz. I, Źródła ciepła i energii elektrycznej. Inf. Instal. 2017, 2, 20. Available online: www.informacjainstal.com.pl (accessed on 30 April 2025).
- Rey, S.O.; Romero, J.A.; Romero, L.T.; Martínez, À.F.; Roger, X.S.; Qamar, M.A.; Domínguez-García, J.L.; Gevorkov, L. Powering the Future: A Comprehensive Review of Battery Energy Storage Systems. Energies 2023, 16, 6344. [Google Scholar] [CrossRef]
- Chen, G.-J.; Chung, W.-H. Evaluation of Charging Methods for Lithium-Ion Batteries. Electronics 2023, 12, 4095. [Google Scholar] [CrossRef]
- Jemielity, J.; Czapla, Ł.; Rozenkiewicz, P. Techniczne aspekty projektowania bateryjnych magazynów energii w świetle doświadczeń z realizacji projektu GEKON. In Proceedings of the Materiały Konferencyjne XIX Konferencji Naukowej AKTUALNE PROBLEMY W ELEKTROENERGETYCE APE’19, Jastrzębia Góra, Polska, 12–14 July 2019. [Google Scholar]
- Thomson, S.J.; Thomas, P.; Rajan, E.; Anjali, R. Design and Prototype Modelling of a CC/CV Electric Vehicle Battery Charging Circuit. In Proceedings of the 2018 International Conference on Circuits and Systems in Digital Enterprise Technology (ICCSDET), Kottayam, India, 21–22 December 2018; IEEE: New York, NY, USA, 2018; pp. 110–115. [Google Scholar]
- Martí-Florences, M.; Cecilia, A.; Costa-Castelló, R. Modelling and Estimation in Lithium-Ion Batteries: A Literature Review. Energies 2023, 16, 6846. [Google Scholar] [CrossRef]
- Rafał, K.; Grabowski, P. Magazynowanie energii. Mag. Pol. Akad. Nauk. 2021, 65, 34–40. [Google Scholar] [CrossRef]
- Hua, A.C.-C.; Syue, B.Z.-W. Charge and Discharge Characteristics of Lead-Acid Battery and LiFePO4 Battery. In Proceedings of the 2010 International Power Electronics Conference, Sapporo, Japan, 21–24 June 2010; IEEE: New York, NY, USA, 2010; pp. 3175–3180. [Google Scholar]
- Liu, R. Comparative analysis of ternary lithium batteries and lithium iron phosphate. E3S Web Conf. 2024, 606, 5001. [Google Scholar] [CrossRef]
- Zheng, K.; Sun, Z.; Song, Y.; Zhang, C.; Zhang, C.; Chang, F.; Yang, D.; Fu, X. Stochastic Scenario Generation Methods for Uncertainty in Wind and Photovoltaic Power Outputs: A Comprehensive Review. Energies 2025, 18, 503. [Google Scholar] [CrossRef]
- Minuto, F.D.; Crosato, M.; Schiera, D.S.; Borchiellini, R.; Lanzini, A. Shared energy in renewable energy communities: The benefits of east- and west-facing rooftop photovoltaic installations. Energy Rep. 2024, 11, 5593–5601. [Google Scholar] [CrossRef]
- Sorouri, H.; Safari, A.; Oshnoei, A.; Teodorescu, R. Voltage-Controlled SoC Estimation in Lithium-Ion Batteries: A Comparative Analysis of Equivalent Circuit Models. In Proceedings of the 26th European Conference on Power Electronics and Applications (EPE), Paris, France, 11 June 2025; 2025. [Google Scholar]
- Schimpe, M.; Naumann, M.; Truong, N.; Hesse, H.C.; Santhanagopalan, S.; Saxon, A.; Jossen, A. Energy efficiency evaluation of a stationary lithium-ion battery container storage system via electro-thermal modeling and detailed component analysis. Appl. Energy 2018, 210, 211–229. [Google Scholar] [CrossRef]
- Piller, S.; Perrin, M.; Jossen, A. Methods for state-of-charge determination and their applications. J. Power Sources 2001, 96, 113–120. [Google Scholar] [CrossRef]
- Zhang, H.; Hu, B.; Yu, Z.; Wang, H.; Qu, L.; Yang, D.; Wang, J.; Li, W.; Bai, C.; Sun, Y. State-of-charge estimation of lithium-ion battery based on improved equivalent circuit model considering hysteresis combined with adaptive iterative unscented Kalman filtering. J. Energy Storage 2024, 102, 114105. [Google Scholar] [CrossRef]
- Thomas, H.; Thomas, P.; Rajan, E. Capacity and State-of-Health Prediction of Lithium-Ion Batteries. Batteries 2025, 11, 162. [Google Scholar] [CrossRef]
- González-Castellanos, A.; Pozo, D.; Bischi, A. Non-ideal Linear Operation Model for Li-ion Batteries. IEEE Trans. Power Syst. 2019, 35, 672–682. [Google Scholar] [CrossRef]
- Ustawa z Dnia 10 Kwietnia 1997 r.—Prawo Energetyczne. Dz.U. 1997, nr 54, poz. 348 z późn. zm., Art. 3 pkt 13a. Available online: https://isap.sejm.gov.pl/isap.nsf/DocDetails.xsp?id=wdu19970540348 (accessed on 18 January 2025).
- Fotowoltaiki, A. Net-Billing Przykład Rozliczenia. Available online: https://akademia-fotowoltaiki.pl/net-billing-fotowoltaika-przyklady/ (accessed on 23 February 2025).
- E-Magazyny.pl. Magazyny Energii a Przepisy Prawne w Polsce w 2024 Roku. Available online: https://e-magazyny.pl/eksperckim-okiem/magazyny-energii-a-przepisy-prawne-w-polsce-w-2024-roku/ (accessed on 10 January 2025).
- Globenergia. Czy Prosument Może Odsprzedawać Energię Z Magazynu? Odpowiedź Zaskakuje. Available online: https://globenergia.pl/czy-prosument-moze-odsprzedawac-energie-z-magazynu-odpowiedz-zaskakuje/ (accessed on 20 February 2025).
- Enerad. 17 Lutego Rusza Nabór Na Dotacje Do Magazynów Energii Dla Firm—Do Zdobycia 900 mln zł. Available online: https://enerad.pl/17-lutego-rusza-nabor-na-dotacje-do-magazynow-energii-dla-firm-do-zdobycia-900-mln-zl/ (accessed on 30 January 2025).
- Felis, P. Metody I Procedury Oceny Efektywności Inwestycji Rzeczowych Przedsiębiorstw; Wydawnictwo WSE-I: Warszawa, Polska, 2005. [Google Scholar]
- Neugebauer, M.; Brandt, T.; Klement, J. Economic Analysis of Profitability of Using Energy Storage in a Net-Billing System. Energies 2024, 17, 3075. [Google Scholar] [CrossRef]
- Baake, J.; Tao, Z. A Cost Modeling Framework for Modular Battery Energy Storage Systems. In Transport Research Arena Conference; Springer Nature: Cham, The Switzerland, 2024; pp. 247–253. [Google Scholar]
- REC 280 TP BLK—Datasheet. Available online: https://www.europe-solarstore.com/rec-280-tp-blk.html (accessed on 30 September 2025).
- GC LiFePO4 CAV13—CAV13PL—Datasheet. Available online: https://stylem.pl/upload/files/product/green-cell-akumulator-lifepo4-cav13-12-12-8v-125ah-1600wh-m8-163537.pdf (accessed on 2 October 2025).
- Ross, S.A.; Westerfield, R.; Jaffe, J. Corporate Finance, 12th ed.; McGraw-Hill Education: New York, NY, USA, 2019; pp. 101–104. [Google Scholar]
- JK Active Balance BMS JK-B1A8S20P JK-B2A8S20P User Manual. Available online: https://energiepanda.com/jk-active-balance-bms-jk-b1a8s20p-jk-b2a8s20p-user-manual/ (accessed on 20 March 2025).









| Parameter Name | Unit |
|---|---|
| Energy density | , |
| Lifespan | Number of cycles |
| Capacity | Wh |
| Return on investment | % |
| Energy storage efficiency | % |
| Energy consumption profile | daily, 24 h, night-time |
| Energy tariff | G11, G12 (in Poland) |
| Charging time | h |
| Parameter | NMC—LiNiMnCoO2 (Nickel-Manganese-Carbon) | LFP—LiFePO4 (Lithium-Iron-Phosphate) | LTO—Li4Ti5O12 (Lithium-Titanium) | |
|---|---|---|---|---|
| Technology | ||||
| Energy density [Wh/kg] | 150–220 | 90–160 | 50–80 | |
| Power density [W/kg] | 100–150 | 200–1200 | 3000–5100 | |
| Thermal Runaway [°C] | 210 | 270 | 280 | |
| C-Rate (Maximum charge/discharge current ratio) | 2/1 | 25/2 | 10/10 | |
| Number of charging cycles | 1000–2000 | >2000 | >5000 | |
| Cost of a single module (2022 data) [$] | 420 | 580 | 1005 | |
| Cost of a single battery cycle (2022 data) [$] | 0.21–0.42 | 0.29 | 0.14–0.4 | |
| Type | Advantages | Disadvantages |
|---|---|---|
| NMC | Large market use = technology maturity resulting from the elimination of problems that appear after a long period of use | Technology considered dangerous requires the use of more aspects of fire protection |
| A multitude of offers on the market, wide access to components, and integrated storage systems | Relatively high price | |
| High energy density | Lowest number of charge cycles | |
| Costly recycling | ||
| LFP | Safe | Costly recycling |
| Relatively cheap in the lithium group | Depth of discharge check required to maintain warranty | |
| Large number of charging cycles | High costs for multi-cycle applications (>1 per day) due to cell replacement costs | |
| Degradation | ||
| LTO | Long service life | Relatively high price |
| Safe | Costly recycling | |
| Very high number of charging cycles |
| Step | Name | Physical Condition | Description |
|---|---|---|---|
| 1 | Start | - | Starting the charging process |
| 2 | Temperature Check | Tmin ≤ Tbat ≤ Tmax | Checking if the battery temperature is within the acceptable safe range |
| 3 | Voltage Check | V < 4.2 V | Checking if the battery voltage is below the recommended 4.2 V |
| 4 | Voltage Check with Vcutoff | V < Vcutoff | Checking if the voltage is below the cut-off voltage |
| 5 | TC (Trickle Charge) Mode | V > Vcutoff | Treatment charging until the cut-off voltage is reached |
| 6 | CC (Constant Current) Mode | V ≠ Vpre-set | Constant current charging until the voltage reaches the set value |
| 7 | CV (Constant Voltage) Mode | tmax ≤ tpre-set or Imin < 0.1 C | Constant voltage charging until the time limit or minimum current is reached |
| 8 | End | Ending the charging process | |
| RCEm [EUR/MWh] | RCEm [EUR/kWh] | Month |
|---|---|---|
| 95.70 | 0.10 | January |
| 77.96 | 0.08 | February |
| 75.73 | 0.07 | March |
| 81.64 | 0.08 | April |
| 84.10 | 0.08 | May |
| 108.12 | 0.11 | June |
| 111.12 | 0.11 | July |
| 100.00 | 0.10 | August |
| 94.54 | 0.09 | September |
| 105.26 | 0.11 | October |
| 122.00 | 0.12 | November |
| 108.73 | 0.11 | December |
| Input Parameters in Economic Analysis | Unit | Justification for Use in the Model |
|---|---|---|
| Electricity price (RCEm) | EUR/MWh | RCEm reflects the monthly wholesale market price of active energy, which forms the basis of many energy contracts for business customers. It allows for realistic modeling of savings resulting from energy storage operation. |
| Discount rate used in the evaluation of energy investments | % | The discount rate reflects the cost of capital and the risk of an energy investment. In the literature, renewable energy and energy storage projects are typically analyzed at rates of 4–10%, depending on technological risk and market conditions. |
| Cost of system components | EUR | Prices based on popular, widely available market products, ensuring a representative CAPEX level and a correct assessment of the energy storage’s profitability. |
| Device | Power [kW] | Simultaneity Coefficient | Effective Power [kW] |
|---|---|---|---|
| CNC milling machine | 7 | 0.7 | 4.90 |
| Grinding machine | 5 | 0.7 | 3.50 |
| Hydraulic press | 4 | 0.5 | 2.00 |
| Injection molding machine | 10 | 0.6 | 6.00 |
| Laser sheet metal cutter | 12 | 0.8 | 9.60 |
| Radial drilling machine | 3 | 0.7 | 2.10 |
| Industrial robot | 5 | 0.6 | 3.00 |
| Paint booth | 6 | 0.6 | 3.60 |
| MIG/MAG/TIG welding machine | 4 | 0.5 | 2.00 |
| Pipe and profile bending machine | 4 | 0.7 | 2.80 |
| Time Stamp | 07:00:00 | 08:00:00 | 09:00:00 | 10:00:00 | 11:00:00 | 12:00:00 | |
|---|---|---|---|---|---|---|---|
| Irradiance | [W/m2] | 0 | 7.49 | 75.9 | 148.25 | 161.22 | 181.13 |
| Actual DC power | [W] | 0 | 191.56 | 3518.37 | 7062.02 | 7679.93 | 8688.79 |
| Grid (AC) power | [W] | 0 | 188.48 | 3459.37 | 6938.13 | 7544.15 | 8533.27 |
| Module power | [W] | 0 | 191.56 | 3519.21 | 7065.29 | 7683.82 | 8693.82 |
| Global horizontal irradiance | [W/m2] | 0 | 8.6 | 64.65 | 117.53 | 140.97 | 147.95 |
| Direct normal irradiance | [W/m2] | 0 | 0 | 0 | 0 | 0 | 0 |
| Direct irradiation in the module plane (POA) | [W/m2] | 0 | 0 | 18.65 | 70.46 | 47.8 | 88.09 |
| Diffuse irradiation in the shade | [W/m2] | 0 | 8 | 63.81 | 90.64 | 125.72 | 108.16 |
| Wind speed | [m/s] | 2.45 | 2.46 | 3.6 | 3.27 | 3.07 | 3.41 |
| Model SKU (Stock Keeping Unit) | CAV13 |
|---|---|
| Usable Capacity | 1600 Wh |
| Cell Type | prismatic |
| Cell Class | Class A |
| Single Cell Voltage | 3.2 V |
| Cell Connecting | 4S2P |
| Certifications | UN38,3;MSDS;emc |
| Dimensions (L × W × H) | 329 × 172 × 217 |
| Nominal Capacity | 125 Ah |
| Internal Resistance | ≤49 mΩ |
| Final Charge Voltage | 14.6 V |
| Final Charge Current | 100 mA |
| Final Discharge Voltage | 9.2 V |
| Maximum Continuous Current | 30 A |
| Maximum Continuous Discharge Current | 50 A |
| Charging Method | CC/CV |
| Maximum Pulse Discharge Current | 150 A/10 S |
| Parallel Connection | No limits |
| Series Connection | Maximum 4 batteries |
| Operating Temperature—Charging | 0~45 °C |
| Operating Temperature—Discharging | −10~55 °C |
| Storage Temperature at 60–80% SoC | 0~45 °C |
| Capacity at 1 C Discharge Rate 0.2 C | ≥125 Ah |
| Number of Cycles for 1 C Discharge; 85% DoD | >2000 cycles |
| Terminal | M8 |
| Number of LFP Modules | 1 | 2 | 3 | 4 | 5 | 6 |
|---|---|---|---|---|---|---|
| Total storage capacity [kWh] | 1.6 | 3.2 | 4.8 | 6.4 | 8 | 9.6 |
| Cell lifetime (SoH < 60%) [years] | 9 | 9 | 9 | 10 | 10 | 11 |
| Savings—increased self consumption [EUR] | 777.73 | 1448.01 | 1978.75 | 2649.32 | 2649.46 | 2950.65 |
| Predicted storage cost EUR | 485.98 | 971.96 | 1457.94 | 1943.93 | 2429.91 | 2915.89 |
| Profit [EUR] | 291.75 | 476.05 | 520.81 | 705.40 | 219.56 | 34.77 |
| Discount Rate | 0.05 | 0.06 | 0.07 | 0.08 | 0.09 | 0.10 | Installed Capacity [kWh] |
|---|---|---|---|---|---|---|---|
| Net present value (NPV) | 186.85 | 156.54 | 128.22 | 101.78 | 77.03 | 53.83 | 1.6 |
| 280.75 | 224.32 | 171.61 | 122.36 | 76.29 | 33.11 | 3.2 | |
| 253.93 | 176.80 | 104.79 | 37.48 | −25.49 | −84.49 | 4.8 | |
| 567.10 | 443.67 | 329.11 | 222.66 | 123.60 | 31.31 | 6.4 | |
| 81.26 | −42.17 | −156.75 | −263.20 | −362.27 | −454.56 | 8 | |
| 117.59 | −43.76 | −192.62 | −330.16 | −457.45 | −575.37 | 9.6 |
| Element | Quantity | Unit | Unit Price [€] | Total Price [€] |
|---|---|---|---|---|
| Green Cell CAV13 Battery | 4 | pcs. | 373.83 | 1495.33 |
| JK-B1A8S20P Balanser +1A balancing cables | 1 | pcs. | 58.41 | 58.41 |
| EkoWolt PVC 35 mm2 cable | 60 | Cm | 0.33 | 19.63 |
| M8 nuts stainless steel | 10 | pcs. | 0.47 | 4.67 |
| Copper eyelet ends M8 | 20 | pcs. | 1.17 | 23.36 |
| SUM [EUR] | 6854 | |||
| Predicted cost by the simulator [EUR] | 8320 | |||
| Difference [EUR] | +1466 | |||
| NPV (discount rate 7%) (Formula (13)) [€] | +1995.01 | |||
Disclaimer/Publisher’s Note: The statements, opinions and data contained in all publications are solely those of the individual author(s) and contributor(s) and not of MDPI and/or the editor(s). MDPI and/or the editor(s) disclaim responsibility for any injury to people or property resulting from any ideas, methods, instructions or products referred to in the content. |
© 2025 by the authors. Licensee MDPI, Basel, Switzerland. This article is an open access article distributed under the terms and conditions of the Creative Commons Attribution (CC BY) license (https://creativecommons.org/licenses/by/4.0/).
Share and Cite
Trzmiel, G.; Głuchy, D.; Mikulski, S.; Sowinski, N.; Kasprzyk, L. Modeling Energy Storage Systems for Cooperation with PV Installations in BIPV Applications. Energies 2025, 18, 6546. https://doi.org/10.3390/en18246546
Trzmiel G, Głuchy D, Mikulski S, Sowinski N, Kasprzyk L. Modeling Energy Storage Systems for Cooperation with PV Installations in BIPV Applications. Energies. 2025; 18(24):6546. https://doi.org/10.3390/en18246546
Chicago/Turabian StyleTrzmiel, Grzegorz, Damian Głuchy, Stanisław Mikulski, Nikodem Sowinski, and Leszek Kasprzyk. 2025. "Modeling Energy Storage Systems for Cooperation with PV Installations in BIPV Applications" Energies 18, no. 24: 6546. https://doi.org/10.3390/en18246546
APA StyleTrzmiel, G., Głuchy, D., Mikulski, S., Sowinski, N., & Kasprzyk, L. (2025). Modeling Energy Storage Systems for Cooperation with PV Installations in BIPV Applications. Energies, 18(24), 6546. https://doi.org/10.3390/en18246546

