Sign in to use this feature.

Years

Between: -

Subjects

remove_circle_outline
remove_circle_outline
remove_circle_outline
remove_circle_outline
remove_circle_outline
remove_circle_outline
remove_circle_outline
remove_circle_outline
remove_circle_outline

Journals

Article Types

Countries / Regions

remove_circle_outline
remove_circle_outline
remove_circle_outline
remove_circle_outline
remove_circle_outline

Search Results (147)

Search Parameters:
Keywords = DNA metabarcoding approach

Order results
Result details
Results per page
Select all
Export citation of selected articles as:
19 pages, 1704 KB  
Article
Phytoplankton Diversity in the Northern Adriatic Sea: Insights and Inconsistencies from Microscopy and Metabarcoding
by Giorgia Montali, Francesca Neri, Elisa Banchi, Federica Cerino, Timotej Turk Dermastia, Janja Francé, Patricija Mozetič, Angela Pelusi, Tiziana Romagnoli, Marika Ubaldi, Cecilia Totti and Stefano Accoroni
Biology 2026, 15(6), 487; https://doi.org/10.3390/biology15060487 - 19 Mar 2026
Viewed by 443
Abstract
Phytoplankton is a key component of marine ecosystems and a sensitive indicator of environmental change. In this study, light microscopy (LM) and DNA metabarcoding (18S-V4, 18S-V9, and rbcL) were combined to assess differences in phytoplankton diversity and community structure across three LTER [...] Read more.
Phytoplankton is a key component of marine ecosystems and a sensitive indicator of environmental change. In this study, light microscopy (LM) and DNA metabarcoding (18S-V4, 18S-V9, and rbcL) were combined to assess differences in phytoplankton diversity and community structure across three LTER sites in the northern Adriatic Sea, and to evaluate the methodological effects on community assessment. A total of 329 genera and 527 species were recorded by integrating both the approaches. Metabarcoding (MB) revealed increased taxonomic richness than LM, particularly for dinoflagellates and small phytoflagellates, while LM was better for identifying the diatoms and coccolithophores. The rbcL marker improved the taxonomic resolution for the diatoms compared to the 18S regions. The proportion of species shared among the sites increased from 13% with LM to 33–42% with MB, suggesting that MB may effectively reduce the discrepancies observed when relying solely on LM. Cluster analysis performed on species-relative abundances grouped the samples by approaches rather than sites, showing that methodological variability exceeded the ecological differences. The relative abundance patterns differed between methods but became more comparable after applying correction factors based on the 18S rRNA gene copy numbers, particularly for the dinoflagellates. Overall, MB enhances biodiversity assessment and comparability among sites, while LM remains essential for morphological validation and for abundance assessment. Full article
Show Figures

Figure 1

19 pages, 1512 KB  
Review
Research Progress in Bat Dietary Analysis: Methods, Applications, and Future Perspectives
by Qiulin Guo, Yingying Liu, Sen Liu and Yang Geng
Biology 2026, 15(6), 449; https://doi.org/10.3390/biology15060449 - 10 Mar 2026
Viewed by 519
Abstract
Bats (Chiroptera) provide critical ecosystem services, including pest suppression, pollination, and seed dispersal. Understanding their dietary ecology is essential for conservation management yet has historically been constrained by methodological limitations. This review synthesizes advances in bat dietary analysis over the past several decades, [...] Read more.
Bats (Chiroptera) provide critical ecosystem services, including pest suppression, pollination, and seed dispersal. Understanding their dietary ecology is essential for conservation management yet has historically been constrained by methodological limitations. This review synthesizes advances in bat dietary analysis over the past several decades, from traditional morphological and stable isotope approaches to the revolutionary DNA metabarcoding techniques that now dominate the field. We systematically evaluate the strengths and limitations of each methodological approach and examine how molecular methods have transformed our understanding of bat trophic ecology. Research progress across major feeding guilds—insectivorous, frugivorous, nectarivorous, carnivorous, and sanguivorous bats—is examined, with emphasis on recent discoveries enabled by molecular techniques. We discuss ecological and conservation applications, including ecosystem service quantification, food web construction, and responses to environmental change. Finally, we identify priority directions for future research, including long-read sequencing technologies, multi-method integration, reference database expansion, and One Health applications. This synthesis provides guidance for researchers selecting appropriate analytical approaches and highlights the critical role of dietary studies in bat conservation amid accelerating global change. Full article
(This article belongs to the Special Issue Advances in Biological Research of Chiroptera)
Show Figures

Figure 1

13 pages, 2165 KB  
Article
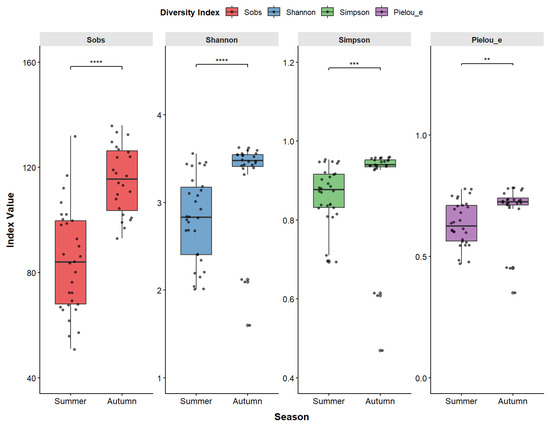
Environmental DNA Revealing Phytoplankton Assemblage Structure and Drivers in the Outer Yangtze Estuary
by Zeda Song, Weiping Wang, Yuxuan Wu, Jian Zhu, Xi Wang, Lifen Yao, Hongwei Wang and Lihui An
Water 2026, 18(5), 597; https://doi.org/10.3390/w18050597 - 28 Feb 2026
Viewed by 314
Abstract
Phytoplankton communities are crucial for sustaining the high biodiversity and productivity of estuarine ecosystems, yet these regions are increasingly impacted by anthropogenic activities. To elucidate the impacts of anthropogenic pressures, this study characterized the seasonal dynamics of the phytoplankton community in the outer [...] Read more.
Phytoplankton communities are crucial for sustaining the high biodiversity and productivity of estuarine ecosystems, yet these regions are increasingly impacted by anthropogenic activities. To elucidate the impacts of anthropogenic pressures, this study characterized the seasonal dynamics of the phytoplankton community in the outer Yangtze River Estuary using an environmental DNA (eDNA) metabarcoding approach. We identified 279 and 306 phytoplankton genera in summer and autumn, respectively. Community composition differed more between seasons than within them, with dinoflagellates, chlorophytes, and diatoms dominating both periods. The phytoplankton community structure showed higher richness, diversity, and stability during autumn than in summer. Furthermore, redundancy analysis identified DIN/DIP, temperature, salinity, orthophosphate (PO43−), ammonia nitrogen (NH4+), and depth as primary drivers, with DIN/DIP being the core factor structuring the phytoplankton assemblage. These results suggest that phosphorus limitation may drive the shift in phytoplankton community structure from diatom to dinoflagellate dominance, due to varying phosphorus utilization strategies among different phytoplankton. These findings provide novel insights into the impacts of anthropogenic activities on estuarine ecosystems and offer science-based guidance for managing nitrogen and phosphorus inputs to support global sustainable development goals. Full article
(This article belongs to the Section Biodiversity and Functionality of Aquatic Ecosystems)
Show Figures

Figure 1

16 pages, 1157 KB  
Article
Fine-Grained Assignment of Unknown Marine eDNA Sequences Using Neural Networks
by Sébastien Villon, Morgan Mangeas, Véronique Berteaux-Lecellier, Laurent Vigliola and Gaël Lecellier
Biology 2026, 15(3), 285; https://doi.org/10.3390/biology15030285 - 5 Feb 2026
Viewed by 503
Abstract
Environmental DNA (eDNA) metabarcoding is an innovative tool that is transforming ecological research. It offers a simple and effective method for simultaneously detecting numerous species across a wide range of environments. The method relies on assigning DNA sequences sampled from the environment to [...] Read more.
Environmental DNA (eDNA) metabarcoding is an innovative tool that is transforming ecological research. It offers a simple and effective method for simultaneously detecting numerous species across a wide range of environments. The method relies on assigning DNA sequences sampled from the environment to taxa, which is straightforward for species that have already been sequenced and are represented in reference databases. However, existing bioinformatics tools often fail to deliver accurate, fine-grained assignments when target species are absent from these databases. This limitation arises from handcrafted classification thresholds that do not account for nucleotide positional information. Here, we propose a deep neural architecture specifically designed to exploit both nucleotide identity and positional patterns in short TELEO sequences. Using an in-silico validation framework based on NCBI genbank sequences, we compare our approach with several state-of-the-art bioinformatics tools (Obitools, Kraken2, Lolo), as well as alternative sequence embedding methods, under controlled conditions. Our approach yields significantly higher classification accuracy at the genus and family levels, achieving average accuracies of 94.7% at the genus level and 86.5% at the family level, substantially outperforming the tested reference-based pipelines. The method remains robust with limited training data and shows improved performance when nucleotide positional information is preserved through sequence alignment. These results demonstrate the potential of AI-powered eDNA metabarcoding to complement existing taxonomic assignment tools, particularly in contexts where reference databases are incomplete or species-level resolution is not achievable, thereby supporting biodiversity monitoring and ecosystem management. Full article
Show Figures

Figure 1

17 pages, 2132 KB  
Review
From Sequences to Food Webs: DNA Metabarcoding Reshapes Fish Trophic Ecology
by Lin Liang, Jiajie Li, Shiyun Fang, Cheng Jiang, Sheng Bi and Lei Zhou
Animals 2026, 16(3), 443; https://doi.org/10.3390/ani16030443 - 31 Jan 2026
Viewed by 700
Abstract
Fish occupy pivotal trophic positions in aquatic ecosystems, mediating energy transfer and shaping community structure through their feeding interactions. Unraveling these dietary relationships is therefore fundamental for understanding ecosystem functioning and supporting sustainable fisheries management. Traditional morphological analyses, while informative, often fall short [...] Read more.
Fish occupy pivotal trophic positions in aquatic ecosystems, mediating energy transfer and shaping community structure through their feeding interactions. Unraveling these dietary relationships is therefore fundamental for understanding ecosystem functioning and supporting sustainable fisheries management. Traditional morphological analyses, while informative, often fall short in resolving fine-scale prey diversity and trophic linkages. In contrast, DNA metabarcoding has revolutionized dietary studies by enabling comprehensive, high-resolution, and non-invasive characterization of prey assemblages. This review synthesizes recent progress in applying DNA metabarcoding to fish trophic ecology, emphasizing technical innovations, methodological standardization, and ecological insights. We discuss how DNA metabarcoding has advanced the understanding of food web complexity, species interactions, and ecological responses to environmental change. However, challenges persist in quantification accuracy, reference database completeness, and cross-source contamination. Future research integrating multi-marker approaches, standardized workflows, and multi-method integration holds promise for transforming DNA metabarcoding into a powerful, reliable and mechanistic tool for trophic ecology. Collectively, these developments will bridge molecular data with ecological theory, strengthening the scientific foundation for ecosystem-based fisheries management. Full article
(This article belongs to the Special Issue Ecology and Conservation of Marine Fish)
Show Figures

Figure 1

26 pages, 2763 KB  
Article
The Biodeterioration Process in Compositionum: Four Ancient Multi-Material Volumes Studied by Multidisciplinary Approach
by Chiara Gardenghi, Annamaria Alabiso, Marco Maria D’Andrea, Sara Frasca, Valeria Guglielmotti, Claudia Mazzuca, Noemi Orazi, Beatrice Ercolani, Stefano Paoloni, Alessandro Rubechini and Luciana Migliore
Appl. Sci. 2026, 16(2), 1091; https://doi.org/10.3390/app16021091 - 21 Jan 2026
Viewed by 435
Abstract
Ancient books and documents constitute an important cultural heritage, which are composed by different supports, such as cardboard, parchment and paper. Due to their composition (animal- and plant-based matrices), they allow bacteria and fungi to thrive, causing the phenomenon of biodeterioration, an ecological [...] Read more.
Ancient books and documents constitute an important cultural heritage, which are composed by different supports, such as cardboard, parchment and paper. Due to their composition (animal- and plant-based matrices), they allow bacteria and fungi to thrive, causing the phenomenon of biodeterioration, an ecological succession in parchment. Four ancient books called “Compositionum” from the Apostolic Vatican Archive, made of the same materials, exposed to weather-beating conditions and showing different degrees of deterioration, were analysed by a multidisciplinary approach: DNA metabarcoding using NGS, Light Transmission Analysis and Raman and FTIR spectroscopy. The results highlighted how the biodeteriogen community composition changed from the least to the most damaged, without evidence of significant microbial transfer across the three matrices. The results allow confirmation of the ecological succession as biodeterioration process, including cardboard and paper, in addition to in parchment. These results give important insight for the conservation and restoration practices of all matrices. Full article
(This article belongs to the Special Issue Advanced Research and Analysis of Environmental Microbiomes)
Show Figures

Figure 1

18 pages, 1266 KB  
Article
A Tandem Metabarcoding and Taxonomic Forensics Approach to Surveillance of Mosquito–Plant Interactions for Culex quinquefasciatus in Florida
by Mba-Tihssommah Mosore, Shova Mishra, Milani Villa, Bright Agbodzi, Alden S. Estep, Agne Prasauskas, Whitney A. Qualls, Daniel Killingsworth, Isik Unlu, Miranda Tressler, Rhoel R. Dinglasan and Edwin R. Burgess
Insects 2026, 17(1), 13; https://doi.org/10.3390/insects17010013 - 22 Dec 2025
Viewed by 1044
Abstract
Interactions with plants are an important aspect of mosquito vector biology and ecology because mosquitoes often use plants as nutritional resources. Plant DNA metabarcoding is a recent approach to address this topic. Culex quinquefasciatus is a vector of several important pathogens in Florida [...] Read more.
Interactions with plants are an important aspect of mosquito vector biology and ecology because mosquitoes often use plants as nutritional resources. Plant DNA metabarcoding is a recent approach to address this topic. Culex quinquefasciatus is a vector of several important pathogens in Florida and is subject to significant control efforts, but no studies to date have explored what plants they may feed on. We addressed this by conducting a statewide collection of Cx. quinquefasciatus from six Florida counties and subjected them to plant DNA metabarcoding and cross-referenced the identified plants to a Florida state plant voucher database for each sampled county. A total of 30 families and 47 genera were identified. Plants included many that are cultivated and non-cultivated in Florida, including backyard garden produce, grasses, and some invasive species. Concurrence of plant families and genera was generally high in the respective sampled counties based on available plant vouchers. These data provide the first statewide survey of plants associated with Cx. quinquefasciatus in Florida. This information serves as an important basis for confirming plant taxa that are important to Cx. quinquefasciatus, which could translate to the development of better control strategies and tools. Full article
Show Figures

Graphical abstract

17 pages, 5754 KB  
Article
Marine Biodiversity in a Coastal Periphery Revealed by a Community-Based Monitoring Approach Integrating Citizen Science and Environmental DNA Metabarcoding
by Daniele Bellardini, Daniele De Luca, Luca Russo, Rosalia Calicchio, Cristina Castracani, Pasquale De Luca, Iole Di Capua, Federica Massimi, Anja Raggio, Alessia Riccardi, Jessica Vannini, Gennaro Attanasio, Paolo Vassallo, Roberto Sandulli, Marco Signore, Emanuela Dattolo and Domenico D′Alelio
Environments 2025, 12(12), 474; https://doi.org/10.3390/environments12120474 - 5 Dec 2025
Viewed by 1809
Abstract
The global biodiversity crisis brings significant environmental and social impacts, necessitating innovative approaches to achieve the Sustainable Development Goals. This is particularly relevant for coastal peripheries that are rich in both natural and cultural capital. The Reknotting Marine Biodiversity project adopted a trans-disciplinary [...] Read more.
The global biodiversity crisis brings significant environmental and social impacts, necessitating innovative approaches to achieve the Sustainable Development Goals. This is particularly relevant for coastal peripheries that are rich in both natural and cultural capital. The Reknotting Marine Biodiversity project adopted a trans-disciplinary approach to integrate participatory science and education, involving local communities and researchers in biodiversity monitoring using environmental DNA metabarcoding along the coast of Marina di Camerota, Southern Italy. This approach compared Posidonia oceanica habitats with areas subject to anthropogenic pressures. Results show a greater diversity of pelagic fish and benthic organisms in the presence of P. oceanica, nine species that can potentially cause Harmful Algal Blooms (HABs), and eight species responsible for non-toxic algal blooms in less pristine areas. This study highlights the value of coastal habitats and the strategic value of citizen science in raising ecological awareness, proposing a replicable model for local marine observatories jointly managed by scientists and citizens. Full article
Show Figures

Graphical abstract

16 pages, 6789 KB  
Article
Spatial Heterogeneity and Methodological Insights in Fish Community Assessment: A Case Study in Hulun Lake
by Zifang Liu, Yuetong Zhang, Yanan Pan, Zhousunxi Ma, Xin Han, Ziqi Zhou, Shuang Tian and Bingjiao Sun
Biology 2025, 14(12), 1678; https://doi.org/10.3390/biology14121678 - 26 Nov 2025
Viewed by 534
Abstract
Hulun Lake, a UNESCO Biosphere Reserve, faces mounting threats from extreme climate events and anthropogenic pressures, highlighting the need for robust biodiversity monitoring. Environmental DNA (eDNA) has emerged as a promising tool for aquatic biomonitoring, yet different bioinformatic pipelines—such as Amplicon Sequence Variant [...] Read more.
Hulun Lake, a UNESCO Biosphere Reserve, faces mounting threats from extreme climate events and anthropogenic pressures, highlighting the need for robust biodiversity monitoring. Environmental DNA (eDNA) has emerged as a promising tool for aquatic biomonitoring, yet different bioinformatic pipelines—such as Amplicon Sequence Variant (ASV) and Operational Taxonomic Unit (OTU) clustering—may yield divergent results. This study compares ASV and OTU clustering approaches in eDNA metabarcoding alongside traditional capture-based surveys to assess fish diversity in Hulun Lake. Across all methods, we identified 43 taxa (40 species), including the critically endangered Acheilognathus hypselonotus and vulnerable Choi’s spiny loach (Cobitis choii). While eDNA methods detected 2~3 times more species than in nets (13 species), strong methodological correlations (p < 0.001) were observed between net frequencies and eDNA-derived relative abundances (based on both ASV and OTU datasets using 4th-root and log transformations). Clustering analysis of capture-based data revealed four distinct ecological zones: the areas near tourist facilities, Wuerxun River inflow region, Wulan Nuoer Lake (connected via the Wuerxun River), and the Lake Centre. Significant spatial variation (p < 0.05) between these four zones was found in eDNA datasets, whereas nets captured more heterogeneous patterns, consistent with previous studies. Community structures were shaped by both generalists (e.g., Cyprinus carpio, Hemiculter bleekeri) and habitat specialists such as Amur catfish (Silurus asotus). The Lake Centre hosted a unique assemblage, likely due to reduced human disturbance. Overall, both eDNA clustering methods outperformed capture-based survey in detecting species richness and offered semi-quantitative insights. However, discrepancies between ASV and OTU approaches were evident in resolving fine-scale community differences. We recommend an integrated monitoring strategy that combines the sensitivity of eDNA with the abundance resolution of net captured to inform spatially targeted conservation and habitat protection in this vulnerable ecosystem. Full article
Show Figures

Figure 1

32 pages, 60630 KB  
Article
Analysis of Multitrophic Biodiversity Patterns in the Irtysh River Basin Based on eDNA Metabarcoding
by Ye Chen, Tianjian Song, Yuna Zhang, Fangze Zi, Yuxin Huang, Lei Fang, Yu Liu, Hongyang Zhou and Jiang Chang
Biology 2025, 14(12), 1661; https://doi.org/10.3390/biology14121661 - 24 Nov 2025
Viewed by 778
Abstract
In freshwater ecosystems, cross-trophic interactions among biological communities underpin ecosystem stability and functionality. In arid and semi-arid rivers, however, hydrological fluctuations, invasive species, and other perturbations exacerbate the complexity of biological processes. To systematically assess the community structure of fish, eukaryotic plankton, and [...] Read more.
In freshwater ecosystems, cross-trophic interactions among biological communities underpin ecosystem stability and functionality. In arid and semi-arid rivers, however, hydrological fluctuations, invasive species, and other perturbations exacerbate the complexity of biological processes. To systematically assess the community structure of fish, eukaryotic plankton, and prokaryotic microorganism in the Irtysh River basin, this study employed environmental DNA (eDNA) metabarcoding for monitoring. High-throughput sequencing of taxa within the study area was conducted via eDNA metabarcoding, coupled with random forest and linear mixed models to dissect the effects of community structure. The eDNA approach effectively unraveled spatial patterns of biodiversity and identified taxon-specific diversity hotspots: invasive fish exerted a facilitative effect on algae and suppressed the richness of protozoa, fungi, and heterotrophic microorganisms, yet had minimal impact on the dominant structure of autotrophic microorganisms. These findings provide a scientific basis for basin-scale ecological management, emphasizing the necessity of balancing habitat preservation and invasive-species control to safeguard ecosystem functionality. Full article
Show Figures

Figure 1

16 pages, 313 KB  
Article
Invertebrate-Derived DNA (iDNA) to Identify Sand Flies’ Bloodmeal: A Molecular Approach to Identifying Hosts in Blood-Feeding Vectors of Leishmaniasis
by Bruno Oliveira Cova, Bruno Henrique Saranholi, Carla Cristina Gestich, Paulo Roberto Machado, Adriano Figueiredo Monte-Alegre and Albert Schriefer
Microorganisms 2025, 13(12), 2650; https://doi.org/10.3390/microorganisms13122650 - 21 Nov 2025
Viewed by 976
Abstract
DNA metabarcoding data obtained by next generation sequencing (NGS) has been used to identify species in mixed biological samples, such as DNA from the gut content of invertebrates that feed on vertebrates (invertebrate-derived DNA, iDNA). This investigation employed DNA metabarcoding approach to determine [...] Read more.
DNA metabarcoding data obtained by next generation sequencing (NGS) has been used to identify species in mixed biological samples, such as DNA from the gut content of invertebrates that feed on vertebrates (invertebrate-derived DNA, iDNA). This investigation employed DNA metabarcoding approach to determine vertebrate hosts of female phlebotomine sand flies, blood-feeding leishmaniasis vectors. We evaluated performance across three mitochondrial markers: a mammal-specific mini-barcode (16S rRNA), a pan-vertebrate mini-barcode (12S rRNA), and a standard CytB barcode region. Phlebotomine sand flies collections occurred in the Cacao Region of Southeastern Bahia, Brazil, an American Tegumentary Leishmaniasis (ATL) endemic zone. Our analysis examined iDNA from forty female specimens pooled in thirteen samples of seven sand fly species, including confirmed ATL vectors. Metabarcoding-derived operational taxonomic units (OTUs) underwent taxonomic assignment through comparison with GenBank NCBI® reference databases. Results identified twenty vertebrate OTUs: primates (four OTUs), rodents (four), ungulates (five), marsupials (one), plus a domestic dog and a chicken. Notably, non-mammalian taxa, including reptiles (one OTU) and amphibians (three), were detected. The iDNA metabarcoding approach allowed us to accurately sample the diversity of phlebotomine sandflies’ bloodmeals in a single specimen of a non-engorged female sand fly with mixed feeding. Full article
(This article belongs to the Special Issue Interactions between Parasites/Pathogens and Vectors)
22 pages, 1928 KB  
Article
Microbial Consortium of Streptomyces spp. from Mining Environments Enhances Phytoremediation Potential of Lemna minor L.
by Rihab Djebaili, Beatrice Farda, Oscar Gialdini, Ilaria Vaccarelli, Younes Rezaee Danesh and Marika Pellegrini
Plants 2025, 14(22), 3467; https://doi.org/10.3390/plants14223467 - 13 Nov 2025
Viewed by 1049
Abstract
The presence of substantial amounts of heavy metals in the environment can result in various significant ecological issues and human health risks. Currently, bioremediation employing microorganisms is garnering significant interest due to its effectiveness. The present investigation aimed to isolate actinobacterial strains from [...] Read more.
The presence of substantial amounts of heavy metals in the environment can result in various significant ecological issues and human health risks. Currently, bioremediation employing microorganisms is garnering significant interest due to its effectiveness. The present investigation aimed to isolate actinobacterial strains from an Italian mine and to characterise them for heavy metals resistance and plant growth-promoting characteristics. The different samples were processed for DNA extraction and 16S rRNA gene metabarcoding to investigate the bacteria and archaea communities. Cultivable microbiota were isolated and evaluated for heavy metals tolerance and different PGP traits. The most pertinent strains were tested for compatibility, merged into a consortium, and tested on Lemna minor L. Metabarcoding analysis revealed that amplicon sequence variants (ASVs) at the phylum level were mostly assigned to proteobacteria and bacteroidota. Uncultured and unknown taxa were the most prevalent in the samples at the genus level. A total of ten strains were obtained from the culture-dependent approach exhibiting interesting heavy metals tolerance and plant growth-promoting traits. The best strains (MTW 1 and MTW 5) were selected and further characterised by 16S barcoding. These strains were identified as Streptomyces atratus (99.57% identity). An in planta experiment showed that the metal-tolerant consortium MTW 1-5 improved plant physiology by significantly optimising plant growth and tolerance to heavy metals. The experiment conducted provided evidence for the possibility of using actinobacteria as bioaugmentation agents to improve the phytoextraction abilities of L. minor. Full article
Show Figures

Figure 1

21 pages, 6392 KB  
Article
In Situ Harvesting and Molecular Identification for the Germinating Species Diversity of Dinoflagellate Resting Cysts in Jiaozhou Bay, China
by Shuo Shi, Wanli Yang, Zhe Tao, Fengting Li, Ben Wei, Caixia Yue, Yunyan Deng, Lixia Shang, Zhaoyang Chai and Ying-Zhong Tang
Life 2025, 15(11), 1670; https://doi.org/10.3390/life15111670 - 27 Oct 2025
Viewed by 876
Abstract
Dinoflagellate resting cysts are critical to dinoflagellate ecology, acting as a key seed source for initiating harmful algal blooms (HABs) through their germination. However, the in situ germination dynamics of these cysts remain poorly understood due to technical challenges. To overcome this, we [...] Read more.
Dinoflagellate resting cysts are critical to dinoflagellate ecology, acting as a key seed source for initiating harmful algal blooms (HABs) through their germination. However, the in situ germination dynamics of these cysts remain poorly understood due to technical challenges. To overcome this, we utilized the Germlings Harvester (GEHA), an in situ germination device we designed, to collect water samples containing dinoflagellate cysts germinated from marine sediments in Jiaozhou Bay, China, after 5 and 20 days of incubation. By combining the GEHA with metabarcoding analysis targeting 28S rDNA-specific primers for dinoflagellates, we identified 44 dinoflagellate species spanning 31 genera, 18 families, and 7 orders. Of these, 12 species were linked to HABs or recognized as toxic, including Azadinium poporum, Alexandrium leei, Alexandrium pacificum, Akashiwo sanguinea, Karlodinium veneficum, Stoeckeria algicida, and Luciella masanensis. Additionally, five species were newly identified as cyst producers, and one symbiotic dinoflagellate, Effrenium voratum, was detected. Our results also found that germinated dinoflagellate species increased from 23 to 34 with extended incubation, and the ratio of mixotrophic to heterotrophic species was approximately 2:1 in the samples of in situ sediments and seawater outside GEHA, as well as across germination durations (Sg-5 d vs. Sg-20 d). These findings provide essential field evidence for the role of resting cysts in driving HAB formation in this region and highlight the efficacy of the GEHA-based approach for studying in situ cyst germination dynamics, offering a robust tool for monitoring, early warning, prevention, and forecasting of HABs. Full article
Show Figures

Figure 1

6 pages, 683 KB  
Communication
A Metabarcoding Amplicon Sequencing Approach for Reliable Early Detection and Surveillance of Oak Wilt (Bretziella fagacearum) from Trap-Collected Nitidulid Beetles
by Lawrence M. Gordon, Ryan S. Crandall, Muriel Kelly, Jeffrey A. Hall, Joseph L. Sevigny, Adane S. Nigatu, Stephen D. Simpson, Krystalynne Morris and W. Kelley Thomas
Forests 2025, 16(11), 1628; https://doi.org/10.3390/f16111628 - 24 Oct 2025
Viewed by 751
Abstract
Early detection protocols for the oak wilt fungal pathogen (Bretziella fagacearum) are crucial for forest health practitioners on the boundaries of the growing disease front. Established protocols use oak wilt-specific primers and gel electrophoresis to amplify and detect oak wilt among [...] Read more.
Early detection protocols for the oak wilt fungal pathogen (Bretziella fagacearum) are crucial for forest health practitioners on the boundaries of the growing disease front. Established protocols use oak wilt-specific primers and gel electrophoresis to amplify and detect oak wilt among DNA extracted from nitidulid vectors. However, these protocols are prone to inconclusive results due to the presence of off-target amplification products similar in size to positive control bands. Using sequence-adapted oak wilt primers, we employed a metabarcoding amplicon sequencing approach that resolved inconclusive results and validated true oak wilt positives. We found that these off-target amplification products are co-occurring taxa from natural forest and beetle microbiomes, further necessitating a sequencing approach for early surveillance of oak wilt. Full article
(This article belongs to the Special Issue Pathogenic Fungi in Forest)
Show Figures

Figure 1

24 pages, 643 KB  
Review
Environmental DNA Metabarcoding in Marine Ecosystems: Global Advances, Methodological Challenges, and Applications in the MENA Region
by Sandy K. Sawh, Sarah Merabet, Nayla Higazy, Marwa Béji, Johan Mølgård Sørensen, Pedro Range, Ahmad M. Alqudah and Mohamed Nejib Daly Yahia
Biology 2025, 14(11), 1467; https://doi.org/10.3390/biology14111467 - 22 Oct 2025
Cited by 2 | Viewed by 3845
Abstract
Environmental DNA (eDNA) metabarcoding has transformed marine biodiversity monitoring by allowing non-invasive, cost-effective detection of species with high resolution across diverse marine habitats. A systematic literature search was conducted using Google Scholar, Scopus, and the Qatar University Library databases. Relevant peer-reviewed publications were [...] Read more.
Environmental DNA (eDNA) metabarcoding has transformed marine biodiversity monitoring by allowing non-invasive, cost-effective detection of species with high resolution across diverse marine habitats. A systematic literature search was conducted using Google Scholar, Scopus, and the Qatar University Library databases. Relevant peer-reviewed publications were screened and selected based on predefined inclusion criteria to ensure comprehensive coverage of studies. This review synthesizes advances in global and regional eDNA applications, emphasizing the Middle East and North Africa (MENA) region, which faces unique environmental extremes, high endemism, and significant data gaps. eDNA metabarcoding often outperforms traditional methods under comparable sampling effort to traditional surveys in detecting rare, cryptic, and invasive taxa, but technical challenges like incomplete reference databases, primer biases, PCR inhibitors, and inconsistent methodologies limit their effectiveness, particularly in understudied areas such as MENA. Recent developments, including multi-marker approaches, autonomous samplers, and next-generation sequencing, are enhancing detection precision and enabling broader, real-time monitoring. In the MENA region, early studies have revealed eDNA’s potential for habitat distinction, biogeographic research, pollution assessment, and the early discovery of non-indigenous species, although progress is hindered by gaps in reference libraries, infrastructure, and regulation. This review underscores the urgent need for regional collaboration, standardized protocols, and capacity-building. By integrating eDNA with traditional methods and leveraging emerging technologies, the MENA region can establish itself as a leader in marine biomonitoring under extreme environmental conditions, providing actionable insights for conservation and sustainable management of its unique marine ecosystems. Full article
(This article belongs to the Section Ecology)
Show Figures

Figure 1

Back to TopTop