Sign in to use this feature.

Years

Between: -

Subjects

remove_circle_outline
remove_circle_outline
remove_circle_outline
remove_circle_outline
remove_circle_outline
remove_circle_outline
remove_circle_outline

Journals

Article Types

Countries / Regions

Search Results (67)

Search Parameters:
Keywords = DFTD

Order results
Result details
Results per page
Select all
Export citation of selected articles as:
21 pages, 4920 KB  
Article
DFT-D Investigation of Dithiocarbamate, Thionocarbamate, Mercaptobenzothiazole, and S-Triazine Collector Adsorptions on Pentlandite (Fe5Ni4S8) Mineral Surface
by Nontobeko N. Zavala, Phuti E. Ngoepe and Peace P. Mkhonto
Minerals 2025, 15(11), 1222; https://doi.org/10.3390/min15111222 - 20 Nov 2025
Viewed by 488
Abstract
With the increasing demand for nickel, relentless efforts have been made to find alternative and highly selective collectors for recovering pentlandite. This study employed density functional theory (DFT) with dispersion correction to examine the interactions of iron-rich pentlandite (Fe5Ni4S [...] Read more.
With the increasing demand for nickel, relentless efforts have been made to find alternative and highly selective collectors for recovering pentlandite. This study employed density functional theory (DFT) with dispersion correction to examine the interactions of iron-rich pentlandite (Fe5Ni4S8) mineral surface with various collectors: S-allyl-N-diethyl-dithiocarbamate (ADEDTC), O-isopropyl-N-diethyl-thionocarbamate (IPDETC), sodium mercaptobenzothiazole (SMBT), and sodium-2,6-dithio-4-butylamino-1,3,5-triazine (SDTBAT). The plane surface of (311) proved to be the most stable surface with a surface energy of 1.48 J.m−2, aligning well with the experimental X-ray diffraction (XRD) results and morphology. Adsorption simulations were performed on both Ni and Fe atoms of the plane surface of (311). ADEDTC exhibited the most exothermic adsorption energy of −460.58 kJ.mol−1, compared to SMBT (−249.59 kJ.mol−1), IPDETC (−161.01 kJ.mol−1), and SDTBAT (−352.48 kJ.mol−1). The adsorption strengths followed the order ADEDTC > SMBT > SDTBAT > IPDETC. Importantly, these collectors showed a preferential adsorption on the Ni atoms over Fe atoms, indicating selectivity towards Ni sites on the pentlandite mineral surface. These findings suggested that ADEDTC was the most effective collector for flotation applications involving pentlandite. As such, ADEDTC could potentially replace commonly used collectors or be used as a co-collector in the recovery of pentlandite minerals. Full article
(This article belongs to the Section Mineral Processing and Extractive Metallurgy)
Show Figures

Graphical abstract

15 pages, 9756 KB  
Article
Interaction of Oxygen Molecules with Fe Atom-Doped γ-Graphyne Surfaces: First-Principles Calculations
by Bin Zhao, Jiayi Yin, Zhuoting Xiong, Wentao Yang, Peng Guo, Meng Li, Haoxian Zeng and Jianjun Wang
Nanomaterials 2025, 15(19), 1479; https://doi.org/10.3390/nano15191479 - 27 Sep 2025
Viewed by 621
Abstract
The activation and dissociation of O2 molecules play a key role in the oxidation of toxic gas molecules and the oxygen reduction reaction (ORR) in hydrogen–oxygen fuel cells. The interactions between O2 molecules and the surfaces of Fe-doped γ-graphyne were systematically [...] Read more.
The activation and dissociation of O2 molecules play a key role in the oxidation of toxic gas molecules and the oxygen reduction reaction (ORR) in hydrogen–oxygen fuel cells. The interactions between O2 molecules and the surfaces of Fe-doped γ-graphyne were systematically explored, mainly adopting the combined method of the density functional theory with dispersion correction (DFT-D3) and the climbing image nudged elastic band (CI-NEB) method. The order of the formation energy values of these defective systems is Ef(FeC2) < Ef(FeC1) < Ef(FeD1) < Ef(VC1) < Ef(VD1) < Ef(VC2) < Ef(FeD2) < Ef(VD2), which indicates that the process of Fe dopant atoms substituting single-carbon atoms/double-carbon atoms is relatively easier than the formation of vacancy-like defects. The results of ab initio molecular dynamics (AIMD) simulations confirm that the doped systems can maintain structural stability at room temperature conditions. Fe-doped atoms transfer a certain amount of electrons to the adsorbed O2 molecules, thereby causing an increase in the O-O bond length of the adsorbed O2 molecules. The electrons obtained by the anti-bonding 2π* orbitals of the adsorbed O2 molecules are mainly derived from the 3d orbitals of Fe atoms. There is a competitive relationship between the substrate’s carbon atoms and the adsorbed O2 molecules for the charges transferred from Fe atoms. In the C1 and C2 systems, O2 molecules have a greater advantage in electron accepting ability compared to the substrate’s carbon atoms. The elongation of O-O bonds and the amount of charge transfer exhibit a positive relationship. More electrons are transferred from Fe-3d orbitals to adsorbed O2 molecules, occupying the 2π* orbitals of adsorbed O2 molecules, further elongating the O-O chemical bond until it breaks. The dissociation process of adsorbed O2 molecules on the surfaces of GY-Fe systems (C2 and D2 sites) involves very low energy barriers (0.016 eV for C2 and 0.12 eV for D2). Thus, our studies may provide useful insights for designing catalyst materials for oxidation reactions and the oxygen reduction reaction. Full article
Show Figures

Graphical abstract

10 pages, 1926 KB  
Article
Transition-Metal Ni6−xCux (x = 0–6)/Hexagonal Boron Nitride Composite for CO Detection: A DFT Study
by Mayra Hernández-Oramas, Diana C. Navarro-Ibarra, Víctor A. Franco-Luján, Ramón Román-Doval, Fernando Toledo-Toledo, Reyna Ojeda-López and Fernando Montejo-Alvaro
J. Compos. Sci. 2025, 9(9), 510; https://doi.org/10.3390/jcs9090510 - 22 Sep 2025
Viewed by 1383
Abstract
The development of highly selective and sensitive gas sensors is essential for detecting toxic pollutants, such as carbon monoxide (CO), which pose severe health and environmental risks. In this work, the adsorption of CO molecules on Ni6−xCux (x = 0–6) [...] Read more.
The development of highly selective and sensitive gas sensors is essential for detecting toxic pollutants, such as carbon monoxide (CO), which pose severe health and environmental risks. In this work, the adsorption of CO molecules on Ni6−xCux (x = 0–6) clusters supported on hexagonal boron nitride quantum dots with nitrogen vacancies (h-BNVQDs) is explored through density functional theory (DFT) calculations. For this purpose, the stability of the metallic clusters supported on the boron nitride sheet was calculated, and the adsorption properties of the CO molecule on the Ni6−xCux (x = 0–6)/h-BNVQDs composite were determined. The results demonstrated a high binding energy between Ni6−xCux (x = 0–6) clusters and the h-BNVQDs sheets, suggesting that Ni-Cu clusters are highly stable on h-BNVQDs sheets. For CO adsorption, adsorption energy and charge transfer calculations indicated that the Ni6 and Ni6−xCux (x = 2 and 3) clusters exhibit the strongest CO binding and highest charge transfer, suggesting them as good candidates for CO gas sensing. These findings provide theoretical insights into the rational design of bimetallic catalysts for gas-sensing applications. Full article
(This article belongs to the Special Issue Theoretical and Computational Investigation on Composite Materials)
Show Figures

Graphical abstract

32 pages, 5781 KB  
Article
Mechanistic Insights into 5-Fluorouracil Adsorption on Clinoptilolite Surfaces: Optimizing DFT Parameters for Natural Zeolites, Part II
by Lobna Saeed and Michael Fischer
Appl. Sci. 2025, 15(17), 9535; https://doi.org/10.3390/app15179535 - 29 Aug 2025
Viewed by 1141
Abstract
Even though clinoptilolite mineral is the most important natural zeolite for technical applications, the molecular-level insights and detailed knowledge of their true local structures and adsorption behavior are largely lacking. An experimental determination of their surface structures, in particular, could be very challenging [...] Read more.
Even though clinoptilolite mineral is the most important natural zeolite for technical applications, the molecular-level insights and detailed knowledge of their true local structures and adsorption behavior are largely lacking. An experimental determination of their surface structures, in particular, could be very challenging due to the sensitivity of some facets to temperature and impurities. In this study, we present a robust multiscale modeling framework to investigate the adsorption of 5-fluorouracil, an anticancer drug, on dispersion-corrected density functional theory (DFT-D3)-optimized Na-clinoptilolite surfaces. Using a combination of interface force field and polymer consistent force field-based molecular dynamics with simulated annealing and parallel replica sampling, followed by DFT-D3 optimizations, we explore a wide configurational space of surface–molecule interactions. Our results show that Na-clinoptilolite surfaces support very strong adsorption, with adsorption energies ranging from −430.0 to −174.4 kJ/mol. Surface models with exposed Na cations consistently exhibit stronger binding, in contrast to their known steric hindrance effects in bulk environments. Furthermore, cation-free surfaces displayed relatively weaker interactions, yet configurations exposing the 8-membered rings (8 MR) demonstrated more favorable adsorption than those exposing 10 MR channels due to enhanced hydrogen bonding and spatial and entropic confinement effects. These findings reveal the importance of surface composition, local geometry, and configurational sampling in determining adsorption performance and lay the groundwork for future studies on cation-specific and multicationic clinoptilolite systems. Full article
(This article belongs to the Special Issue Development and Application of Computational Chemistry Methods)
Show Figures

Figure 1

17 pages, 3430 KB  
Article
The Influence of Support Basicity on the Adsorption of Lead on the (100) Surface of Alkaline Earth Metal Oxide Crystals
by Piotr Matczak
Crystals 2025, 15(9), 748; https://doi.org/10.3390/cryst15090748 - 23 Aug 2025
Viewed by 837
Abstract
Supports used in heterogeneous metallic catalysts serve as a structural skeleton across which metallic nanoparticles are dispersed, but specific properties of the supports may also determine the behavior of these nanoparticles in catalytic processes. For example, it is known that among various properties [...] Read more.
Supports used in heterogeneous metallic catalysts serve as a structural skeleton across which metallic nanoparticles are dispersed, but specific properties of the supports may also determine the behavior of these nanoparticles in catalytic processes. For example, it is known that among various properties of crystalline alkaline earth metal oxides serving as supports, the ability of their surface sites to donate electrons, that is their basicity, has an influence on the characteristics of the adsorbed metal. In the present work, the influence of MeO (Me = Mg, Ca, and Sr) basicity on the adsorption of Pb on the (100) surface of MeO crystals is studied by means of a dispersion-corrected density functional theory (DFT-D) computational method. The DFT-D calculations have characterized essential structural parameters, energetics, and the distribution of the electron charge for the Pb atoms and Pb dimers adsorbed at the regular O2− and defective Fs centers of MeO(100). It has been observed that an increase in the basicity of MeO(100) in the sequence MgO < CaO < SrO results in a more energetically favorable effect of Pb adsorption, a stronger interaction between Pb and the surface, and a greater amount of electron charge acquired by the adsorbed Pb atoms and dimers. These findings contribute to a better understanding of how support basicity may modulate certain characteristics of MeO-supported metallic catalysts containing Pb as an additive. From a computational viewpoint, this work shows that the inclusion of spin–orbit relativistic correction in the DFT-D calculations leads to a significant reduction in the strength of the interaction between Pb and MeO(100), but it does not change the aforementioned trend in the strength of this interaction as a function of support basicity. Full article
(This article belongs to the Special Issue Density Functional Theory (DFT) in Crystalline Material)
Show Figures

Figure 1

29 pages, 4982 KB  
Article
Comprehensive Investigation of Polymorphic Stability and Phase Transformation Kinetics in Tegoprazan
by Joo Ho Lee, Ki Hyun Kim, Se Ah Ryu, Jason Kim, Kiwon Jung, Ki Sung Kang and Tokutaro Yamaguchi
Pharmaceutics 2025, 17(7), 928; https://doi.org/10.3390/pharmaceutics17070928 - 18 Jul 2025
Cited by 1 | Viewed by 1978
Abstract
Background/Objectives: Tegoprazan (TPZ) is a potassium-competitive acid blocker (P-CAB) used to treat conditions such as gastroesophageal reflux disease, peptic ulcer, and Helicobacter pylori infection. It exists in three solid forms: amorphous, Polymorph A, and Polymorph B. This study investigates the molecular basis of [...] Read more.
Background/Objectives: Tegoprazan (TPZ) is a potassium-competitive acid blocker (P-CAB) used to treat conditions such as gastroesophageal reflux disease, peptic ulcer, and Helicobacter pylori infection. It exists in three solid forms: amorphous, Polymorph A, and Polymorph B. This study investigates the molecular basis of polymorph selection, focusing on conformational bias and solvent-mediated phase transformations (SMPTs). Methods: The conformational energy landscapes of two TPZ tautomers were constructed using relaxed torsion scans with the OPLS4 force field and validated by nuclear Overhauser effect (NOE)-based nuclear magnetic resonance (NMR). Hydrogen-bonded dimers were analyzed using DFT-D. Powder X-ray diffraction (PXRD), differential scanning calorimetry (DSC), solubility, and slurry tests were conducted using methanol, acetone, and water. Kinetic profiles were modeled with the Kolmogorov–Johnson–Mehl–Avrami (KJMA) equation. Results: Polymorph A was thermodynamically stable across all analyses. Both amorphous TPZ and Polymorph B converted to A in a solvent-dependent manner. Methanol induced direct A formation, while acetone showed a B → A transition. Crystallization was guided by solution conformers and hydrogen bonding. Conclusions: TPZ polymorph selection is governed by solution-phase conformational preferences, tautomerism, and solvent-mediated hydrogen bonding. DFT-D and NMR analyses showed that protic solvents favor the direct crystallization of stable Polymorph A, while aprotic solvents promote the transient formation of metastable Polymorph B. Elevated temperatures and humidity accelerate polymorphic transitions. This crystal structure prediction (CSP)-independent strategy offers a practical framework for rational polymorph control and the mitigation of disappearing polymorph risks in tautomeric drugs. Full article
(This article belongs to the Special Issue Drug Polymorphism and Dosage Form Design, 2nd Edition)
Show Figures

Graphical abstract

14 pages, 5810 KB  
Article
CO2 Absorption on Cu-Doped Graphene, a DFT Study
by Juan Oseas López Fuentes, Roxana Mitzayé del Castillo Vázquez and Juan Manuel Ramirez-de-Arellano
Crystals 2025, 15(5), 460; https://doi.org/10.3390/cryst15050460 - 14 May 2025
Cited by 1 | Viewed by 2683
Abstract
We studied the interaction between a Cu-doped graphene layer and a CO2 molecule, using DFT, ab initio calculations, and the pseudopotential formalism. We used the Quantum ESPRESSO code package, with the PBE XC functional expression and the semiempirical Grimme’s DFT-D3 Van der [...] Read more.
We studied the interaction between a Cu-doped graphene layer and a CO2 molecule, using DFT, ab initio calculations, and the pseudopotential formalism. We used the Quantum ESPRESSO code package, with the PBE XC functional expression and the semiempirical Grimme’s DFT-D3 Van der Waals correction. We found that the Cu atom, being absorbed in a C vacancy on the graphene surface, has a catalytic effect on the absorption of CO2 in said surface. The Van der Waals correction calculations showed that the CO2 is physisorbed, with an adsorption energy of −0.1786 eV. Our results are congruent with previously published results. The Cu-doped graphene surface could be suitable for the development of a CO2 sensor. Full article
(This article belongs to the Section Inorganic Crystalline Materials)
Show Figures

Figure 1

27 pages, 7034 KB  
Article
Computational Insights into Aluminum and Cation Placement in Clinoptilolite: Optimizing DFT Parameters for Natural Zeolites, Part I
by Lobna Saeed and Michael Fischer
Appl. Sci. 2025, 15(7), 3955; https://doi.org/10.3390/app15073955 - 3 Apr 2025
Cited by 1 | Viewed by 1144
Abstract
Several experimental studies have shown that clinoptilolite zeolite is a suitable candidate for the adsorption of pharmaceuticals and related compounds. However, there is a significant lack of detailed molecular-level insights regarding how the adsorbed species interact with the zeolite surface. In this work, [...] Read more.
Several experimental studies have shown that clinoptilolite zeolite is a suitable candidate for the adsorption of pharmaceuticals and related compounds. However, there is a significant lack of detailed molecular-level insights regarding how the adsorbed species interact with the zeolite surface. In this work, we employ electronic structure calculations and propose a reliable set of input parameters within the CP2K code in the framework of dispersion-corrected density functional theory (DFT-D) to generate bulk models and study Al and cation distributions. We aim ultimately to investigate the adsorption of emerging contaminants at the clinoptilolite surfaces. Nine different exchange-correlation functionals were tested, and the results suggest that B97-D3 functional is the most robust for this system. Moreover, our results suggest that Na+ prefers the presence of Al at T2 and T3 sites but not at T1 sites and prefers being present in channel A and/or channel B. Ca2+ tends to favor being present in channel B and favors the presence of Al at T1, T2, and T3 sites. K+ prefers the smallest channel C and likes the presence of Al at T1 and T3 sites. Moreover, we found out that the optimization of the basis sets improves the coordination of extra-framework cations like Ca with the framework oxygens. Full article
(This article belongs to the Special Issue Development and Application of Computational Chemistry Methods)
Show Figures

Figure 1

25 pages, 3475 KB  
Article
Structure Determination of Tegoprazan((S)-4-((5,7-difluorochroman-4-yl)oxy)-N,N,2-trimethyl-1H-benzo[d]imidazole-6-formamide) Polymorphs A and B by Laboratory X-Ray Powder Diffraction
by Seah Ryu, JooHo Lee, Jason Kim and Tokutaro Yamaguchi
Molecules 2025, 30(7), 1538; https://doi.org/10.3390/molecules30071538 - 30 Mar 2025
Cited by 2 | Viewed by 2174
Abstract
Tegoprazan is a potassium ion-competitive acid blocker (P-CAB) and a novel inhibitor of gastric acid secretion. The compound exists in two crystalline polymorphs, A and B, whose structures had not previously been reported. In this study, both polymorphs were analyzed by liquid- and [...] Read more.
Tegoprazan is a potassium ion-competitive acid blocker (P-CAB) and a novel inhibitor of gastric acid secretion. The compound exists in two crystalline polymorphs, A and B, whose structures had not previously been reported. In this study, both polymorphs were analyzed by liquid- and solid-state NMR, revealing identical tautomeric states. Using this information, the crystal structures were determined from laboratory powder X-ray diffraction data by simulated annealing and Rietveld refinement. Both forms were found to crystallize in the monoclinic space group P21, with Z = 4 and two independent molecules in the asymmetric unit (Z′ = 2). To assess the stability and reliability of the refined structures, we attempted geometry optimization and vibrational analysis using DFT-D methods. However, due to the high conformational complexity of Z′ = 2 systems, these calculations failed to converge or produced imaginary frequencies. Instead, single-point energy calculations were performed on the refined models. The resulting relative energy differences, together with solubility data, van’t Hoff enthalpies, and DSC profiles, consistently indicated that Polymorph A is more stable than Polymorph B. These results highlight the challenges of structure validation via DFT-D for complex molecular crystals and demonstrate the value of integrating experimental and computational approaches for polymorph characterization. Full article
Show Figures

Graphical abstract

23 pages, 21467 KB  
Article
Protecting Dynamically Obfuscated Scan Chain Architecture from DOSCrack with Trivium Pseudo-Random Number Generation
by Jiaming Wu, Olivia Dizon-Paradis, Sazadur Rahman, Damon L. Woodard and Domenic Forte
Cryptography 2025, 9(1), 6; https://doi.org/10.3390/cryptography9010006 - 14 Jan 2025
Cited by 2 | Viewed by 1990
Abstract
Design-for-test/debug (DfT/D) introduces scan chain testing to increase testability and fault coverage by inserting scan flip-flops. However, these scan chains are also known to be a liability for security primitives. In previous research, the dynamically obfuscated scan chain (DOSC) was introduced to protect [...] Read more.
Design-for-test/debug (DfT/D) introduces scan chain testing to increase testability and fault coverage by inserting scan flip-flops. However, these scan chains are also known to be a liability for security primitives. In previous research, the dynamically obfuscated scan chain (DOSC) was introduced to protect logic-locking keys from scan-based attacks by obscuring test patterns and responses. In this paper, we present DOSCrack, an oracle-guided attack to de-obfuscate DOSC using symbolic execution and binary clustering, which significantly reduces the candidate seed space to a manageable quantity. Our symbolic execution engine employs scan mode simulation and satisfiability modulo theories (SMT) solvers to reduce the possible seed space, while obfuscation key clustering allows us to effectively rule out a group of seeds that share similarities. An integral component of our approach is the use of sequential equivalence checking (SEC), which aids in identifying distinct simulation patterns to differentiate between potential obfuscation keys. We experimentally applied our DOSCrack framework on four different sizes of DOSC benchmarks and compared their runtime and complexity. Finally, we propose a low-cost countermeasure to DOSCrack which incorporates a nonlinear feedback shift register (NLFSR) to increase the effort of symbolic execution modeling and serves as an effective defense against our DOSCrack framework. Our research effectively addresses a critical vulnerability in scan-chain obfuscation methodologies, offering insights into DfT/D and logic locking for both academic research and industrial applications. Our framework highlights the need to craft robust and adaptable defense mechanisms to counter evolving scan-based attacks. Full article
(This article belongs to the Special Issue Emerging Topics in Hardware Security)
Show Figures

Figure 1

16 pages, 3995 KB  
Article
Density Functional Theory Calculations for Interpretation of Infra-Red Spectra of Liquid Crystalline Chiral Compound
by Aleksandra Deptuch, Natalia Górska, Michaela Murzyniec, Monika Srebro-Hooper, James Hooper, Magdalena Dziurka and Magdalena Urbańska
Crystals 2024, 14(7), 645; https://doi.org/10.3390/cryst14070645 - 13 Jul 2024
Cited by 1 | Viewed by 2326
Abstract
The experimental IR spectra of (S)-4′-(1-methylheptyloxycarbonyl) biphenyl-4-yl 4-[2-(2,2,3,3,4,4,4-heptafluorobutoxy) ethyl-1-oxy]-2-fluorobenzoate in the crystal phase are analyzed with the help of dispersion-corrected density functional theory (DFT+D3) calculations for isolated molecular monomer and dimer models, and a periodic model computed at the extended density [...] Read more.
The experimental IR spectra of (S)-4′-(1-methylheptyloxycarbonyl) biphenyl-4-yl 4-[2-(2,2,3,3,4,4,4-heptafluorobutoxy) ethyl-1-oxy]-2-fluorobenzoate in the crystal phase are analyzed with the help of dispersion-corrected density functional theory (DFT+D3) calculations for isolated molecular monomer and dimer models, and a periodic model computed at the extended density functional tight-binding (xTB) level of theory. It is found that the frequency scaling coefficients obtained with the results of the molecular calculations are good matches for the crystal phase, being close to 1. The molecular and periodic models both confirm that varied intra- and intermolecular interactions are crucial in order to reproduce the broadened shape of the experimental band related to C=O stretching; the key factors are the conjugation of the ester groups with the aromatic rings and the varied intermolecular chemical environments, wherein the C=O group that bridges the biphenyl and F-substituted phenyl groups seems particularly sensitive. The C=O stretching vibrations are investigated as a function of temperature, covering the range of the crystal, smectic CA*, smectic C* and isotropic liquid phases. The structure changes are followed based on the X-ray diffraction patterns collected in the same temperatures as the IR spectra. The experimental and computational results taken together indicate that the amount of weak C=O…H-C hydrogen bonds between the molecules in the smectic layers decreases with increasing temperature. Full article
(This article belongs to the Special Issue Liquid Crystal Research and Novel Applications in the 21st Century)
Show Figures

Figure 1

14 pages, 4225 KB  
Article
A Theoretical Investigation into the Oligomer Structure of Carbon Dots Formed from Small-Molecule Precursors
by Chunlan Li, Xu Zhu and Maotian Xu
Molecules 2024, 29(12), 2920; https://doi.org/10.3390/molecules29122920 - 19 Jun 2024
Cited by 1 | Viewed by 1448
Abstract
In-depth insights into the oligomers of carbon dots (CDs) prepared from small-molecule precursors are important in the study of the carbonization mechanism of CDs and for our knowledge of their complex structure. Herein, citric acid (CA) and ethylenediamine (EDA) were used as small-molecule [...] Read more.
In-depth insights into the oligomers of carbon dots (CDs) prepared from small-molecule precursors are important in the study of the carbonization mechanism of CDs and for our knowledge of their complex structure. Herein, citric acid (CA) and ethylenediamine (EDA) were used as small-molecule precursors to prepare CDs in an aqueous solution. The structure of oligomers acquired from CA and EDA in different molar ratios and their formation process were first studied using density functional theory, including the dispersion correction (DFT-D3) method. The results showed that the energy barrier of dimer cyclization was higher than that of its linear polymerization, but the free energy of the cyclized product was much lower than that of its reactant, and IPCA (5-oxo-1,-2,3,5-tetrahydroimidazo [1,2-a]pyridine-7-carboxylic acid) could therefore be obtained under certain conditions. The oligomers obtained from different molar ratios of EDA and CA were molecular clusters formed by short polyamide chains through intermolecular forces; with the exception of when the molar ratio of EDA to CA was 0.5, excessive CA did not undergo an amidation reaction but rather attained molecular clusters directly through intermolecular forces. These oligomers exhibited significant differences in their surface functional groups, which would affect the carbonization process and the surface structure of CDs. Full article
Show Figures

Graphical abstract

26 pages, 12847 KB  
Article
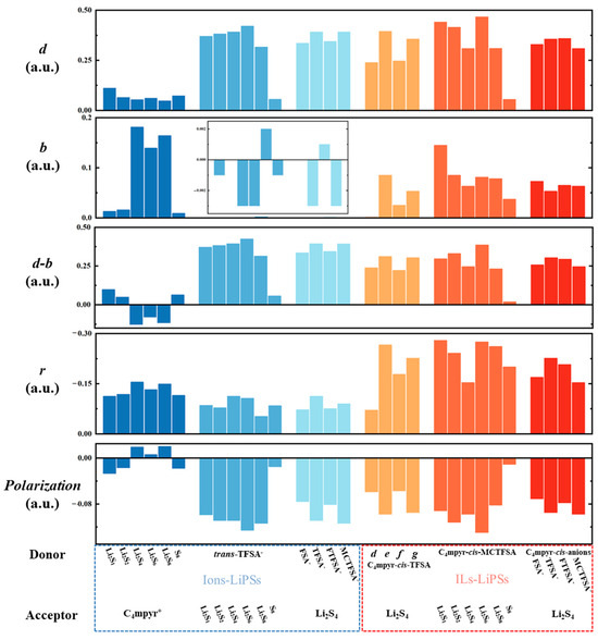
The Interactions between Ionic Liquids and Lithium Polysulfides in Lithium–Sulfur Batteries: A Systematic Density Functional Theory Study
by Chengren Li, Nan Zhou, Rongde Sun, Jiaxin Tang, Jianglu Liu, Jianhua He, Changjun Peng, Honglai Liu and Shaoze Zhang
Materials 2024, 17(11), 2689; https://doi.org/10.3390/ma17112689 - 2 Jun 2024
Cited by 3 | Viewed by 1743
Abstract
Ionic liquids (ILs) based on hybrid anions have recently garnered attention as beguiling alternative electrolytes for energy storage devices. This attention stems from the potential of these asymmetric anions to reduce the melting point of ILs and impede the crystallization of ILs. Furthermore, [...] Read more.
Ionic liquids (ILs) based on hybrid anions have recently garnered attention as beguiling alternative electrolytes for energy storage devices. This attention stems from the potential of these asymmetric anions to reduce the melting point of ILs and impede the crystallization of ILs. Furthermore, they uphold the advantages associated with their more conventional symmetric counterparts. In this study, we employed dispersion-corrected density functional theory (DFT-D) calculations to scrutinize the interplay between two hybrid anions found in ionic liquids [FTFSA] and [MCTFSA] and the [C4mpyr]+ cation, as well as in lithium polysulfides in lithium–sulfur batteries. For comparison, we also examined the corresponding ILs containing symmetric anions, [TFSA] and [FSA]. We found that the hybrid anion [MCTFSA] and its ionic liquid exhibited exceptional stability and interaction strength. Additionally, our investigation unveiled a remarkably consistent interaction between ionic liquids (ILs) and anions with lithium polysulfides (and S8) during the transition from octathiocane (S8) to the liquid long-chain Li2Sn (4 ≤ n ≤ 8). This contrasts with the gradual alignment observed between cations and lithium polysulfides during the intermediate state from Li2S4 to the solid short-chain Li2S2 and Li2S1. We thoroughly analyzed the interaction mechanism of ionic liquids composed of different symmetry anions and their interactions with lithium polysulfides. Full article
(This article belongs to the Section Energy Materials)
Show Figures

Graphical abstract

20 pages, 10762 KB  
Article
Interfacial Interaction in MeOx/MWNTs (Me–Cu, Ni) Nanostructures as Efficient Electrode Materials for High-Performance Supercapacitors
by Galina E. Yalovega, Maria Brzhezinskaya, Victor O. Dmitriev, Valentina A. Shmatko, Igor V. Ershov, Anna A. Ulyankina, Daria V. Chernysheva and Nina V. Smirnova
Nanomaterials 2024, 14(11), 947; https://doi.org/10.3390/nano14110947 - 28 May 2024
Cited by 29 | Viewed by 1890
Abstract
Due to their unique physical and chemical properties, complex nanostructures based on carbon nanotubes and transition metal oxides are considered promising electrode materials for the fabrication of high-performance supercapacitors with a fast charge rate, high power density, and long cycle life. The crucial [...] Read more.
Due to their unique physical and chemical properties, complex nanostructures based on carbon nanotubes and transition metal oxides are considered promising electrode materials for the fabrication of high-performance supercapacitors with a fast charge rate, high power density, and long cycle life. The crucial role in determining their efficiency is played by the properties of the interface in such nanostructures, among them, the type of chemical bonds between their components. The complementary theoretical and experimental methods, including dispersion-corrected density functional theory (DFT-D3) within GGA-PBE approximation, scanning electron microscopy (SEM), X-ray diffraction (XRD), Raman, X-ray photoelectron, and X-ray absorption spectroscopies, were applied in the present work for the comprehensive investigation of surface morphology, structure, and electronic properties in CuOx/MWCNTs and NiOx/MWCNTs. As a result, the type of interfacial interaction and its correlation with electrochemical characteristics were determined. It was found that the presence of both Ni–O–C and Ni–C bonds can increase the contact between NiO and MWCNTs, and, through this, promote electron transfer between NiO and MWCNTs. For NiOx/MWCNTs, better electrochemical characteristics were observed than for CuOx/MWCNTs, in which the interfacial interaction is determined only by bonding through Cu–O–C bonds. The electrochemical properties of CuOx/MWCNTs and NiOx/MWCNTs were studied to demonstrate the effect of interfacial interaction on their efficiency as electrode materials for supercapacitor applications. Full article
(This article belongs to the Section 2D and Carbon Nanomaterials)
Show Figures

Figure 1

24 pages, 7004 KB  
Article
DFT-D3 and TD-DFT Studies of the Adsorption and Sensing Behavior of Mn-Phthalocyanine toward NH3, PH3, and AsH3 Molecules
by Heba Mohamed Badran, Khaled Mahmoud Eid, Hatim Omar Al-Nadary and Hussein Youssef Ammar
Molecules 2024, 29(10), 2168; https://doi.org/10.3390/molecules29102168 - 7 May 2024
Cited by 13 | Viewed by 2297
Abstract
This study employs density functional theory (DFT) calculations at the B3LYP/6-311+g(d,p) level to investigate the interaction of XH3 gases (X = N, P, As) with the Mn-phthalocyanine molecule (MnPc). Grimme’s D3 dispersion correction is applied to consider long-range interactions. The adsorption behavior [...] Read more.
This study employs density functional theory (DFT) calculations at the B3LYP/6-311+g(d,p) level to investigate the interaction of XH3 gases (X = N, P, As) with the Mn-phthalocyanine molecule (MnPc). Grimme’s D3 dispersion correction is applied to consider long-range interactions. The adsorption behavior is explored under the influence of an external static electric field (EF) ranging from −0.514 to 0.514 V/Å. Chemical adsorption of XH3 molecules onto the MnPc molecule is confirmed. The adsorption results in a significant decrease in the energy gap (Eg) of MnPc, indicating the potential alteration of its optical properties. Quantum theory of atoms in molecules (QTAIM) analysis reveals partially covalent bonds between XH3 and MnPc, and the charge density differenc (Δρ) calculations suggest a charge donation-back donation mechanism. The UV-vis spectrum of MnPc experiences a blue shift upon XH3 adsorption, highlighting MnPc’s potential as a naked-eye sensor for XH3 molecules. Thermodynamic calculations indicate exothermic interactions, with NH3/MnPc being the most stable complex. The stability of NH3/MnPc decreases with increasing temperature. The direction and magnitude of the applied electric field (EF) play a crucial role in determining the adsorption energy (Eads) for XH3/MnPc complexes. The Eg values decrease with an increasing negative EF, which suggests that the electrical conductivity (σ) and the electrical sensitivity (ΔEg) of the XH3/MnPc complexes are influenced by the magnitude and direction of the applied EF. Overall, this study provides valuable insights into the suggested promising prospects for the utilization of MnPc in sensing applications of XH3 gases. Full article
(This article belongs to the Section Computational and Theoretical Chemistry)
Show Figures

Figure 1

Back to TopTop