Sign in to use this feature.

Years

Between: -

Subjects

remove_circle_outline
remove_circle_outline
remove_circle_outline
remove_circle_outline
remove_circle_outline
remove_circle_outline
remove_circle_outline
remove_circle_outline
remove_circle_outline

Journals

remove_circle_outline
remove_circle_outline
remove_circle_outline
remove_circle_outline

Article Types

Countries / Regions

remove_circle_outline
remove_circle_outline
remove_circle_outline
remove_circle_outline
remove_circle_outline

Search Results (296)

Search Parameters:
Keywords = Czechia

Order results
Result details
Results per page
Select all
Export citation of selected articles as:
28 pages, 1597 KB  
Article
The Influence of Material and Process Parameters on Pressure Agglomeration and Properties of Pellets Produced from Torrefied Forest Logging Residues
by Arkadiusz Gendek, Monika Aniszewska, Paweł Tylek, Grzegorz Szewczyk, Jozef Krilek, Iveta Čabalová, Jan Malaťák, Jiří Bradna and Katalin Szakálos-Mátyás
Materials 2026, 19(2), 317; https://doi.org/10.3390/ma19020317 - 13 Jan 2026
Viewed by 131
Abstract
Pellets produced from raw or torrefied shredded logging residues have been investigated in the study. The research material came from pine and spruce stands in Poland, Slovakia, Czechia and Hungary. Torrefaction temperatures (Tt) of 250, 300, and 400 °C were [...] Read more.
Pellets produced from raw or torrefied shredded logging residues have been investigated in the study. The research material came from pine and spruce stands in Poland, Slovakia, Czechia and Hungary. Torrefaction temperatures (Tt) of 250, 300, and 400 °C were applied. Before pressure agglomeration, 3% wheat flour was added to the torrefaction material as a binding agent. Pellets with a diameter of 8 mm were produced at constant humidity, compaction pressure (P) of 140 or 180 MPa and agglomeration temperature (Ta) of 100, 120 or 140 °C. The produced pellets were assessed for their physicomechanical parameters (density, radial compressive strength, compression ratio, modulus of elasticity), chemical parameters (extractive compounds, cellulose, lignin) and energy parameters (ash content, elemental composition, calorific value). The results were subjected to basic statistical analysis and multi-way ANOVA. The produced pellets varied in physical, mechanical, chemical and energy properties. A significant effect of torrefaction temperature, agglomeration temperature and compaction pressure on the results was observed. In terms of physicomechanical parameters, the best pellets were produced from the raw material, while in terms of energy parameters, those produced from the torrefied material were superior. Pellets of satisfactory quality produced from torrefied logging residues could be obtained at Tt = 250 °C, Ta = 120 °C and P = 180 MPa. Pellets with specific density of approximately 1.1 g·cm−3, radial compressive strength of 3–3.5 MPa, modulus of elasticity of 60–80 MPa and calorific value of 20.3–23.8 MJ·kg−1 were produced in the process. Full article
(This article belongs to the Special Issue Catalysis for Biomass Materials Conversion)
Show Figures

Figure 1

18 pages, 1975 KB  
Article
Omorika Spruce as a Potential Substitute for Norway Spruce and Blue Spruce in Post-Pollution Reforestation for Industrial Use
by Aleš Zeidler, Václav Trojan, Stanislav Vacek, Zdeněk Vacek, Karol Tomczak, Jan Cukor, Urszula Strugarek, Vlastimil Borůvka, Arkadiusz Tomczak, Josef Gallo and Pavel Brabec
Forests 2026, 17(1), 109; https://doi.org/10.3390/f17010109 - 13 Jan 2026
Viewed by 193
Abstract
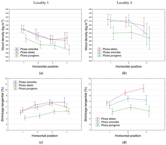
Norway spruce (Picea abies [L.] Karst.) plays a key role in European forestry as well as in the wood-processing industry. Identifying suitable alternative species has become increasingly important. In this study, we compared several spruce species originating from two sites in the [...] Read more.
Norway spruce (Picea abies [L.] Karst.) plays a key role in European forestry as well as in the wood-processing industry. Identifying suitable alternative species has become increasingly important. In this study, we compared several spruce species originating from two sites in the Ore Mountains (Krušné hory, 483–883 m a.s.l.), an area severely affected by an extensive air-pollution disaster (high SO2 concentrations) during the 1970s and 1980s. Norway spruce, Serbian spruce (Picea omorika [Panč.] Purk.) and blue spruce (Picea pungens Engelm.) were evaluated in terms of production potential, carbon sequestration relevant to climate-change mitigation, and selected physical wood properties (wood density and shrinkage). The greatest stem volume and corresponding carbon sequestration were recorded for P. omorika (0.191 m3; 75.5 kg), followed by P. abies (0.142 m3; 49.0 kg), while P. pungens showed significantly (p < 0,05) lower values (0.069 m3; 30.6 kg). In terms of wood properties, the highest wood-density values were obtained for P. omorika, together with P. abies, at both sites. P. pungens exhibited lower wood densities. In terms of shrinkage, the species displayed similar values. Overall, our results indicate that P. omorika is comparable to P. abies, and its wood could therefore serve as a suitable substitute for certain applications. Full article
Show Figures

Figure 1

25 pages, 513 KB  
Article
Regulatory Risk in Green FinTech: Comparative Insights from Central Europe
by Simona Heseková, András Lapsánszky, János Kálmán, Michal Janovec and Anna Zalcewicz
Risks 2026, 14(1), 8; https://doi.org/10.3390/risks14010008 - 4 Jan 2026
Viewed by 321
Abstract
Green fintech merges sustainable finance with data-intensive innovation, but national translations of EU rules can create regulatory risk. This study examines how such risk manifests in Central Europe and which policy tools mitigate it. We develop a three-dimension framework—regulatory clarity and scope, supervisory [...] Read more.
Green fintech merges sustainable finance with data-intensive innovation, but national translations of EU rules can create regulatory risk. This study examines how such risk manifests in Central Europe and which policy tools mitigate it. We develop a three-dimension framework—regulatory clarity and scope, supervisory consistency, and innovation facilitation—and apply a comparative qualitative design to Hungary, Slovakia, Czechia, and Poland. Using a common EU baseline, we compile coded national snapshots from primary legal texts, supervisory documents, and recent scholarship. Results show material cross-country variation in labelling practice, soft-law use, and testing infrastructure: Hungary combines central-bank green programmes with an innovation hub/sandbox; Slovakia aligns with ESMA and runs hub/sandbox, though the green-fintech pipeline is nascent; Czechia applies a principles-based safe harbour and lacks a national sandbox; and Poland relies on a virtual sandbox and binding interpretations with limited soft law. These choices shape approval timelines, retail penetration, and cross-border portability of green-labelled products. We conclude with a policy toolkit: labelling convergence or explicit safe harbours, a cross-border sandbox federation, ESRS/ESAP-ready proportionate disclosures, consolidation of recurring interpretations into soft law, investment in suptech for green-claims analytics, and inclusion metrics in sandbox selection. Full article
Show Figures

Figure 1

16 pages, 277 KB  
Article
When Sustainability Meets Innovation: A Cross-Country Study on Dairy Consumer Choices in Poland, Germany, and Czechia
by Ewa Halicka, Małgorzata Kosicka-Gębska, Jerzy Gębski and Krystyna Rejman
Foods 2026, 15(1), 111; https://doi.org/10.3390/foods15010111 - 30 Dec 2025
Viewed by 240
Abstract
Consumer food choices play a significant role in supporting sustainable, resilient, and equitable food systems by shaping the environmental, economic, and social impact of diets. To determine whether environmental concerns and innovativeness drive Europeans to buy more sustainable foods, quantitative data were collected [...] Read more.
Consumer food choices play a significant role in supporting sustainable, resilient, and equitable food systems by shaping the environmental, economic, and social impact of diets. To determine whether environmental concerns and innovativeness drive Europeans to buy more sustainable foods, quantitative data were collected from 3131 adults in three countries. A Logistic Regression Model was developed to assess the quantitative impact of variables on consumers’ likelihood to choose sustainably produced foods. Respondents who paid attention to whether food items are produced and/or packaged in an environmentally friendly way were 94% and 48% more likely to purchase sustainably produced products, respectively. Readiness to purchase a dairy product that the buyer had never heard of resulted in a 15% increase in the likelihood of selecting sustainably produced foods. Additionally, respondents living in Germany were 30% more likely to choose sustainable products compared to Polish consumers, while Czech consumers were 10% less likely to do so. Implementing campaigns focusing on promoting sustainable diets could consequently determine and accelerate the adoption of environmentally friendly production practices in the food system. Our findings provide evidence for policymakers, the business community, and educators who aspire to improve the health of people and the planet as a whole. Full article
(This article belongs to the Special Issue Current Challenges in the Dairy Industry)
22 pages, 348 KB  
Article
Agroecological Adoption Pathways in Europe: Drivers, Barriers, and Policy Implication Opportunities in the Czech Republic, Hungary, and Portugal
by Apolka Ujj, Kinga Nagyné Pércsi, Fernanda Ramos-Diaz, Jana Budimir-Marjanović, Lanka Horstink, Rita Queiroga-Bento, Chisenga Emmanuel Mukosha, Jan Moudrý, Koponicsné Györke Diána and Paulina Jancsovszka
Agriculture 2025, 15(23), 2414; https://doi.org/10.3390/agriculture15232414 - 24 Nov 2025
Viewed by 687
Abstract
Agroecology offers a transformative pathway toward sustainable food systems by integrating ecological, economic, and social dimensions of farming. While its conceptual and policy foundations are increasingly recognized in European Union (EU) strategies, the practical adoption of agroecological principles at the farm level remains [...] Read more.
Agroecology offers a transformative pathway toward sustainable food systems by integrating ecological, economic, and social dimensions of farming. While its conceptual and policy foundations are increasingly recognized in European Union (EU) strategies, the practical adoption of agroecological principles at the farm level remains uneven, particularly in socio-economically peripheral Member States. This article investigates the enabling and constraining factors of agroecological uptake in three EU countries—Czech Republic, Hungary, and Portugal, using a mixed qualitative approach that combined literature review, policy mapping, and 42 in-depth farmer interviews conducted in 2020–2021. Data were analyzed through a shared coding framework, iterative team discussions, and a standardized comparative matrix to ensure cross-country validity. The results reveal shared barriers, including limited institutional coordination, subsidy dependency, and structural land inequalities, alongside country-specific dynamics such as farmer-to-farmer learning in Portugal, family-farm identity in Czechia, and trust-based advisory relations in Hungary. The findings underscore that systemic constraints, rather than conceptual gaps, impede agroecological transitions, and highlight the need for context-sensitive policy instruments, advisory reforms, and training programs aligned with agroecological principles. The paper contributes to the literature by providing empirical insight into farmer attitudes and practices in Central and Southern Europe and by offering actionable recommendations for designing policies and training. Full article
(This article belongs to the Special Issue Agroecological Transition in Sustainable Food Systems)
20 pages, 885 KB  
Article
Response of Wheat and Sugar Beet to Different Mineral–Organic Fertilization in a Long-Term Experiment
by Przemysław Barłóg, Lukáš Hlisnikovský, Remigiusz Łukowiak, Ladislav Menšík and Eva Kunzová
Life 2025, 15(11), 1779; https://doi.org/10.3390/life15111779 - 20 Nov 2025
Viewed by 455
Abstract
The effect of cyclic pig slurry (PS) application in long-term crop rotations with alfalfa is poorly recognized, particularly with regard to nitrogen use efficiency (NUE) in crops requiring relatively high nitrogen (N) inputs. A long-term field experiment was established in Prague-Ruzyně, Czechia, in [...] Read more.
The effect of cyclic pig slurry (PS) application in long-term crop rotations with alfalfa is poorly recognized, particularly with regard to nitrogen use efficiency (NUE) in crops requiring relatively high nitrogen (N) inputs. A long-term field experiment was established in Prague-Ruzyně, Czechia, in 1955. The experiment evaluated the effects of eight fertilization combinations, involving PS application and various N, phosphorus (P) and potassium (K) rates (N0P0K0; N1P1K1; N3P2K2; and N4P2K2). The effect of fertilization was evaluated in a 9-year crop rotation, in which PS was applied only three times under root crops. Long-term different mineral fertilization treatments and the application of PS significantly affected the yield of the tested crops: winter wheat and sugar beet. The highest wheat yield (8.34 t ha−1) was observed in the PS+N3P2K2 treatment, while the highest beet yield (86.1 t ha−1) was recorded in the PS+N4P2K2 treatment. The differences compared with the absolute control (N0P0K0) were 62.3% and 40.5%, respectively. However, statistically significant differences between treatments with different NPK rates were recorded only in plots without PS. With increasing NPK fertilizer rates, the uptake of macronutrients by plants also increased. The only exception was calcium in sugar beet in PS plots. The total N accumulation in plants was proportionally related to the total N input to the soil–plant system (Nin). For winter wheat, this trend was beneficial, as it resulted in higher protein yield, whereas in beet, the sugar yield did not increase significantly when Nin exceeded 250 kg N ha−1. The obtained results indicate that, in the soil conditions of this experiment, N rates should be primarily balanced with appropriate rates of phosphorus. Full article
(This article belongs to the Special Issue Cereal Production Systems: Climate-Fertilizer-Crop Yield Dynamics)
Show Figures

Figure 1

22 pages, 7917 KB  
Article
Sustainable Usage of Natural Resources of Upper Odra River Valley Within the Range of Influence of the Racibórz Dolny Dry Polder Compared to 1997, 2010, and 2024 Pluvial Floods
by Andrzej Gałaś, Grzegorz Wierzbicki, Slávka Gałaś, Marta Utratna-Żukowska and Julián Kondela
Sustainability 2025, 17(22), 10168; https://doi.org/10.3390/su172210168 - 13 Nov 2025
Viewed by 921
Abstract
Floods, especially in urbanised areas, incur enormous economic and social losses. The structural flood management is often limited by urbanization and environmental issues. Following the catastrophic flood events of 1997 and 2010, a relatively large dry polder was constructed in Racibórz Dolny, Poland, [...] Read more.
Floods, especially in urbanised areas, incur enormous economic and social losses. The structural flood management is often limited by urbanization and environmental issues. Following the catastrophic flood events of 1997 and 2010, a relatively large dry polder was constructed in Racibórz Dolny, Poland, with the highest flood retention capacity in Central Europe. During the 2024 flood in Czechia and Poland, the polder was filled to 80%, which significantly reduced the floodwave crest on the Odra River (by 1.65 m), halved the peak discharge, and delayed the floodwave passage by two days according to hydrological calculations. The operation of the polder enables multifunctional use of the river valley—ranging from agriculture and mineral extraction to environmental protection—without the need for permanent water impoundment. Aggregate extraction carried out within the basin contributed to shaping the reservoir, reducing the demand for transport and construction materials, while the overburden was reused for engineering and reclamation purposes. Mining activities between 2007 and 2023 increased the retention capacity of the polder by 13%, providing an example of rational environmental resource management combined with effective flood protection. The findings demonstrate that integrating retention functions with mineral resource management represents an efficient and sustainable approach to mitigating flood impacts in large European river valleys. Full article
(This article belongs to the Section Hazards and Sustainability)
Show Figures

Figure 1

25 pages, 1123 KB  
Article
Between Old Law and New Practice: The Policy–Implementation Gap in Türkiye’s Forest Governance Transition
by Üstüner Birben, Meriç Çakır, Nilay Tulukcu Yıldızbaş, Hasan Tezcan Yıldırım, Dalia Perkumienė, Mindaugas Škėma and Marius Aleinikovas
Forests 2025, 16(11), 1721; https://doi.org/10.3390/f16111721 - 12 Nov 2025
Cited by 1 | Viewed by 743
Abstract
Türkiye’s forest governance exhibits a persistent policy–implementation gap rooted in a governance paradox: while the Ecosystem-Based Functional Planning (EBFP) system promotes ecological integrity and adaptive management, the foundational Forest Law No. 6831 (1956) still legitimizes extractive uses under a broad “public interest” doctrine. [...] Read more.
Türkiye’s forest governance exhibits a persistent policy–implementation gap rooted in a governance paradox: while the Ecosystem-Based Functional Planning (EBFP) system promotes ecological integrity and adaptive management, the foundational Forest Law No. 6831 (1956) still legitimizes extractive uses under a broad “public interest” doctrine. This contradiction has enabled 94,148 permits covering 654,833 ha of forest conversion, while marginalizing nearly seven million forest-dependent villagers from decision-making. The study applies a doctrinal and qualitative document-analysis approach, integrating legal, institutional, and socio-economic dimensions. It employs a comparative design with five EU transition countries—Poland, Romania, Bulgaria, Czechia, and Greece—selected for their shared post-socialist administrative legacies and diverse pathways of forest-governance reform. The analysis synthesizes legal norms, policy instruments, and institutional practices to identify drivers of reform inertia and regulatory capture. Findings reveal three interlinked failures: (1) institutional and ministerial conflicts that entrench centralized decision-making and weaken environmental oversight—illustrated by the fact that only 0.97% of Environmental Impact Assessments receive negative opinions; (2) economic and ecological losses, with foregone ecosystem-service values exceeding EUR 200 million annually and limited access to carbon markets; and (3) participatory deficits and social contestation, exemplified by local forest conflicts such as the Akbelen case. A comparative SWOT analysis indicates that Poland’s confrontational policy reforms triggered EU infringement penalties, Romania’s fragmented legal restitution fostered illegal logging networks, and Greece’s recent modernization offers lessons for gradual legal harmonization. Drawing on these insights, the paper recommends comprehensive Forest Law reform that integrates ecosystem-service valuation, climate adaptation, and transparent participatory mechanisms. Alignment with the EU Nature Restoration Regulation (2024/1991) and Biodiversity Strategy 2030 is proposed as a phased transition pathway for Türkiye’s candidate-country obligations. The study concludes that partial reforms reproduce systemic contradictions: bridging the policy–law divide requires confronting entrenched political-economy dynamics where state actors and extractive-industry interests remain institutionally intertwined. Full article
(This article belongs to the Section Forest Economics, Policy, and Social Science)
Show Figures

Figure 1

20 pages, 3808 KB  
Article
Development of New SSR Markers for High-Throughput Analyses of Peach–Potato Aphid (Myzus persicae Sulzer)
by Jakub Vašek, Vladimíra Sedláková, Daniela Čílová, Martina Melounová, Ema Sichingerová, Petr Doležal, Ervín Hausvater and Petr Sedlák
Insects 2025, 16(11), 1156; https://doi.org/10.3390/insects16111156 - 12 Nov 2025
Viewed by 694
Abstract
The complex life cycle, high reproductive potential and ability to quickly develop resistance to insecticides are key factors contributing to the destructiveness of the peach–potato aphid (Myzus persicae Sulzer) among pest species. Monitoring its population dynamics at a large scale allows us [...] Read more.
The complex life cycle, high reproductive potential and ability to quickly develop resistance to insecticides are key factors contributing to the destructiveness of the peach–potato aphid (Myzus persicae Sulzer) among pest species. Monitoring its population dynamics at a large scale allows us to better understand M. persicae biology and take relevant measures for pest management. For this purpose, reliable molecular tools are needed. Based on the analysis of 128,362 microsatellite loci, we developed four multiplex assays including 49 comprehensively characterised SSR markers. Internal validation confirmed the species specificity and low genotyping error (ea = 0.8%, el = 0.99%, eobs = 22.7%) of the assays. A total of 194 alleles were identified (mean = 4 alleles per locus, range = 2–8 alleles per locus) within a group of 365 aphid accessions collected in the Vysočina region (Czechia). The studied aphid population showed the typical characteristics expected of the species with clonal or partially clonal reproduction (heterozygote excess, negative FIS, moderate-to-high linkage disequilibrium (LD), and distortion of the H-W equilibrium for most of the loci), and did not exhibit any stratification on a spatiotemporal level. Owing to the high discriminatory power of the markers, we discovered that the population sample was founded upon a small number of fundatrices, as only five dominating lineages comprising over 70% of all accessions were identified. In conclusion, this study identified a significant number of new high-quality markers with the high discriminatory power necessary for revealing the population structure and dynamics of M. persicae, which holds considerable potential in both general biological and agricultural research. Full article
(This article belongs to the Section Insect Molecular Biology and Genomics)
Show Figures

Figure 1

28 pages, 8527 KB  
Article
Unveiling European Biocapacity Trajectories: A Temporal Clustering Analysis Using Dynamic Time Warping
by Monika Hadaś-Dyduch
Sustainability 2025, 17(22), 9939; https://doi.org/10.3390/su17229939 - 7 Nov 2025
Viewed by 517
Abstract
Conventional cross-sectional analyses of biocapacity fail to capture the temporal dynamics and historical pathways that define a nation’s environmental profile, limiting our understanding of the drivers behind sustainability transitions. To address this gap, this study employs a novel methodological framework that combines Dynamic [...] Read more.
Conventional cross-sectional analyses of biocapacity fail to capture the temporal dynamics and historical pathways that define a nation’s environmental profile, limiting our understanding of the drivers behind sustainability transitions. To address this gap, this study employs a novel methodological framework that combines Dynamic Time Warping with partitional clustering to analyze per capita biocapacity trajectories across 44 European countries from 1970 to 2022. This approach allows for the grouping of countries based on the shape and dynamics of their historical trends, rather than on static snapshots. Our analysis reveals four distinct and statistically significant clusters: (1) Low-Stable (e.g., Germany, the UK, and Italy; characterized by structural constraints and high import dependency), (2) Very High (Finland and Sweden; driven by vast productive forest ecosystems), (3) Medium-Growing (e.g., Austria, Czechia, and Romania; showing a positive trend linked to post-socialist land-use changes and EU integration), and (4) High-Volatile (e.g., Norway, Estonia, and Russia; featuring abundant yet variable resources tied to extractive economies). The findings demonstrate that institutional and historical factors—such as economic transition and policy integration can influence biocapacity trajectories as significantly as geographical endowments. This study provides a new, dynamic framework for comparative sustainability science and offers a robust basis for designing differentiated environmental policies tailored to each cluster’s unique socio-ecological context. Full article
Show Figures

Figure 1

25 pages, 459 KB  
Article
Is Innovation a Driver of Agricultural Sustainability? Evidence from Eastern European Countries Under the SDG 2 Framework
by Nicoleta Mihaela Doran
Agriculture 2025, 15(21), 2282; https://doi.org/10.3390/agriculture15212282 - 1 Nov 2025
Viewed by 752
Abstract
Innovation is central to the Zero Hunger agenda, yet its distributional links to agricultural performance and policy in Eastern Europe remain unclear. This study investigates whether national innovation performance, proxied by the Global Innovation Index, is associated with agriculture’s macroeconomic weight and with [...] Read more.
Innovation is central to the Zero Hunger agenda, yet its distributional links to agricultural performance and policy in Eastern Europe remain unclear. This study investigates whether national innovation performance, proxied by the Global Innovation Index, is associated with agriculture’s macroeconomic weight and with public budget orientation in Bulgaria, Czechia, Hungary, Poland, Romania, and Slovakia across the past decade and a half. Using panel quantile regression with country fixed effects and bootstrapped standard errors, we estimate effects at the lower, median, and upper parts of the outcome distributions for three indicators: agriculture value added share of gross domestic product, the agriculture orientation index for government expenditures, and the agriculture share of government expenditure. Results show a robust negative association between innovation and the agricultural share of gross domestic product that strengthens toward the upper quantiles, consistent with structural transformation that reallocates value added toward higher-productivity sectors. For the orientation index, innovation is unrelated at the lower and median parts but becomes positive in mid–upper regimes, fading again at the extreme upper tail. No systematic relationship emerges for the budget share. Land endowment is positively associated with agricultural weight, while population size is negatively associated. We conclude that economy-wide innovation aligns with structural change, whereas shifting agricultural budget shares requires targeted, sector-specific policy instruments. Full article
(This article belongs to the Section Agricultural Economics, Policies and Rural Management)
Show Figures

Figure 1

21 pages, 2719 KB  
Article
Randomness in Data Partitioning and Its Impact on Digital Soil Mapping Accuracy: A Comparison of Cross-Validation and Split-Sample Approaches
by Dorijan Radočaj, Mladen Jurišić, Ivan Plaščak and Lucija Galić
Agronomy 2025, 15(11), 2495; https://doi.org/10.3390/agronomy15112495 - 28 Oct 2025
Viewed by 843
Abstract
Digital soil mapping has become increasingly important for large-scale soil organic carbon (SOC) assessments, yet the choice of accuracy assessment method significantly influences model performance interpretation. This study investigates the impact of cross-validation fold numbers on accuracy metrics and compares cross-validation with split-sample [...] Read more.
Digital soil mapping has become increasingly important for large-scale soil organic carbon (SOC) assessments, yet the choice of accuracy assessment method significantly influences model performance interpretation. This study investigates the impact of cross-validation fold numbers on accuracy metrics and compares cross-validation with split-sample validation approaches in national-scale SOC mapping. Five machine learning algorithms (Random Forest, Cubist, Support Vector Regression, Bayesian Regularized Neural Networks, and ensemble modeling) were evaluated to predict SOC content across France (539,661 km2) and Czechia (78,873 km2) using 2731 and 445 soil samples, respectively. Environmental covariates included satellite imagery (Sentinel-1, Sentinel-2, and MODIS), climate data (CHELSA), and topographic variables. Four cross-validation approaches (k = 2, 4, 5, 10) were utilized with 100 repetitions each and the results were compared with the existing literature using both cross-validation and split-sample methods. Ensemble models consistently produced the highest prediction accuracy and lowest variance per fold across all validation approaches. Higher fold numbers (k = 10) also produced higher accuracy estimates compared to lower folds (k = 2) and had the greatest value ranges of accuracy assessment metrics. This confirmed the observations from previous studies, in which split-sample validation reported higher R2 values (0.10–0.90) compared to cross-validation studies (0.03–0.68), suggesting a strong effect of randomness in training and test data split in the split-sample approach. This suggests that k-fold cross-validation should preferably be used in reporting prediction accuracy in similar studies, with the split-sample approach being strongly affected by value properties from training and test data from particular splits used for validation. Full article
(This article belongs to the Special Issue Soil Health and Properties in a Changing Environment—2nd Edition)
Show Figures

Figure 1

21 pages, 5304 KB  
Article
Mapping Eastern European Dietary Patterns (2010–2022) Using FAOSTAT: Implications for Public Health and Sustainable Food Systems
by Rodica Siminiuc, Dinu Țurcanu and Sergiu Siminiuc
Sustainability 2025, 17(20), 9223; https://doi.org/10.3390/su17209223 - 17 Oct 2025
Cited by 1 | Viewed by 1313
Abstract
Background: Dietary patterns in Eastern Europe are unevenly characterized despite their relevance for public health, food policy, and the sustainability of regional food systems. Objective: This study aimed to identify and compare the main dietary patterns across Eastern European countries (2010–2022) using FAOSTAT [...] Read more.
Background: Dietary patterns in Eastern Europe are unevenly characterized despite their relevance for public health, food policy, and the sustainability of regional food systems. Objective: This study aimed to identify and compare the main dietary patterns across Eastern European countries (2010–2022) using FAOSTAT food balance data, and to examine their implications for public health and sustainable food systems. Methods: We conducted a comparative ecological analysis of FAOSTAT Food Balance Sheets for ten Eastern European countries (2010–2022). Multi-annual means were standardized as Z-scores. We applied principal component analysis (PCA) to major food groups and to selected subgroups (cereals, meat, vegetable oils), followed by agglomerative hierarchical clustering (Ward, Euclidean). EFSA macronutrient ranges and fiber cut-offs were used solely as descriptive benchmarks. Results: The PCA of major food groups identified two dominant axes separating plant-based patterns (cereals, vegetables) from animal/lipid-centered diets; subgroup analyses reproduced these oppositions (e.g., sunflower vs. rapeseed oils). Hierarchical clustering revealed a stable Central–Eastern core with higher lipid profiles (Czechia, Hungary, Slovakia, partially Poland) and a second pattern with higher carbohydrates and energy (Romania, Ukraine; proximity of Moldova, Belarus, Russian Federation). Countries differed markedly in fiber and energy: Romania showed the highest energy intake, while Slovakia had the lowest fiber, and Ukraine combined very high carbohydrates with low lipids. These structures were robust to sensitivity checks and consistent across biplots, heatmaps, and dendrograms. Conclusions: Eastern Europe comprises coherent dietary subgroups rather than a homogeneous profile. Beyond their public health relevance, these typologies provide an operational map for tailoring dietary guidelines, strengthening food security, and supporting the transition toward sustainable food systems. Future work should link food availability data with individual consumption, environmental indicators, and resilience metrics to inform long-term strategies for sustainable and equitable nutrition. Full article
Show Figures

Figure 1

15 pages, 267 KB  
Essay
The Legal Perspective on Psilocybin for Medical Use in Czechia: A Key Milestone and the Case for Broader Consideration Beyond the Clinical Setting
by Tereza Dlestikova
Psychoactives 2025, 4(3), 34; https://doi.org/10.3390/psychoactives4030034 - 11 Sep 2025
Cited by 2 | Viewed by 6339
Abstract
Czechia has recently approved the medical use of psilocybin, marking a pivotal shift in the country’s drug policy landscape. This development paves the way for regulated therapeutic applications of psilocybin within clinical settings, while simultaneously prompting a timely discussion on the potential uses [...] Read more.
Czechia has recently approved the medical use of psilocybin, marking a pivotal shift in the country’s drug policy landscape. This development paves the way for regulated therapeutic applications of psilocybin within clinical settings, while simultaneously prompting a timely discussion on the potential uses of psychedelics beyond strictly medical contexts. This commentary first outlines the legal status of psilocybin for therapeutic use in Czechia and situates this reform within broader international policy trends. Drawing on the publication How to Regulate Psychedelics and qualitative findings from a ketamine-assisted therapy program conducted as part of the Czech Destigmatizing the Therapeutic Use of Psychedelics in Psychiatry project, it then examines the regulation of non-clinical psychedelic use, while also highlighting the persistent legal ambiguity surrounding the Czech offence of “spreading toxicomania.” The commentary advocates for a rational, evidence-based regulatory approach, arguing that while the medicalization of psilocybin constitutes a significant legal milestone, the framework will remain incomplete without clear pathways for non-clinical use to ensure safety and legal clarity. Full article
26 pages, 5144 KB  
Article
Wine Tourism and Its Role in the Transformation of Wine Production and Consumption in Czechia: A Case Study
by David Průša, Karel Šrédl, Marie Prášilová, Anna Žovincová, Lenka Kopecká, Lucie Severová, Roman Svoboda, Dita Drozdová, Lasha Naveriani, Otakar Němec and Milan Robin Paták
Agriculture 2025, 15(17), 1882; https://doi.org/10.3390/agriculture15171882 - 3 Sep 2025
Cited by 1 | Viewed by 2049
Abstract
The gradual decline in wine consumption in Czechia poses significant challenges for domestic winemakers. Moreover, the sector faces mounting pressure from climate change—most notably global warming—which is increasingly affecting viticulture and wine production across the region. Using advanced predictive models, we estimated developmental [...] Read more.
The gradual decline in wine consumption in Czechia poses significant challenges for domestic winemakers. Moreover, the sector faces mounting pressure from climate change—most notably global warming—which is increasingly affecting viticulture and wine production across the region. Using advanced predictive models, we estimated developmental trends and calculated forecasts for yield-generating components of grapevine cultivation. The results confirm stagnation or modest growth in the sector, with its development remaining strongly influenced by structural changes and external economic factors. While consumer demand is shifting toward white (or lighter) wines, climate change in Czechia is enhancing conditions for cultivating grape varieties suited to red wine production. This article examines the imbalance between supply and demand in the Czech wine market and identifies wine tourism as a possible solution for resolving the discrepancy. Full article
Show Figures

Figure 1

Back to TopTop