Sign in to use this feature.

Years

Between: -

Subjects

remove_circle_outline
remove_circle_outline
remove_circle_outline
remove_circle_outline
remove_circle_outline
remove_circle_outline

Journals

Article Types

Countries / Regions

Search Results (49)

Search Parameters:
Keywords = Crotalaria juncea

Order results
Result details
Results per page
Select all
Export citation of selected articles as:
13 pages, 3937 KB  
Article
Evaluation of Leguminous Plants as Phytoremediator Species in Soil with Pesticide and Vinasse Interactions
by Munick Beato Aragão, Emanuella Roberto Ribeiro, Yanca Araujo Frias, Victor Hugo Cruz, Thalia Silva Valério, Alexandre Ribeiro Batista, Paulo Henrique Frata Ferreira, Henzo Henrique Simionatto and Paulo Renato Matos Lopes
Plants 2025, 14(20), 3137; https://doi.org/10.3390/plants14203137 (registering DOI) - 11 Oct 2025
Abstract
Sugarcane is a key crop for sugar, biofuels, and bioenergy, with Brazil as the world’s largest producer. Intensive cultivation demands pesticides like tebuthiuron and thiamethoxam, while fertigation with vinasse may alter their environmental behavior. Sustainable approaches, such as phytoremediation, are needed to mitigate [...] Read more.
Sugarcane is a key crop for sugar, biofuels, and bioenergy, with Brazil as the world’s largest producer. Intensive cultivation demands pesticides like tebuthiuron and thiamethoxam, while fertigation with vinasse may alter their environmental behavior. Sustainable approaches, such as phytoremediation, are needed to mitigate negative impacts on soil quality. This study assessed the phytoremediation potential of Canavalia ensiformis and Mucuna pruriens in soils contaminated with tebuthiuron, thiamethoxam, and vinasse under greenhouse conditions. Experiments used a completely randomized design (five replicates, 4 × 2 factorial). Plant development impacts on the sentinel species Crotalaria juncea, and ecotoxicity via Lactuca sativa bioassays were evaluated. Tebuthiuron strongly inhibited C. ensiformis, while thiamethoxam showed mild stimulatory effects. M. pruriens maintained better growth in the presence of contaminants. Bioassays revealed greater residual toxicity in tebuthiuron treatments. Overall, M. pruriens demonstrated superior biomass production and capacity to lessen soil toxicity, underscoring its potential as a sustainable tool for phytoremediation of pesticide-impacted soils. Full article
Show Figures

Figure 1

22 pages, 2511 KB  
Article
Bridging Phytochemistry and Cosmetic Science: Molecular Insights into the Cosmeceutical Promise of Crotalaria juncea L.
by Tanatchaporn Aree, Siripat Chaichit, Jintana Junlatat, Kanokwan Kiattisin and Aekkhaluck Intharuksa
Int. J. Mol. Sci. 2025, 26(16), 7716; https://doi.org/10.3390/ijms26167716 - 9 Aug 2025
Viewed by 506
Abstract
Crotalaria juncea L. (Fabaceae: Faboideae), traditionally used as green manure due to its nitrogen-fixing capacity, also exhibits therapeutic potential for conditions such as anemia and psoriasis. However, its cosmetic applications remain largely unexplored. This study examined the phytochemical profiles and biological activities of [...] Read more.
Crotalaria juncea L. (Fabaceae: Faboideae), traditionally used as green manure due to its nitrogen-fixing capacity, also exhibits therapeutic potential for conditions such as anemia and psoriasis. However, its cosmetic applications remain largely unexplored. This study examined the phytochemical profiles and biological activities of ethanolic extracts from the root, flower, and leaf of C. juncea, focusing on their potential use in cosmetic formulations. Soxhlet extraction with 95% ethanol was employed. Among the extracts, the leaf showed the highest total flavonoid content, while the root contained the highest total phenolic content. The root extract demonstrated the strongest antioxidant activity, as assessed by DPPH, FRAP, and lipid peroxidation assays, along with significant anti-tyrosinase and anti-aging effects via collagenase and elastase inhibition. LC-MS/QTOF analysis identified genistein and kaempferol as the major bioactive constituents in the root extract. Molecular docking confirmed their strong interactions with enzymes associated with skin aging. Additionally, the root extract exhibited notable anti-inflammatory activity. These results suggest that C. juncea root extract is a promising multifunctional natural ingredient for cosmetic applications due to its antioxidant, anti-tyrosinase, anti-aging, and anti-inflammatory properties. Full article
(This article belongs to the Special Issue Biological Research on Plant Bioactive Compounds)
Show Figures

Figure 1

19 pages, 754 KB  
Article
Effectiveness of Sunn Hemp (Crotalaria juncea L.) in Reducing Wireworm Damage in Potatoes
by Lorenzo Furlan, Stefano Bona, Roberto Matteo, Luca Lazzeri, Isadora Benvegnù, Nerio Casadei, Elisabetta Caprai, Ilaria Prizio and Bruno Parisi
Insects 2025, 16(7), 674; https://doi.org/10.3390/insects16070674 - 27 Jun 2025
Viewed by 938
Abstract
Wireworms are a major threat to potatoes. Agronomic prevention is always the first IPM strategy to be implemented. This work assesses whether a bioactive cover crop, sunn hemp (Crotalaria juncea L.), a tropical leguminous plant, reduces wireworm damage risk when cultivated as [...] Read more.
Wireworms are a major threat to potatoes. Agronomic prevention is always the first IPM strategy to be implemented. This work assesses whether a bioactive cover crop, sunn hemp (Crotalaria juncea L.), a tropical leguminous plant, reduces wireworm damage risk when cultivated as a crop preceding potatoes. The effects of Crotalaria plants (alive, chopped, and incorporated) on wireworms and tuber-damage prevention were studied in semi-natural (pots) and open-field conditions. The survival of a set number of reared wireworms feeding on Crotalaria plants or potato tubers in soil with incorporated Crotalaria chopped tissues was assessed. Wireworm damage on tubers was assessed in fields where Crotalaria had been cultivated, chopped, and incorporated the previous year. The tuber damage assessment involved counting all the erosions/scars caused by wireworm feeding. The prevalent wireworm species studied was Agriotes sordidus. Our research is the first to demonstrate that Crotalaria as a cover crop can significantly reduce potato damage by wireworms. A major role is likely played by the high pyrrolizidine alkaloid content in Crotalaria juncea tissues, but this has to be specifically proven. Crotalaria juncea may thus represent an effective means for use alone or with complementary ones to produce potatoes with low wireworm damage without using synthetic insecticides. Full article
(This article belongs to the Section Insect Pest and Vector Management)
Show Figures

Figure 1

24 pages, 806 KB  
Article
Seasonal Impacts of Organic Fertilizers, Cover Crop Residues, and Composts on Soil Health Indicators in Sandy Soils: A Case Study with Organic Celery
by Zachary T. Ray and Xin Zhao
Agronomy 2025, 15(6), 1334; https://doi.org/10.3390/agronomy15061334 - 29 May 2025
Viewed by 1239
Abstract
While integrated practices are used in organic vegetable production for soil fertility management, their impacts on short- and long-term soil health across diverse cropping systems and environments need to be better understood, especially in sandy soils. In this two-year study (2022–2023 and 2023–2024) [...] Read more.
While integrated practices are used in organic vegetable production for soil fertility management, their impacts on short- and long-term soil health across diverse cropping systems and environments need to be better understood, especially in sandy soils. In this two-year study (2022–2023 and 2023–2024) conducted on certified organic land, a suite of soil physical, chemical, and biological properties at the end of each organic celery (Apium graveolens L. var. dulce) production season were analyzed, with one set of field experiments assessing the influence of preplant organic fertilizers and the other set examining the effects of composts and sunn hemp (Crotalaria juncea L.) as a rotational cover crop before celery planting. Compared to feather meal-based organic fertilizer, the poultry litter-based organic fertilizer enhanced soil K and Mg base saturation, promoted micronutrient availability, and increased the overall soil fertility score. Sunn hemp cover cropping impacted soil N dynamics, and both yard waste compost and vermicompost increased the overall soil health score by over 4.0% compared to the no compost control, with yard waste compost resulting in the highest level of soil active C (10.8% higher than the control). Seasonal variations were observed in many soil parameters measured, along with marked interactions among nutrient management practices and production seasons. This study highlights the complexity of soil health assessments and improvement for sandy soils with low water and nutrient retention, and the importance of long-term, systematic studies under organic crop production. Full article
(This article belongs to the Special Issue Soil Health and Properties in a Changing Environment)
Show Figures

Figure 1

16 pages, 2308 KB  
Article
Mechanical Chiseling Versus Root Bio-Tillage on Soil Physical Quality and Soybean Yield in a Long-Term No-Till System
by Gustavo Ferreira da Silva, Bruno Cesar Ottoboni Luperini, Jéssica Pigatto de Queiroz Barcelos, Fernando Ferrari Putti, Sacha J. Mooney and Juliano Carlos Calonego
Agronomy 2025, 15(5), 1249; https://doi.org/10.3390/agronomy15051249 - 21 May 2025
Cited by 1 | Viewed by 851
Abstract
Occasional mechanical intervention can help alleviate compaction symptoms in no-till systems, but its effects compared to well-established crop rotation systems are uncertain. Thus, the aim of this study was to evaluate the effects of mechanical and biological chiseling of the soil (via millet [...] Read more.
Occasional mechanical intervention can help alleviate compaction symptoms in no-till systems, but its effects compared to well-established crop rotation systems are uncertain. Thus, the aim of this study was to evaluate the effects of mechanical and biological chiseling of the soil (via millet and sunn hemp cover crops) on soil physical properties, root development, and soybean yield in a long-term experiment. The treatments consisted of crops rotations used in the spring harvest: (I) triticale (autumn–winter), millet (spring), and soybean (summer); (II) triticale (autumn–winter), sunn hemp (spring), and soybean (summer); and (III) triticale (autumn–winter), fallow/soil chiseling (spring), and soybean (summer). Mechanical chiseling reduced bulk density and penetration resistance in the upper 0.10 m layer by 6% and 37%, respectively. However, its effects did not extend below this depth. Conversely, millet and sunn hemp maintained higher penetration resistance in surface layers but reduced resistance in deeper layers (0.20–0.40 m) by up to 27% compared to chiseling. These cover crops also improved root growth (up to 71% higher root dry mass), soil microporosity, and total porosity. Notably, sunn hemp enhanced water infiltration (151 mm accumulated) and basic infiltration rate (180 cm h−1), outperforming chiseling by 30% and 85%, respectively. Soybean yield was highest under sunn hemp, with an 18% increase over chiseling. Thus, growing millet and sunn hemp in a long-term production system can improve the soil’s physical properties, ensuring better infiltration, storage, and availability of water in the soil for plants. Full article
Show Figures

Figure 1

17 pages, 4837 KB  
Article
Cover Crops Optimize Soil Fertility and Soybean Productivity in the Cerrado of MATOPIBA, Brazil
by Hosana Aguiar Freitas de Andrade, Edvaldo Sagrilo, José Oscar Lustosa de Oliveira Júnior, Daiane Conceição de Sousa, Carlos Pedro de Menezes Costa, Paula Muniz Costa, Raimundo Bezerra de Araújo Neto, Rosa Maria Cardoso Mota de Alcantara, Luiz Fernando Carvalho Leite, Mariléia Barros Furtado, Marcelo Javier Beltrán, Nicolas Cafaro La Menza and Henrique Antunes de Souza
Agronomy 2025, 15(5), 1083; https://doi.org/10.3390/agronomy15051083 - 29 Apr 2025
Viewed by 1809
Abstract
The main challenge of soybean cultivation in Brazil’s last agricultural frontier is to ensure sustainable production. This study aimed to evaluate the use of cover crops (CC) to improve soil fertility, plant nutrition, and soybeans productivity grown in the Cerrado of Brazil. The [...] Read more.
The main challenge of soybean cultivation in Brazil’s last agricultural frontier is to ensure sustainable production. This study aimed to evaluate the use of cover crops (CC) to improve soil fertility, plant nutrition, and soybeans productivity grown in the Cerrado of Brazil. The study was carried out on a farm located in the state of Maranhão, Brazil, with nine treatments, fallow and CC preceding soybean cultivation: (i) Millet (Pennisetum glaucum L.); (ii) Marandu (Urochloa brizantha); (iii) Ruziziensis (Urochloa ruziziensi); (iv) Tanzania (Megathyrsus maximum); (v) Massai (Megathyrsus maximum); (vi) cowpea (Vigna unguiculata L.); (vii) pigeon pea (Cajanus cajan L.); and (viii) Crotalaria (Crotalaria juncea). An analysis for the characterization of the biomass of cover crops and fallow was carried out. Soil chemical and biological properties, soybean foliar nutrient concentrations, and the soybean seed yield and quality grown in sequence to the CC were also analyzed. Soil microbial carbon was favored by the cultivation of ‘Marandu’, ‘Ruziziensis’, ‘Tanzania’, and cowpea. Nutrient cycling promoted by CC contributed to the maintenance of soil quality and increases in the leaf nutrient concentrations of soybeans. The cultivation of millet, ‘Tanzania’, ‘Massai’, cowpea, and C. juncea increased the soybean yield. Cover crops improved soil fertility while increasing soybean productivity, thus being an effective strategy for the achievement of sustainable soybean production. Full article
Show Figures

Figure 1

14 pages, 1926 KB  
Article
Nitrogen Dynamics in Sunn Hemp Intercropped Tall Fescue Pastures
by Harley D. Naumann, José C. B. Dubeux, Joshua A. Tooley, John A. Lory and Igor L. Bretas
Agronomy 2025, 15(5), 1027; https://doi.org/10.3390/agronomy15051027 - 25 Apr 2025
Viewed by 665
Abstract
Incorporating temperate legumes is a strategy for increasing nitrogen (N) in tall fescue (Schedonorus arundinaceus (Schreb.) Dumort, nom. Cons) systems. However, when temperatures are elevated, biological N-fixation (BNF) by temperate legumes is limited. Sunn hemp (Crotalaria juncea L.), a warm-season annual [...] Read more.
Incorporating temperate legumes is a strategy for increasing nitrogen (N) in tall fescue (Schedonorus arundinaceus (Schreb.) Dumort, nom. Cons) systems. However, when temperatures are elevated, biological N-fixation (BNF) by temperate legumes is limited. Sunn hemp (Crotalaria juncea L.), a warm-season annual legume, may provide greater N input during the warm season. This 2-year study aimed to (1) determine BNF in sunn hemp-tall fescue mixed pastures and (2) determine N transfer from sunn hemp to tall fescue. The experiment included four replicates of two treatments: tall fescue (TF) and tall fescue intercropped with sunn hemp (TF+SH), arranged in a randomized complete block design. Response variables included δ15N, N derived from the atmosphere (%NDFA), BNF, N concentration, N transferred (%Ntran), N stock, and herbage accumulation (HA). Herbage accumulation was 16% greater in TF+SH compared to TF (p < 0.05). Root mass was 43% greater for TF compared to both species combined in TF+SH (p < 0.05). Herbage N was 40% greater in sunn hemp shoots than tall fescue shoots in TF or TF+SH (p < 0.05). Sunn hemp root N was 34% greater than tall fescue (p < 0.05). NDFA by sunn hemp was 88% and 100% in 2017 and 2018, respectively. BNF by sunn hemp was greater (p < 0.05) in 2018 than in 2017 (53.8 and 44.3 kg ha−1, respectively). The %Ntran from sunn hemp to tall fescue was 13 and 20% in 2017 and 2018, respectively. Interseeding sunn hemp into tall fescue pastures can provide an alternate N source to tall fescue-based forage-livestock systems, increasing herbage accumulation during the summer grazing season. Full article
(This article belongs to the Section Grassland and Pasture Science)
Show Figures

Figure 1

15 pages, 1431 KB  
Article
Sunflower and Sunn Hemp Potential as Summer Cover Crops in Southern Texas
by Dileep Kumar Alapati, Veronica Ancona, Mamoudou Sétamou, Consuelo Donato, Shad D. Nelson and Joel Reyes-Cabrera
Agronomy 2025, 15(4), 986; https://doi.org/10.3390/agronomy15040986 - 20 Apr 2025
Viewed by 753
Abstract
The strategic incorporation of low-cost management practices, such as cover crops (CCs), to citrus production in southern Texas could add valuable ecosystem services that increase trees’ resilience to changing climatic conditions. To provide insight into how producers can manage CCs to optimize ecosystem [...] Read more.
The strategic incorporation of low-cost management practices, such as cover crops (CCs), to citrus production in southern Texas could add valuable ecosystem services that increase trees’ resilience to changing climatic conditions. To provide insight into how producers can manage CCs to optimize ecosystem services, we conducted a study in controlled conditions to examine the potential of adding three annual summer CCs species: common buckwheat (Fagopyrum esculentum), sunflower (Helianthus annuus L.), and sunn hemp (Crotalaria juncea L.) as monocultures growing in two representative soil types of the citrus region in Texas, and receiving one of these irrigation volumes based on calculated daily water losses [i.e., evapotranspiration (ET)] corresponding to 100, 75, 50, and 25% field capacity replenishment. Sunflower and sunn hemp produced the highest aboveground dry matter, which was on average 338 and 342% greater than buckwheat. Sunn hemp emerged faster than the other CCs, and mortality was relatively uniform across CCs, but buckwheat exhibited the highest sensitivity to drought and heat distress. Sunn hemp exhibited superior aboveground biomass accumulation, height, and chlorophyll content. All CCs performed similarly in both experimental soils, under native fertility conditions, and without the addition of mineral fertilizers. Irrigation at 75 and 100% ET levels were conducive to enhanced plant growth, which indicates that a minimum of 86.4 mm (75% ET) is required during CCs lifespan, but sunn hemp and sunflower were also capable of tolerating medium (50% ET) drought stress. Overall, our findings suggest that sunflower and sunn hemp exhibited traits desirable for incorporation as CCs to a perennial citrus production system. The primary benefit was the addition of organic matter with minimum management; however, both CCs’ performance was dependent on planting timing, successful early establishment, and favorable environmental conditions. Full article
(This article belongs to the Section Innovative Cropping Systems)
Show Figures

Figure 1

21 pages, 2556 KB  
Article
The Efficacy of Sunn Hemp (Crotalaria juncea) and Fe3O4 Nanoparticles in Controlling Weed Seed Germination
by Fatemeh Ahmadnia, Ali Ebadi, Mohammad Taghi Alebrahim, Ghasem Parmoon, Solmaz Feizpoor and Masoud Hashemi
Agronomy 2025, 15(4), 795; https://doi.org/10.3390/agronomy15040795 - 24 Mar 2025
Cited by 1 | Viewed by 1132
Abstract
Utilizing nanotechnology for weed management offers a sustainable alternative to synthetic herbicides. This study evaluated the effectiveness of sunn hemp extract (SH), Fe3O4 nanoparticles (NPs), and Fe3O4/sunn hemp NPs in inhibiting the germination of redroot pigweed [...] Read more.
Utilizing nanotechnology for weed management offers a sustainable alternative to synthetic herbicides. This study evaluated the effectiveness of sunn hemp extract (SH), Fe3O4 nanoparticles (NPs), and Fe3O4/sunn hemp NPs in inhibiting the germination of redroot pigweed (Amaranthus retroflexus L.), wild mustard (Sinapis arvensis L.), and lamb’s quarters (Chenopodium album L.) weeds. The structural characteristics of the NPs were analyzed using Scanning electron microscopy (SEM), Scanning X-ray diffraction (XRD), Thermogravimetric analysis (TGA), Vibrating sample magnetometer (VSM), Brunner–Emmet–Teller (BET), and Fourier-transform infrared spectroscopy (FTIR). The optimal Fe3O4 NP concentration for reducing seed germination ranged from 3000 to 3100 mg L−1. Higher concentrations of SH extract (100, 150, and 200 g L−1) effectively inhibited weed seed germination with A. retroflexus displaying the highest sensitivity. The maximal effective concentration (NOECmax) for Fe3O4/sunn hemp NPs was 10 g L−1 for S. arvensis, 150 g L1 for A. retroflexus, and 200 g L−1 for C. album. Fe3O4/sunn hemp NPs led to a reduction in 1/D50 and an increase in EEC50, indicating a rise in sensitivity to Fe3O4 NPs, particularly in S. arvensis. Variations in species responses to SH, Fe3O4 NPs, and Fe3O4/sunn hemp NPs are likely influenced by genetic, physiological, and ecological factors. Overall, the findings suggest that utilizing Fe3O4/sunn hemp NPs offers an effective strategy for sustainable weed management. Full article
Show Figures

Figure 1

14 pages, 923 KB  
Article
Evaluation of Vermicompost, Seaweed, and Algal Fertilizers on Soil Fertility and Plant Production of Sunn Hemp
by Caroline Stephanie Rey, Ivan Oyege, Kateel G. Shetty, Krishnaswamy Jayachandran and Maruthi Sridhar Balaji Bhaskar
Soil Syst. 2024, 8(4), 132; https://doi.org/10.3390/soilsystems8040132 - 17 Dec 2024
Cited by 4 | Viewed by 1928
Abstract
Regenerative agriculture increasingly relies on organic soil amendments to improve soil fertility and crop productivity. This study evaluates the effects of dried algae (DA), vermicompost (VC), liquid hydrolyzed fish and seaweed fertilizer (LA), and a control (S0, untreated soil without amendments) on the [...] Read more.
Regenerative agriculture increasingly relies on organic soil amendments to improve soil fertility and crop productivity. This study evaluates the effects of dried algae (DA), vermicompost (VC), liquid hydrolyzed fish and seaweed fertilizer (LA), and a control (S0, untreated soil without amendments) on the soil fertility, growth, nutrient uptake, and physiology of sunn hemp (Crotalaria juncea L.), a key cover crop for soil improvement. Treatments were applied at 1 ton/ha (DA), 3 ton/ha (VC), and 8 mL/L (LA). Plants were grown for 10 weeks, during which plant growth, chlorophyll content, and biomass were measured. Soil and plant samples were analyzed for macro- and micronutrients. S0 and DA treatments produced the highest biomass, with S0 showing the highest total carbon and organic matter content. LA-treated soils exhibited elevated phosphorus, potassium, and sodium levels, while DA and S0 shoots had significantly higher sulfur and zinc concentrations. LA treatment notably increased chlorophyll content by the study’s end. Overall, DA demonstrated strong potential as a nutrient-rich organic amendment, while S0 provided a robust baseline for biomass production. VC enriched phosphorus and potassium but resulted in the lowest total biomass. LA promoted shoot growth and chlorophyll content but required root development and sodium management optimization. These findings highlight the need to align the amendment choice with soil characteristics and environmental conditions to optimize crop productivity and soil health in sustainable farming systems. Full article
(This article belongs to the Special Issue Land Use and Management on Soil Properties and Processes)
Show Figures

Figure 1

22 pages, 2884 KB  
Article
Leguminous Plants and Microbial Inoculation: An Approach for Biocatalytic Phytoremediation of Tebuthiuron in Agricultural Soil
by Victor Hugo Cruz, Bruno Rafael de Almeida Moreira, Thalia Silva Valério, Yanca Araujo Frias, Vinícius Luiz da Silva, Eduardo Beraldo de Morais, Leonardo Gomes de Vasconcelos, Leandro Tropaldi, Evandro Pereira Prado, Renato Nallin Montagnolli and Paulo Renato Matos Lopes
Agronomy 2024, 14(12), 2805; https://doi.org/10.3390/agronomy14122805 - 26 Nov 2024
Cited by 1 | Viewed by 1246
Abstract
Herbicides are important for weed control but can severely impact ecosystems, causing soil and water contamination, biodiversity loss, and harm to non-target organisms. Tebuthiuron, widely used in sugarcane cultivation, is highly soluble and persistent, posing significant environmental risks. Microbial inoculation has emerged as [...] Read more.
Herbicides are important for weed control but can severely impact ecosystems, causing soil and water contamination, biodiversity loss, and harm to non-target organisms. Tebuthiuron, widely used in sugarcane cultivation, is highly soluble and persistent, posing significant environmental risks. Microbial inoculation has emerged as a sustainable strategy to mitigate such damage. This study investigated the phytoremediation potential of Mucuna pruriens and Canavalia ensiformis in tebuthiuron-contaminated soils, enhanced by fungal and bacterial inoculants. Crotalaria juncea served as a bioindicator plant, and Lactuca sativa was used in ecotoxicological bioassays. During a 140-day greenhouse experiment from September 2021 to March 2022, M. pruriens showed faster growth than C. ensiformis in uncontaminated soils but was more affected by tebuthiuron. Bacterial inoculants improved M. pruriens growth under stress, while fungal inoculants mitigated tebuthiuron’s effects on C. ensiformis. C. juncea exhibited high sensitivity to tebuthiuron but grew beyond 100 cm with bacterial inoculants. Ecotoxicological assays showed that bacterial bioaugmentation significantly reduced soil toxicity. Natural attenuation further decreased tebuthiuron toxicity, and prior cultivation of M. pruriens enhanced soil detoxification. This integrated approach combining phytoremediation and bioaugmentation offers a sustainable method to degrade tebuthiuron, foster safer agriculture, and reduce environmental and health risks. Full article
Show Figures

Figure 1

22 pages, 4584 KB  
Article
Oviposition Preferences of the Fall Armyworm (Spodoptera frugiperda) (Lepidoptera: Noctuidae) in Response to Various Potential Repellent and Attractant Plants
by Kervin Can, Tsui-Ying Chang, Lekhnath Kafle and Wen-Hua Chen
Insects 2024, 15(11), 885; https://doi.org/10.3390/insects15110885 - 13 Nov 2024
Cited by 1 | Viewed by 3083
Abstract
The fall armyworm (FAW), Spodoptera frugiperda, is a major polyphagous pest that mainly feeds on maize and other cash crops. Understanding S. frugiperda’s behavior on different host plants facilitates the development of effective integrated pest management (IPM) plans. Therefore, this study [...] Read more.
The fall armyworm (FAW), Spodoptera frugiperda, is a major polyphagous pest that mainly feeds on maize and other cash crops. Understanding S. frugiperda’s behavior on different host plants facilitates the development of effective integrated pest management (IPM) plans. Therefore, this study investigated the oviposition preferences of S. frugiperda females among different host plants using no-choice, two-choice, and multiple-choice bioassays. In no-choice bioassays, para grass, Urochloa mutica (Forssk.) (Poales: Poaceae); maize, Zea mays (L.) (Poales: Poaceae); and napier grass, Pennisetum purpureum (Schumach) (Poales: Poaceae) were identified as highly attractive, while sweet sorghum, Sorghum dochna (Forssk.) (Poales: Poaceae); sunhemp, Crotalaria juncea (L.) (Fabales:Fabacea); Egyptian clover, Trifolium alexandrinum (L.) (Fabales:Fabacea); desmodium, Desmodium uncinatum (Jacq.) (Fabales:Fabacea); natal grass, melinis repens (Zizka) (Poales: Poaceae); molasses grass, Melinis minutiflora (P.Beauv.) (Poales: Poaceae); and mung bean, Vigna radiata (R. wilczek) (Fabales: Fabaceae) exhibited reduced oviposition effects. Two-choice bioassays revealed different levels of attractiveness and repellency among different plant combinations. In multiple-choice bioassays, mimicking an intercropping scenario, differences in the number of eggs and egg mass were observed for M:S:D:W (maize, sunhemp, desmodium, and cage wall), S:D:M:W (sunhemp, desmodium, maize, and cage wall), and D:M:S:W (desmodium, maize, sunhemp, and cage wall). This study provides insights into the egg-laying preferences of S. frugiperda females among different host plants, valuable for the management of S. frugiperda. This encourages further research and further identification of novel repellent and attractant host plants, which will ultimately contribute to the development of sustainable and environmentally friendly crop production practices and techniques. Full article
Show Figures

Graphical abstract

20 pages, 6189 KB  
Article
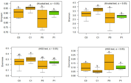
Benefits of Crotalaria juncea L. as Green Manure in Fertility and Soil Microorganisms on the Peruvian Coast
by Gregorio J. Arone, Roger Ocaña, Arcadio Sánchez, Pablo J. Villadas and Manuel Fernández-López
Microorganisms 2024, 12(11), 2241; https://doi.org/10.3390/microorganisms12112241 - 6 Nov 2024
Cited by 2 | Viewed by 2050
Abstract
The soils of the Barranca valley are among the best soils in Peru, but with so many years of application of agrochemicals and other agricultural practices, they are losing their productive capacity. Consequently, it was suggested to assess the impact of Crotalaria juncea [...] Read more.
The soils of the Barranca valley are among the best soils in Peru, but with so many years of application of agrochemicals and other agricultural practices, they are losing their productive capacity. Consequently, it was suggested to assess the impact of Crotalaria juncea L. as a green manure on soil fertility and the populations of bacteria and fungi present in the soil. Crotalaria was cultivated for 75 days and incorporated as green manure. After 90 days, the presence of bacteria and fungi was evaluated. Metabarcoding was employed, and the 16S rRNA and ITS2 amplicons were sequenced using the Illumina MiSeq platform. The sequences were processed using various bioinformatics tools. The results indicate that soils have a high diversity of bacteria and fungi. Likewise, in plots where the presence and action of natural biocontrol is suppressed (C0 and P0), pathogenic fungi increase their population in the fallow period (C1), while in P1, the addition of Crotalaria as a green manure promotes an increase in the population of bacteria and fungi, and at the same time it suppresses pathogenic fungi. The genera (bacterial and/or fungal) that increase due to the effect of Crotalaria are beneficial because they are involved as degraders of organic matter, promotion of plant growth and biological control of pathogens. Crotalaria is an alternative to improve soil fertility, increase the beneficial bacterial population, and reduce pathogenic fungi. Full article
(This article belongs to the Section Environmental Microbiology)
Show Figures

Figure 1

15 pages, 6819 KB  
Article
Maize Morphophysiological Changes Modulated by Cover Crops Rotation in Northeast Brazil
by José Wilker Germano de Souza, João Henrique Silva da Luz, Dayane Mércia Ribeiro Silva, Ricardo Barros Silva, Bruno Richardson dos Santos Costa, Alan Fontes Melo, Hugo Rodrigues dos Santos, Isabelly Cristina da Silva Marques, Jadielson Inácio de Sousa, Mariana Bernardino Vanderley, Luana do Nascimento Silva Barbosa, Maria Raquel da Silva Farias, Emerson dos Santos Ferreira Farias, Sivaldo Soares Paulino, Antônio Lucrécio dos Santos Neto, Paulo Sergio Pavinato, José Vieira Silva and Valdevan Rosendo dos Santos
Stresses 2024, 4(4), 699-713; https://doi.org/10.3390/stresses4040045 - 27 Oct 2024
Cited by 1 | Viewed by 1940
Abstract
Cover crops have gained attention due to their potential benefits for the soil and physiological performance of subsequent crops. This study aimed to evaluate the physiological and productive aspects of maize grown in succession to cover crops in northeastern Brazil. A randomized complete [...] Read more.
Cover crops have gained attention due to their potential benefits for the soil and physiological performance of subsequent crops. This study aimed to evaluate the physiological and productive aspects of maize grown in succession to cover crops in northeastern Brazil. A randomized complete block design with four repetitions was employed, in which the treatments consisted of the following cover crops: sunn hemp, spectabilis, pigeon pea, Brachiaria sp., jack bean, millet, and fallow. Physiological aspects and production components of maize were evaluated at the tasseling (VT) and smooth grain (R3) phenological stages. Millet cover increased carotenoid content in maize leaves by up to 78% at R3. Maize grown after pigeon pea, millet, and Brachiaria sp. showed up to 42% greater CO2 assimilation efficiency compared to jack bean. Carboxylation efficiency increased by up to 34% in maize grown after millet and Brachiaria sp., while water use efficiency improved by up to 76% in maize after sunn hemp and pigeon pea at R3. Sunn hemp, spectabilis, and jack bean reduced soil temperature by 2 °C compared to fallow. The highest maize yield was observed after jack bean, with an 8% increase over fallow. These findings demonstrate the benefits of incorporating cover crops into maize cultivation systems in the semi-arid region of Brazil. Full article
(This article belongs to the Collection Feature Papers in Plant and Photoautotrophic Stresses)
Show Figures

Figure 1

14 pages, 3241 KB  
Article
Crotalaria juncea Genotype Biomass Accumulation in Northern Semi-Arid and Humid-Continental Climates
by Carrie A. Eberle, Donna K. Harris, Tyler Z. Jones, Beth Fowers and Brian A. Mealor
Agronomy 2024, 14(10), 2334; https://doi.org/10.3390/agronomy14102334 - 10 Oct 2024
Viewed by 1258
Abstract
Crotalaria juncea (sunn hemp) is a tropical forage legume used as a cover, forage, and fiber crop. Sunn hemp seed production occurs primarily in India because it requires short days to flower and set seed. Seeds available for production are typically non-specific genotypes [...] Read more.
Crotalaria juncea (sunn hemp) is a tropical forage legume used as a cover, forage, and fiber crop. Sunn hemp seed production occurs primarily in India because it requires short days to flower and set seed. Seeds available for production are typically non-specific genotypes instead of true breeding varieties. As sunn hemp is grown in more locations, understanding not only its performance in different growing conditions but also variations in genotype performance is critical for production management. We evaluated the growth and biomass accumulation of four genotypes (KMB1, KMB2, Thailand Original Sunn, and ‘Tropic Sunn’) of sunn hemp grown in northern semi-arid and humid-continental environments, Wyoming (Adams ‘22 and ‘23 (irrigated), Wyarno ‘23 (rainfed)) and Minnesota (Morris ‘22 and ‘23), USA. Thailand Original Sunn had the fastest growth rate (height over time) but the slowest canopy closure (NDVI over time), while KMB1 had the slowest growth rate but the fastest canopy closure. While growth rates varied among sunn hemp germplasm, there were no marked differences in biomass accumulation when harvested at 60 and 90 days after planting. Although the genotype did not have a significant effect on biomass accumulation, the environment affected not only growth but also biomass accumulation. At 60 DAP, the sunn hemp biomass averaged 1836, 489, 2459, 3334, and 731 kg ha−1 in the Adams ‘22, Adams ‘23, Morris ‘22, Morris ‘23, and Wyarno ‘23 environments, respectively. At 90 DAP, the sunn hemp biomass averaged 6459, 4573, 7979, 7403, and 2220 kg ha−1 in the Adams ‘22, Adams ‘23, Morris ‘22, Morris ‘23, and Wyarno ‘23 environments, respectively. The growth rate, canopy closure, and biomass accumulation differed when compared between the semi-arid environments and the humid-continental environment, with the humid-continental environment producing faster growth and higher biomass. These findings support the hypothesis that genotypes are likely to perform as predicted within growing regions, but there may be room to improve performance in different environments through selective breeding. Full article
(This article belongs to the Section Crop Breeding and Genetics)
Show Figures

Figure 1

Back to TopTop