Leguminous Plants and Microbial Inoculation: An Approach for Biocatalytic Phytoremediation of Tebuthiuron in Agricultural Soil
Abstract
1. Introduction
2. Materials and Methods
2.1. Soil, Tebuthiuron, and Microbial Inoculant
2.2. Plant Species: Phytoremediator Species, Indicator Plant, and Test Organism
2.3. Experimental Setup
2.4. Plant Growth and Development Evaluation
2.5. Ecotoxicological Bioassays
2.6. Statistical Data Analysis
2.6.1. Model Validation and Goodness-of-Fit and Consideration of Multiple Comparisons
2.6.2. Statistical Significance and Reporting
3. Results and Discussion
3.1. Soil’s Properties: Enhancing Fertility
3.2. Production of Leguminous Plants with Microbial Inoculation: Unveiling the Biocatalytic Phytoremediation
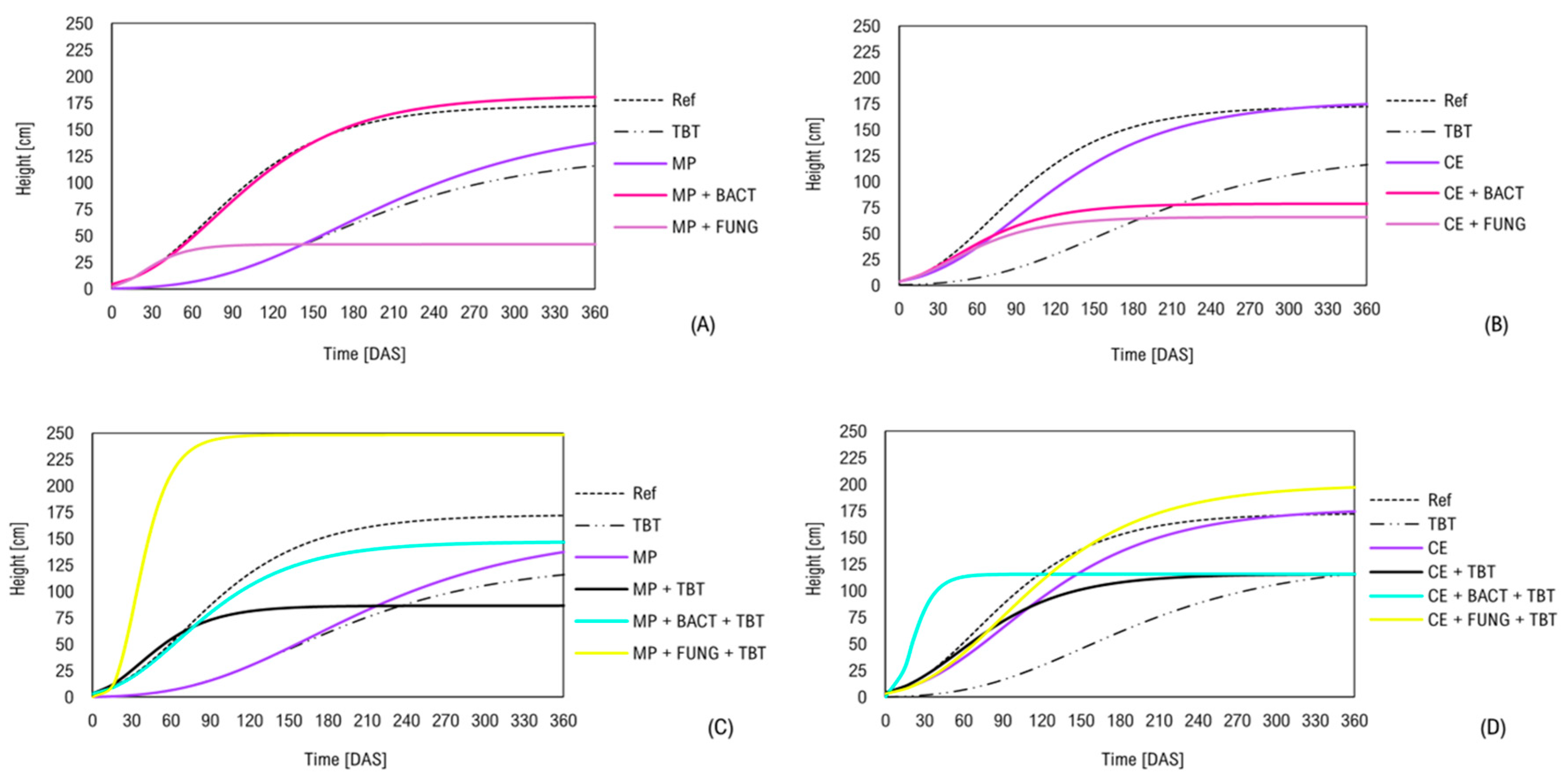
3.2.1. Growth Dynamics
3.2.2. Phytomass Accumulation
3.3. Production of C. juncea: Evaluating Ecotoxicity and Phytoremediation Efficiency
3.3.1. Growth Dynamics
3.3.2. Phytomass Accumulation
3.4. Bioassays with L. sativa: Validating Ecotoxicity and Phytoremediation Efficiency
3.5. The Impact of the Soil–Herbicide–Plant–Microbe Nexus on L. sativa’s GI: A Deeper Understanding of Bioremediation
3.6. Limitations and Directions to Improve the Credibility and Practicality of Phytoremediation
3.7. Future Perspectives
4. Conclusions
Author Contributions
Funding
Data Availability Statement
Acknowledgments
Conflicts of Interest
References
- Qian, Y.; Matsumoto, H.; Liu, X.; Li, S.; Liang, X.; Liu, Y.; Zhu, G.; Wang, M. Dissipation, Occurrence and Risk Assessment of a Phenylurea Herbicide Tebuthiuron in Sugarcane and Aquatic Ecosystems in South China. Environ. Pollut. 2017, 227, 389–396. [Google Scholar] [CrossRef] [PubMed]
- Herbicide Resistance Action Committee—Global Herbicide Classification Lookup—Tebuthiuron. Available online: https://hracglobal.com/tools/classification-lookup/?s=Tebuthiuron&mode=&letter=&number=#classificationLookup (accessed on 10 April 2024).
- PPDB—Pesticide Properties Database: Tebuthiuron (Ref: EL 103), 2023. Available online: http://sitem.herts.ac.uk/aeru/iupac/Reports/614.htm (accessed on 1 July 2024).
- Aransiola, S.A.; Maddela, N.R. Phytoremediation in Food Safety: Risks and Prospects; CRC Press: Boca Raton, FL, USA, 2024; ISBN 978-1-04-011546-6. [Google Scholar]
- Sagrilo, E.; Leite, L.F.C.; Galvão, S.R.S.; Lima, E.F. Manejo Agroecológico do Solo: Os Benefícios da Adubação Verde; Documentos 193; Embrapa: Teresina, PI, USA, 2009; 22p. [Google Scholar]
- Mendes, K.F.; Maset, B.A.; Mielke, K.C.; Sousa, R.N.; Martins, B.A.B.; Tornisielo, V.L. Phytoremediation of Quinclorac and Tebuthiuron-Polluted Soil by Green Manure Plants. Int. J. Phytoremediation 2021, 23, 474–481. [Google Scholar] [CrossRef] [PubMed]
- Ferreira, L.C.; Moreira, B.R.A.; Montagnolli, R.N.; Prado, E.P.; Viana, R.S.; Tomaz, R.S.; Cruz, J.M.; Bidoia, E.D.; Frias, Y.A.; Lopes, P.R.M. Green Manure Species for Phytoremediation of Soil with Tebuthiuron and Vinasse. Front. Bioeng. Biotechnol. 2021, 8, 613642. [Google Scholar] [CrossRef] [PubMed]
- Frias, Y.A.; Lima, E.W.; Aragão, M.B.; Nantes, L.S.; Moreira, B.R.A.; Cruz, V.H.; Tomaz, R.S.; Lopes, P.R.M. Mucuna pruriens Cannot Develop Phytoremediation of Tebuthiuron in Agricultural Soil with Vinasse: A Morphometrical and Ecotoxicological Analysis. Front. Bioeng. Biotechnol. 2023, 11, 1156751. [Google Scholar] [CrossRef] [PubMed]
- Sarapirom, P.; Wiriyaampaiwong, P.; Rueangsan, K.; Plangklang, P.; Teerakun, M. The Combination Technique of Bioaugmentation and Phytoremediation on the Degradation of Paraquat in Contaminated Soil. Asia-Pac. J. Sci. Technol. 2022, 27, 9. [Google Scholar] [CrossRef]
- Lopes, P.R.M.; Cruz, V.H.; Menezes, A.B.; Gadanhoto, B.P.; Moreira, B.R.A.; Mendes, C.R.; Mazzeo, D.E.C.; Dilarri, G.; Montagnolli, R.N. Microbial Bioremediation of Pesticides in Agricultural Soils: An Integrative Review on Natural Attenuation, Bioaugmentation and Biostimulation. Rev. Environ. Sci. Biotechnol. 2022, 21, 851–876. [Google Scholar] [CrossRef]
- Khan, S.; Afzal, M.; Iqbal, S.; Khan, Q.M. Plant–Bacteria Partnerships for the Remediation of Hydrocarbon Contaminated Soils. Chemosphere 2013, 90, 1317–1332. [Google Scholar] [CrossRef]
- Lima, E.W.; Brunaldi, B.P.; Frias, Y.A.; Moreira, B.R.A.; Alves, L.S.; Lopes, P.R.M. A Synergistic Bacterial Pool Decomposes Tebuthiuron in Soil. Sci. Rep. 2022, 12, 9225. [Google Scholar] [CrossRef]
- Aparício, J.D.; Garcia-Velasco, N.; Urionabarrenetxea, E.; Soto, M.; Álvarez, A.; Polti, M.A. Evaluation of the Effectiveness of a Bioremediation Process in Experimental Soils Polluted with Chromium and Lindane. Ecotoxicol. Environ. Saf. 2019, 181, 255–263. [Google Scholar] [CrossRef]
- Raimondo, E.E.; Saez, J.M.; Aparicio, J.D.; Fuentes, M.S.; Benimeli, C.S. Bioremediation of Lindane-Contaminated Soils by Combining Bioaugmentation and Biostimulation: Effective Scaling-Up from Microcosms to Mesocosms. J. Environ. Manag. 2020, 276, 111309. [Google Scholar] [CrossRef]
- Pires, F.R.; Procópio, S.O.; dos Santos, J.B.; Souza, C.M.; Dias, R.R. Avaliação da Fitorremediação de Tebuthiuron Utilizando Crotalaria juncea como Planta Indicadora. Rev. Ciênc. Agron. 2008, 39, 245–250. [Google Scholar]
- NBR 10006; Associação Brasileira De Normas Técnicas (ABNT). Procedimento para Obtenção de Extrato Solubilizado de Resíduos Sólidos. ABNT: Rio de Janeiro, Brazil, 2004; 20p.
- Sobrero, M.C.; Ronco, A. Ensayo de Toxicidad Aguda con Semillas de Lechuga (Lactuca sativa L.). In Ensayos Toxicológicos y Métodos de Evaluación de Calidad de Aguas: Standerización, Intercalibración, Resultados y Aplicaciones; Morales, G.C., Ed.; IMTA: Mexico City, Mexico, 2004; pp. 71–79. [Google Scholar]
- Labouriau, L.G.; Agudo, M. On the Physiology of Seed Germination in Salvia hispanica L. I. Temperature Effects. An. Acad. Bras. Ciênc. 1987, 59, 37–56. [Google Scholar]
- Nantes, L.S.; Aragão, M.B.; Moreira, B.R.A.; Frias, Y.A.; Valério, T.S.; Lima, E.W.; Silva Viana, R.; Lopes, P.R.M. Synergism and Antagonism in Environmental Behavior of Tebuthiuron and Thiamethoxam in Soil with Vinasse by Natural Attenuation. Int. J. Environ. Sci. Technol. 2023, 20, 4883–4892. [Google Scholar] [CrossRef]
- Santos, H.G.; Jacomine, P.K.T.; Anjos, L.H.C.; Oliveira, V.A.; Lumbreras, J.F.; Coelho, M.R.; Almeida, J.A.; Araújo Filho, J.C.; Oliveira, J.B.; Cunha, T.J.F. Sistema Brasileiro de Classificação de Solos, 5th ed.; Embrapa: Brasília, Brazil, 2018; 355p. [Google Scholar]
- Echart, C.L.; Cavalli-Molina, S. Fitotoxicidade do Alumínio: Efeitos, Mecanismo de Tolerância e Seu Controle Genético. Ciênc. Rural 2001, 31, 531–541. [Google Scholar] [CrossRef]
- Calegari, A. Plantas de Cobertura. In Sistema Plantio Direto com Qualidade; Casão Junior, R., Siqueira, R., Mehta, Y.R., Passini, J.J., Eds.; IAPAR: Londrina, Brazil, 2006; pp. 55–73. [Google Scholar]
- Belo, A.F.; Santos, E.A.; Santos, J.B.; Ferreira, L.R.; Silva, A.A.; Cecon, P.R.; Silva, L.L. Efeito da Umidade do Solo sobre a Capacidade de Canavalia ensiformis e Stizolobium aterrimum em Remediar Solos Contaminados com Herbicidas. Planta Daninha 2007, 25, 239–249. [Google Scholar] [CrossRef]
- Madalão, J.C.; Souza, M.F.; Silva, A.A.; Silva, D.V.; Jakelaitis, A.; Pereira, G.A.M. Action of Canavalia ensiformis in Remediation of Contaminated Soil with Sulfentrazone. Bragantia 2017, 76, 292–299. [Google Scholar] [CrossRef]
- Zhang, N.; Guo, D.; Zhu, Y.; Wang, X.; Zhu, L.; Liu, F.; Teng, Y.; Christie, P.; Li, Z.; Luo, Y. Microbial Remediation of a Pentachloronitrobenzene-Contaminated Soil under Panax notoginseng: A Field Experiment. Pedosphere 2020, 30, 563–569. [Google Scholar] [CrossRef]
- Madariaga-Navarrete, A.; Rodríguez-Pastrana, B.R.; Villagómez-Ibarra, J.R.; Acevedo-Sandoval, O.A.; Perry, G.; Islas-Pelcastre, M. Bioremediation Model for Atrazine Contaminated Agricultural Soils Using Phytoremediation (Phaseolus vulgaris L.) and a Locally Adapted Microbial Consortium. J. Environ. Sci. Health B 2017, 52, 367–375. [Google Scholar] [CrossRef]
- Camargo, D.; Bispo, K.L.; Sene, L. Associação de Rhizobium sp. a Duas Leguminosas na Tolerância à Atrazina. Rev. Ceres 2011, 58, 425–431. [Google Scholar] [CrossRef]
- Abdulrahman, A.A.; Oladele, F.A. Leaf Size and Transpiration Rates in Agave americana and Aloe vera. Phytol. Balc. 2017, 23, 95–100. [Google Scholar]
- Kuiper, I.; Lagendijk, E.L.; Bloemberg, G.V.; Lugtenberg, B.J.J. Rhizoremediation: A Beneficial Plant-Microbe Interaction. Mol. Plant-Microbe Interact. 2004, 17, 6–15. [Google Scholar] [CrossRef] [PubMed]
- Christoffoleti, P.J.; López-Ovejero, R.F.; Damin, V.; Carvalho, S.J.P.; Nicolai, M. Comportamento dos Herbicidas Aplicados ao Solo na Cultura da Cana-de-Açúcar, 1st ed.; CP: Piracicaba, SP, Brasil, 2009; 72p. [Google Scholar]
- Oliveira, M.A.; Pires, F.R.; Ferraço, M.; Belo, A.F. Validation of an Analytical Method for Sulfentrazone Residue Determination in Soil Using Bacterial Chromatography and a Comparison of Chromatographic Sensitivity to Millet as a Bioindicator Species. Molecules 2014, 19, 10982–10997. [Google Scholar] [CrossRef]
- Mostafa, F.I.Y.; Helling, C.S. Isolation and 16S DNA Characterization of Soil Microorganisms from Tropical Soils Capable of Utilizing the Herbicides Hexazinone and Tebuthiuron. J. Environ. Sci. Health B 2003, 38, 783–797. [Google Scholar] [CrossRef]
- Sheldon, P.J.; Johnson, D.J.; August, P.R.; Liu, H.W.; Sherman, D.H. Characterization of a Mitomycin-Binding Drug Resistance Mechanism from the Producing Organism. J. Bacteriol. 1999, 179, 1796–1804. [Google Scholar] [CrossRef] [PubMed]
- Erasmo, E.A.L.; Azevedo, W.R.; Sarmento, R.A.; Cunha, A.M.; Garcia, S.L.R. Potencial de Espécies Utilizadas como Adubo Verde no Manejo Integrado de Plantas Daninhas. Planta Daninha 2004, 22, 337–342. [Google Scholar] [CrossRef]
- Melo, C.A.D.; Passos, A.B.R.J.; Madalão, J.C.; Silva, D.V.; Massenssini, A.M.; Silva, A.A.; Costa, M.D.; Souza, M.F. Bioaugmentation as an Associated Technology for Bioremediation of Soil Contaminated with Sulfentrazone. Ecol. Indic. 2019, 99, 343–348. [Google Scholar] [CrossRef]
- Harman, G.E.; Howell, C.R.; Viterbo, A.; Chet, I.; Lorito, M. Trichoderma Species—Opportunistic, Avirulent Plant Symbionts. Nat. Rev. Microbiol. 2004, 2, 43–56. [Google Scholar] [CrossRef]
- Wang, L.; Chi, X.-Q.; Zhang, J.-J.; Sun, D.-L.; Zhou, N.-Y. Bioaugmentation of a Methyl Parathion Contaminated Soil with Pseudomonas sp. Strain WBC-3. Int. Biodeterior. Biodegrad. 2014, 87, 116–121. [Google Scholar] [CrossRef]
- Xie, J.; He, Z.; Liu, X.; Liu, X.; Van Nostrand, J.D.; Deng, Y.; Wu, L.; Zhou, J.; Qiu, G. GeoChip-Based Analysis of the Functional Gene Diversity and Metabolic Potential of Microbial Communities in Acid Mine Drainage. Appl. Environ. Microbiol. 2011, 77, 991–999. [Google Scholar] [CrossRef]
- Wauchope, R.D.; Buttler, T.M.; Hornsby, A.G.; Augustijn-Beckers, P.W.M.; Burt, J.P. The SCS/ARS/CES Pesticide Properties Database for Environmental Decision-Making. Rev. Environ. Contam. Toxicol. 1992, 123, 1–155. [Google Scholar] [CrossRef]
- Pignatello, J.J.; Xing, B. Mechanisms of Slow Sorption of Organic Chemicals to Natural Particles. Environ. Sci. Technol. 1996, 30, 1–11. [Google Scholar] [CrossRef]
- Beesley, L.; Moreno-Jiménez, E.; Gomez-Eyles, J.L. Effects of Biochar and Greenwaste Compost Amendments on Mobility, Bioavailability, and Toxicity of Inorganic and Organic Contaminants in a Multi-Element Polluted Soil. Environ. Pollut. 2010, 158, 2282–2287. [Google Scholar] [CrossRef] [PubMed]
- Dietz, A.C.; Schnoor, J.L. Advances in Phytoremediation. Environ. Health Perspect. 2001, 109, 163–168. [Google Scholar] [CrossRef] [PubMed]
- Strong, P.J.; Claus, H. Laccase: A Review of Its Past and Its Future in Bioremediation. Crit. Rev. Environ. Sci. Technol. 2011, 41, 373–434. [Google Scholar] [CrossRef]









| Attributes | Unit | 0 DAS | 70 DAS | Indication |
|---|---|---|---|---|
| pH (H2O) | - | 4.0 | 7.5 | Increased |
| Organic matter | g dm−3 | 4.0 | 10 | Increased |
| Potassium | mmol dm−3 | 0.3 | 1.6 | Increased |
| Calcium | mmol dm−3 | 6 | 51 | Increased |
| Magnesium | mmol dm−3 | 2 | 23 | Increased |
| Hydrogen + Aluminum | mmol dm−3 | 33 | 8 | Decreased |
| Aluminum3+ | mmol dm−3 | 13 | 0 | Decreased |
| Phosphor | mg dm−3 | 1 | 6 | Increased |
| Sulfur | mg dm−3 | 7 | - | Not detected |
| Boron | mg dm−3 | 0.10 | 0.02 | Decreased |
| Copper | mg dm−3 | 0.1 | 0.2 | Increased |
| Iron | mg dm−3 | 4 | 2 | Decreased |
| Manganese | mg dm−3 | 1.8 | 1.2 | Increased |
| Zinc | mg dm−3 | 0.1 | 0.3 | Increased |
| Sum of bases | mg dm−3 | 8 | 75.6 | Increased |
| Cation exchange capacity | mg dm−3 | 41 | 83.6 | Increased |
| Base saturation | % | 20 | 90 | Increased |
| Aluminum saturation | % | 61 | 0 | Decreased |
| Treatments | Complexity | Adequacy | ||||
|---|---|---|---|---|---|---|
| α | β | k | R2 | AIC | BIC | |
| MP | 72.72 | 15.49 | 0.1127 | 0.72 | 63.96 | 65.17 |
| MP + TBT | 51.69 | 4.76 | 0.1087 | 0.94 | 63.96 | 65.17 |
| MP + BACT | 77.66 | 32.71 | 0.1695 | 0.97 | 69.10 | 70.31 |
| MP + FUNG | 80.31 | 38.14 | 0.1425 | 0.99 | 56.33 | 57.54 |
| MP + BACT + TBT | 61.58 | 144.19 | 0.2272 | 0.89 | 78.80 | 80.01 |
| MP + FUNG + TBT | 76.63 | 9.15 | 0.0997 | 0.93 | 75.82 | 77.04 |
| CE | 31.64 | 2.72 | 0.0748 | 0.97 | 46.29 | 47.50 |
| CE + TBT | 20.27 | 2.13 | 0.0686 | 0.93 | 44.71 | 45.92 |
| CE + BACT | 43.10 | 2.73 | 0.0751 | 0.97 | 53.67 | 54.88 |
| CE + FUNG | 40.90 | 2.62 | 0.0679 | 0.97 | 50.41 | 51.62 |
| CE + BACT + TBT | 34.26 | 2.51 | 0.0707 | 0.96 | 49.03 | 50.24 |
| CE + FUNG + TBT | 84.52 | 2.81 | 0.0224 | 0.94 | 60.08 | 61.29 |
| Treatments | Complexity | Adequacy | ||||
|---|---|---|---|---|---|---|
| α | β | k | R2 | AIC | BIC | |
| MP | 156.35 | 5.94 | 0.01061 | 0.98 | 49.51 | 50.30 |
| MP + TBT | 86.91 | 3.29 | 0.03295 | 0.98 | 45.17 | 45.96 |
| MP + BACT | 181.96 | 3.76 | 0.01741 | 0.98 | 45.39 | 46.18 |
| MP + FUNG | 42.01 | 3.23 | 0.05290 | 0.98 | 41.15 | 41.94 |
| MP + BACT + TBT | 147.18 | 3.75 | 0.02018 | 0.99 | 41.67 | 42.46 |
| MP + FUNG + TBT | 248.45 | 8.52 | 0.06591 | 0.98 | 54.98 | 55.77 |
| CE | 178.13 | 3.82 | 0.01486 | 0.96 | 47.42 | 48.20 |
| CE + TBT | 115.67 | 3.34 | 0.02142 | 0.98 | 46.18 | 45.39 |
| CE + BACT | 78.74 | 3.00 | 0.02500 | 0.97 | 45.81 | 45.02 |
| CE + FUNG | 66.01 | 2.91 | 0.02667 | 0.96 | 47.20 | 47.98 |
| CE + BACT + TBT | 115.76 | 5.60 | 0.09303 | 0.97 | 47.70 | 48.49 |
| CE + FUNG + TBT | 199.88 | 4.11 | 0.01602 | 0.98 | 43.88 | 44.67 |
| Ref | 172.93 | 3.78 | 0.01897 | 0.98 | 44.72 | 45.51 |
| TBT | 324.99 | 8.91 | 0.05819 | 0.98 | 51.98 | 52.77 |
| BACT | 69.95 | 2.95 | 0.03017 | 0.97 | 48.00 | 47.21 |
| FUNG | 127.47 | 5.76 | 0.01148 | 0.99 | 44.82 | 45.61 |
| BACT + TBT | 70.50 | 3.08 | 0.02991 | 0.98 | 42.20 | 42.99 |
| FUNG + TBT | 163.15 | 3.47 | 0.01731 | 0.97 | 50.26 | 51.05 |
| Treatments | Complexity | Adequacy | ||||
|---|---|---|---|---|---|---|
| α | β | k | R2 | AIC | BIC | |
| MP | 1.00 | 6.98 | 0.04774 | 0.98 | −11.64 | −12.47 |
| MP + TBT | 0.97 | 10.09 | 0.06319 | 0.98 | −13.20 | −14.04 |
| MP + BACT | 1.00 | 7.06 | 0.04656 | 0.98 | −13.15 | −13.99 |
| MP + FUNG | 0.97 | 10.09 | 0.06319 | 0.98 | −13.20 | −14.04 |
| MP + BACT + TBT | 1.00 | 6.81 | 0.04618 | 0.98 | −11.94 | −12.77 |
| MP + FUNG + TBT | 1.00 | 7.49 | 0.05091 | 0.98 | −11.67 | −12.51 |
| CE | 1.00 | 5.94 | 0.04001 | 0.98 | −11.13 | −11.97 |
| CE + TBT | 1.00 | 7.25 | 0.03861 | 0.99 | −21.18 | −22.02 |
| CE + BACT | 1.00 | 6.96 | 0.04861 | 0.98 | −10.72 | −11.56 |
| CE + FUNG | 1.00 | 7.03 | 0.04880 | 0.98 | −10.94 | −11.77 |
| CE + BACT + TBT | 1.00 | 6.46 | 0.04224 | 0.98 | −12.94 | −13.77 |
| CE + FUNG + TBT | 1.00 | 7.06 | 0.04797 | 0.98 | −11.94 | −12.77 |
| Ref | 1.00 | 3.27 | 0.02642 | 0.99 | −19.10 | −19.93 |
| TBT | 1.00 | 3.65 | 0.03053 | 0.99 | −24.09 | −24.92 |
| BACT | 1.00 | 2.84 | 0.02250 | 0.96 | −8.90 | −9.73 |
| FUNG | 1.00 | 3.01 | 0.03141 | 0.99 | −15.20 | −16.03 |
| BACT + TBT | 1.00 | 3.28 | 0.03499 | 0.99 | −18.46 | −19.29 |
| FUNG + TBT | 1.00 | 3.33 | 0.02641 | 0.99 | −19.68 | −20.51 |
Disclaimer/Publisher’s Note: The statements, opinions and data contained in all publications are solely those of the individual author(s) and contributor(s) and not of MDPI and/or the editor(s). MDPI and/or the editor(s) disclaim responsibility for any injury to people or property resulting from any ideas, methods, instructions or products referred to in the content. |
© 2024 by the authors. Licensee MDPI, Basel, Switzerland. This article is an open access article distributed under the terms and conditions of the Creative Commons Attribution (CC BY) license (https://creativecommons.org/licenses/by/4.0/).
Share and Cite
Cruz, V.H.; Moreira, B.R.d.A.; Valério, T.S.; Frias, Y.A.; Silva, V.L.d.; Morais, E.B.d.; Vasconcelos, L.G.d.; Tropaldi, L.; Prado, E.P.; Montagnolli, R.N.; et al. Leguminous Plants and Microbial Inoculation: An Approach for Biocatalytic Phytoremediation of Tebuthiuron in Agricultural Soil. Agronomy 2024, 14, 2805. https://doi.org/10.3390/agronomy14122805
Cruz VH, Moreira BRdA, Valério TS, Frias YA, Silva VLd, Morais EBd, Vasconcelos LGd, Tropaldi L, Prado EP, Montagnolli RN, et al. Leguminous Plants and Microbial Inoculation: An Approach for Biocatalytic Phytoremediation of Tebuthiuron in Agricultural Soil. Agronomy. 2024; 14(12):2805. https://doi.org/10.3390/agronomy14122805
Chicago/Turabian StyleCruz, Victor Hugo, Bruno Rafael de Almeida Moreira, Thalia Silva Valério, Yanca Araujo Frias, Vinícius Luiz da Silva, Eduardo Beraldo de Morais, Leonardo Gomes de Vasconcelos, Leandro Tropaldi, Evandro Pereira Prado, Renato Nallin Montagnolli, and et al. 2024. "Leguminous Plants and Microbial Inoculation: An Approach for Biocatalytic Phytoremediation of Tebuthiuron in Agricultural Soil" Agronomy 14, no. 12: 2805. https://doi.org/10.3390/agronomy14122805
APA StyleCruz, V. H., Moreira, B. R. d. A., Valério, T. S., Frias, Y. A., Silva, V. L. d., Morais, E. B. d., Vasconcelos, L. G. d., Tropaldi, L., Prado, E. P., Montagnolli, R. N., & Lopes, P. R. M. (2024). Leguminous Plants and Microbial Inoculation: An Approach for Biocatalytic Phytoremediation of Tebuthiuron in Agricultural Soil. Agronomy, 14(12), 2805. https://doi.org/10.3390/agronomy14122805

