Sign in to use this feature.

Years

Between: -

Subjects

remove_circle_outline
remove_circle_outline
remove_circle_outline
remove_circle_outline
remove_circle_outline
remove_circle_outline
remove_circle_outline
remove_circle_outline
remove_circle_outline

Journals

Article Types

Countries / Regions

Search Results (35)

Search Parameters:
Keywords = CeVO4

Order results
Result details
Results per page
Select all
Export citation of selected articles as:
17 pages, 482 KB  
Article
Branched-Chain Amino Acids Combined with Exercise Improves Physical Function and Quality of Life in Older Adults: Results from a Pilot Randomized Controlled Trial
by Ronna Robbins, Jason C. O’Connor, Tiffany M. Cortes and Monica C. Serra
Dietetics 2025, 4(3), 32; https://doi.org/10.3390/dietetics4030032 - 1 Aug 2025
Cited by 3 | Viewed by 11237
Abstract
This pilot, randomized, double-blind, placebo-controlled trial investigated the effects of branched-chain amino acids (BCAAs)—provided in a 2:1:1 ratio of leucine:isoleucine:valine—combined with exercise on fatigue, physical performance, and quality of life in older adults. Twenty participants (63% female; BMI: 35 ± 2 kg/m2 [...] Read more.
This pilot, randomized, double-blind, placebo-controlled trial investigated the effects of branched-chain amino acids (BCAAs)—provided in a 2:1:1 ratio of leucine:isoleucine:valine—combined with exercise on fatigue, physical performance, and quality of life in older adults. Twenty participants (63% female; BMI: 35 ± 2 kg/m2; age: 70.5 ± 1.2 years) were randomized to 8 weeks of either exercise + BCAAs (100 mg/kg body weight/d) or exercise + placebo. The program included moderate aerobic and resistance training three times weekly. Physical function was assessed using handgrip strength, chair stands, gait speed, VO2 max, and a 400 m walk. Psychological health was evaluated using the CES-D, Fatigue Assessment Scale (FAS), Insomnia Severity Index (ISI), and global pain, fatigue, and quality of life using a visual analog scale (VAS). Significant group x time interactions were found for handgrip strength (p = 0.03), chair stands (p < 0.01), and 400 m walk time (p < 0.01). Compared to exercise + placebo, exercise + BCAAs showed greater improvements in strength, mobility, and endurance, along with reductions in fatigue (−45% vs. +92%) and depressive symptoms (−29% vs. +5%). Time effects were also observed for ISI (−30%), FAS (−21%), and VAS quality of life (16%) following exercise + BCAA supplementation. These preliminary results suggest that BCAAs combined with exercise may be an effective way to improve physical performance and reduce fatigue and depressive symptoms in older adults. Full article
Show Figures

Figure 1

15 pages, 15136 KB  
Article
Enhanced Removal of Acid Orange 7 onto Layered Interleaved Symmetrical 3D Flower-like CeO2 with Y(III) Doping
by Yaohui Xu, Yong Li, Liangjuan Gao and Zhao Ding
Symmetry 2025, 17(2), 224; https://doi.org/10.3390/sym17020224 - 4 Feb 2025
Cited by 1 | Viewed by 1025
Abstract
CeO2 has a potential application in the purification of organic dye wastewater because of the abundant oxygen vacancy (VO) defects in its crystals. In this study, a cubic CeO2 microsphere with layered interleaved symmetrical 3D flower-like morphology was synthesized, [...] Read more.
CeO2 has a potential application in the purification of organic dye wastewater because of the abundant oxygen vacancy (VO) defects in its crystals. In this study, a cubic CeO2 microsphere with layered interleaved symmetrical 3D flower-like morphology was synthesized, and its adsorption capacity for acid orange 7 (AO7) was further enhanced by Y doping. The impact of varying amounts of Y ions on the phase composition, lattice parameters, and morphology of the product was investigated, revealing that 4 mol.% was determined as the doping level limit of Y ions in CeO2 crystals. XPS, Raman, and H2−TPR techniques were employed to compare surface species changes before and after 4 mol.% Y doping in the CeO2 crystals, including O−Ce(III), O−Ce(IV), O−Y(III), and VO correlation, yielding a rough quantitative assessment of these species. The 4 mol.% Y-doped CeO2 (2.0 g/L) demonstrated the highest removal rate for 20 mg/L of AO7 dye within just 20 min to reach adsorption–desorption equilibrium, half the time required by undoped CeO2, achieving an impressive adsorption rate of 94.6%, compared to only 69.5% for undoped CeO2 at 20 min. The adsorption capacity of undoped CeO2 was enhanced by 19.05% through the doping of 4 mol.% Y, achieving a value of 16.56 mg/L. The feasibility of enhancing the adsorption capacity of CeO2 by Y doping provides a reference for the application of CeO2 and other metal oxides. Full article
Show Figures

Figure 1

17 pages, 9409 KB  
Article
Experimental Study and Optimization Analysis of Operating Conditions on Photo-Thermochemical Cycle of Water Splitting for Hydrogen Production Based on CeO2 Catalyst
by Zhiyin Zhang, Huimin Hu, Jie Yang, Zhengguang He, Kai Yan, Tianyu Liu and Chang Wen
Energies 2024, 17(24), 6314; https://doi.org/10.3390/en17246314 - 14 Dec 2024
Cited by 1 | Viewed by 1537
Abstract
The photo-thermochemical cycle (PTC) for water splitting offers a sustainable method for hydrogen production by efficiently utilizing solar energy. This study explored the use of CeO2 as a catalyst in the PTC system to enhance hydrogen yield. A nanostructured CeO2 catalyst [...] Read more.
The photo-thermochemical cycle (PTC) for water splitting offers a sustainable method for hydrogen production by efficiently utilizing solar energy. This study explored the use of CeO2 as a catalyst in the PTC system to enhance hydrogen yield. A nanostructured CeO2 catalyst was synthesized via the sol-gel method, achieving an H2 yield of 8.35 μmol g−1 h−1. Stability tests over five cycles showed consistent yields between 7.22 and 8.35 μmol g−1 h−1. Analysis revealed that oxygen vacancies (VOs) increased after the photoreaction and depleted during the thermal reaction, which aligns with the expected PTC mechanism for hydrogen production. Single-factor experiments highlighted that photoreaction duration mainly influenced VOs generation, while thermal duration and temperature impacted VOs consumption and intermediate reaction rates. A response surface methodology (RSM) model predicted optimal conditions for maximum H2 yield (8.85 μmol g−1 h−1) with a photoreaction duration of 46.6 min, thermal duration of 45.4 min, and thermal temperature of 547.2 °C. Full article
(This article belongs to the Special Issue Advances in Hydrogen Production and Hydrogen Storage)
Show Figures

Figure 1

12 pages, 3000 KB  
Article
Fabrication of Z-Scheme CeVO4/BiVO4 Heterojunction and Its Enhanced Photocatalytic Degradation of NFX
by Zenan Liu, Guang Lu, Rongpeng Yang, Zheng Li and Fei Wang
Processes 2024, 12(8), 1614; https://doi.org/10.3390/pr12081614 - 1 Aug 2024
Cited by 3 | Viewed by 1861
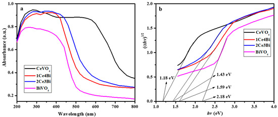
Abstract
In this paper, BiVO4/CeVO4 composites were synthesized by hydrothermal method for photodegradation of norfloxacin (NFX) under visible light irradiation. The structure, morphologies, and optical properties of as-prepared samples were studied with XRD, SEM, BET, DRS, PL, XPS, EIS, and TPR. [...] Read more.
In this paper, BiVO4/CeVO4 composites were synthesized by hydrothermal method for photodegradation of norfloxacin (NFX) under visible light irradiation. The structure, morphologies, and optical properties of as-prepared samples were studied with XRD, SEM, BET, DRS, PL, XPS, EIS, and TPR. The results of the photocatalytic experiments demonstrated that the BiVO4/CeVO4 composites had more degradation performance of NFX compared with pure BiVO4 or CeVO4, which was attributed to the increased absorbance intensity of visible light, the reduced carrier coincidence rate, and the improved charge separation efficiency. Furthermore, the possible mechanism of the NFX degradation on BiVO4/CeVO4 composites under visible light irradiation was proposed according to the photocatalytic activity and free radicals trapping experiments. Full article
(This article belongs to the Section Environmental and Green Processes)
Show Figures

Figure 1

25 pages, 6741 KB  
Systematic Review
Barriers to Adopting Digital Technologies to Implement Circular Economy Practices in the Construction Industry: A Systematic Literature Review
by Sivanuja Thirumal, Nilupa Udawatta, Gayani Karunasena and Riyadh Al-Ameri
Sustainability 2024, 16(8), 3185; https://doi.org/10.3390/su16083185 - 10 Apr 2024
Cited by 53 | Viewed by 10426
Abstract
The construction industry is a resource- and energy-intensive sector, and, thus, it has been criticised due to rising environmental concerns. As a result, it has gained heightened interest in the concept of the circular economy (CE) over the last decade due to its [...] Read more.
The construction industry is a resource- and energy-intensive sector, and, thus, it has been criticised due to rising environmental concerns. As a result, it has gained heightened interest in the concept of the circular economy (CE) over the last decade due to its ability to promote the slowing, reducing, and closing production and consumption cycles of materials and products used in construction projects. Current research studies suggest that digital technologies may enhance the construction industry’s ability to integrate the concept of CE into its practices. However, a clear understanding of digital technology (DT)-related barriers that hinder practical implementation of CE appears to be lacking within the sector. Thus, this study aims to identify the barriers to adopting DTs to implement CE practices in the construction industry. A systematic literature review was conducted by reviewing twenty-eight (28) relevant papers published until March 2024 in the Scopus and Web of Science databases. The VOS viewer software (version 1.6.11) was used to perform a co-occurrence analysis of keywords to identify new and popular study areas in the field. The content analysis was used to analyse the significant barriers to adapting DTs to implement CE in the construction industry; frequency and Pareto analyses were used to determine the most critical obstacles. This study identified thirty-seven (37) barriers to using DTs to implement CE, categorised into nine areas: organisational, infrastructure, regulatory, standardisation, investment, nature of the construction industry, technological, stakeholder, and data-related barriers. Of these thirty-seven barriers, nineteen were identified as critical barriers based on Pareto analysis. These findings will benefit construction practitioners and policymakers who want to adopt DTs to integrate CE practices in the construction industry. Full article
Show Figures

Figure 1

13 pages, 3922 KB  
Article
Modulating Interfacial Charge Transfer Behavior through the Construction of a Hetero-Interface for Efficient Photoelectrochemical Water Splitting
by Li Xu, Jingjing Quan, Li Xu, Meihua Li, Chenglong Li, Saqib Mujtaba, Xingming Ning, Pei Chen, Qiang Weng, Zhongwei An and Xinbing Chen
Separations 2024, 11(4), 109; https://doi.org/10.3390/separations11040109 - 1 Apr 2024
Cited by 3 | Viewed by 2073
Abstract
Surface-coupled transition metal oxyhydroxide (TMOOH) on semiconductor (SC)-based photoanodes are effective strategies for improving photoelectrochemical (PEC) performance. However, there is a substantial difference between the current density and theoretical value due to the inevitable interfacial charge recombination of SC/TMOOH. Here, we employ BiVO [...] Read more.
Surface-coupled transition metal oxyhydroxide (TMOOH) on semiconductor (SC)-based photoanodes are effective strategies for improving photoelectrochemical (PEC) performance. However, there is a substantial difference between the current density and theoretical value due to the inevitable interfacial charge recombination of SC/TMOOH. Here, we employ BiVO4/FeNiOOH as a model, constructing the BiVO4/MnOx/CoOx/FeNiOOH integrated system by introducing a novel hetero-interface regulation unit, i.e., MnOx/CoOx. As expected, the optimized integrated system demonstrates a photocurrent density as high as 5.0 mA/cm2 at 1.23 V versus the reversible hydrogen electrode (RHE) under 1 sun AM 1.5G illumination, accompanied by 12-h stability. The detailed electrochemical analysis and intensity modulated photocurrent spectroscopy (IMPS) have confirmed that the high PEC performance mainly originates from the hetero-interface structure, which not only suppresses the interfacial charge recombination by accelerating the photogenerated hole transfer kinetics from BiVO4 to FeNiOOH but promotes the kinetics of surface oxygen evolution reaction (OER). Notably, these findings can also be extended to other structures (CeOx/CoOx), reflecting its universality. This finding has provided a new insight into the highly efficient solar energy conversion in the SC/TMOOH system. Full article
(This article belongs to the Special Issue Adsorption and Solar-Powered Decomposition for Removing Pollutants)
Show Figures

Figure 1

13 pages, 6616 KB  
Article
A Core and Valence-Level Spectroscopy Study of the Enhanced Reduction of CeO2 by Iron Substitution—Implications for the Thermal Water-Splitting Reaction
by Hicham Idriss
Inorganics 2024, 12(2), 42; https://doi.org/10.3390/inorganics12020042 - 27 Jan 2024
Cited by 6 | Viewed by 3000
Abstract
The reduction of Ce cations in CeO2 can be enhanced by their partial substitution with Fe cations. The enhanced reduction of Ce cations results in a considerable increase in the reaction rates for the thermal water-splitting reaction when compared to CeO2 [...] Read more.
The reduction of Ce cations in CeO2 can be enhanced by their partial substitution with Fe cations. The enhanced reduction of Ce cations results in a considerable increase in the reaction rates for the thermal water-splitting reaction when compared to CeO2 alone. This mixed oxide has a smaller crystallite size when compared to CeO2, in addition to a smaller lattice size. In this work, two Fe-substituted Ce oxides are studied (Ce0.95Fe0.05O2-δ and Ce0.75Fe0.25O2-δ; δ < 0.5) by core and valence level spectroscopy in their as-prepared and Ar-ion-sputtered states. Ar ion sputtering substantially increases Ce4f lines at about 1.5 eV below the Fermi level. In addition, it is found that the XPS Ce5p/O2s ratio is sensitive to the degree of reduction, most likely due to a higher charge transfer from the oxygen to Ce ions upon reduction. Quantitatively, it is also found that XPS Ce3d of the fraction of Ce3+ (uo, u′ and vo, v′) formed upon Ar ion sputtering and the ratio of Ce5p/O2s lines are higher for reduced Ce0.95Fe0.05O2-δ than for reduced Ce0.75Fe0.25O2-δ. XPS Fe2p showed, however, no preferential increase for Fe3+ reduction to Fe0 with increasing time for both oxides. Since water splitting was higher on Ce0.95Fe0.05O2-δ when compared to Ce0.75Fe0.25O2-δ, it is inferred that the reaction centers for the thermal water splitting to hydrogen are the reduced Ce cations and not the reduced Fe cations. These reduced Ce cations can be tracked by their XPS Ce5p/O2s ratio in addition to the common XPS Ce3d lines. Full article
Show Figures

Figure 1

12 pages, 830 KB  
Article
Does Exercise Testing with Arm Crank Ergometer Substitute for Cycle Ergometer to Evaluate Exercise Capacity?
by Miwako Deguchi, Hisayo Yokoyama, Nobuko Hongu, Atsuya Toya, Takahiro Matsutake, Yuta Suzuki, Daiki Imai, Yuko Yamazaki, Masanori Emoto and Kazunobu Okazaki
Appl. Sci. 2023, 13(23), 12926; https://doi.org/10.3390/app132312926 - 3 Dec 2023
Viewed by 3954
Abstract
Using the upper limbs to test cardiopulmonary exercise can be a useful option in the case of individuals who are unable to pedal a bicycle due to lower limb injury or disability. We evaluated whether exercise testing with the upper limbs can be [...] Read more.
Using the upper limbs to test cardiopulmonary exercise can be a useful option in the case of individuals who are unable to pedal a bicycle due to lower limb injury or disability. We evaluated whether exercise testing with the upper limbs can be used equivalently to that of the lower limbs in assessing exercise capacity. Nine collegiate rowers and eight collegiate cyclists underwent incremental exercise testing with an arm crank ergometer (ACE) and cycle ergometer (CE). Heart rate (HR) and oxygen uptake (VO2) were monitored throughout the tests. Segmental muscle mass and flow-mediated dilation of brachial artery were measured to assess the training status of the upper limbs. The muscle mass of the brachium, upper limb, and trunk were greater in the rowers than in the cyclists (p < 0.05). The correlations between HR and VO2 was significantly different depending on exercise modalities, ACE and CE, in both groups (p < 0.001). The estimated maximal VO2 using the correlation formula and age-predicted maximal HR was significantly lower in the exercise testing group with ACE than in the group with CE in rowers and cyclists (41.7 ± 7.3 vs. 52.6 ± 8.6 mL/kg/min, p = 0.010 and 35.5 ± 14.2 vs. 50.4 ± 13.4 mL/kg/min, p = 0.011, respectively). The results suggested that exercise capacity assessed by exercise testing with ACE is underestimated, regardless of the training status of the upper limbs. Further research is needed to verify factors which affect the correlations between HR and VO2 during upper- and lower-limb exercise. Full article
(This article belongs to the Special Issue Advances in Assessment of Physical Performance)
Show Figures

Figure 1

12 pages, 3833 KB  
Article
Ce1−xSnxO2 Catalysts Prepared with Combustion Method for Catalytic Combustion of Ethyl Acetate
by Yue Jiang, Qing Wang, Jing Xu, Shaohong Zang, Liqiao Chen, Luhui Wang and Liuye Mo
Catalysts 2023, 13(11), 1400; https://doi.org/10.3390/catal13111400 - 27 Oct 2023
Cited by 2 | Viewed by 1837
Abstract
A series of Ce1−XSnXO2 (X = 0, 0.2, 0.3, 0.4, 0.5, 0.9, 1) catalysts were synthesized via the combustion method. The physical and chemical structures of the prepared catalysts were systematically characterized by XRD, BET, SEM, TEM, XPS, [...] Read more.
A series of Ce1−XSnXO2 (X = 0, 0.2, 0.3, 0.4, 0.5, 0.9, 1) catalysts were synthesized via the combustion method. The physical and chemical structures of the prepared catalysts were systematically characterized by XRD, BET, SEM, TEM, XPS, and TPR. The Ce1−XSnXO2 catalysts have higher catalytic activities than the mono-oxide catalysts, as there are synergistic effects between CeO2 and SnO2. The catalytic activities of the Ce1−XSnXO2 catalysts are dependent on the X for the catalytic combustion of ethyl acetate (EA). The Ce1−XSnXO2 (X < 0.5) catalysts show high catalytic performances. Meanwhile, the Ce0.8Sn0.2O2 and Ce0.7Sn0.3O2 catalysts display the highest catalytic performance, with T50 = 190 °C and T90 = 210 °C. More importantly, the Ce0.8Sn0.2O2 catalyst exhibits superior thermal and catalytic activity stability. It is found that the Ce1−XSnXO2 catalysts form solid solutions, as the X is <0.5. The reduction of Sn4+ species to Sn2+ is significantly promoted by the CeO2, which is an important factor attributed to the high catalytic activities of the solid solution Ce1−XSnXO2 catalysts. The catalytic activities of the Ce1−XSnXO2 catalysts exhibit a strong correlation to the surface atomic areas of Ce3+ and Oα (VO). In other words, the higher surface atomic areas of Ce3+ and Oα (VO) are, the higher the catalytic activities will have. Full article
(This article belongs to the Special Issue Advanced Catalytic Technology for Environmental Pollution Control)
Show Figures

Figure 1

12 pages, 725 KB  
Article
Isolate Whey Protein Promotes Fluid Balance and Endurance Capacity Better Than Isolate Casein and Carbohydrate-Electrolyte Solution in a Warm, Humid Environment
by Mahdi Gholizadeh, Abolfazl Shakibaee, Reza Bagheri, Donny M. Camera, Hossein Shirvani and Frederic Dutheil
Nutrients 2023, 15(20), 4374; https://doi.org/10.3390/nu15204374 - 16 Oct 2023
Viewed by 4219
Abstract
Protein ingestion is known to enhance post-exercise hydration. Whether the type of protein (i.e., whey, casein) can alter this response is unknown. Accordingly, this study aimed to compare the effects of the addition of milk-derived whey isolate or casein protein to carbohydrate-electrolyte (CE) [...] Read more.
Protein ingestion is known to enhance post-exercise hydration. Whether the type of protein (i.e., whey, casein) can alter this response is unknown. Accordingly, this study aimed to compare the effects of the addition of milk-derived whey isolate or casein protein to carbohydrate-electrolyte (CE) drinks on post-exercise rehydration and endurance capacity. Thirty male soldiers (age: 24 ± 2.1 y; VO2max: 49.3 ± 4.7 mL/kg/min) were recruited. Upon losing ~2.2% of body mass by running in warm and humid conditions (32.3 °C, 76% relative humidity [RH]), participants ingested either a CE solution (66 g/L carbohydrate [CHO]), or CE plus isolate whey protein (CEW, 44 g/L CHO, 22 g/L isolate whey), or CE plus isolate casein protein (CEC, 44 g/L CHO, 22 g/L isolate casein) beverage in a volume equal to 150% of body mass loss. At the end of the 3 h rehydration period, a positive fluid balance was higher with CEW (0.22 L) compared to CEC (0.19 L) and CE (0.12 L). Overall mean fluid retention was higher in CEW (80.35%) compared with the CE (76.67%) and CEC trials (78.65%). The time of the endurance capacity test [Cooper 2.4 km (1.5 miles) run test] was significantly higher in CEC (14.25 ± 1.58 min) and CE [(12.90 ± 1.01 min; (p = 0.035)] than in CEW [(11.40 ± 1.41 min); (p = 0.001)]. The findings of this study indicate that the inclusion of isolate whey protein in a CE solution yields superior outcomes in terms of rehydration and enhanced endurance capacity, as compared to consuming the CE solution alone or in conjunction with isolate casein protein. Full article
(This article belongs to the Section Proteins and Amino Acids)
Show Figures

Figure 1

11 pages, 4585 KB  
Article
Identification of the Pigments on the Mural Paintings from an Ancient Chinese Tomb of Tang Dynasty Using Micro-Raman and Scanning Electron Microscopy/Energy Dispersive X-ray Spectroscopy Analysis
by Zhaojun Liu, Wenzhong Xu, Yongjian Zhang, Yingying Wang and Jinwei Li
Minerals 2023, 13(9), 1224; https://doi.org/10.3390/min13091224 - 18 Sep 2023
Cited by 9 | Viewed by 4553
Abstract
The tomb of Hanxiu, a prime minister of the Tang dynasty who died in 740 CE, was decorated with elaborate mural paintings. The pigments used in the mural paintings were collected from representative colours before a restoration process and analyzed using micro-Raman and [...] Read more.
The tomb of Hanxiu, a prime minister of the Tang dynasty who died in 740 CE, was decorated with elaborate mural paintings. The pigments used in the mural paintings were collected from representative colours before a restoration process and analyzed using micro-Raman and scanning electron microscopy/energy dispersive X-ray spectroscopy (SEM-EDS) analysis to characterize the chemical compositions. The results reveal the chromatic palette and the painting technique used in the mural paintings. Most of the pigments are natural mineral pigments similar to those excavated in previous archaeological works, except the yellow pigment is unusual. A rare mineral pigment, vanadinite [Pb5(VO4)3Cl], was employed in a large amount as the yellow pigment. This phenomenon was analyzed and compared with tomb mural paintings from varied periods and locations in ancient China. Notably, the identification of vanadinite via Raman spectra has to be performed carefully and combined with an elemental analysis to avoid misidentification. Full article
(This article belongs to the Special Issue Colours in Minerals and Rocks, Volume II)
Show Figures

Graphical abstract

16 pages, 12888 KB  
Article
Enhanced Oxygen Storage Capacity of Porous CeO2 by Rare Earth Doping
by Yaohui Xu, Liangjuan Gao, Quanhui Hou, Pingkeng Wu, Yunxuan Zhou and Zhao Ding
Molecules 2023, 28(16), 6005; https://doi.org/10.3390/molecules28166005 - 10 Aug 2023
Cited by 28 | Viewed by 4460
Abstract
CeO2 is an important rare earth (RE) oxide and has served as a typical oxygen storage material in practical applications. In the present study, the oxygen storage capacity (OSC) of CeO2 was enhanced by doping with other rare earth ions (RE, [...] Read more.
CeO2 is an important rare earth (RE) oxide and has served as a typical oxygen storage material in practical applications. In the present study, the oxygen storage capacity (OSC) of CeO2 was enhanced by doping with other rare earth ions (RE, RE = Yb, Y, Sm and La). A series of Undoped and RE–doped CeO2 with different doping levels were synthesized using a solvothermal method following a subsequent calcination process, in which just Ce(NO3)3∙6H2O, RE(NO3)3∙nH2O, ethylene glycol and water were used as raw materials. Surprisingly, the Undoped CeO2 was proved to be a porous material with a multilayered special morphology without any additional templates in this work. The lattice parameters of CeO2 were refined by the least–squares method with highly pure NaCl as the internal standard for peak position calibrations, and the solubility limits of RE ions into CeO2 were determined; the amounts of reducible–reoxidizable Cen+ ions were estimated by fitting the Ce 3d core–levels XPS spectra; the non–stoichiometric oxygen vacancy (VO) defects of CeO2 were analyzed qualitatively and quantitatively by O 1s XPS fitting and Raman scattering; and the OSC was quantified by the amount of H2 consumption per gram of CeO2 based on hydrogen temperature programmed reduction (H2–TPR) measurements. The maximum [OSC] of CeO2 appeared at 5 mol.% Yb–, 4 mol.% Y–, 4 mol.% Sm– and 7 mol.% La–doping with the values of 0.444, 0.387, 0.352 and 0.380 mmol H2/g by an increase of 93.04, 68.26, 53.04 and 65.22%. Moreover, the dominant factor for promoting the OSC of RE–doped CeO2 was analyzed. Full article
(This article belongs to the Special Issue Synthesis and Applications of Semiconductor Nanomaterials)
Show Figures

Figure 1

11 pages, 6387 KB  
Communication
Novel Mesoporous and Multilayered Yb/N-Co-Doped CeO2 with Enhanced Oxygen Storage Capacity
by Yaohui Xu, Liangjuan Gao, Pingkeng Wu and Zhao Ding
Materials 2023, 16(15), 5478; https://doi.org/10.3390/ma16155478 - 4 Aug 2023
Cited by 2 | Viewed by 1646
Abstract
A cubic fluorite-type CeO2 with mesoporous multilayered morphology was synthesized by the solvothermal method followed by calcination in air, and its oxygen storage capacity (OSC) was quantified by the amount of O2 consumption per gram of CeO2 based on hydrogen [...] Read more.
A cubic fluorite-type CeO2 with mesoporous multilayered morphology was synthesized by the solvothermal method followed by calcination in air, and its oxygen storage capacity (OSC) was quantified by the amount of O2 consumption per gram of CeO2 based on hydrogen temperature programmed reduction (H2–TPR) measurements. Doping CeO2 with ytterbium (Yb) and nitrogen (N) ions proved to be an effective route to improving its OSC in this work. The OSC of undoped CeO2 was 0.115 mmol O2/g and reached as high as 0.222 mmol O2/g upon the addition of 5 mol.% Yb(NO3)3∙5H2O, further enhanced to 0.274 mmol O2/g with the introduction of 20 mol.% triethanolamine. Both the introductions of Yb cations and N anions into the CeO2 lattice were conducive to the formation of more non-stoichiometric oxygen vacancy (VO) defects and reducible–reoxidizable Cen+ ions. To determine the structure performance relationships, the partial least squares method was employed to construct two linear functions for the doping level vs. lattice parameter and [VO] vs. OSC/SBET. Full article
Show Figures

Figure 1

11 pages, 284 KB  
Article
Whole Body Substrate Metabolism during Different Exercise Intensities with Special Emphasis on Blood Protein Changes in Trained Subjects—A Pilot Study
by Wondyefraw Mekonen, Günther Schwaberger, Manfred Lamprecht and Peter Hofmann
J. Funct. Morphol. Kinesiol. 2023, 8(3), 102; https://doi.org/10.3390/jfmk8030102 - 24 Jul 2023
Cited by 5 | Viewed by 3180
Abstract
Contrary to carbohydrate and fat metabolism, the influence of a single exercise dose on protein metabolism has not been adequately explored yet. We assessed the effects of different exercise intensities and durations on blood protein changes and their association with carbohydrate (CHO) and [...] Read more.
Contrary to carbohydrate and fat metabolism, the influence of a single exercise dose on protein metabolism has not been adequately explored yet. We assessed the effects of different exercise intensities and durations on blood protein changes and their association with carbohydrate (CHO) and fat metabolism in six eligible trained subjects. Subjects performed maximal incremental (IE100: at 100%VO2max) and submaximal continuous exercise (CE) at 75%VO2max for 30 min (CE75) and at 50%VO2max for 90 min (CE50). Blood samples were collected at rest (R), end of exercise (EE), and 1 h after recovery to assess blood urea nitrogen (BUN), plasma amino acids (AA), glucose, lactate, FFA, and glycerol. In IE100 blood lactate, CHO-oxidation (g/min), energy expenditure (kcal/min), and RER were significantly increased during rest (p < 0.05). CE50 induced significantly higher BUN, FFA, glycerol, and fat oxidation (g/min) (p < 0.05). At recovery, the mean sum of the free AA pool (µmol/L) reduced by 8% (p < 0.03) during CE50. Values for CE75 were between IE100 and CE50. Beside lipolysis, also proteolysis (BUN) was an important source of fuel for low-to-moderate intensity CE50. An increased uptake of AA from the plasma bed during CE50 suggests the importance for oxidation and synthesis of other metabolic sources such as gluconeogenesis necessary for recovery. Therefore, one needs to be cautious of protein diet following prolonged cycle exercise training. Full article
(This article belongs to the Special Issue Exercise Evaluation and Prescription—4th Edition)
15 pages, 7017 KB  
Article
A Self-Growing 3D Porous Sn Protective Layer Enhanced Zn Anode
by Dezhi Kong, Qingwei Zhang, Lin Li, Huimin Zhao, Ruixin Liu, Ziyang Guo and Lei Wang
Batteries 2023, 9(5), 262; https://doi.org/10.3390/batteries9050262 - 6 May 2023
Cited by 5 | Viewed by 3232
Abstract
Aqueous zinc-ion batteries (ZIBs) have received much attention because of their high safety, low pollution, and satisfactory energy density (840 mAh g−1), which is important for the research of new energy storage devices. However, problems such as short cell cycle life [...] Read more.
Aqueous zinc-ion batteries (ZIBs) have received much attention because of their high safety, low pollution, and satisfactory energy density (840 mAh g−1), which is important for the research of new energy storage devices. However, problems such as short cell cycle life and low coulombic efficiency (CE) of zinc (Zn) anodes due to disorderly growth of Zn dendrites and side reactions of hydrogen corrosion have delayed the practical application of ZIBs. In this work, a new “self-growth” method is proposed to build a robust and homogeneous three-dimensional (3D) nanoporous structure of tin (Sn)-coated Zn anodes (ZSN) in just 10 min by a simple and fast reaction, which can largely raise the surface area of the electrode plate. The ZSN not only provides abundant Zn nucleation sites, but also reduces the corrosion current, thus alleviating the self-corrosion of the electrolyte, reducing the occurrence of hydrogen precipitation side reactions, and effectively inhibiting the growth of Zn dendrites during cycling. Thus, a symmetric cell with a ZSN anode can be stabilized with very low voltage hysteresis (30 mV) for 480 h of stable plating/stripping cycles and can operate well for 200 h even at high current densities of 10 mA cm−2. Supercapacitors and button cells were assembled, respectively, to verify the performance of ZSN electrodes in different energy storage tools. The ZSN||AC supercapacitor exhibited superior capacity (75 mAh g−1) and high reversibility (98% coulombic efficiency) at a current density of 2 A g−1. With a MnVO (MVO) electrode as the cathode, the ZSN||MVO full cell presents excellent cycling stability with a capacity retention of 95.4% after 500 cycles at 2 A g−1, which far exceeds that of the bare Zn cell. Full article
(This article belongs to the Special Issue Zn-Ion and Zn–Air Batteries: Materials, Mechanisms and Applications)
Show Figures

Figure 1

Back to TopTop