Fabrication of Z-Scheme CeVO4/BiVO4 Heterojunction and Its Enhanced Photocatalytic Degradation of NFX
Abstract
1. Introduction
2. Experiment
2.1. Catalyst Preparation
2.2. Characterization of Catalyst
2.3. Photocatalytic Performance Test
2.4. Photocatalytic Performance Test
3. Results and Discussion
3.1. XRD
3.2. SEM and BET
3.3. XPS
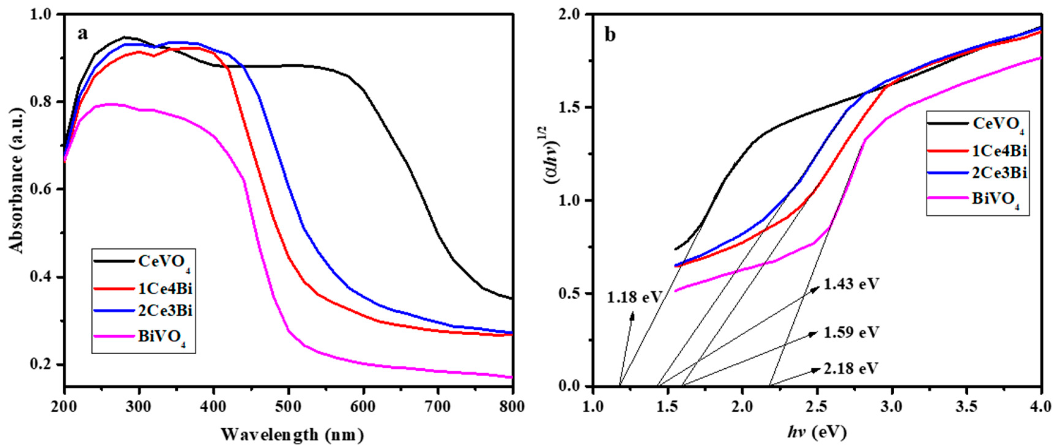
3.4. DRS
3.5. Electrochemical Performance Analysis
3.6. PL
3.7. Photocatalytic Results
3.8. Free Radical Capture Experiment
3.9. Analysis of Photocatalytic Mechanism
4. Conclusions
Supplementary Materials
Author Contributions
Funding
Data Availability Statement
Conflicts of Interest
References
- Wang, X.J.; Hu, S.S.; Mao, H.T.; Wei, X.Y.; Naraginti, S. Facile fabrication of AgVO3/rGO/BiVO4 hetero junction for efficient degradation and detoxification of norfloxacin. Environ. Res. 2023, 227, 115623. [Google Scholar] [CrossRef] [PubMed]
- Cao, D.; Wang, Y.B.; Qiao, M.; Zhao, X. Enhanced photoelectrocatalytic degradation of norfloxacin by an Ag3PO4/BiVO4 electrode with low bias. J. Catal. 2018, 360, 240–249. [Google Scholar] [CrossRef]
- Zhang, L.Y.; Meng, Y.; Dai, T.T.; Yao, Y.Y.; Shen, H.; Xie, B.; Ni, Z.M.; Xia, S.J. Fabrication of a coated BiVO4@LDHs Z-scheme heterojunction and photocatalytic degradation of norfloxacin. Appl. Clay Sci. 2022, 219, 106435. [Google Scholar] [CrossRef]
- Lee, E.; Jagan, G.; Choi, J.U.; Cha, B.; Yoon, Y.; Saravanakumar, K.; Park, C.M. Peroxymonosulfate-activated photocatalytic degradation of norfloxacin via a dual Z-scheme g-C3N5/BiVO4/CoFe-LDH heterojunction: Operation and mechanistic insights. Chem. Eng. J. 2024, 494, 152961. [Google Scholar] [CrossRef]
- Selvakumar, K.; Oh, T.H.; Wang, Y.; Sadhasivam, T.; Sadhasivam, S.; Swaminathan, M. Fabrication of single tungsten/copper/cobalt atom oxide anchored BiVO4-rGO for boosting photodegradation of norfloxacin and rhodamine B. J. Clean. Prod. 2023, 423, 138693. [Google Scholar] [CrossRef]
- Han, T.Y.; Shi, H.F.; Chen, Y.G. Facet-dependent CuO/{010}BiVO4 S-scheme photocatalyst enhanced peroxymonosulfate activation for efficient norfloxacin removal. J. Mater. Sci. Technol. 2024, 174, 30–43. [Google Scholar] [CrossRef]
- Zen, L.; Wang, C.H.; Hu, J. Ultrasonic degradation of tetracycline combining peroxymonosulfate and BiVO4 microspheres. J. Water Process Eng. 2023, 56, 104428. [Google Scholar]
- Yang, H.Y.; Lu, D.X.; Liu, Z.X.; Xu, Y.H.; Niu, Y.S.; Liu, C.Z. pH-responsive nanozyme cascade catalysis: A strategy of BiVO4 application for modulation of pathological wound microenvironment. J. Colloid Interface Sci. 2024, 674, 29–38. [Google Scholar] [CrossRef] [PubMed]
- Wu, Z.S.; Xue, Y.T.; He, X.F.; Li, Y.F.; Yang, X.; Wu, Z.L.; Gravotto, G. Surfactants-assisted preparation of BiVO4 with novel morphologies via microwave method and CdS decoration for enhanced photocatalytic properties. J. Hazard. Mater. 2020, 387, 122019. [Google Scholar] [CrossRef]
- Yuan, L.J.; Wang, Z.H.; Gu, F.B. Efficient degradation of tetracycline hydrochloride by direct Z-scheme HKUST-1@m-BiVO4 catalysts with self-produced H2O2 under both dark and light. J. Environ. Chem. Eng. 2022, 10, 107964. [Google Scholar] [CrossRef]
- Li, Y.Y.; Zhang, Z.P.; Zhang, T.R.; Jiang, X.Y.; Niu, X.Y.; Zhu, Y.J. Engineering the surface properties of CeVO4 catalysts to improve low temperature De-NOx performance through regulating pH value in synthesis process. Fuel 2024, 362, 130836. [Google Scholar] [CrossRef]
- Wang, M.; Hu, X.; Zhan, Z.; Sun, T.M.; Tang, Y.F. Facile fabrication of CeVO4 hierarchical hollow microspheres with enhanced photocatalytic activity. Mater. Lett. 2019, 253, 259–262. [Google Scholar] [CrossRef]
- Xu, D.; Sun, F.; Xu, Q.; Shao, H.; Liu, F.; Wang, X.X.; Ma, Q.L.; Yu, W.S.; Dong, X.T.; Yu, H. A visible-light-driven dual Z-scheme CeVO4/g-C3N4/LaNiO3 hierarchical nanostructure photocatalyst for effective removal of organic pollutants. Mater. Today Commun. 2024, 39, 108721. [Google Scholar] [CrossRef]
- Lu, G.; Song, B.; Li, Z.; Liang, H.Y.; Zou, X.J. Photocatalytic degradation of naphthalene on CeVO4 Nanoparticles under Visible Light. Chem. Eng. J. 2020, 402, 125645. [Google Scholar] [CrossRef]
- Jalil, M.; Rafiq, K.; Abid, M.Z.; Rafay, M.; Rauf, A.; Jin, R.C.; Hussain, E. Insight into the development and proceedings of Au@Al–CeVO4 catalysts for water splitting: An advanced outlook for hydrogen generation with sunlight. Catal. Sci. Technol. 2024, 14, 850–862. [Google Scholar] [CrossRef]
- Tavker, N.; Gaur, U.; Sharma, M. Cellulose supported bismuth vanadate nanocomposite for Effective Removal of Organic Pollutant. J. Environ. Chem. Eng. 2020, 8, 104027. [Google Scholar] [CrossRef]
- Lv, N.; Li, Y.Y.; Huang, Z.L.; Li, T.; Ye, S.Y.; Dionysiou, D.D.; Song, X.L. Synthesis of GO/TiO2/BiVO4 nanocomposites with enhanced visible light photocatalytic degradation of ethylene. Appl. Catal. B Environ. 2019, 246, 303–311. [Google Scholar] [CrossRef]
- Mishra, S.; Priyadarshinee, M.; Debnath, A.K.; Muthe, K.P.; Mallick, B.C.; Das, N.; Parhi, P. Rapid Microwave Assisted Hydrothermal Synthesis Cerium Vanadate Nanoparticle and Its Photocatalytic and Antibacterial Studies. J. Phys. Chem. Solids 2020, 137, 109211. [Google Scholar] [CrossRef]
- Liu, J.; Zhang, B.; Xiang, Y.; Ma, G. Facet-selective construction of Cu2O/Pt/BiVO4 heterojunction arrays for photocatalytic H2 production from water. New J. Chem. 2021, 45, 517–521. [Google Scholar] [CrossRef]
- Yue, X.; Cheng, L.; Fan, J.; Xiang, Q. 2D/2D BiVO4/CsPbBr3 S-scheme heterojunction for photocatalytic CO2 reduction: Insights into structure regulation and Fermi level modulation. Appl. Catal. B Environ. 2022, 304, 120979. [Google Scholar] [CrossRef]
- Lei, G.; Zhao, W.; Shen, L.; Liang, S.; Au, C.; Jiang, L. Isolated iron sites embedded in graphitic carbon nitride (g-C3N4) for efficient oxidative desulfurization. Appl. Catal. B Environ. 2020, 267, 118663. [Google Scholar] [CrossRef]
- Jayachitra, S.; Mahendiran, D.; Ravi, P.; Murugan, P.; Sathish, M. Highly conductive NiSe2 nanoparticle as a co-catalyst over TiO2 for enhanced photocatalytic hydrogen production. Appl. Catal. B Environ. 2022, 307, 121159. [Google Scholar] [CrossRef]
- Rohloff, M.; Anke, B.; Wiedemann, D.; Ulpe, A.C.; Fischer, A. Synthesis and Doping Strategies to Improve the Photoelectrochemical Water Oxidation Activity of BiVO4 Photoanodes. Z. Phys. Chem. 2020, 234, 655–682. [Google Scholar] [CrossRef]
- Gu, X.; Luo, Y.; Li, Q.; Wang, Y.; Qiu, Y. First-principle insight into the effects of oxygen vacancies on the electronic photocatalytic and optical properties of monoclinic BiVO4 (001). Front. Chem. 2020, 8, 601983. [Google Scholar] [CrossRef] [PubMed]
- Duan, H.; Wu, H.; Zhong, H.; Wang, X.; Li, D.; Cai, G.; Jiang, C.; Ren, F. Improving PEC performance of BiVO4 by introducing bulk oxygen vacancies by He+ ion irradiation. J. Phys. Chem. C 2022, 126, 7688–7695. [Google Scholar] [CrossRef]
- Xu, H.; Yang, J.; Li, Y.; Fu, F.; Da, K.; Cao, S.; Chen, W.; Fan, X. Fabrication of Bi2O3 QDs decorated TiO2/BiOBr dual Z-scheme photocatalysts for efficient degradation of gaseous toluene under visible-light. J. Alloys Compd. 2023, 950, 169959. [Google Scholar] [CrossRef]
- Yuan, Z.; Zhu, J.; Dong, C.; Wang, L.; Lu, J.; Li, Y.; Ding, J. RSM optimization and kinetics study of α-Fe2O3/g-C3N4@H photocatalyst with S-type heterojunction for esterifying crude castor oil to reduce acidity and synthesize biodiesel. Energ. Convers. Manag. 2024, 309, 118449. [Google Scholar] [CrossRef]
- He, Y.; Chen, X.; Wu, Z.; Xue, Q.; Tian, F. In situ fabrication of N-doped Ti3C2Tx-MXene-modified BiOBr Schottky heterojunction with high photoelectron separation efficiency for enhanced photocatalytic ammonia synthesis. J. Alloys Compd. 2023, 969, 172470. [Google Scholar] [CrossRef]








Disclaimer/Publisher’s Note: The statements, opinions and data contained in all publications are solely those of the individual author(s) and contributor(s) and not of MDPI and/or the editor(s). MDPI and/or the editor(s) disclaim responsibility for any injury to people or property resulting from any ideas, methods, instructions or products referred to in the content. |
© 2024 by the authors. Licensee MDPI, Basel, Switzerland. This article is an open access article distributed under the terms and conditions of the Creative Commons Attribution (CC BY) license (https://creativecommons.org/licenses/by/4.0/).
Share and Cite
Liu, Z.; Lu, G.; Yang, R.; Li, Z.; Wang, F. Fabrication of Z-Scheme CeVO4/BiVO4 Heterojunction and Its Enhanced Photocatalytic Degradation of NFX. Processes 2024, 12, 1614. https://doi.org/10.3390/pr12081614
Liu Z, Lu G, Yang R, Li Z, Wang F. Fabrication of Z-Scheme CeVO4/BiVO4 Heterojunction and Its Enhanced Photocatalytic Degradation of NFX. Processes. 2024; 12(8):1614. https://doi.org/10.3390/pr12081614
Chicago/Turabian StyleLiu, Zenan, Guang Lu, Rongpeng Yang, Zheng Li, and Fei Wang. 2024. "Fabrication of Z-Scheme CeVO4/BiVO4 Heterojunction and Its Enhanced Photocatalytic Degradation of NFX" Processes 12, no. 8: 1614. https://doi.org/10.3390/pr12081614
APA StyleLiu, Z., Lu, G., Yang, R., Li, Z., & Wang, F. (2024). Fabrication of Z-Scheme CeVO4/BiVO4 Heterojunction and Its Enhanced Photocatalytic Degradation of NFX. Processes, 12(8), 1614. https://doi.org/10.3390/pr12081614
