Sign in to use this feature.

Years

Between: -

Subjects

remove_circle_outline
remove_circle_outline
remove_circle_outline
remove_circle_outline
remove_circle_outline
remove_circle_outline
remove_circle_outline
remove_circle_outline
remove_circle_outline

Journals

Article Types

Countries / Regions

Search Results (26)

Search Parameters:
Keywords = Capacitively Coupled Contactless Conductivity Detection

Order results
Result details
Results per page
Select all
Export citation of selected articles as:
15 pages, 6417 KB  
Article
A Mobile Analytical Chemistry Workstation with a C4D Sensor for Rapid Detection of Organophosphates Under Field Conditions
by Yineng Wang, Xi Cao, Walter Messina, Anna Maria Hogan, Justina Ugwah and Eric Moore
Sensors 2025, 25(11), 3517; https://doi.org/10.3390/s25113517 - 3 Jun 2025
Viewed by 881
Abstract
Timely detection of organophosphates in outdoor environments remains a critical challenge for forensic and environmental monitoring. Traditional methods often require transporting samples to centralised laboratories, delaying essential response actions. In this study, we present a novel mobile analytical chemistry workstation that integrates capillary [...] Read more.
Timely detection of organophosphates in outdoor environments remains a critical challenge for forensic and environmental monitoring. Traditional methods often require transporting samples to centralised laboratories, delaying essential response actions. In this study, we present a novel mobile analytical chemistry workstation that integrates capillary electrophoresis (CE) with capacitively coupled contactless conductivity detection (C4D) on low-cost polydimethylsiloxane (PDMS) microfluidic chips, enabling rapid and accurate on-site analysis of organophosphates. The system features a streamlined workflow that includes in-field sample collection, microfluidic analysis, and the wireless transmission of data to a central command centre for immediate decision-making. The detection system demonstrates a linear range of 2.5 mM to 20 mM for dimethyl methylphosphonate (DMMP), with an estimated limit of detection (LOD) of 2.5 mM. We evaluate the feasibility of combining CE and C4D under field conditions, highlighting both the strengths and limitations of this integrated platform. Full article
Show Figures

Figure 1

15 pages, 2619 KB  
Article
A Highly Portable Smartphone-Based Capillary Electrophoresis with Capacitively Coupled Contactless Conductivity Detection
by Zhimin Tao, Qiang Zhang, Yiren Cao, Xunjie Duan, Yuyang Wu, Liuyin Fan, Chengxi Cao and Weiwen Liu
Sensors 2025, 25(7), 2303; https://doi.org/10.3390/s25072303 - 4 Apr 2025
Cited by 1 | Viewed by 847
Abstract
Work has rarely been reported on a highly portable smartphone-based capillary electrophoresis (CE) with capacitively coupled contactless conductivity detection (C4D). Herein, a highly portable phone-based CE (130 mm × 190 × 70 mm, 1.4 kg) with C4D and Bluetooth [...] Read more.
Work has rarely been reported on a highly portable smartphone-based capillary electrophoresis (CE) with capacitively coupled contactless conductivity detection (C4D). Herein, a highly portable phone-based CE (130 mm × 190 × 70 mm, 1.4 kg) with C4D and Bluetooth communication, as well as user-interface software, was developed for portable analysis. To demonstrate the device, six metal ions were selected as model analytes for verification and successfully applied to the detection of ions in tap water. The analytical performance highlighted that the runs and data analysis of the CE-C4D device could be controlled via the user interface based on smartphones. Furthermore, the experiments showed that (i) the linear ranges of six metal ions were between 6 and 1500 μmol/L with a correlation coefficient of more than 0.9934; (ii) the limit of detection (LOD) values were within 1.84–4.33 μmol/L; (iii) the intra-day deviations of migration time and peak area were 2.40–5.24% and 0.75–2.82% (n = 5), respectively. Although the LOD is not the most optimal among current portable devices, the results still indicated the satisfactory analytical performance and potential of the developed device, software, and method for portable separation and quantitation of analytes from various fields. Full article
(This article belongs to the Special Issue Sensors from Miniaturization of Analytical Instruments (2nd Edition))
Show Figures

Figure 1

18 pages, 1707 KB  
Article
Resonance-Induced Capacitively Coupled Contactless Conductivity Detection (ReC4D) Unit for Nucleic Acid Amplification Testing
by Roberto G. Ramírez-Chavarría, Jorge A. Uc-Martín, Bryan E. Alvarez-Serna and Ramón F. Padilla-Morán
Technologies 2025, 13(4), 138; https://doi.org/10.3390/technologies13040138 - 2 Apr 2025
Viewed by 1135
Abstract
Nucleic acid amplification (NAA) is a technique that increases the number of copies of a gene, making it possible to detect microorganisms. This technique is often used in clinical tests, biochemical analysis, and environmental assays, to mention only a few. However, developing portable, [...] Read more.
Nucleic acid amplification (NAA) is a technique that increases the number of copies of a gene, making it possible to detect microorganisms. This technique is often used in clinical tests, biochemical analysis, and environmental assays, to mention only a few. However, developing portable, robust, and low-cost measurement platforms to evaluate NAA products remains a technological challenge. Therefore, in this work, we introduce an attractive unit for detecting and quantifying nucleic acids based on the capacitively coupled contactless conductivity detection (C4D) principle. The proposed unit, ReC4D, combines electrical resonance with C4D to enhance sensitivity when evaluating an NAA reaction. The ReC4D units advantages are twofold: (i) the transducer is electrically isolated to allow its reuse, and (ii) the induced electrical resonance in the ReC4D unit minimizes the stray capacitances of the conventional C4D assays, which enhances sensitivity, increases the linear operating range, and improves the limit of detection (LoD). Furthermore, we evaluated the proposed device for quantifying different concentrations of SARS-CoV-2 genetic material and compared it with measurements from a conventional C4D unit. Thus, we demonstrate that the ReC4D unit can measure concentrations of NAA products with an LoD of 0.24 copyμL and a sensitivity of 5.618 kHzlog(copyμL). These results position the ReC4D unit close to the state-of-the-art NAA testing platforms, with the added value of a low cost, robustness, reusability, and affordability. Full article
(This article belongs to the Special Issue New Technologies for Sensors)
Show Figures

Graphical abstract

18 pages, 4660 KB  
Article
Early Technology Readiness Level (TRL) Development of the Microfluidic Inorganic Conductivity Detector for Europa and the Solenoid-Based Actuator Assembly for Impact Penetrators
by Chinmayee Govinda Raj, Mohamed Odeh, Cambrie Salyards and Amanda Stockton
Sensors 2024, 24(23), 7704; https://doi.org/10.3390/s24237704 - 2 Dec 2024
Viewed by 1318
Abstract
This study introduces an innovative in situ lander/impact-penetrator design tailored for Discovery-class missions to Europa, specifically focused on conducting astrobiological analyses. The platform integrates a microfluidic capacitively coupled contactless conductivity detector (C4D), optimized for the detection of low-concentration salts potentially indicative of biological [...] Read more.
This study introduces an innovative in situ lander/impact-penetrator design tailored for Discovery-class missions to Europa, specifically focused on conducting astrobiological analyses. The platform integrates a microfluidic capacitively coupled contactless conductivity detector (C4D), optimized for the detection of low-concentration salts potentially indicative of biological activity. Our microfluidic system allows for automated sample routing and precise conductivity-based detection, making it suitable for the harsh environmental and logistical demands of Europa’s icy surface. This technology provides a robust toolset for exploring extraterrestrial habitability by enabling in situ chemical analyses with minimal operational intervention, paving the way for advanced astrobiological investigations on Europa. Full article
Show Figures

Figure 1

11 pages, 4563 KB  
Article
A Spectroscopy Solution for Contactless Conductivity Detection in Capillary Electrophoresis
by Tomas Drevinskas, Audrius Maruška, Hirotaka Ihara, Makoto Takafuji, Linas Jonušauskas, Domantas Armonavičius, Mantas Stankevičius, Kristina Bimbiraitė-Survilienė, Elzbieta Skrzydlewska, Ona Ragažinskienė, Yutaka Kuwahara, Shoji Nagaoka, Vilma Kaškonienė and Loreta Kubilienė
Micromachines 2024, 15(12), 1430; https://doi.org/10.3390/mi15121430 - 28 Nov 2024
Viewed by 1667
Abstract
This paper introduces a novel contactless single-chip detector that utilizes impedance-to-digital conversion technology to measure impedance in the microfluidic channel or capillary format analytical device. The detector is designed to operate similarly to capacitively coupled contactless conductivity detectors for capillary electrophoresis or chromatography [...] Read more.
This paper introduces a novel contactless single-chip detector that utilizes impedance-to-digital conversion technology to measure impedance in the microfluidic channel or capillary format analytical device. The detector is designed to operate similarly to capacitively coupled contactless conductivity detectors for capillary electrophoresis or chromatography but with the added capability of performing frequency sweeps up to 200 kHz. At each recorded data point, impedance and phase-shift data can be extracted, which can be used to generate impedance versus frequency plots, or phase-shift versus frequency plots. Real and imaginary parts can also be calculated from the data, allowing for the generation of Nyquist diagrams. This detector represents the first of its kind in the contactless conductivity class to provide spectrum-type data, as demonstrated in capillary electrophoresis experiments. Full article
(This article belongs to the Special Issue Flows in Micro- and Nano-Systems)
Show Figures

Figure 1

21 pages, 2548 KB  
Article
Green Microfluidic Method for Sustainable and High-Speed Analysis of Basic Amino Acids in Nutritional Supplements
by Iva Pukleš, Csilla Páger, Nikola Sakač, Bojan Šarkanj, Dean Marković, Marija Kraševac Sakač and Marija Jozanović
Molecules 2024, 29(23), 5554; https://doi.org/10.3390/molecules29235554 - 25 Nov 2024
Cited by 2 | Viewed by 1400
Abstract
Amino acids (AAs) have broad nutritional, therapeutic, and medical significance and thus are one of the most common active ingredients of nutritional supplements. Analytical strategies for determining AAs are high-priced and often limited to methods that require modification of AA polarity or incorporation [...] Read more.
Amino acids (AAs) have broad nutritional, therapeutic, and medical significance and thus are one of the most common active ingredients of nutritional supplements. Analytical strategies for determining AAs are high-priced and often limited to methods that require modification of AA polarity or incorporation of an aromatic moiety. The aim of this work was to develop a new method for the determination of L-arginine, L-ornithine, and L-lysine on low-cost microchip electrophoresis instrumentation conjugated with capacitively coupled contactless conductivity detection. A solution consisting of 0.3 M acetic acid and 1 × 10−5 M iminodiacetic acid has been identified as the optimal background electrolyte, ensuring the shortest possible analysis time. The short migration times of amino acids (t ≤ 64 s) and method simplicity resulted in high analysis throughput with high precision and linearity (R2 0.9971). The limit of detection values ranged from 0.15 to 0.19 × 10−6 M. The accuracy of the proposed method was confirmed by recovery measurements. The results were compared with CE-UV-VIS and HPLC-DAD methods and showed good agreement. This work represents the first successful demonstration of the ME-C4D analysis of L-arginine, L-ornithine, and L-lysine in real samples. Full article
Show Figures

Figure 1

18 pages, 2127 KB  
Article
Electrophoretic Determination of L-Carnosine in Health Supplements Using an Integrated Lab-on-a-Chip Platform with Contactless Conductivity Detection
by Iva Pukleš, Csilla Páger, Nikola Sakač, Bojan Šarkanj, Brunislav Matasović, Mirela Samardžić, Mateja Budetić, Dean Marković and Marija Jozanović
Int. J. Mol. Sci. 2023, 24(19), 14705; https://doi.org/10.3390/ijms241914705 - 28 Sep 2023
Cited by 5 | Viewed by 2256
Abstract
The health supplement industry is one of the fastest growing industries in the world, but there is a lack of suitable analytical methods for the determination of active compounds in health supplements such as peptides. The present work describes an implementation of contactless [...] Read more.
The health supplement industry is one of the fastest growing industries in the world, but there is a lack of suitable analytical methods for the determination of active compounds in health supplements such as peptides. The present work describes an implementation of contactless conductivity detection on microchip technology as a new strategy for the electrophoretic determination of L-carnosine in complex health supplement formulations without pre-concentration and derivatization steps. The best results were obtained in the case of +1.00 kV applied for 20 s for injection and +2.75 kV applied for 260 s for the separation step. Under the selected conditions, a linear detector response of 5 × 10−6 to 5 × 10−5 M was achieved. L-carnosine retention time was 61 s. The excellent reproducibility of both migration time and detector response confirmed the high precision of the method. The applicability of the method was demonstrated by the determination of L-carnosine in three different samples of health supplements. The recoveries ranged from 91 to 105%. Subsequent analysis of the samples by CE-UV-VIS and HPLC-DAD confirmed the accuracy of the obtained results. Full article
Show Figures

Figure 1

13 pages, 3194 KB  
Article
Partition Management of Soil Nutrients Based on Capacitive Coupled Contactless Conductivity Detection
by Yuanyuan Wei, Rujing Wang, Junqing Zhang, Hongyan Guo and Xiangyu Chen
Agriculture 2023, 13(2), 313; https://doi.org/10.3390/agriculture13020313 - 28 Jan 2023
Cited by 10 | Viewed by 2396
Abstract
A method based on capacitively coupled contactless conductivity detection (C4D), which has been proven effective for the rapid detection of available soil potassium content, was firstly proposed to apply to soil nutrient detection. By combining a detection signal spectrum analysis, geographic information system [...] Read more.
A method based on capacitively coupled contactless conductivity detection (C4D), which has been proven effective for the rapid detection of available soil potassium content, was firstly proposed to apply to soil nutrient detection. By combining a detection signal spectrum analysis, geographic information system (GIS) data, and a cluster analysis, a soil nutrient management system to match the detection device was developed. This system included six modules: soil sample information management, electrophoresis analysis, quantitative calculation, nutrient result viewing, cluster analysis, and nutrient distribution map generation. The soil samples, which were collected from an experimental field in Xuchang City of Henan Province, were analyzed using the C4D and flame photometer methods. The results showed that the detection results for the soil samples obtained via the two methods were in good agreement. C4D technology was feasible for the detection of the soil available nutrients and had the advantages of a high timeliness, low sample volume, and low pollution. The soil nutrient management system adopted the hierarchical clustering method to classify the grid cells of the experimental field according to the nutrient detection results. A soil nutrient distribution map displayed the spatial difference in nutrients. This paper provides a systematic solution for soil nutrient zone management that includes nutrient detection, signal analysis, data management for the nutrient zone, and field nutrient distribution map generation to support decision making in variable fertilization. Full article
(This article belongs to the Section Artificial Intelligence and Digital Agriculture)
Show Figures

Figure 1

15 pages, 5701 KB  
Article
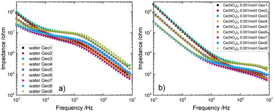
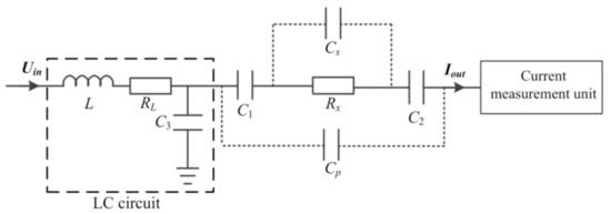
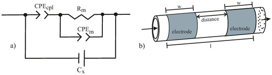
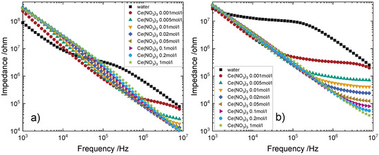
Development of a Contactless Conductivity Sensor in Flowing Micro Systems for Cerium Nitrate
by Martin Zürn and Thomas Hanemann
Processes 2022, 10(10), 2075; https://doi.org/10.3390/pr10102075 - 14 Oct 2022
Cited by 3 | Viewed by 1676
Abstract
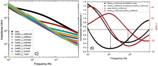
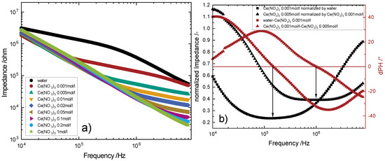
Impedance spectroscopy has a high potential to detect chemical reactions in flowing systems. In this work, the approach using impedance spectroscopy as a possible analytical tool for a continuous hydrothermal syntheses (CHTS) is presented. With the CHTS-process, it is possible to produce metalloxide [...] Read more.
Impedance spectroscopy has a high potential to detect chemical reactions in flowing systems. In this work, the approach using impedance spectroscopy as a possible analytical tool for a continuous hydrothermal syntheses (CHTS) is presented. With the CHTS-process, it is possible to produce metalloxide nanoparticles with a close particle size distribution and specific surface properties. For this, it is necessary to evaluate the electrode geometry, frequency and other factors influencing the impedance with respect to concentration measurements. In case of frequency-sweep measurements possible electrode geometries for C4D-Sensors (capacitively coupled contactless conductivity detection) are evaluated. Then distinguishability and reproducibility are tested applying titration measurements to show the ability for concentration detection in constant flow systems. The possibility to measure concentration changes in flowing systems in a reproducible and fast manner as well as with high distinguishability for the test solution cerium nitrate will be presented. Furthermore, the major influencing-factors like electrode geometry, frequency etc. could be determined. It has been shown that with increasing electrode spacing and electrode width, the distinguishability of the concentrations increases and shifts them to lower frequencies. Full article
(This article belongs to the Section Process Control and Monitoring)
Show Figures

Figure 1

12 pages, 2683 KB  
Article
A Study on Double Inputs Direct Contact and Single Output Capacitively Coupled Conductivity Detector
by Shuangfei Zhang, Hongyan Yuan and Dan Xiao
Sensors 2022, 22(7), 2729; https://doi.org/10.3390/s22072729 - 2 Apr 2022
Cited by 4 | Viewed by 2605
Abstract
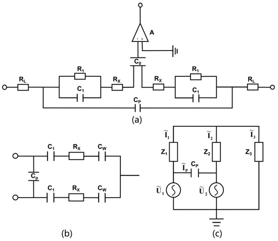
In this paper, an improved double inputs direct contact and single output capacitively coupled conductivity detector (DISODCD) based on traditional contactless capacitively coupled conductivity detector (C4D) is developed. The sensor uses double inputs of the contact electrode and capacitively coupled output [...] Read more.
In this paper, an improved double inputs direct contact and single output capacitively coupled conductivity detector (DISODCD) based on traditional contactless capacitively coupled conductivity detector (C4D) is developed. The sensor uses double inputs of the contact electrode and capacitively coupled output of the contactless electrode and a lock-in amplifier to reduce interfering noise signals and amplify gain. Parallel circuit counteracts the part of the adverse capacitance reactance introduced by electrode polarization and reduces the effect of the impedance caused by the coupled wall capacitance to measure the resistance of solution. The sensor reduces limit of detection (LOD) of analyte and improves the sensitivity of the device. The LOD of the potassium chloride solution is 1 nM, and the detection range is 0.01 μM to 10 mM in actual testing for a single sample. The ratio of the response of potassium chloride solution to background ultrapure water at low concentrations is better than that of double input capacitively coupled contactless conductivity detector (DIC4D) and direct contact conductivity detection (DCD) under the same condition. In the case that the test cell is contaminated with impurities, pollution of impurities has little effect on the response of DISODCD. In practical application, it has a good service life. Full article
(This article belongs to the Section Chemical Sensors)
Show Figures

Figure 1

12 pages, 3080 KB  
Article
A Novel Planar Grounded Capacitively Coupled Contactless Conductivity Detector for Microchip Electrophoresis
by Jianjiao Wang, Yaping Liu, Wenhe He, Yuanfen Chen and Hui You
Micromachines 2022, 13(3), 394; https://doi.org/10.3390/mi13030394 - 28 Feb 2022
Cited by 18 | Viewed by 4914
Abstract
In the microchip electrophoresis with capacitively coupled contactless conductivity detection, the stray capacitance of the detector causes high background noise, which seriously affects the sensitivity and stability of the detection system. To reduce the effect, a novel design of planar grounded capacitively coupled [...] Read more.
In the microchip electrophoresis with capacitively coupled contactless conductivity detection, the stray capacitance of the detector causes high background noise, which seriously affects the sensitivity and stability of the detection system. To reduce the effect, a novel design of planar grounded capacitively coupled contactless conductivity detector (PG-C4D) based on printed circuit board (PCB) is proposed. The entire circuit plane except the sensing electrodes is covered by the ground electrode, greatly reducing the stray capacitance. The efficacy of the design has been verified by the electrical field simulation and the electrophoresis detection experiments of inorganic ions. The baseline intensity of the PG-C4D was less than 1/6 of that of the traditional C4D. The PG-C4D with the new design also demonstrated a good repeatability of migration time, peak area, and peak height (n = 5, relative standard deviation, RSD ≤ 0.3%, 3%, and 4%, respectively), and good linear coefficients within the range of 0.05–0.75 mM (R2 ≥ 0.986). The detection sensitivity of K+, Na+, and Li+ reached 0.05, 0.1, and 0.1 mM respectively. Those results prove that the new design is an effective and economical approach which can improve sensitivity and repeatability of a PCB based PG-C4D, which indicate a great application potential in agricultural and environmental monitoring. Full article
(This article belongs to the Special Issue Lab-on-PCB Devices)
Show Figures

Figure 1

13 pages, 3937 KB  
Article
Development of On-Site Rapid Detection Device for Soil Macronutrients Based on Capillary Electrophoresis and Capacitively Coupled Contactless Conductivity Detection (C4D) Method
by Junqing Zhang, Rujing Wang, Zhou Jin, Hongyan Guo, Yi Liu, Yongjia Chang, Jiangning Chen, Mengya Li and Xiangyu Chen
Chemosensors 2022, 10(2), 84; https://doi.org/10.3390/chemosensors10020084 - 15 Feb 2022
Cited by 13 | Viewed by 4490
Abstract
The acquisition of nutrient data on a precise scale has played a vital role in nutrient management processes for soils. However, the lack of rapid precise and multi-index detection techniques for soil macronutrient contents hinders both rational fertilization and cost reduction. In this [...] Read more.
The acquisition of nutrient data on a precise scale has played a vital role in nutrient management processes for soils. However, the lack of rapid precise and multi-index detection techniques for soil macronutrient contents hinders both rational fertilization and cost reduction. In this paper, a rapid detection method and device were devised, combining capillary electrophoresis (CE) and capacitively coupled contactless conductivity detection (C4D), and presented to detect macronutrient contents of soil. The device consisted of a capillary channel, C4D detector, high-voltage system, etc. It separated macronutrient ions using capillary electrophoresis and then measured the ion concentration based on the C4D principle. Lime concretion black soil samples from a complete field were collected and detected. NO3, NH4+, H2PO4 and K+ in sample solutions could be detected in 5 min with relative standard deviations (RSDs) from 1.0 to 7.51%. The injection voltage was set to 10 kV for 5 s, and the separation voltage was set to 14 kV. This demonstrated the excellent performance of the C4D device on the detection of soil macronutrients, which could help to guide fertilization operations more effectively. Full article
Show Figures

Graphical abstract

11 pages, 19837 KB  
Article
A Low Excitation Working Frequency Capacitively Coupled Contactless Conductivity Detection (C4D) Sensor for Microfluidic Devices
by Yuchen He, Qiang Huang, Yu He, Haifeng Ji, Tao Zhang, Baoliang Wang and Zhiyao Huang
Sensors 2021, 21(19), 6381; https://doi.org/10.3390/s21196381 - 24 Sep 2021
Cited by 10 | Viewed by 2922
Abstract
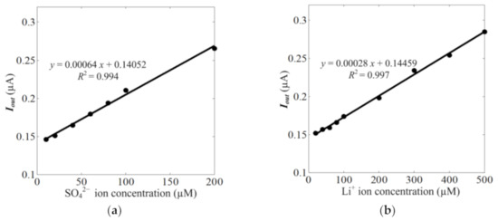
In this work, a new capacitively coupled contactless conductivity detection (C4D) sensor for microfluidic devices is developed. By introducing an LC circuit, the working frequency of the new C4D sensor can be lowered by the adjustments of the inductor [...] Read more.
In this work, a new capacitively coupled contactless conductivity detection (C4D) sensor for microfluidic devices is developed. By introducing an LC circuit, the working frequency of the new C4D sensor can be lowered by the adjustments of the inductor and the capacitance of the LC circuit. The limits of detection (LODs) of the new C4D sensor for conductivity/ion concentration measurement can be improved. Conductivity measurement experiments with KCl solutions were carried out in microfluidic devices (500 µm × 50 µm). The experimental results indicate that the developed C4D sensor can realize the conductivity measurement with low working frequency (less than 50 kHz). The LOD of the C4D sensor for conductivity measurement is estimated to be 2.2 µS/cm. Furthermore, to show the effectiveness of the new C4D sensor for the concentration measurement of other ions (solutions), SO42− and Li+ ion concentration measurement experiments were also carried out at a working frequency of 29.70 kHz. The experimental results show that at low concentrations, the input-output characteristics of the C4D sensor for SO42− and Li+ ion concentration measurement show good linearity with the LODs estimated to be 8.2 µM and 19.0 µM, respectively. Full article
(This article belongs to the Section Electronic Sensors)
Show Figures

Figure 1

11 pages, 1282 KB  
Article
Development of CE-C4D Method for Determination Tropane Alkaloids
by Małgorzata Gołąb, Martyna Przybyłowska, Petr Kubáň, Petra Itterheimová and Michał Woźniakiewicz
Molecules 2021, 26(19), 5749; https://doi.org/10.3390/molecules26195749 - 22 Sep 2021
Cited by 9 | Viewed by 3188
Abstract
A fast method for the determination of tropane alkaloids, using a portable CE instrument with a capacitively coupled contactless conductivity detector (CE-C4D) was developed and validated for determination of atropine and scopolamine in seeds from Solanaceae family plants. Separation was obtained [...] Read more.
A fast method for the determination of tropane alkaloids, using a portable CE instrument with a capacitively coupled contactless conductivity detector (CE-C4D) was developed and validated for determination of atropine and scopolamine in seeds from Solanaceae family plants. Separation was obtained within 5 min, using an optimized background electrolyte consisting of 0.5 M acetic acid with 0.25% (w/v) β-CD. The limit of detection and quantification was 0.5 µg/mL and 1.5 µg/mL, respectively, for both atropine and scopolamine. The developed method was validated with the following parameters—precision (CV): 1.07–2.08%, accuracy of the assay (recovery, RE): 101.0–102.7% and matrix effect (ME): 92.99–94.23%. Moreover, the optimized CE-C4D method was applied to the analysis of plant extracts and pharmaceuticals, proving its applicability and accuracy. Full article
(This article belongs to the Special Issue Modern Flow Analysis II)
Show Figures

Figure 1

16 pages, 10585 KB  
Communication
Investigation of the Effects of Electrode Geometry on the Performance of C4D Sensor with Radial Configuration
by Qiang Huang, Junchao Huang, Yandan Jiang, Haifeng Ji, Baoliang Wang and Zhiyao Huang
Sensors 2021, 21(13), 4454; https://doi.org/10.3390/s21134454 - 29 Jun 2021
Cited by 5 | Viewed by 2802
Abstract
Electrodes are basic components of C4D (capacitively coupled contactless conductivity detection) sensors, and different electrode structures (the configuration pattern or the electrode geometry) can lead to different measurement results. In this work, the effects of electrode geometry of radial configuration on [...] Read more.
Electrodes are basic components of C4D (capacitively coupled contactless conductivity detection) sensors, and different electrode structures (the configuration pattern or the electrode geometry) can lead to different measurement results. In this work, the effects of electrode geometry of radial configuration on the measurement performance of C4D sensors are investigated. Two geometrical parameters, the electrode length and the electrode angle, are considered. A FEM (finite element method) model based on the C4D method is developed. With the FEM model, corresponding simulation results of conductivity measurement with different electrode geometry are obtained. Meanwhile, practical experiments of conductivity measurement are also conducted. According to the simulation results and experimental results, the optimal electrode geometry of the C4D sensor with radial configuration is discussed and proposed. The recommended electrode length is 5–10 times of the pipe inner diameter and the recommended electrode angle is 120–160°. Full article
(This article belongs to the Section Electronic Sensors)
Show Figures

Figure 1

Back to TopTop