Sign in to use this feature.

Years

Between: -

Subjects

remove_circle_outline
remove_circle_outline
remove_circle_outline
remove_circle_outline
remove_circle_outline
remove_circle_outline
remove_circle_outline
remove_circle_outline
remove_circle_outline

Journals

remove_circle_outline
remove_circle_outline
remove_circle_outline
remove_circle_outline
remove_circle_outline
remove_circle_outline
remove_circle_outline
remove_circle_outline
remove_circle_outline
remove_circle_outline
remove_circle_outline
remove_circle_outline
remove_circle_outline
remove_circle_outline
remove_circle_outline
remove_circle_outline
remove_circle_outline
remove_circle_outline
remove_circle_outline
remove_circle_outline
remove_circle_outline
remove_circle_outline
remove_circle_outline
remove_circle_outline
remove_circle_outline
remove_circle_outline
remove_circle_outline
remove_circle_outline
remove_circle_outline

Article Types

Countries / Regions

remove_circle_outline
remove_circle_outline
remove_circle_outline
remove_circle_outline
remove_circle_outline
remove_circle_outline
remove_circle_outline
remove_circle_outline
remove_circle_outline

Search Results (2,314)

Search Parameters:
Keywords = COVID-19 epidemic

Order results
Result details
Results per page
Select all
Export citation of selected articles as:
18 pages, 604 KB  
Article
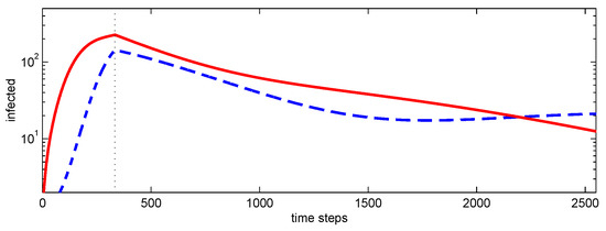
Making Chaos Out of COVID-19 Testing
by Bo Deng, Jorge Duarte, Cristina Januário and Chayu Yang
Mathematics 2026, 14(2), 306; https://doi.org/10.3390/math14020306 - 15 Jan 2026
Viewed by 53
Abstract
Mathematical models for infectious diseases, particularly autonomous ODE models, are generally known to possess simple dynamics, often converging to stable disease-free or endemic equilibria. This paper investigates the dynamic consequences of a crucial, yet often overlooked, component of pandemic response: the saturation of [...] Read more.
Mathematical models for infectious diseases, particularly autonomous ODE models, are generally known to possess simple dynamics, often converging to stable disease-free or endemic equilibria. This paper investigates the dynamic consequences of a crucial, yet often overlooked, component of pandemic response: the saturation of public health testing. We extend the standard SIR model to include compartments for ‘Confirmed’ (C) and ‘Monitored’ (M) individuals, resulting in a new SICMR model. By fitting the model to U.S. COVID-19 pandemic data (specifically the Omicron wave of late 2021), we demonstrate that capacity constraints in testing destabilize the testing-free endemic equilibrium (E1). This equilibrium becomes an unstable saddle-focus. The instability is driven by a sociological feedback loop, where the rise in confirmed cases drive testing effort, modeled by a nonlinear Holling Type II functional response. We explicitly verify that the eigenvalues for the best-fit model satisfy the Shilnikov condition (λu>λs), demonstrating the system possesses the necessary ingredients for complex, chaotic-like dynamics. Furthermore, we employ Stochastic Differential Equations (SDEs) to show that intrinsic noise interacts with this instability to generate ’noise-induced bursting,’ replicating the complex wave-like patterns observed in empirical data. Our results suggest that public health interventions, such as testing, are not merely passive controls but active dynamical variables that can fundamentally alter the qualitative stability of an epidemic. Full article
Show Figures

Figure 1

13 pages, 436 KB  
Article
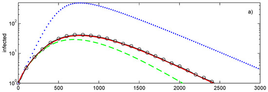
Remarks on a Scaling Theory of Spread of COVID-19 with an Application to the Case of Bulgaria
by Svetlan Kartalov and Nikolay K. Vitanov
Entropy 2026, 28(1), 82; https://doi.org/10.3390/e28010082 - 10 Jan 2026
Viewed by 686
Abstract
We present several remarks on the spread of the COVID-19 epidemics in Bulgaria. The remarks are based on the hypothesis that the spread of the infection exhibits scaling properties similar to the scaling in urban dynamics. The corresponding mathematical theory leads us to [...] Read more.
We present several remarks on the spread of the COVID-19 epidemics in Bulgaria. The remarks are based on the hypothesis that the spread of the infection exhibits scaling properties similar to the scaling in urban dynamics. The corresponding mathematical theory leads us to a relationship for a power-law dependence of the number of infected in a certain region on the corresponding homochrony number. We prove the correctness of the mathematical theory on the basis of data for several Bulgarian regions for the first large COVID-19 wave in 2020. We observe a collapse of the real data along a single straight line. Full article
(This article belongs to the Section Multidisciplinary Applications)
Show Figures

Figure 1

16 pages, 834 KB  
Article
A Game-Theoretic Analysis of COVID-19 Dynamics with Self-Isolation and Vaccination Behavior
by Folashade B. Agusto, Igor V. Erovenko and Gleb Gribovskii
Algorithms 2026, 19(1), 58; https://doi.org/10.3390/a19010058 - 9 Jan 2026
Viewed by 169
Abstract
Standard epidemiological models often treat human behavior as static, failing to capture the dynamic feedback loops that shape epidemic waves. To address this, we developed a compartmental model of COVID-19 that couples the disease dynamics with two co-evolving behavioral games governed by imitation [...] Read more.
Standard epidemiological models often treat human behavior as static, failing to capture the dynamic feedback loops that shape epidemic waves. To address this, we developed a compartmental model of COVID-19 that couples the disease dynamics with two co-evolving behavioral games governed by imitation dynamics: an altruistic self-isolation game for infected individuals and a self-interested vaccination game for susceptible individuals. Our simulations reveal a fundamental behavioral paradox: strong adherence to self-isolation, while effective at reducing peak infections, diminishes the perceived risk of disease, thereby undermining the incentive to vaccinate. This dynamic highlights a critical trade-off between managing acute crises through non-pharmaceutical interventions and achieving long-term population immunity. We conclude that vaccination has a powerful stabilizing effect that can prevent the recurrent waves often driven by behavioral responses to non-pharmaceutical interventions. Public health policy must therefore navigate the tension between encouraging short-term mitigation behaviors and communicating the long-term benefits of vaccination to ensure lasting population resilience. Full article
Show Figures

Figure 1

13 pages, 1447 KB  
Article
Longitudinal Wastewater-Based Epidemiology Reveals the Spatiotemporal Dynamics and Genotype Diversity of Diarrheal Viruses in Urban Guangdong, China
by Shuling Li, Jiadian Cao, Yuxi Yan, Wenwen Deng, Yuwei He, Siling Xiang, Chuting Zeng, Heshi Long, Shuxian Li, Qiao Yao, Biao Zeng, Baisheng Li, Song Tang and Jing Lu
Viruses 2026, 18(1), 83; https://doi.org/10.3390/v18010083 - 8 Jan 2026
Viewed by 251
Abstract
Following the normalization of the COVID-19 pandemic, the focus of wastewater-based epidemiology (WBE) must be broadened from SARS-CoV-2 to encompass surveillance of other major infectious diseases, particularly for pathogens where conventional clinical monitoring systems exhibit inherent surveillance gaps. In this study, we conducted [...] Read more.
Following the normalization of the COVID-19 pandemic, the focus of wastewater-based epidemiology (WBE) must be broadened from SARS-CoV-2 to encompass surveillance of other major infectious diseases, particularly for pathogens where conventional clinical monitoring systems exhibit inherent surveillance gaps. In this study, we conducted a continuous two-year WBE study (January 2023 to December 2024) across three high-population-density cities in Guangdong, China to establish epidemiological baselines for enteric diarrheal viruses. We analyzed monthly raw wastewater samples from major treatment plants using advanced molecular methods, including digital PCR (ddPCR) for viral load quantification and targeted high-throughput sequencing (tNGS) for genotypic analysis. Our findings revealed diverse circulation patterns among the monitored enteric viruses. Astrovirus (AstV) had the highest detection rate (100%), reflecting its broad endemic distribution, while Norovirus genogroup II (NoV GII) exhibited relatively high viral loads (median 4 × 104 copies/mL) and presented explosive seasonal peaks (significant upward trend in spring.), highlighting its epidemic potential. Furthermore, distinct spatiotemporal patterns were observed, with Sapovirus showing a significant summer peak in Foshan city, contrasting with the winter/spring peaks in the other cities. The tNGS results demonstrated similar sensitivity to RT-PCR in virus detection, and sequencing analyses uncovered the co-circulation and periodic shifts in dominant viral genotypes, such as the emergence of multiple NoV and AstV lineages. This longitudinal WBE surveillance successfully established critical baseline data and demonstrated significant regional heterogeneity in viral circulation, providing essential, complementary data to inform public health strategies for preventing diarrheal outbreaks in urban settings. Full article
Show Figures

Graphical abstract

30 pages, 813 KB  
Article
Fractional Bi-Susceptible Approach to COVID-19 Dynamics with Sensitivity and Optimal Control Analysis
by Azhar Iqbal Kashif Butt, Waheed Ahmad, Muhammad Rafiq, Ameer Hamza Mukhtar, Fatemah H. H. Al Mukahal and Abeer S. Al Elaiw
Fractal Fract. 2026, 10(1), 35; https://doi.org/10.3390/fractalfract10010035 - 6 Jan 2026
Viewed by 138
Abstract
This study introduces a nonlinear fractional bi-susceptible model for COVID-19 using the Atangana–Baleanu derivative in Caputo sense (ABC). The fractional framework captures nonlocal effects and temporal decay, offering a realistic presentation of persistent infection cycles and delayed recovery. Within this setting, we investigate [...] Read more.
This study introduces a nonlinear fractional bi-susceptible model for COVID-19 using the Atangana–Baleanu derivative in Caputo sense (ABC). The fractional framework captures nonlocal effects and temporal decay, offering a realistic presentation of persistent infection cycles and delayed recovery. Within this setting, we investigate multiple transmission modes, determine the major risk factors, and analyze the long-term dynamics of the disease. Analytical results are obtained at equilibrium states, and fundamental properties of the model are validated. Numerical simulations based on the Toufik–Atangana method further endorse the theoretical results and emphasize the effectiveness of the ABC derivative. Bifurcation analysis illustrates that adjusting time-invariant treatment and awareness efforts can accelerate pandemic control. Sensitivity analysis identifies the most significant parameters, which are used to construct an optimal control problem to determine effective disease control strategies. The numerical results reveal that the proposed control interventions minimize both infection levels and associated costs. Overall, this research work demonstrates the modeling strength of the ABC derivative by integrating fractional calculus, bifurcation theory, and optimal control for efficient epidemic management. Full article
Show Figures

Figure 1

25 pages, 3274 KB  
Article
Understanding the Impact of Flight Restrictions on Epidemic Dynamics: A Meta-Agent-Based Approach Using the Global Airlines Network
by Alexandru Topîrceanu
Mathematics 2026, 14(2), 219; https://doi.org/10.3390/math14020219 - 6 Jan 2026
Viewed by 141
Abstract
In light of the current advances in computational epidemics and the need for improved epidemic governance strategies, we propose a novel meta-agent-based model (meta-ABM) constructed using the global airline complex network, using data from openflights.org, to establish a configurable framework for monitoring epidemic [...] Read more.
In light of the current advances in computational epidemics and the need for improved epidemic governance strategies, we propose a novel meta-agent-based model (meta-ABM) constructed using the global airline complex network, using data from openflights.org, to establish a configurable framework for monitoring epidemic dynamics. By integrating our validated SICARQD complex epidemic model with global flights and airport information, we simulate the progression of an airborne epidemic, specifically reproducing the resurgence of COVID-19. In terms of originality, our meta-ABM considers each airport node (i.e., city) as an individual agent-based model assigned to its own independent SICARQD epidemic model. Agents within each airport node engage in probabilistic travel along established flight routes, mirroring real-world mobility patterns. This paper focuses primarily on investigating the effect of mobility restrictions by measuring the total number of cases, the peak infected ratio, and mortality caused by an epidemic outbreak. We analyze the impact of four key restriction policies imposed on the airline network, as follows: no restrictions, reducing flight frequencies, limiting flight distances, and a hybrid policy. Through simulations on scaled population systems of up to 1.36 million agents, our findings indicate that reducing the number of flights leads to a faster and earlier decrease in total infection cases, while restricting maximum flight distances results in a slower and much later decrease, effective only after canceling over 80% of flights. Notably, for practical travel restriction policies (e.g., 25–75% of flights canceled), epidemic control is significantly more effective when limiting flight frequency. This study shows the critical role of reducing global flight frequency as a public health policy to control epidemic spreading in our highly interconnected world. Full article
Show Figures

Figure 1

23 pages, 2095 KB  
Article
From Agent-Based Markov Dynamics to Hierarchical Closures on Networks: Emergent Complexity and Epidemic Applications
by A. Y. Klimenko, A. Rozycki and Y. Lu
Entropy 2026, 28(1), 63; https://doi.org/10.3390/e28010063 - 5 Jan 2026
Viewed by 256
Abstract
We explore a rigorous formulation of agent-based SIR epidemic dynamics as a discrete-state Markov process, capturing the stochastic propagation of infection or an invading agent on networks. Using indicator functions and corresponding marginal probabilities, we derive a hierarchy of evolution equations that resembles [...] Read more.
We explore a rigorous formulation of agent-based SIR epidemic dynamics as a discrete-state Markov process, capturing the stochastic propagation of infection or an invading agent on networks. Using indicator functions and corresponding marginal probabilities, we derive a hierarchy of evolution equations that resembles the classical BBGKY hierarchy in statistical mechanics. The structure of these equations clarifies the challenges of closure and highlights the principal problem of systemic complexity arising from stochastic but generally not fully chaotic interactions. Monte Carlo simulations are used to validate simplified closures and approximations, offering a unified perspective on the interplay between network topology, stochasticity, and infection dynamics. We also explore the impact of lockdown measures within a networked agent framework, illustrating how SIR dynamics and structural complexity of the network shape epidemic with propagation of the COVID-19 pandemic in Northern Italy taken as an example. Full article
Show Figures

Figure 1

34 pages, 6341 KB  
Review
Alpha- and Beta-Coronaviruses in Humans and Animals: Taxonomy, Reservoirs, Hosts, and Interspecies Transmission
by Bekbolat Usserbayev, Kuandyk Zhugunissov, Izat Smekenov, Nurlan Akmyrzayev, Akbope Abdykalyk, Khayrulla Abeuov, Balnur Zhumadil, Aibarys Melisbek, Meirzhan Shirinbekov, Samat Zhaksylyk, Zhanerke Nagymzhanova, Ainur Seidakhmetova, Chiara Beltramo, Simone Peletto, Aslan Kerimbaev, Sergazy Nurabaev, Olga Chervyakova and Nurlan Kozhabergenov
Microorganisms 2026, 14(1), 43; https://doi.org/10.3390/microorganisms14010043 - 24 Dec 2025
Viewed by 695
Abstract
The Coronaviridae family represents a broad group of RNA-containing viruses that infect humans and animals. This family belongs to the order Nidovirales and is divided into four main genera: α-CoV, β-CoV, γ-CoV and δ-CoV. It is particularly noteworthy that representatives of β-CoV have [...] Read more.
The Coronaviridae family represents a broad group of RNA-containing viruses that infect humans and animals. This family belongs to the order Nidovirales and is divided into four main genera: α-CoV, β-CoV, γ-CoV and δ-CoV. It is particularly noteworthy that representatives of β-CoV have caused serious epidemics in humans, such as the outbreaks of SARS-CoV, MERS-CoV, and COVID-19 caused by SARS-CoV-2. Although the clinical manifestations of CoVs can range from mild cold-like symptoms to severe respiratory diseases, they share common features in their structure, modes of transmission, and natural reservoirs. Identifying natural reservoirs, as well as establishing intermediate hosts, is crucial for understanding the mechanisms of interspecies transmission of CoVs. These processes are often mediated by molecular interactions between viral spike (S) proteins and cellular receptors of different species, which contribute to zoonotic outbreaks. Thus, the interaction of various species and the study of these processes of viral spread, cross-species transmission, and pathogen evolution play a key role in ensuring global biological safety. Therefore, we conducted this review to summarize the data from existing studies focused on the taxonomy of CoVs, their main types, natural reservoirs, intermediate hosts, pathways of interspecies transmission, and the significance of the One Health concept as an interdisciplinary approach to monitoring, prevention and control of CoV infections at the intersection of human, animal, and environmental health. We examined databases such as PubMed, Science Direct, Web of Science, and Google Scholar to identify relevant scientific articles in English available for such a review. The aim of this work is to study the taxonomy and classification of coronaviruses, as well as to identify their natural reservoirs, intermediate hosts, and applicable control measures. A review of human and animal coronaviruses has revealed their evolutionary diversity, their main natural reservoirs, their intermediate hosts, and their interactions with cellular receptors. This information allows for a better understanding of the mechanisms by which the viruses are transmitted from animals to humans. The concept of One Health demonstrated the interconnections between human, animal and environmental factors. Full article
Show Figures

Figure 1

7 pages, 295 KB  
Opinion
COVID-19 Double Annual Epidemic Peaks in Summer and in Winter from 2022, Irrespective of the Rate of Mask Wearing and Vaccination
by Shinako Inaida, Richard E. Paul and Minsoo Kim
Viruses 2025, 17(12), 1612; https://doi.org/10.3390/v17121612 - 13 Dec 2025
Viewed by 679
Abstract
Although vaccination for COVID-19 and mask wearing were two of the main preventive measures against infection, their impact is unclear. In the present study, by using national surveillance data in Japan, we compared the incidence rate and weekly case increase ratios of COVID-19 [...] Read more.
Although vaccination for COVID-19 and mask wearing were two of the main preventive measures against infection, their impact is unclear. In the present study, by using national surveillance data in Japan, we compared the incidence rate and weekly case increase ratios of COVID-19 with the domestic stocks of masks and vaccination coverage. The trajectory of epidemic growth increased rapidly in the summer of 2021, concomitant with the launch of the mass national vaccination program. The most rapid spread of the epidemic was found in 2022, approximately 6 months after the national mass vaccination started, with the emergence of the Omicron variant. From 2022, two annual epidemic peaks occurred with seasonal changes. Whilst the winter peak follows the expected seasonal trend in respiratory infections, the summer peak may reflect a combination of short-term herd immunity and behavioral patterns. Nevertheless, these epidemic peaks continued irrespective of vaccine coverage and mask use. Further analysis into the duration of protective efficacy of the vaccines and mask use is required. Full article
(This article belongs to the Special Issue SARS-CoV-2, COVID-19 Pathologies, Long COVID, and Anti-COVID Vaccines)
Show Figures

Figure 1

13 pages, 642 KB  
Article
Memory-Dependent Derivative Versus Fractional Derivative (III): Difference in Modeling Epidemics
by Jin-Liang Wang and Hui-Feng Li
Fractal Fract. 2025, 9(12), 814; https://doi.org/10.3390/fractalfract9120814 - 12 Dec 2025
Viewed by 267
Abstract
The outbreaks of large-scale epidemics, such as COVID-19 in 2019–2022, challenge modelers. Beside the effect of the incubation period of the virus, the delay property of detection should be also stressed. This kind of memory effect affects the entire change rate, which cannot [...] Read more.
The outbreaks of large-scale epidemics, such as COVID-19 in 2019–2022, challenge modelers. Beside the effect of the incubation period of the virus, the delay property of detection should be also stressed. This kind of memory effect affects the entire change rate, which cannot be reflected by the conventional instantaneous derivative. The fractional derivative (FD) meets this request to some extent. Yet the shortcoming of it limits its usage. Through a strict modeling approach, a new susceptible–infective–removed (SIR) model with the memory-dependent derivative (MDD) has been constructed. The numerical simulations indicate that (1) the neglecting of the incubation period may underestimate the number of susceptible individuals and overestimate the infected ones; (2) the neglecting of the treatment period may badly overestimate the removed individuals; (3) the consequence of tardy detection intervention may be very serious, and the infectious rate may increase rapidly with a postponed peak time; and (4) the SIR model with the FD yields bad estimations, not only in the primary stage but also in the subsequent evolution. Due to the reasonability of the new SIR model with the MDD, it is suggested to epidemic researchers. Full article
Show Figures

Figure 1

34 pages, 7587 KB  
Article
A Symmetric Analysis of COVID-19 Transmission Using a Fuzzy Fractional SEIRi–UiHR Model
by Ragavan Murugasan, Veeramani Chinnadurai, Carlos Martin-Barreiro and Prasantha Bharathi Dhandapani
Symmetry 2025, 17(12), 2128; https://doi.org/10.3390/sym17122128 - 10 Dec 2025
Viewed by 288
Abstract
In this research article, we propose a fuzzy fractional-order SEIRiUiHR model to describe the transmission dynamics of COVID-19, comprising susceptible, exposed, infected, reported, unreported, hospitalized, and recovered compartments. The uncertainty in initial conditions is represented using fuzzy numbers, [...] Read more.
In this research article, we propose a fuzzy fractional-order SEIRiUiHR model to describe the transmission dynamics of COVID-19, comprising susceptible, exposed, infected, reported, unreported, hospitalized, and recovered compartments. The uncertainty in initial conditions is represented using fuzzy numbers, and the fuzzy Laplace transform combined with the Adomian decomposition method is employed to solve nonlinear differential equations and also to derive approximate analytical series of solutions. In addition to fuzzy lower and upper bound solutions, a model is introduced to provide a representative trajectory under uncertainty. A key feature of the proposed model is its inherent symmetry in compartmental transitions and structural formulation, which show the difference in reported and unreported cases. Numerical experiments are conducted to compare fuzzy and normal (non-fuzzy) solutions, supported by 3D visualizations. The results reveal the influence of fractional-order and fuzzy parameters on epidemic progression, demonstrating the model’s capability to capture realistic variability and to provide a flexible framework for analyzing infectious disease dynamics. Full article
(This article belongs to the Section Mathematics)
Show Figures

Figure 1

27 pages, 10004 KB  
Article
Nowcast-It: A Practical Toolbox for Real-Time Adjustment of Reporting Delays in Epidemic Surveillance
by Amna Tariq, Ping Yan, Amanda Bleichrodt and Gerardo Chowell
Viruses 2025, 17(12), 1598; https://doi.org/10.3390/v17121598 - 10 Dec 2025
Viewed by 466
Abstract
One difficulty that arises in tracking and forecasting real-time epidemics is reporting delays, which are defined as the inherent delay between the time of symptom onset and the time a case is reported. Reporting delays can be caused by delays in case detection, [...] Read more.
One difficulty that arises in tracking and forecasting real-time epidemics is reporting delays, which are defined as the inherent delay between the time of symptom onset and the time a case is reported. Reporting delays can be caused by delays in case detection, symptom onset after infection, seeking medical care, or diagnostics, and they distort the accurate forecasting of diseases during epidemics and pandemics. To address this, we introduce a practical nowcasting approach grounded in survival analysis and actuarial science, explicitly allowing for non-stationarity in reporting delay patterns to better capture real-world variability. Despite its relevance, no flexible and accessible toolbox currently exists for non-stationary delay adjustment. Here, we present Nowcast-It, a tutorial-based toolbox that includes two components: (1) an R code base for delay adjustment and (2) a user-friendly R-Shiny application to enable interactive visualization and reporting delay correction without prior coding expertise. The toolbox supports daily, weekly, or monthly resolution data and enables model performance assessment using metrics such as mean absolute error, mean squared error, and 95% prediction interval coverage. We demonstrate the utility of Nowcast-It toolbox using publicly available weekly Ebola case data from the Democratic Republic of Congo. We and others have adjusted for reporting delays in real-time analyses (e.g., Singapore) and produced early COVID-19 forecasts; here, we package those delay adjustment routines into an accessible toolbox. It is designed for researchers, students, and policymakers alike, offering a scalable and accessible solution for addressing reporting delays during outbreaks. Full article
Show Figures

Figure 1

26 pages, 5122 KB  
Article
Passenger Air Transport in Poland and Selected European Countries in the Face of COVID-19: A Post-Pandemic Comparative Analysis
by Sebastian Sobczuk and Anna Borucka
Sustainability 2025, 17(24), 11026; https://doi.org/10.3390/su172411026 - 9 Dec 2025
Viewed by 384
Abstract
Poland, as an important transit hub in Europe, has experienced a dynamic increase in the significance of air transport in recent years. However, the outbreak of the COVID-19 pandemic in 2020 led to a severe collapse of passenger aviation worldwide. The aim of [...] Read more.
Poland, as an important transit hub in Europe, has experienced a dynamic increase in the significance of air transport in recent years. However, the outbreak of the COVID-19 pandemic in 2020 led to a severe collapse of passenger aviation worldwide. The aim of this study was to assess the condition of the passenger air transport market in Poland against the background of selected European countries in connection with the disruptions caused by the pandemic. The Holt–Winters models, based on pre-pandemic data, made it possible to forecast passenger transport volumes in the absence of the crisis and compare them with actual values to estimate losses and the extent of recovery. In the first three months after the outbreak, passenger losses ranged from 7.8 million in Sweden to 13.5 million in Portugal, while Poland recorded 10.9 million; after one year, cumulative losses in Poland reached 44.5 million. In addition, the pace of restoration of selected markets was evaluated. In 2022, Poland reached levels of up to 145% of its reference value, indicating one of the strongest restoration dynamics among the analyzed countries. The results show that all markets experienced sharp declines followed by a comparable rate of growth. The findings confirm Poland’s strengthening position in the European air transport system and highlight the need to build resilience to potential future crises. Full article
Show Figures

Figure 1

18 pages, 2373 KB  
Article
Changing Epidemiology of Influenza Infections Among Children in the Post-Pandemic Period: A Case Study in Xi’an, China
by Zeyao Zhao, Ning Lan, Yang Chen, Juan Yang, Jing Bai and Jifeng Liu
Vaccines 2025, 13(12), 1214; https://doi.org/10.3390/vaccines13121214 - 30 Nov 2025
Viewed by 1738
Abstract
Background: The epidemiology of influenza was disrupted during the COVID-19 pandemic. Following the relaxation of non-pharmaceutical interventions, influenza viruses have re-emerged and caused epidemics with shifts in age distribution and seasonality. This study aimed to characterise the post-pandemic epidemiology of influenza infections among [...] Read more.
Background: The epidemiology of influenza was disrupted during the COVID-19 pandemic. Following the relaxation of non-pharmaceutical interventions, influenza viruses have re-emerged and caused epidemics with shifts in age distribution and seasonality. This study aimed to characterise the post-pandemic epidemiology of influenza infections among children in Xi’an, China. Methods: A retrospective analysis of laboratory-confirmed paediatric influenza cases spanning three periods [pre-pandemic (1 January 2010–22 January 2020), intra-pandemic (23 January 2020–8 January 2023), and post-pandemic (9 January 2023–31 August 2025)] was conducted. Age-specific incidences were determined by subtypes (lineage) and compared across periods. Seasonal parameters were estimated using a generalised linear model with harmonic terms. Associations between influenza infection and risk of co-detection with other respiratory pathogens were assessed using logistic regression models. Results: Influenza peak activity in the post-pandemic period was 10-fold higher than in the intra-pandemic period. The mean age of infected children increased by 1.4 years (95% CI: 1.2–1.7), shifting towards school-aged children (6–17 years). The seasonal pattern re-established with an earlier peak (13.9 weeks earlier than the pre-pandemic period, 95% CI: 10.4–15.2) and increased amplitude (10-fold and 4-fold higher than the intra- and pre-pandemic periods, respectively). It was observed that A(H1N1)pdm09 positivity was elevated in preschool and school-aged children, whereas B/Victoria infections showed renewed susceptibility among infants [0–5 months vs. 6–35 months vs. 3–5 years vs. 6–17 years: 11.0% (95% CI: 5.1–19.8) vs. 2.8% (1.9–4.0) vs. 4.0% (3.2–5.0) vs. 5.2% (4.5–6.0); p = 0.00014]. Influenza infection was associated with higher risk of bacterial co-detection with Streptococcus pneumoniae (aOR = 1.52, 95% CI: 1.22–1.91) and Haemophilus influenzae (aOR = 1.46, 95% CI: 1.19–1.80), but lower risk of co-detection with SARS-CoV-2 (aOR = 0.52, 95% CI: 0.27–0.99), RSV (aOR = 0.29, 95% CI: 0.11–0.79), and parainfluenza viruses (aOR = 0.16, 95% CI: 0.04–0.65). Conclusions: The post-pandemic landscape of paediatric influenza in Xi’an has undergone substantial reconfiguration, characterised by intensified activity, altered seasonality, and a marked shift in age distribution. The increased bacterial co-detection points out the potential for more severe respiratory co-infections. These findings highlight the importance of optimising vaccination timing and prompting school-aged-children-targeted immunisation programmes in the post-pandemic era. Full article
(This article belongs to the Special Issue Vaccines and Vaccinations During and After the Pandemic Period)
Show Figures

Figure 1

26 pages, 2570 KB  
Article
Five Years of COVID-19 in Tocantins, Brazil: Epidemiology, Vaccination Impact, and SARS-CoV-2 Genomic Dynamics (2020–2025)
by Olivia de Souza da Conceição, Ueric José Borges de Souza, Franciano Dias Pereira Cardoso, Evgeni Evgeniev Gabev, Bergmann Morais Ribeiro, Gil Rodrigues dos Santos, Renisson Neponuceno de Araújo Filho, Marcos Gontijo da Silva, Fernando Rosado Spilki and Fabrício Souza Campos
Viruses 2025, 17(11), 1521; https://doi.org/10.3390/v17111521 - 20 Nov 2025
Viewed by 1553
Abstract
The coronavirus disease 2019 (COVID-19) pandemic in Tocantins, Brazil, exhibited distinct phases between 2020 and 2025, with high mortality concentrated in 2020–2021 and subsequent stabilization at residual levels. Using epidemiological data, statistical modeling, and genomic surveillance, we show that the crisis peaked in [...] Read more.
The coronavirus disease 2019 (COVID-19) pandemic in Tocantins, Brazil, exhibited distinct phases between 2020 and 2025, with high mortality concentrated in 2020–2021 and subsequent stabilization at residual levels. Using epidemiological data, statistical modeling, and genomic surveillance, we show that the crisis peaked in 2021, coinciding with the circulation of Gamma and Delta, when health system capacity was severely strained. From 2022 onwards, the spread of Omicron led to record incidence but proportionally low mortality, reflecting accumulated immunity, vaccination, and improved clinical management. Vaccination represented the turning point, reducing hospitalizations and deaths by over 90% and driving a clear decoupling between incidence and severity. Interrupted time-series and generalized additive model (GAM) analyses confirmed sustained reductions in transmission and severity associated with mass immunization. Genomic sequencing of 3941 severe acute respiratory syndrome coronavirus 2 (SARS-CoV-2) genomes identified 166 lineages and successive variant replacements, culminating in the predominance of LP.8.1.4 in 2025. To our knowledge, this is one of the few integrated, long-term analyses (2020–2025) combining epidemiological and genomic data, capturing the full succession of variants up to LP.8.1.4 and highlighting Tocantins as a strategic “variant corridor” linking Brazil’s North and Central-West regions. These findings underscore the dual role of vaccination and genomic surveillance in shaping the epidemic trajectory and the importance of sustaining both strategies to mitigate future health crises. Full article
(This article belongs to the Section Coronaviruses)
Show Figures

Figure 1

Back to TopTop