Sign in to use this feature.

Years

Between: -

Subjects

remove_circle_outline
remove_circle_outline
remove_circle_outline
remove_circle_outline
remove_circle_outline
remove_circle_outline
remove_circle_outline
remove_circle_outline
remove_circle_outline

Journals

remove_circle_outline
remove_circle_outline
remove_circle_outline
remove_circle_outline

Article Types

Countries / Regions

remove_circle_outline
remove_circle_outline
remove_circle_outline

Search Results (417)

Search Parameters:
Keywords = CMD2

Order results
Result details
Results per page
Select all
Export citation of selected articles as:
7 pages, 3156 KB  
Case Report
The Great Masquerader: Vasospastic Angina Mimicking Left Main Coronary Artery Disease
by Maja Wojtylak, Katarzyna Frączek, Aleksander Zeliaś and Tomasz Tokarek
J. Clin. Med. 2026, 15(5), 1952; https://doi.org/10.3390/jcm15051952 - 4 Mar 2026
Abstract
A significant proportion of patients undergoing invasive coronary angiography for angina have no obstructive coronary artery disease (CAD). In such patients, coronary microvascular dysfunction (CMD) and vasospastic angina (VSA) represent key pathophysiological mechanisms. We report a case of a 58-year-old male with exertional [...] Read more.
A significant proportion of patients undergoing invasive coronary angiography for angina have no obstructive coronary artery disease (CAD). In such patients, coronary microvascular dysfunction (CMD) and vasospastic angina (VSA) represent key pathophysiological mechanisms. We report a case of a 58-year-old male with exertional chest pain and exercise ECG changes typical of left main or multivessel CAD. Coronary computed tomography angiography (CCTA) showed borderline stenosis of the distal left main coronary artery. Coronary angiography revealed no critical stenosis. A comprehensive functional assessment demonstrated reduced coronary flow reserve (CFR = 2.0) and an elevated index of microcirculatory resistance (IMR = 25), consistent with CMD. An intracoronary acetylcholine provocation test induced severe focal vasospasm of the mid-left anterior descending artery (LAD) with ST-segment elevation and anginal pain, promptly relieved by nitroglycerin, confirming VSA. This case highlights the diagnostic and clinical importance of invasive functional testing in patients with angina and non-obstructive coronary arteries (ANOCA/INOCA). The coexistence of CMD and VSA (two distinct but overlapping pathophysiological endotypes) is increasingly recognized as a marker of adverse prognosis. Functional coronary assessment should be considered in all patients with angina and non-obstructive coronary arteries, as identifying mixed endotypes enables precise, mechanism-guided therapy. Full article
(This article belongs to the Special Issue Interventional Cardiology: Recent Developments and Future Challenges)
Show Figures

Figure 1

17 pages, 2744 KB  
Article
The Alarming Eastward Front of Cassava Mosaic Disease Reported in Guinea and Sierra Leone Reaches Western Côte d’Ivoire
by Justin S. Pita, Fidèle Tiendrébéogo, Angela O. Eni, William J.-L. Amoakon, Bekanvié S. M. Kouakou, Mariam Combala, Aya Ange Nate Yoboue, Guy R. Eboulem, Daniel H. Otron, Maïmouna M. Koné, John Steven S. Seka, Richard A. K. Aka, Merveille Koissi Savi, Cyrielle Ndougonna and Nazaire K. Kouassi
Viruses 2026, 18(3), 319; https://doi.org/10.3390/v18030319 - 4 Mar 2026
Abstract
Cassava mosaic begomoviruses are a major threat to cassava cultivation in Africa. The virulent Ugandan variant of the East African cassava mosaic virus (EACMV-Ug), which caused substantial damage to cassava production in Uganda in the 1990s and which was previously confined to East [...] Read more.
Cassava mosaic begomoviruses are a major threat to cassava cultivation in Africa. The virulent Ugandan variant of the East African cassava mosaic virus (EACMV-Ug), which caused substantial damage to cassava production in Uganda in the 1990s and which was previously confined to East and Central Africa, was recently found to be well established in Guinea and Sierra Leone in West Africa. Molecular analysis of cassava leaf samples from a nationwide cassava fields survey conducted in Côte d’Ivoire in 2022 suggested the absence of EACMV-Ug in the country in 2022. Given the proximity of some confirmed EACMV-Ug infected locations in Guinea to Côte d’Ivoire, we conducted another survey in 2025 along the entire western border of Côte d’Ivoire, bordering Guinea and Liberia, to update the status of EACMV-Ug in the country. Molecular analysis of the leaf samples collected confirmed the presence of EACMV-Ug in Côte d’Ivoire for the first time, along with other begomoviruses. The infection rate of EACMV-Ug along the Liberian border was higher (28.85%) than the 17.07% observed along the Guinean border. African cassava mosaic virus (ACMV) and East African cassava mosaic Cameroon virus (EACMCMV) were detected both as a single infection and in double co-infections (ACMV+EACMCMV) in some plants, whereas EACMV-Ug was found as a double co-infection (EACMCMV+EACMV-Ug) and as a triple co-infection (ACMV+EACMCMV+EACMV-Ug). Our results also show that all the cassava varieties grown in the surveyed locations were susceptible to EACMV-Ug. Epidemiological assessment of cassava fields revealed that the incidence and severity of cassava mosaic disease (CMD) were significantly higher along the Liberian border compared to the Guinean border. However, whitefly populations were relatively low across the entire area surveyed. Furthermore, we found that the spread of CMD in the survey area was mainly through the use of infected cassava cuttings for the establishment of new farms. Based on these results, it is imperative to conduct an urgent nationwide cassava fields survey to assess the extent of EACMV-Ug spread in Côte d’Ivoire and implement containment measures to stop further spread. Full article
(This article belongs to the Special Issue Plant Virus Spillovers)
Show Figures

Figure 1

13 pages, 1648 KB  
Article
Mixed-Reality-Assisted Physician-Modified Stent Grafts: An Experimental Pre-Clinical Feasibility Study Using the Valiant Captivia and Endurant II Stent Graft Systems
by Johannes Hatzl, Jana Ebner, Christian Uhl, Andreas Sebastian Peters, Alexandru Barb, Jonathan Fiering, Alexandra Marquardt and Dittmar Böckler
J. Clin. Med. 2026, 15(4), 1663; https://doi.org/10.3390/jcm15041663 - 23 Feb 2026
Viewed by 231
Abstract
Objectives: Physician-modified endografts (PMEGs) expand endovascular treatment options in urgent or cost-sensitive settings where industry-provided custom-made devices (CMDs) are not available. Current PMEG manufacturing techniques are time-consuming, lack standardization, and often require repeated adjustments to achieve strut-free fenestration positioning. Mixed reality (MxR) may [...] Read more.
Objectives: Physician-modified endografts (PMEGs) expand endovascular treatment options in urgent or cost-sensitive settings where industry-provided custom-made devices (CMDs) are not available. Current PMEG manufacturing techniques are time-consuming, lack standardization, and often require repeated adjustments to achieve strut-free fenestration positioning. Mixed reality (MxR) may streamline this process by overlaying virtual templates directly onto the physical stent graft guiding fenestration positioning. Methods: We developed a standardized MxR-assisted workflow for four-fenestrated PMEG preparations and compared it to a conventional marking technique. In this experimental set-up, between May 2025 and July 2025, three stent grafts were evaluated (Endurant II® 28 mm, Valiant Captivia® 30 mm, and Valiant Captivia® 32 mm). Five observers performed fenestration marking on 20 grafts per device type (10 per method), resulting in 60 PMEGs and 240 fenestrations. Outcomes included absolute positional error, relative positional error, number of strut-free fenestrations, number of re-attempts to achieve strut-free configuration, time required, and usability assessed via the System Usability Scale (SUS). Results: Across 240 fenestrations, both methods achieved high accuracy. Median absolute errors ranged from 0 to 1.25 mm for the conventional method and 0 to 1.75 mm for MxR. Relative positional errors were similarly small, with no significant differences between methods. MxR achieved higher rates of strut-free fenestration in the 28 mm Endurant II® device. Re-attempts were fewer with MxR. Median procedure time was significantly reduced for the MxR-assisted workflow in Valiant Captivia 30 mm (5.0 vs. 9.8 min, p = 0.049) and 32 mm (5.6 vs. 8.2 min, p = 0.049) while a trend was observed for Endurant II (7.5 vs. 15.6 min, p = 0.066). SUS scores favored MxR (76.2 vs. 62.6), though not significantly. Conclusions: The MxR-assisted PMEG production workflow seems promising in this pre-clinical, experimental study and warrants continued development and investigation. Full article
Show Figures

Figure 1

43 pages, 5068 KB  
Review
Noble Metal-Catalyzed C–H Activation and Functionalization: Mechanistic Foundations and Emerging Electrochemical Strategies
by Najoua Sbei, Suzan Makawi and Seyfeddine Rahali
Catalysts 2026, 16(2), 200; https://doi.org/10.3390/catal16020200 - 23 Feb 2026
Viewed by 315
Abstract
Noble metal-catalyzed C–H activation has transformed synthetic methodology by enabling direct modification of inert C–H bonds with high levels of efficiency, selectivity, and functional group tolerance. This mini-review provides a focused overview of the mechanistic foundations and emerging advances in C–H functionalization mediated [...] Read more.
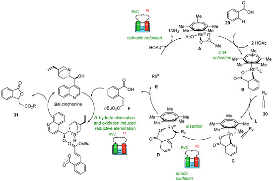
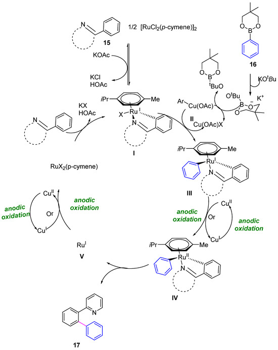
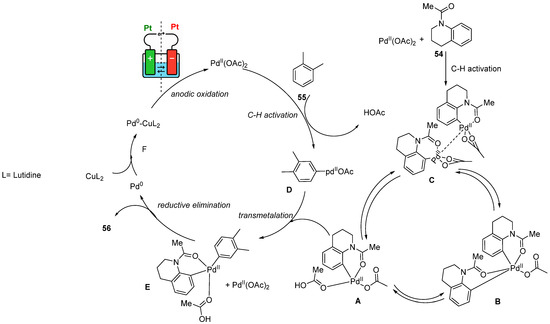
Noble metal-catalyzed C–H activation has transformed synthetic methodology by enabling direct modification of inert C–H bonds with high levels of efficiency, selectivity, and functional group tolerance. This mini-review provides a focused overview of the mechanistic foundations and emerging advances in C–H functionalization mediated by ruthenium, iridium, rhodium and palladium catalysts. Key activation modes including oxidative addition, concerted metalation deprotonation (CMD), and electrophilic pathways are discussed alongside the roles of high-valent intermediates and ligand control in determining reactivity and regioselectivity. Special emphasis is placed on recent electrochemical strategies, where anodic oxidation replaces traditional chemical oxidants, granting access to unique redox manifolds and expanding the scope of C–C, C–N, C–O, and C–X bond-forming reactions. Representative transformations highlight the versatility of noble metals in constructing heterocycles, enabling enantioselective processes, and facilitating late-stage functionalization of complex molecules. Current challenges and future perspectives are outlined, including the need for improved nondirected activation, deeper mechanistic insight, and enhanced scalability. Collectively, this review underscores the central role of noble metals in advancing sustainable and innovative C–H functionalization chemistry. Full article
Show Figures

Graphical abstract

21 pages, 718 KB  
Article
Do Integrated CMD Management Practices Increase Cassava Yields? A Local Average Treatment Effect Analysis from Burkina Faso
by Agnès Ouédraogo, Eveline Sawadogo-Compaore, Ezechiel Bionimian Tibiri, Noël Thiombiano, Adama Sagnon, Seydou Sawadogo, Fidèle Tiendrébéogo and Justin Simon Pita
Agriculture 2026, 16(4), 441; https://doi.org/10.3390/agriculture16040441 - 13 Feb 2026
Viewed by 504
Abstract
Cassava mosaic disease (CMD) is a major constraint to cassava production in sub-Saharan Africa, particularly in Burkina Faso, where it poses a serious threat to rural food security. This study examined the impact of adopting innovative cassava mosaic disease management practices on cassava [...] Read more.
Cassava mosaic disease (CMD) is a major constraint to cassava production in sub-Saharan Africa, particularly in Burkina Faso, where it poses a serious threat to rural food security. This study examined the impact of adopting innovative cassava mosaic disease management practices on cassava yields in the Guiriko and Nando regions of Burkina Faso. To address potential biases arising from differences in characteristics between adopters and non-adopters, an econometric approach based on the instrumental variables (IV) method within a counterfactual framework was employed to estimate the local average treatment effect (LATE). The data were drawn from a survey conducted in September 2023 among 511 cassava producers. The results indicate that the adoption of innovative cassava mosaic disease management practices had a positive and statistically significant effect on agricultural yields. Productivity gains were estimated at 29% in the Guiriko region and 41% in the Nando region, highlighting spatial heterogeneity in impacts. These findings suggest that promoting the diffusion of such practices can substantially improve cassava productivity and reduce the vulnerability of rural households. In addition, the analysis showed that socioeconomic and technical factors, including farmers’ age, membership in cassava producer organizations, household income levels, and the use of chemical fertilizers, also influence productivity outcomes. Overall, the study underscores the importance of strengthening agricultural extension services, supporting producer organizations, and promoting appropriate technologies to maximize the benefits of cassava mosaic disease management practices for food security and rural development. Full article
Show Figures

Figure 1

20 pages, 862 KB  
Systematic Review
Ophthalmological Microvascular Changes in ANOCA/INOCA Disease and Ophthalmological Methods to Detect Them—A Systematic Review
by Małgorzata Ryk-Adamska, Maciej Janiszewski, Mariusz Tomaniak, Jacek Pawel Szaflik, Przemysław Kasiak and Anna Zaleska-Żmijewska
J. Clin. Med. 2026, 15(4), 1344; https://doi.org/10.3390/jcm15041344 - 8 Feb 2026
Viewed by 347
Abstract
Background/Objectives: Coronary artery disease (CAD) remains one of the leading cardiovascular diseases worldwide. While obstructive CAD is well characterized and managed, identification of patients with non-obstructive CAD (NOCAD) remains challenging. Unlike the coronary vasculature, the eye’s microcirculation can be easily and non-invasively assessed. [...] Read more.
Background/Objectives: Coronary artery disease (CAD) remains one of the leading cardiovascular diseases worldwide. While obstructive CAD is well characterized and managed, identification of patients with non-obstructive CAD (NOCAD) remains challenging. Unlike the coronary vasculature, the eye’s microcirculation can be easily and non-invasively assessed. Therefore, this systematic review summarized the ophthalmological diagnostic methods used to assess microvascular alterations associated with coronary microvascular dysfunction (CMD), angina with non-obstructive coronary arteries (ANOCA), or ischemia with non-obstructive coronary arteries (INOCA). Methods: According to PRISMA guidelines, PubMed/MEDLINE and Embase databases were screened by two independent reviewers from inception to 25 November 2025. Original articles that examined ophthalmological microvascular changes by any method in adults with CMD or its subtypes were included. The quality of the studies was assessed using the JBI Critical Appraisal Checklist. Results: Of 101 identified articles, nine studies met the inclusion criteria, comprising 1894 patients. Optical coherence tomography angiography was the most frequently used imaging modality, followed by optical coherence tomography, slit-lamp smartphone imaging, and fundus photography. Five investigations employed blinded image analysis, three did not, and one study used it partially. Four studies used semi-automated measurements, four employed fully automated methods, and one study applied manual and automated measurements for different parameters. Conclusions: Despite a limited number of studies, retinal and conjunctival microvascular alterations helped differentiate CAD subtypes and may reflect systemic microcirculatory impairment among patients with ANOCA/INOCA. Ophthalmological imaging techniques have the potential to serve as non-invasive tools for detecting microvascular alterations associated with CMD in ANOCA and INOCA patients. PROSPERO Registration Number: CRD420251239875 Full article
Show Figures

Figure 1

23 pages, 488 KB  
Article
Role of the Pharmacist in Supporting the Use of Connected Health Devices: Example of Connected Watches
by Cordélia Salomez-Ihl, Léa Liaigre, Wiceme Dala, Ambre Davat, Maud Barbado, Sébastien Chanoine, Philippe Py, Delphine Schmitt, Pascal Defaye and Pierrick Bedouch
Pharmacy 2026, 14(1), 28; https://doi.org/10.3390/pharmacy14010028 - 3 Feb 2026
Viewed by 253
Abstract
The use of Connected Medical Devices (CMDs) is growing significantly throughout the world. Although they are not dispensed in pharmacies and are not part of the pharmacy-only drug dispensing system, clinical pharmacists must be able to support patients in the use of these [...] Read more.
The use of Connected Medical Devices (CMDs) is growing significantly throughout the world. Although they are not dispensed in pharmacies and are not part of the pharmacy-only drug dispensing system, clinical pharmacists must be able to support patients in the use of these new technologies, which are central to their care. The aim of this study is to identify the role of the community pharmacist in supporting patients who use CMDs, using the case of connected watches in electrophysiology. Semi-structured interviews were conducted between 15 February and 20 April 2024 by a pharmacy student. The questionnaires were drafted in collaboration with a pharmacist, a cardiac electrophysiologist, a methodologist specializing in the evaluation of medical devices, and an ethical philosopher specializing in the support and acceptability of new technologies. The aim of these questionnaires was to study the use of connected watches and support for patients who own them. A total of 4 cardiac electrophysiologists and 10 cardiac electrophysiology patients were interviewed, and then 6 pharmacists were also questioned about the roles identified by physicians and patients. This study identified a major need on the part of specialist physicians for clinical pharmacist support in helping patients use connected watches. Patients expressed a high level of confidence in their pharmacists to support them, and in the motivation of pharmacists’ ability to take up these challenges. A number of challenges remain, such as the effective integration of this support into pharmacy practice, remuneration, and the organization of collaboration between clinical pharmacists and hospital electrophysiologists. Full article
(This article belongs to the Section Pharmacy Practice and Practice-Based Research)
Show Figures

Figure 1

16 pages, 3177 KB  
Article
Towards the Development of Large-Scale, Technically Viable and Sustainable Hydrogen Production: Multicriteria Assessment for Technological Readiness
by Jorge Omar Gil Posada, Juan Carlos Quintero-Díaz and Andrés A. Amell
Energies 2026, 19(3), 729; https://doi.org/10.3390/en19030729 - 29 Jan 2026
Viewed by 296
Abstract
In addressing the increasing global energy demand, this manuscript compares four distinct processes for hydrogen production from natural gas (NG): steam methane reforming (SMR), dry methane reforming (DMR), autothermal reforming (ATR), and catalytic methane decomposition (CMD). The comparison emphasizes their respective efficiencies and [...] Read more.
In addressing the increasing global energy demand, this manuscript compares four distinct processes for hydrogen production from natural gas (NG): steam methane reforming (SMR), dry methane reforming (DMR), autothermal reforming (ATR), and catalytic methane decomposition (CMD). The comparison emphasizes their respective efficiencies and environmental impacts. Simulations were conducted using the Peng–Robinson model, implemented in the DWSIM 8.8.3 software package, considering commercially available Colombian natural gas. Technical and environmental impacts were taken into account for the evaluation of the most practical hydrogen production plant by employing, for the first time, the TOPSIS method of comparison. Reaching 0.36 kg H2 per kg of NG, ATR stands out as the top TOPSIS solution. However, SMR is not far behind, producing more hydrogen than any of its competing alternatives (0.56 kg H2 per kg of NG) but at a significantly larger environmental cost. DMR demonstrates promising potential for utilizing CO2. Finally, CMD proves to be advantageous in terms of cleanliness and reduced CO emissions but is limited by the high temperature requirements and the constant need for catalyst regeneration. This paper aims to raise awareness about Colombia’s abundant natural resources and its potential to play a significant role in the future hydrogen economy. Full article
(This article belongs to the Section A5: Hydrogen Energy)
Show Figures

Figure 1

25 pages, 2897 KB  
Review
Integrating UAVs and Deep Learning for Plant Disease Detection: A Review of Techniques, Datasets, and Field Challenges with Examples from Cassava
by Wasiu Akande Ahmed, Olayinka Ademola Abiola, Dongkai Yang, Seyi Festus Olatoyinbo and Guifei Jing
Horticulturae 2026, 12(1), 87; https://doi.org/10.3390/horticulturae12010087 - 12 Jan 2026
Viewed by 396
Abstract
Cassava remains a critical food-security crop across Africa and Southeast Asia but is highly vulnerable to diseases such as cassava mosaic disease (CMD) and cassava brown streak disease (CBSD). Traditional diagnostic approaches are slow, labor-intensive, and inconsistent under field conditions. This review synthesizes [...] Read more.
Cassava remains a critical food-security crop across Africa and Southeast Asia but is highly vulnerable to diseases such as cassava mosaic disease (CMD) and cassava brown streak disease (CBSD). Traditional diagnostic approaches are slow, labor-intensive, and inconsistent under field conditions. This review synthesizes current advances in combining unmanned aerial vehicles (UAVs) with deep learning (DL) to enable scalable, data-driven cassava disease detection. It examines UAV platforms, sensor technologies, flight protocols, image preprocessing pipelines, DL architectures, and existing datasets, and it evaluates how these components interact within UAV–DL disease-monitoring frameworks. The review also compares model performance across convolutional neural network-based and Transformer-based architectures, highlighting metrics such as accuracy, recall, F1-score, inference speed, and deployment feasibility. Persistent challenges—such as limited UAV-acquired datasets, annotation inconsistencies, geographic model bias, and inadequate real-time deployment—are identified and discussed. Finally, the paper proposes a structured research agenda including lightweight edge-deployable models, UAV-ready benchmarking protocols, and multimodal data fusion. This review provides a consolidated reference for researchers and practitioners seeking to develop practical and scalable cassava-disease detection systems. Full article
Show Figures

Figure 1

22 pages, 2159 KB  
Article
Association of Mobile-Enhanced Remote Patient Monitoring with Blood Pressure Control in Hypertensive Patients with Comorbidities: A Multicenter Pre–Post Evaluation
by Ashfaq Ullah, Irfan Ahmad and Wei Deng
Diagnostics 2026, 16(2), 244; https://doi.org/10.3390/diagnostics16020244 - 12 Jan 2026
Viewed by 569
Abstract
Background and Objectives: Hypertension affects more than 27% of adults in China, and despite ongoing public health efforts, substantial gaps remain in awareness, treatment, and blood pressure control, particularly among older adults and patients with multiple comorbidities. Conventional clinic-based care often provides limited [...] Read more.
Background and Objectives: Hypertension affects more than 27% of adults in China, and despite ongoing public health efforts, substantial gaps remain in awareness, treatment, and blood pressure control, particularly among older adults and patients with multiple comorbidities. Conventional clinic-based care often provides limited opportunity for frequent monitoring and timely treatment adjustment, which may contribute to persistent poor control in routine practice. The objective of this study was to evaluate changes in blood pressure control and related clinical indicators during implementation of a mobile-enhanced remote patient monitoring (RPM)–supported care model among hypertensive patients with comorbidities, including patterns of medication adjustment, adherence, and selected cardiometabolic parameters. Methods: We conducted a multicenter, pre–post evaluation of a mobile-enhanced remote patient monitoring (RPM) program among 6874 adults with hypertension managed at six hospitals in Chongqing, China. Participants received usual care during the pre-RPM phase (April–September 2024; clinic blood pressure measured using an Omron HEM-7136 device), followed by an RPM-supported phase (October 2024–March 2025; home blood pressure measured twice daily using connected A666G monitors with automated transmission via WeChat, medication reminders, and clinician follow-up). Given the use of different devices and measurement settings, blood pressure comparisons may be influenced by device- and setting-related measurement differences. Monthly blood pressure averages were calculated from all available readings. Subgroup analyses explored patterns by sex, age, baseline BP category, and comorbidity status. Results: The cohort was 48.9% male with a mean age of 66.9 ± 13.7 years. During the RPM-supported care period, the proportion meeting the study’s blood pressure control threshold increased from 62.4% (pre-RPM) to 90.1%. Mean systolic blood pressure decreased from 140 mmHg at baseline to 116–118 mmHg at 6 months during the more frequent monitoring and active treatment adjustment period supported by RPM (p < 0.001), alongside modest reductions in fasting blood glucose and total cholesterol. These achieved SBP levels are below commonly recommended office targets for many older adults (typically <140 mmHg for ages 65–79, with individualized lower targets only if well tolerated; and less stringent targets for adults ≥80 years) and therefore warrant cautious interpretation and safety contextualization. Medication adherence improved, and antihypertensive regimen intensity increased during follow-up, suggesting that more frequent monitoring and active treatment adjustment contributed to the early blood pressure decline. Subgroup patterns were broadly similar across age and baseline BP categories; observed differences by sex and comorbidity groups were exploratory. Conclusions: In this large multicenter pre–post study, implementation of an RPM-supported hypertension care model was associated with substantial improvements in blood pressure control and concurrent intensification of guideline-concordant therapy. Given the absence of a concurrent control group, clinic-to-home measurement differences, and concurrent medication changes, findings should be interpreted as associations observed during an intensified monitoring and treatment period rather than definitive causal effects of RPM technology alone. Pragmatic randomized evaluations with standardized measurement protocols, longer follow-up, and cost-effectiveness analyses are warranted. Full article
Show Figures

Figure 1

16 pages, 2004 KB  
Article
Suitability of Single-Branched Thoracic Endografts for the Treatment of Acute Type B Aortic Dissection—An Anatomical Feasibility and Comparative Study
by Julius Lang, Lorenz Meuli, Philip Dueppers, Alexander Zimmerman and Benedikt Reutersberg
J. Clin. Med. 2026, 15(2), 558; https://doi.org/10.3390/jcm15020558 - 9 Jan 2026
Viewed by 393
Abstract
Objectives: This study evaluated the anatomical suitability of two single-branched thoracic stent grafts—the Castor (Endovastec, China) and the Thoracic Branch Endoprosthesis (TBE, Gore, USA)—for proximal landing in aortic arch zone 2, including the left subclavian artery (LSA), in patients with acute type [...] Read more.
Objectives: This study evaluated the anatomical suitability of two single-branched thoracic stent grafts—the Castor (Endovastec, China) and the Thoracic Branch Endoprosthesis (TBE, Gore, USA)—for proximal landing in aortic arch zone 2, including the left subclavian artery (LSA), in patients with acute type B aortic dissection (TBAD). While the TBE is currently available as an off-the-shelf device (26 main bodies, 8 branch configurations), the study also aimed to define the minimal number of configurations needed to treat most patients. The same approach was applied to the Castor stent graft, currently only available as a custom-made device (CMD), to assess its potential for off-the-shelf adaptation. Methods: A retrospective analysis was performed on computed tomographic angiographies of TBAD patients treated between 2004 and 2023. Exclusion criteria included type A or non-A-non-B dissections, isolated abdominal dissections, intramural hematomas, and lack of consent. Morphometric measurements were conducted using centerline analysis software. Suitability was defined per manufacturers’ criteria and reported with 95% confidence intervals. Results: Among 100 TBAD cases, 82% (95% CI: 73.3–88.3%) were suitable for the Castor CMD with 74 configurations. Main causes of exclusion were short landing zones and atypical arch anatomies. With adjunctive procedures, 13 Castor configurations covered all morphologies; 34% could be treated off-the-shelf, and 48% required additional interventions. For the TBE, off-the-shelf suitability was 22%, increasing to 78% with adjunctive procedures (six main bodies, five branches). Conclusions: Both stent grafts are promising for proximal extension in TBAD. Reduced configuration availability necessitates more adjunctive procedures, impacting efficiency and cost. Full article
Show Figures

Figure 1

20 pages, 6170 KB  
Article
Adaptive Cross-Modal Denoising: Enhancing LiDAR–Camera Fusion Perception in Adverse Circumstances
by Muhammad Arslan Ghaffar, Kangshuai Zhang, Nuo Pan and Lei Peng
Sensors 2026, 26(2), 408; https://doi.org/10.3390/s26020408 - 8 Jan 2026
Viewed by 458
Abstract
Autonomous vehicles (AVs) rely on LiDAR and camera sensors to perceive their environment. However, adverse weather conditions, such as rain, snow, and fog, negatively affect these sensors, reducing their reliability by introducing unwanted noise. Effective denoising of multimodal sensor data is crucial for [...] Read more.
Autonomous vehicles (AVs) rely on LiDAR and camera sensors to perceive their environment. However, adverse weather conditions, such as rain, snow, and fog, negatively affect these sensors, reducing their reliability by introducing unwanted noise. Effective denoising of multimodal sensor data is crucial for safe and reliable AV operation in such circumstances. Existing denoising methods primarily focus on unimodal approaches, addressing noise in individual modalities without fully leveraging the complementary nature of LiDAR and camera data. To enhance multimodal perception in adverse weather, we propose a novel Adaptive Cross-Modal Denoising (ACMD) framework, which leverages modality-specific self-denoising encoders, followed by an Adaptive Bridge Controller (ABC) to evaluate residual noise and guide the direction of cross-modal denoising. Following this, the Cross-Modal Denoising (CMD) module is introduced, which selectively refines the noisier modality using semantic guidance from the cleaner modality. Synthetic noise was added to both sensors’ data during training to simulate real-world noisy conditions. Experiments on the WeatherKITTI dataset show that ACMD surpasses traditional unimodal denoising methods (Restormer, PathNet, BM3D, PointCleanNet) by 28.2% in PSNR and 33.3% in CD, and outperforms state-of-the-art fusion models by 16.2% in JDE. The ACMD framework enhances AV reliability in adverse weather conditions, supporting safe autonomous driving. Full article
(This article belongs to the Section Vehicular Sensing)
Show Figures

Figure 1

31 pages, 8135 KB  
Article
A High-Performance Stochastic Framework for Landslide Uncertainty Analysis Using the Material Point Method and Random Field Theory
by Qinyang Sang, Yonglin Xiong and Zhigang Liu
Symmetry 2026, 18(1), 88; https://doi.org/10.3390/sym18010088 - 4 Jan 2026
Viewed by 465
Abstract
This study proposes a novel high-performance computational framework to address the computational challenges in probabilistic large-deformation landslide analysis. By integrating a GPU-accelerated material point method (MPM) solver with a parallelized covariance matrix decomposition (CMD) algorithm for decomposing symmetric matrices, the framework achieves exceptional [...] Read more.
This study proposes a novel high-performance computational framework to address the computational challenges in probabilistic large-deformation landslide analysis. By integrating a GPU-accelerated material point method (MPM) solver with a parallelized covariance matrix decomposition (CMD) algorithm for decomposing symmetric matrices, the framework achieves exceptional efficiency, demonstrating speedups of up to 532× (MPM solver) and 120× (random field generation) compared to traditional serial methods. Leveraging this efficiency, extensive Monte Carlo simulations (MCSs) were conducted to quantify the effects of spatial variability in soil properties on landslide behaviors. Quantitative results indicate that runout and influence distances follow normal distributions, while sliding mass volume exhibits log-normal characteristics. Crucially, deterministic analysis was found to systematically underestimate the hazard; the probabilistic mean sliding volume significantly exceeded the deterministic value, with 73–80% of stochastic realizations producing larger failures. Furthermore, sensitivity analyses reveal that increasing the coefficient of variation (COV) and the cross-correlation coefficient (from −0.5 to 0.5) leads to a monotonic increase in both the mean and standard deviation of large-deformation metrics. These findings confirm that positive parameter correlation amplifies failure risk, providing a rigorous physics-based basis for conservative landslide hazard assessment. Full article
Show Figures

Figure 1

14 pages, 2395 KB  
Article
Systemic Metabolomic Remodeling in Pressure Overload-Induced Heart Failure Indicates Modulation of a Gut–Liver–Heart Axis by the Adiponectin Receptor Agonist ALY688
by Yubin Lei, Benjie Li, Tori Gosse, Sungji Cho, Hye Kyoung Sung, Jiarui Chen and Gary Sweeney
Metabolites 2026, 16(1), 38; https://doi.org/10.3390/metabo16010038 - 1 Jan 2026
Viewed by 521
Abstract
Background/Objectives: Numerous studies have documented cardioprotective effects of adiponectin in animal models of cardiometabolic disease (CMD). Adiponectin receptor agonist ALY688 has demonstrated functional significance against pressure overload-induced cardiac remodeling events in a mouse model of heart failure with reduced ejection fraction (HFrEF), potentially [...] Read more.
Background/Objectives: Numerous studies have documented cardioprotective effects of adiponectin in animal models of cardiometabolic disease (CMD). Adiponectin receptor agonist ALY688 has demonstrated functional significance against pressure overload-induced cardiac remodeling events in a mouse model of heart failure with reduced ejection fraction (HFrEF), potentially through modulation of the systemic metabolome. However, the specific metabolites and their pathophysiological contribution to cardioprotection in cardiac hypertrophy or heart failure remain unclear. This study aimed to characterize systemic metabolic alterations across five tissues in HFrEF and determine how ALY688 modifies these pathways to mediate cardioprotection in the transverse aortic constriction (TAC) model. Methods: Targeted metabolic profiling was performed on heart, liver, muscle, epididymal white adipose tissue (eWAT), and serum collected five weeks post-surgery from wild-type male C57BL/6 mice. Mice underwent either Sham or TAC-induced left ventricular pressure overload, with or without daily subcutaneous ALY688 administration. Metabolites were quantified using liquid chromatography–tandem mass spectrometry (LC–MS/MS) and statistically analyzed at the tissue level. Results: Consistent with pathological cardiac remodeling, the comprehensive metabolomic analysis revealed that TAC induced widespread disruption of systemic metabolic homeostasis. ALY688 treatment significantly modified several key metabolite classes, including triglycerides (TGs) and glycosylceramides (HexCer). Notably, ALY688 also altered multiple gut-derived metabolites, including trimethylamine N-oxide (TMAO), 5-aminovaleric acid (5-AVA), and glycodeoxycholic acid (GDCA), highlighting a potential gut–liver–heart axis mediating its cardioprotective effects. Conclusions: These findings demonstrate that ALY688 mitigates TAC-induced metabolic dysregulation across multiple tissues. The identified metabolic signatures suggest that ALY688 exerts cardioprotective effects, at least in part, through restoration of systemic metabolic homeostasis and engagement of a gut–liver–heart metabolic axis. These results provide mechanistic insight into adiponectin receptor agonism and support further exploration of ALY688 as a potential therapeutic strategy for HFrEF. Full article
(This article belongs to the Special Issue Metabolomics in Respiratory, Cardiovascular and Metabolic Disorders)
Show Figures

Figure 1

16 pages, 728 KB  
Systematic Review
Coronary Sinus Reduction for Refractory Angina Caused by Microvascular Dysfunction—A Systematic Review
by Mariusz Tomaniak, Adrian Bednarek and Adrian Włodarczak
J. Clin. Med. 2026, 15(1), 291; https://doi.org/10.3390/jcm15010291 - 30 Dec 2025
Viewed by 655
Abstract
Background: Recent observational studies suggest that coronary sinus reducer (CSR) implantation may have a beneficial effect on microcirculatory indices in patients with coronary microvascular dysfunction (CMD). However, to date, there is no comprehensive summary of the evidence regarding the impact of CSR [...] Read more.
Background: Recent observational studies suggest that coronary sinus reducer (CSR) implantation may have a beneficial effect on microcirculatory indices in patients with coronary microvascular dysfunction (CMD). However, to date, there is no comprehensive summary of the evidence regarding the impact of CSR in this population. Methods: This systematic review was conducted in accordance with the PRISMA 2020 Statement. The following databases were searched: PubMed, EMBASE, MEDLINE, and ClinicalTrials.gov. Studies assessing microcirculatory indices or primarily involving patients with CMD undergoing CSR implantation were included. Results: After the selection process, 17 studies or trials were included in this systematic review. Across observational studies and case series, CSR implantation was associated with significant improvements in coronary microvascular function, including reductions in the index of microvascular resistance and an increase in coronary flow reserve. These physiological changes were accompanied by consistent improvements in angina severity (CCS class), exercise capacity, and quality-of-life measures, particularly in patients with more severe baseline CMD. Evidence was derived mainly from non-randomized studies involving small patient cohorts, with low procedural complication rates. Ongoing randomized trials are expected to clarify the magnitude of benefit and its clinical relevance in this population. Conclusions: CSR implantation may offer clinical and physiological benefits in patients with refractory angina due to CMD. However, the lack of randomized evidence and uncertainty regarding long-term effects warrant further adequately powered trials. Full article
(This article belongs to the Section Cardiovascular Medicine)
Show Figures

Figure 1

Back to TopTop