Sign in to use this feature.

Years

Between: -

Subjects

remove_circle_outline
remove_circle_outline
remove_circle_outline
remove_circle_outline
remove_circle_outline
remove_circle_outline
remove_circle_outline

Journals

Article Types

Countries / Regions

Search Results (60)

Search Parameters:
Keywords = C1qRp

Order results
Result details
Results per page
Select all
Export citation of selected articles as:
15 pages, 1193 KB  
Article
Reference Gene Selection for Quantitative Gene Expression Analysis in Argynnis hyperbius
by Hong-Juan Xin, Chen-Yang Liu, Feng Yan, Lu-Dan Wang, Huan-Huan Zhang, Chen-Hui Shen and Qing Zhai
Insects 2025, 16(10), 1008; https://doi.org/10.3390/insects16101008 - 28 Sep 2025
Viewed by 440
Abstract
Argynnis hyperbius (Lepidoptera: Nymphalidae), as an important environmental indicator species, has shown a gradual decline in its species richness amid intensifying climate change and increasing environmental pressures. Screening for optimal reference genes is fundamental to studying their physiological and adaptive changes using [...] Read more.
Argynnis hyperbius (Lepidoptera: Nymphalidae), as an important environmental indicator species, has shown a gradual decline in its species richness amid intensifying climate change and increasing environmental pressures. Screening for optimal reference genes is fundamental to studying their physiological and adaptive changes using RT-qPCR technology. In this study, 10 commonly used reference genes (ACT, α-TUB, AK, GAPDH, EF1α, BTF3, RPS3, RPL10, RPL32, and RPL27) were selected, and their expression stability under different developmental stages, genders, and temperature treatments was evaluated using the RefFinder website. The results indicated that selecting a pair of reference genes could achieve the most reliable normalization analysis under all experimental conditions. Specifically, AK and EF1α were the most stably expressed reference genes across different developmental stages; ACT and RPL32 showed the most stable expression in different adult sexes; and EF1α and RPL27 exhibited stable expression under different temperature treatments. Additionally, this study used EF1α and RPL32, the most stable reference genes from all results, to normalize and analyze the relative transcription levels of HSP90 under different temperatures, revealing significant differences between the 4 °C group and both the 26 °C and 37 °C groups. The findings of this study will significantly improve the reliability of RT-qPCR detection and lay a foundation for in-depth research on the gene expression, physiology, and biochemical mechanisms of A. hyperbius. Full article
(This article belongs to the Section Insect Molecular Biology and Genomics)
Show Figures

Figure 1

16 pages, 1409 KB  
Article
Development and Validation of a Stability-Indicating RP-HPLC Method for Edaravone Quantification
by Riuna O’Neill, Okhee Yoo, Philip Burcham, Minh Nguyen and Lee Yong Lim
Molecules 2025, 30(13), 2866; https://doi.org/10.3390/molecules30132866 - 5 Jul 2025
Viewed by 1007
Abstract
Edaravone is used to treat motor neurone disease (MND) by slowing disease progression and prolonging survival time. Currently, it is available as an IV infusion (Radicava®, Jersey City, NJ, USA) and an oral liquid suspension (Radicava ORS®, Jersey City, [...] Read more.
Edaravone is used to treat motor neurone disease (MND) by slowing disease progression and prolonging survival time. Currently, it is available as an IV infusion (Radicava®, Jersey City, NJ, USA) and an oral liquid suspension (Radicava ORS®, Jersey City, NJ, USA). Development of novel edaravone formulations is still an active field of research that requires a validated stability-indicating assay capable of providing specific, precise, and accurate quantification of edaravone content. In this study, we developed and validated a stability-indicating reversed-phase high-performance liquid chromatography (RP-HPLC) method for edaravone quantification. Ten RP-HPLC methods based on the previously published literature were evaluated during method development. The optimal method employed a gradient method on an Agilent ZORBAX Extend-C18 column (150 × 4.6 mm, 5 µm) and produced a sharp and symmetrical drug peak. The method was further validated according to ICH Q2(R2) guidelines for specificity, linearity, sensitivity, accuracy, and precision. Successful separation of edaravone from void signals and degradant products was achieved. The method was precise and accurate at the concentration range of 6.8–68.6 µg/mL and was recommended to use without methyl hydroxybenzoate (MHB) as an internal standard. Full article
(This article belongs to the Special Issue Recent Advances in Chromatography for Pharmaceutical Analysis)
Show Figures

Graphical abstract

18 pages, 6161 KB  
Article
Validation of Reference Genes for Accurate RT-qPCR Normalization in Aeluropus littoralis Under Drought, Cold, and ABA Treatments
by Seyyed Hamidreza Hashemipetroudi, Ali Rezaei and Markus Kuhlmann
Agronomy 2025, 15(7), 1596; https://doi.org/10.3390/agronomy15071596 - 30 Jun 2025
Viewed by 826
Abstract
Halophyte plants, with genes responsive to abiotic stress, are promising candidates to enhance crop stress tolerance, but reliable RT-qPCR analysis requires the precise selection of candidate reference genes (CRGs) due to their inconsistent expression across tissues and stress conditions. In this study eight [...] Read more.
Halophyte plants, with genes responsive to abiotic stress, are promising candidates to enhance crop stress tolerance, but reliable RT-qPCR analysis requires the precise selection of candidate reference genes (CRGs) due to their inconsistent expression across tissues and stress conditions. In this study eight CRGs of A. littoralis, AlEF1A, AlRPS3, AlGTFC, AlRPS12, AlUBQ2, AlTUB6, AlACT7, and AlGAPDH1, were analyzed to assess their stability for the normalization of RT-qPCR data under polyethylene glycol (PEG, 20% w/v for drought simulation), abscisic acid (ABA, 100 μM), and cold stress (4 °C) treatments. The result of the algorithms suggested different CRGs for different treatments or tissue types. However the comprehensive analysis indicates that AlEF1A is the most stable CRG for PEG-treated leaf tissue, but AlTUB6 is preferable for PEG-treated root tissue, while for PEG-treated leaf and root tissues, AlEF1A can be suggested. For cold-stressed leaf and/or root samples, AlRPS3 was the most stable. For ABA-treated leaf and root tissues, AlGTFC and AlEF1A were the most stable CRGs, respectively, whereas AlTUB6 was suggested for ABA-treated leaf and root tissues. Collectively, for all stresses combined (PEG, ABA, and cold), AlGTFC was the most stable CRG in leaf samples, while AlRPS3 was the most stable in root samples and combined leaf and root samples. The validation analysis indicates a statistically significant difference (p value < 0.05) between normalization with the most and least stable CRGs. This research suggests reliable tissue-specific RGs for A. littoralis under abiotic stresses that can enhances the accuracy of gene expression quantification. Full article
Show Figures

Figure 1

17 pages, 11403 KB  
Article
Comparative Analysis of Chloroplast Genomes of 19 Saxifraga Species, Mostly from the European Alps
by Zhenning Leng, Zhe Pang, Zaijun He and Qingbo Gao
Int. J. Mol. Sci. 2025, 26(13), 6015; https://doi.org/10.3390/ijms26136015 - 23 Jun 2025
Cited by 1 | Viewed by 537
Abstract
Complete chloroplast genome sequences are widely used in the analyses of phylogenetic relationships among angiosperms. As a species-rich genus, species diversity centers of Saxifraga L. include mountainous regions of Eurasia, such as the Alps and the Qinghai–Tibetan Plateau (QTP) sensu lato. However, [...] Read more.
Complete chloroplast genome sequences are widely used in the analyses of phylogenetic relationships among angiosperms. As a species-rich genus, species diversity centers of Saxifraga L. include mountainous regions of Eurasia, such as the Alps and the Qinghai–Tibetan Plateau (QTP) sensu lato. However, to date, datasets of chloroplast genomes of Saxifraga have been concentrated on the QTP species; those from European Alps are largely unavailable, which hinders comprehensively comparative and evolutionary analyses of chloroplast genomes in this genus. Here, complete chloroplast genomes of 19 Saxifraga species were de novo sequenced, assembled and annotated, and of these 15 species from Alps were reported for the first time. Subsequent comparative analysis and phylogenetic reconstruction were also conducted. Chloroplast genome length of the 19 Saxifraga species range from 149,217 bp to 152,282 bp with a typical quadripartite structure. All individual chloroplast genome included in this study contains 113 unique genes, including 79 protein-coding genes, four rRNAs and 30 tRNAs. The IR boundaries keep relatively conserved with minor expansion in S. consanguinea. mVISTA analysis and identification of polymorphic loci for molecular markers shows that six intergenic regions (ndhC-trnV, psbE-petL, rpl32-trnL, rps16-trnQ, trnF-ndhJ, trnS-trnG) can be selected as the potential DNA barcodes. A total of 1204 SSRs, 433 tandem repeats and 534 Large sequence repeats were identified in the 19 Saxifraga chloroplast genomes. The codon usage analysis revealed that Saxifraga chloroplast genome codon prefers to end in A/T. Phylogenetic reconstruction of 33 species (31 Saxifraga species included) based on 75 common protein coding genes received high bootstrap support values for nearly all identified nodes, and revealed a tree topology similar to previous studies. Full article
(This article belongs to the Section Molecular Plant Sciences)
Show Figures

Figure 1

18 pages, 1105 KB  
Article
lncRNAs as Biomarkers of Hepatocellular Carcinoma Risk and Liver Damage in Advanced Chronic Hepatitis C
by Driéle B. dos Santos, Geysson J. Fernandez, Letícia T. Silva, Giovanni F. Silva, Estela O. Lima, Aline F. Galvani, Guilherme L. Pereira and Adriana C. Ferrasi
Curr. Issues Mol. Biol. 2025, 47(5), 348; https://doi.org/10.3390/cimb47050348 - 10 May 2025
Viewed by 1069
Abstract
Background/Objectives: LncRNAs have emerged as promising biomarkers due to their role in gene regulation of carcinogenesis and presence in biological fluids. Liquid biopsies offer a less invasive alternative to tissue biopsies, improving early cancer diagnosis and surveillance. Hepatocellular carcinoma (HCC) is among the [...] Read more.
Background/Objectives: LncRNAs have emerged as promising biomarkers due to their role in gene regulation of carcinogenesis and presence in biological fluids. Liquid biopsies offer a less invasive alternative to tissue biopsies, improving early cancer diagnosis and surveillance. Hepatocellular carcinoma (HCC) is among the most lethal and prevalent cancers. Late diagnoses contribute to poor prognosis, particularly in chronic hepatitis C (CHC) patients, which is a major risk factor for HCC. Tissue biopsies for HCC diagnosis pose risks, including tumor dissemination, highlighting the urgent need for noninvasive biomarkers. Several lncRNAs are deregulated in HCC and may be potential markers for assessing HCC risk in CHC. This study evaluated seven lncRNAs as plasma biomarkers for HCC risk in CHC. Methods: lncRNA expression was analyzed by RT-qPCR in three groups: CHC patients who developed HCC within a 5-year follow-up (HCCpos), CHC patients who did not develop HCC within a 5-year follow-up (HCCneg), and healthy blood donors (CG). Results: This study found that plasma lncRNAs HULC and RP11-731F5.2 are potential biomarkers for HCC risk, while RP11-731F5.2 and KCNQ1OT1 may serve as noninvasive biomarkers for liver damage due to HCV infection. Conclusions: These findings highlight the potential of lncRNAs in enhancing early diagnosis and monitoring of HCC in CHC patients. Full article
Show Figures

Figure 1

14 pages, 5140 KB  
Article
Optimal Reference Genes for Gene Expression Analysis of Overmating Stress-Induced Aging and Natural Aging in Male Macrobrachium rosenbergii
by Yunpeng Fan, Qiang Gao, Haihua Cheng, Xilian Li, Yang Xu, Huwei Yuan, Xiudan Yuan, Songsong Bao, Chu Kuan and Haiqi Zhang
Int. J. Mol. Sci. 2025, 26(8), 3465; https://doi.org/10.3390/ijms26083465 - 8 Apr 2025
Viewed by 784
Abstract
Functional gene expression is closely linked to an organism’s physiology and can be quantified using Real-Time Quantitative Reverse Transcription PCR (RT-qPCR). However, the stability of reference gene expression is not absolute, which may impact the accuracy of RT-qPCR results. In this study, we [...] Read more.
Functional gene expression is closely linked to an organism’s physiology and can be quantified using Real-Time Quantitative Reverse Transcription PCR (RT-qPCR). However, the stability of reference gene expression is not absolute, which may impact the accuracy of RT-qPCR results. In this study, we evaluated the suitability of nine genes including receptor for activated protein kinase c1 (rack1), ribosomal protein L6 (rpl6), ribosomal protein L9 (rpl9), ribosomal protein S2 (rps2), ribosomal protein S18 (rps18), ribosomal protein lateral stalk subunit P0 (rplp0), eukaryotic translation elongation factor 1β (eef1b), eukaryotic translation initiation factor 4a (eif4a), eukaryotic translation initiation factor 5a (eif5a) analyzed from RNA sequencing (RNA-Seq) data in addition to three genes including eukaryotic elongation factor 1α (eef1a), β-actin (actb), and glyceraldehyde 3-phosphate dehydrogenase (gapdh) selected from the literature to obtain the best internal controls in the RT-qPCR analysis of M. rosenbergii under overmating stress and natural aging. RefFinder was used to comprehensively evaluate the stability of the candidate reference genes. The initial results showed that three genes (eif5a, rps18, and rplp0) from the RNA-Seq data had relatively stable expression levels, which were more stable than those of the three commonly used reference genes. Eif5a and rps18 were the best combination for the RT-qPCR analysis of M. rosenbergii under overmating stress and aging. Further analysis indicated that eif5a might be the best reference gene for the study of M. rosenbergii. Full article
(This article belongs to the Section Molecular Genetics and Genomics)
Show Figures

Figure 1

22 pages, 3271 KB  
Article
The Effect of Valine on the Synthesis of α-Casein in MAC-T Cells and the Expression and Phosphorylation of Genes Related to the mTOR Signaling Pathway
by Min Yang, Xinyu Zhang, Yu Ding, Liang Yang, Wanping Ren, Yu Gao, Kangyu Yao, Yuxin Zhou and Wei Shao
Int. J. Mol. Sci. 2025, 26(7), 3179; https://doi.org/10.3390/ijms26073179 - 29 Mar 2025
Viewed by 872
Abstract
This study utilized MAC-T cells cultured in vitro as a model to investigate the effects of varying concentrations of valine on α-casein synthesis and its underlying regulatory mechanisms. In this experiment, MAC-T cells were subjected to a 12 h starvation period, followed by [...] Read more.
This study utilized MAC-T cells cultured in vitro as a model to investigate the effects of varying concentrations of valine on α-casein synthesis and its underlying regulatory mechanisms. In this experiment, MAC-T cells were subjected to a 12 h starvation period, followed by the addition of valine in a range of concentrations (a total of seven concentrations: 0.000, 1.596, 3.192, 6.384, 12.768, 25.536, and 51.072 mM, as well as in 10% Fetal Bovine Serum). The suitable range of valine concentrations was determined using enzyme-linked immunosorbent assays (ELISAs). Real-time fluorescent quantitative PCR (RT-qPCR) and Western blot analyses were employed to evaluate the expression levels and phosphorylation states of the casein alpha s1 gene (CSN1S1), casein alpha s2 gene (CSN1S2) and mTOR signaling pathway-related genes. The functionality of the mTOR signaling pathway was further validated through rapamycin (100.000 nM) inhibition experiments. Results indicated that 1× Val (6.384 mM), 2× Val (12.768 mM), 4× Val (25.536 mM), and 8× Val (51.072 mM) significantly enhanced α-casein synthesis (p < 0.01). Within this concentration range, valine significantly upregulated the expression of CSN1S1, CSN1S2, and mTOR signaling pathway-related genes including the RagA gene (RRAGA), RagB gene (RRAGB), RagC gene (RRAGC), RagD gene (RRAGD), mTOR, raptor gene (RPTOR), and 4EBP1 gene (EIF4EBP1), eukaryotic initiation factor 4E (EIF4E), and S6 Kinase 1 (S6K1) (p < 0.01). Notably, the expression of the eukaryotic elongation factor 2 (EEF2) gene peaked at 1× Val (6.384 mM), while the expression of other genes reached their maximum at 4× Val (25.536 mM). Additionally, valine significantly increased the phosphorylation levels of mTOR, S6K1, 4E-binding protein-1 (4EBP1), ribosomal protein S6 (RPS6), and eEF2 (p < 0.01), with the highest phosphorylation levels of mTOR, S6K1, and RPS6 observed at 4× Val (25.536 mM). Rapamycin treatment significantly inhibited mTOR phosphorylation and α-casein synthesis (p < 0.01); however, the addition of 4× Val (25.536 mM) partially mitigated this inhibitory effect. In conclusion, valine promotes α-casein synthesis by activating the mTOR signaling pathway, with an optimal concentration of 4× Val (25.536 mM). Full article
(This article belongs to the Section Molecular Biology)
Show Figures

Figure 1

19 pages, 5658 KB  
Article
Selection and Validation of Reference Genes in Clinacanthus nutans Under Abiotic Stresses, MeJA Treatment, and in Different Tissues
by Chang An, Lin Lu, Yixin Yao, Ruoyu Liu, Yan Cheng, Yanxiang Lin, Yuan Qin and Ping Zheng
Int. J. Mol. Sci. 2025, 26(6), 2483; https://doi.org/10.3390/ijms26062483 - 11 Mar 2025
Cited by 2 | Viewed by 829
Abstract
Clinacanthus nutans is a valuable traditional medicinal plant that contains enriched active compounds such as triterpenoids and flavonoids. Understanding the accuulation process of these secondary metabolites in C. nutans requires exploring gene expression regulation under abiotic stresses and hormonal stimuli. qRT-PCR is a [...] Read more.
Clinacanthus nutans is a valuable traditional medicinal plant that contains enriched active compounds such as triterpenoids and flavonoids. Understanding the accuulation process of these secondary metabolites in C. nutans requires exploring gene expression regulation under abiotic stresses and hormonal stimuli. qRT-PCR is a powerful method for gene expression analysis, with the selection of suitable reference genes being paramount. However, reports on stably expressed reference genes in C. nutans and even across the entire family Acanthaceae are limited. In this study, we evaluated the expression stability of 12 candidate reference genes (CnUBQ, CnRPL, CnRPS, CnPTB1, CnTIP41, CnACT, CnUBC, CnGAPDH, Cn18S, CnCYP, CnEF1α, and CnTUB) in C. nutans across different tissues and under abiotic stresses and MeJA treatment using three programs (geNorm, NormFinder, and BestKeeper). The integrated ranking results indicated that CnUBC, CnRPL, and CnCYP were the most stably expressed genes across different tissues. Under abiotic stress conditions, CnUBC, CnRPL, and CnEF1α were the most stable, while under MeJA treatment, CnRPL, CnEF1α, and CnGAPDH exhibited the highest stability. Additionally, CnRPL, CnUBC, and CnEF1α were the most stable reference genes across all tested samples, whereas CnGAPDH was the least stable. CnRPL, consistently ranking among the top three most stable genes, may therefore serve as an ideal reference gene for qRT-PCR analysis in C. nutans. To further validate the selected reference genes, we assessed the expression of two key biosynthetic genes, CnPAL and CnHMGR. The results confirmed that using the most stable reference genes yielded expression patterns consistent with biological expectations, while using unstable reference genes led to significant deviations. These findings offer valuable insights for accurately quantifying target genes via qRT-PCR in C. nutans, facilitating investigations into the mechanisms underlying active compound accumulation. Full article
(This article belongs to the Special Issue Plant Response to Drought, Heat, and Light Stress)
Show Figures

Figure 1

14 pages, 6354 KB  
Article
Comparative Chloroplast Genomics Reveals Intrageneric Divergence in Salix
by Fulin Yuan, Liwei Zhou, Xueya Wei, Ce Shang and Zhixiang Zhang
Int. J. Mol. Sci. 2025, 26(5), 2248; https://doi.org/10.3390/ijms26052248 - 3 Mar 2025
Cited by 1 | Viewed by 926
Abstract
As the most diverse genus of Salicaceae, Salix is primarily distributed in the temperate zone of the Northern Hemisphere, encompassing 350–500 species worldwide. The genus’s evolutionary history is complex due to significant genetic differentiation. Chloroplast genes, being highly conserved, serve as effective tools [...] Read more.
As the most diverse genus of Salicaceae, Salix is primarily distributed in the temperate zone of the Northern Hemisphere, encompassing 350–500 species worldwide. The genus’s evolutionary history is complex due to significant genetic differentiation. Chloroplast genes, being highly conserved, serve as effective tools for studying uniparental inheritance and evolution. In this study, we sequenced and assembled the chloroplast genomes of five representative Salix species. Phylogenetic relationships were constructed using chloroplast genome data, and structural differences among lineages were compared. These Salix chloroplast genomes exhibited a typical quadripartite structure, with lengths ranging from 154,444 to 155,725 bp. We successfully annotated 131 genes, including 88 protein-coding genes, 35 tRNA genes, and 8 rRNA genes. Clade I showed higher variability in the SSC region, identifying five highly variable regions: petA-psbJ, rps16-rps3, ndhD, ccsA-ndhD, and ndhG-ndhI. Two rapidly evolving genes, ndhI and ycf4, were also identified. The total length of insertions and deletions (InDels) in Clade I was 1046 bp. Clade II exhibited greater variability in the LSC region, with four highly variable regions being identified: trnK-trnQ, ndhC-trnV, trnV, and psdE-petL. Four rapidly evolving genes—infA, rpoC1, rps18, and ycf1—were identified. The total length of InDels in Clade II was 1282 bp. Therefore, this study elucidated the chloroplast genome evolution across different Salix lineages, thereby providing deeper insights into intrageneric phylogenetic relationships. Full article
(This article belongs to the Section Molecular Plant Sciences)
Show Figures

Figure 1

13 pages, 3552 KB  
Article
Humanized L184Q Mutated Surfactant Protein C Gene Alters Alveolar Type 2 Epithelial Cell Fate
by Krishan G. Jain, Yang Liu, Runzhen Zhao, Preeti J. Muire, Jiwang Zhang, Qun Sophia Zang and Hong-Long Ji
Int. J. Mol. Sci. 2024, 25(16), 8723; https://doi.org/10.3390/ijms25168723 - 9 Aug 2024
Cited by 2 | Viewed by 3090
Abstract
Alveolar type 2 epithelial (AT2) cells synthesize surfactant protein C (SPC) and repair an injured alveolar epithelium. A mutated surfactant protein C gene (SftpcL184Q, Gene ID: 6440) in newborns has been associated with respiratory distress syndrome and pulmonary fibrosis. However, [...] Read more.
Alveolar type 2 epithelial (AT2) cells synthesize surfactant protein C (SPC) and repair an injured alveolar epithelium. A mutated surfactant protein C gene (SftpcL184Q, Gene ID: 6440) in newborns has been associated with respiratory distress syndrome and pulmonary fibrosis. However, the underlying mechanisms causing Sftpc gene mutations to regulate AT2 lineage remain unclear. We utilized three-dimensional (3D) feeder-free AT2 organoids in vitro to simulate the alveolar epithelium and compared AT2 lineage characteristics between WT (C57BL/6) and SftpcL184Q mutant mice using colony formation assays, immunofluorescence, flow cytometry, qRT-PCR, and Western blot assays. The AT2 numbers were reduced significantly in SftpcL184Q mice. Organoid numbers and colony-forming efficiency were significantly attenuated in the 3D cultures of primary SftpcL184Q AT2 cells compared to those of WT mice. Podoplanin (PDPN, Alveolar type 1 cell (AT1) marker) expression and transient cell count was significantly increased in SftpcL184Q organoids compared to in the WT mice. The expression levels of CD74, heat shock protein 90 (HSP90), and ribosomal protein S3A1 (RPS3A1) were not significantly different between WT and SftpcL184Q AT2 cells. This study demonstrated that humanized SftpcL184Q mutation regulates AT2 lineage intrinsically. This regulation is independent of CD74, HSP90, and RPS3A1 pathways. Full article
(This article belongs to the Special Issue Organoids and Organs-on-Chip for Medical Research)
Show Figures

Figure 1

26 pages, 15944 KB  
Article
Decoding the Chloroplast Genome of Tetrastigma (Vitaceae): Variations and Phylogenetic Selection Insights
by Junqiao Zhu, Yang Huang, Weiguo Chai and Pengguo Xia
Int. J. Mol. Sci. 2024, 25(15), 8290; https://doi.org/10.3390/ijms25158290 - 29 Jul 2024
Cited by 6 | Viewed by 1630
Abstract
Tetrastigma (Vitaceae) is known for its ornamental, medicinal, and ecological significance. However, the structural and variational characteristics of the Tetrastigma chloroplast genome and their impact on phylogenetic relationships remain underexplored. This study utilized bioinformatics methods to assemble and annotate the chloroplast genomes of [...] Read more.
Tetrastigma (Vitaceae) is known for its ornamental, medicinal, and ecological significance. However, the structural and variational characteristics of the Tetrastigma chloroplast genome and their impact on phylogenetic relationships remain underexplored. This study utilized bioinformatics methods to assemble and annotate the chloroplast genomes of 10 Tetrastigma species and compare them with five previously sequenced species. This study analyzed gene composition, simple sequence repeats, and codon usage patterns, revealing a high A/T content, uniquely identified pentanucleotide repeats in five species and several preferred codons. In addition, comparative analyses were conducted of the chloroplast genomes of 15 Tetrastigma species, examining their structural differences and identifying polymorphic hotspots (rps16, rps16-trnQ, trnS, trnD, psbC-trnS-psbZ, accD-psaI, psbE-petL-petG, etc.) suitable for DNA marker development. Furthermore, phylogenetic and selective pressure analyses were performed based on the chloroplast genomes of these 15 Tetrastigma species, validating and elucidating intra-genus relationships within Tetrastigma. Futhermore, several genes under positive selection, such as atpF and accD, were identified, shedding light on the adaptive evolution of Tetrastigma. Utilizing 40 Vitaceae species, the divergence time of Tetrastigma was estimated, clarifying the evolutionary relationships within Tetrastigma relative to other genera. The analysis revealed diverse divergences of Tetrastigma in the Miocene and Pliocene, with possible ancient divergence events before the Eocene. Furthermore, family-level selective pressure analysis identified key features distinguishing Tetrastigma from other genera, showing a higher degree of purifying selection. This research enriches the chloroplast genome data for Tetrastigma and offers new insights into species identification, phylogenetic analysis, and adaptive evolution, enhancing our understanding of the genetic diversity and evolutionary history of these species. Full article
(This article belongs to the Section Molecular Plant Sciences)
Show Figures

Figure 1

10 pages, 3509 KB  
Article
Simultaneous Detection of Common Founder Mutations Using a Cost-Effective Deep Sequencing Panel
by Sapir Shalom, Mor Hanany, Avital Eilat, Itay Chowers, Tamar Ben-Yosef, Samer Khateb, Eyal Banin and Dror Sharon
Genes 2024, 15(5), 646; https://doi.org/10.3390/genes15050646 - 20 May 2024
Cited by 1 | Viewed by 1740
Abstract
Inherited retinal diseases (IRDs) are a clinically and genetically heterogeneous group of diseases which cause visual loss due to Mendelian mutations in over 250 genes, making genetic diagnosis challenging and time-consuming. Here, we developed a new tool, CDIP (Cost-effective Deep-sequencing IRD Panel) in [...] Read more.
Inherited retinal diseases (IRDs) are a clinically and genetically heterogeneous group of diseases which cause visual loss due to Mendelian mutations in over 250 genes, making genetic diagnosis challenging and time-consuming. Here, we developed a new tool, CDIP (Cost-effective Deep-sequencing IRD Panel) in which a simultaneous sequencing of common mutations is performed. CDIP is based on simultaneous amplification of 47 amplicons harboring common mutations followed by next-generation sequencing (NGS). Following five rounds of calibration of NGS-based steps, CDIP was used in 740 IRD samples. The analysis revealed 151 mutations in 131 index cases. In 54 (7%) of these cases, CDIP identified the genetic cause of disease (the remaining were single-heterozygous recessive mutations). These include a patient that was clinically diagnosed with retinoschisis and found to be homozygous for NR2E3-c.932G>A (p.R311Q), and a patient with RP who is hemizygous for an RPGR variant, c.292C>A (p.H98N), which was not included in the analysis but is located in proximity to one of these mutations. CDIP is a cost-effective deep sequencing panel for simultaneous detection of common founder mutations. This protocol can be implemented for additional populations as well as additional inherited diseases, and mainly in populations with strong founder effects. Full article
(This article belongs to the Special Issue Feature Papers in Human Genomics and Genetic Diseases 2024)
Show Figures

Figure 1

10 pages, 1434 KB  
Article
Effect of Cyclic Adenosine Monophosphate on Connexin 37 Expression in Sheep Cumulus-Oocyte Complexes
by Mengyao Zhao, Gerile Subudeng, Yufen Zhao, Shaoyu Hao and Haijun Li
J. Dev. Biol. 2024, 12(2), 10; https://doi.org/10.3390/jdb12020010 - 27 Mar 2024
Cited by 1 | Viewed by 2559
Abstract
Gap junctional connection (GJC) in the cumulus–oocyte complex (COC) provides necessary support for message communication and nutrient transmission required for mammalian oocyte maturation. Cyclic adenosine monophosphate (cAMP) is not only a prerequisite for regulating oocyte meiosis, but also the key intercellular factor for [...] Read more.
Gap junctional connection (GJC) in the cumulus–oocyte complex (COC) provides necessary support for message communication and nutrient transmission required for mammalian oocyte maturation. Cyclic adenosine monophosphate (cAMP) is not only a prerequisite for regulating oocyte meiosis, but also the key intercellular factor for affecting GJC function in COCs. However, there are no reports on whether cAMP regulates connexin 37 (Cx37) expression, one of the main connexin proteins, in sheep COCs. In this study, the expression of Cx37 protein and gene in immature sheep COC was detected using immunohistochemistry and PCR. Subsequently, the effect of cAMP on Cx37 expression in sheep COCs cultured in a gonadotropin-free culture system for 10 min or 60 min was evaluated using competitive ELISA, real-time fluorescent quantitative PCR (RT-qPCR), and Western blot. The results showed that the Cx37 protein was present in sheep oocytes and cumulus cells; the same results were found with respect to GJA4 gene expression. In the gonadotropin-free culture system, compared to the control, significantly higher levels of cAMP as well as Cx37 gene and protein expression were found in sheep COCs following treatment in vitro with Forskolin and IBMX (100 μM and 500 μM)) for 10 min (p < 0.05). Compared to the controls (at 10 or 60 min), cAMP levels in sheep COCs were significantly elevated as a result of Forskolin and IBMX treatment (p < 0.05). Following culturing in vitro for 10 min or 60 min, Forskolin and IBMX treatment can significantly promote Cx37 expression in sheep COCs (p < 0.05), a phenomenon which can be counteracted when the culture media is supplemented with RP-cAMP, a cAMP-specific competitive inhibitor operating through suppression of the protein kinase A (PKA). In summary, this study reports the preliminary regulatory mechanism of cAMP involved in Cx37 expression for the first time, and provides a novel explanation for the interaction between cAMP and GJC communication during sheep COC culturing in vitro. Full article
(This article belongs to the Special Issue The 10th Anniversary of JDB: Feature Papers)
Show Figures

Figure 1

14 pages, 2181 KB  
Article
Reference Genes Selection and Validation for Cinnamomum burmanni by Real-Time Quantitative Polymerase Chain Reaction
by Lingling Shi, Yanling Cai, Jun Yao, Qian Zhang, Boxiang He and Shanzhi Lin
Int. J. Mol. Sci. 2024, 25(6), 3500; https://doi.org/10.3390/ijms25063500 - 20 Mar 2024
Cited by 5 | Viewed by 1649
Abstract
In recent years, the field of biology has witnessed a surge of interest in genomics research due to the advancements in biotechnology. Gene expression pattern analysis plays a crucial role in this research, as it enables us to understand the regulatory mechanism of [...] Read more.
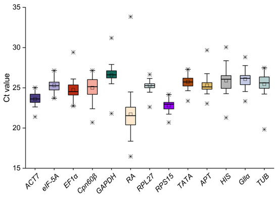
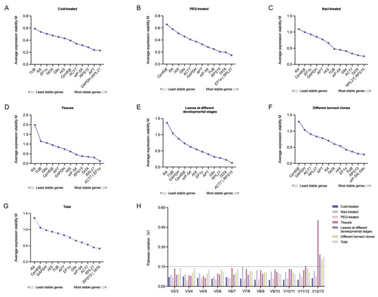
In recent years, the field of biology has witnessed a surge of interest in genomics research due to the advancements in biotechnology. Gene expression pattern analysis plays a crucial role in this research, as it enables us to understand the regulatory mechanism of gene expression and the associated biological processes. Real-time quantitative polymerase chain reaction (q-PCR) is an efficient method to analyze the gene expression patterns, for which accuracy relies on the standardized analysis of reference genes. However, numerous studies have shown that no reference gene is universal in all conditions, so screening a suitable reference gene under certain conditions is of great importance. Cinnamomum burmannii (C. burmannii) is rich in volatile components and has high medicinal and economic value. However, knowledge of the screening of reference genes for the gene expression analysis of C. burmannii is insufficient. Aiming at this problem, we evaluated and screened the reference genes in C. burmannii under different experimental conditions, including different abiotic stresses (Cold-treated, PEG-treated and Nacl-treated), different tissues, leaves at different developmental stages and different chemical types. In this study, different algorithms (∆Ct, geNorm, NormFinder and BestKeeper) were used to evaluate the stability of the candidate reference genes, and RefFinder further merged the output data to screen out the optimum reference gene under various experimental conditions in C. burmannii. The results showed that the optimal reference gene number for gene standardization was 2 under different experimental conditions. RPL27|RPS15 was the most suitable combination under the Nacl-treated and PEG-treated samples. RPL27|APT was the optimum combination under the Cold-treated samples. The optimal combinations of other samples were EF1α|ACT7 for different tissues, eIF-5A|Gllα for different borneol clones in C. burmannii, RPS15|ACT7 for leaves at different developmental stages and RPS15|TATA for all samples. Additionally, two terpenoid synthesis-related genes (CbWRKY4 and CbDXS2) were standardized to verify the feasibility of the selected reference genes under different experimental conditions. This study will be helpful for the subsequent molecular genetic mechanism study of C. burmannii. Full article
(This article belongs to the Section Molecular Biology)
Show Figures

Figure 1

16 pages, 2242 KB  
Article
High-Resolution Mass Spectrometry-Based Metabolomics for Increased Grape Juice Metabolite Coverage
by Sébastien Nicolas, Benjamin Bois, Kevin Billet, Rémy Romanet, Florian Bahut, Jenny Uhl, Philippe Schmitt-Kopplin and Régis D. Gougeon
Foods 2024, 13(1), 54; https://doi.org/10.3390/foods13010054 - 22 Dec 2023
Cited by 2 | Viewed by 3031
Abstract
The composition of the juice from grape berries is at the basis of the definition of technological ripeness before harvest, historically evaluated from global sugar and acid contents. If many studies have contributed to the identification of other primary and secondary metabolites in [...] Read more.
The composition of the juice from grape berries is at the basis of the definition of technological ripeness before harvest, historically evaluated from global sugar and acid contents. If many studies have contributed to the identification of other primary and secondary metabolites in whole berries, deepening knowledge about the chemical composition of the sole flesh of grape berries (i.e., without considering skins and seeds) at harvest is of primary interest when studying the enological potential of widespread grape varieties producing high-added-value wines. Here, we used non-targeted DI-FT-ICR-MS and RP-UHPLC-Q-ToF-MS analyses to explore the extent of metabolite coverage of up to 290 grape juices from four Vitis vinifera grape varieties, namely Chardonnay, Pinot noir, Meunier, and Aligoté, sampled at harvest from 91 vineyards in Europe and Argentina, over three successive vintages. SPE pretreatment of samples led to the identification of more than 4500 detected C,H,O,N,S-containing elemental compositions, likely associated with tens of thousands of distinct metabolites. We further revealed that a major part of this chemical diversity appears to be common to the different juices, as exemplified by Pinot noir and Chardonnay samples. However, it was possible to build significant models for the discrimination of Chardonnay from Pinot noir grape juices, and of Chardonnay from Aligoté grape juices, regardless of the geographical origin or the vintage. Therefore, this metabolomic approach opens access to a remarkable holistic molecular description of the instantaneous composition of such a biological matrix, which is the result of complex interplays among environmental, biochemical, and vine growing practices. Full article
Show Figures

Graphical abstract

Back to TopTop