Sign in to use this feature.

Years

Between: -

Subjects

remove_circle_outline
remove_circle_outline
remove_circle_outline
remove_circle_outline
remove_circle_outline
remove_circle_outline
remove_circle_outline
remove_circle_outline
remove_circle_outline

Journals

remove_circle_outline
remove_circle_outline
remove_circle_outline
remove_circle_outline
remove_circle_outline
remove_circle_outline
remove_circle_outline
remove_circle_outline
remove_circle_outline
remove_circle_outline
remove_circle_outline
remove_circle_outline
remove_circle_outline
remove_circle_outline

Article Types

Countries / Regions

remove_circle_outline
remove_circle_outline
remove_circle_outline
remove_circle_outline
remove_circle_outline
remove_circle_outline
remove_circle_outline

Search Results (1,284)

Search Parameters:
Keywords = C and N fractions

Order results
Result details
Results per page
Select all
Export citation of selected articles as:
23 pages, 9068 KB  
Article
Stratified Nitrogen Application Enhances Subsoil Carbon Sequestration via Enzyme-Mediated Pathways in Straw-Incorporated Croplands of North China Plain
by Bin Wang, Yanqun Wang, Jingyu Li, Rui Hou, Yulong Liu, Xin Fu, Jie Men, Yingchun Li and Zhengping Peng
Agriculture 2025, 15(19), 2098; https://doi.org/10.3390/agriculture15192098 - 9 Oct 2025
Abstract
Nitrogen (N) fertilization critically regulates the storage and availability of soil carbon (C) and N pools. However, the internal mechanism through which stratified N application affects soil organic carbon (SOC) sequestration and soil quality index (SQI) remains unclear. To investigate the effects of [...] Read more.
Nitrogen (N) fertilization critically regulates the storage and availability of soil carbon (C) and N pools. However, the internal mechanism through which stratified N application affects soil organic carbon (SOC) sequestration and soil quality index (SQI) remains unclear. To investigate the effects of stratified N application on C sequestration and SQI in both topsoil and subsoil, this study established six treatments (N0:0, N1:0, N4:1, N3:2, N2:3, N1:4) and analyzed soil biochemical indicators. The results showed that compared to N1:0, stratified N fertilization did not significantly improve soil C and N content in the 0–20 cm layer. In contrast, the N2:3 and N1:4 treatments even led to a significant reduction in soil C and N pools in the topsoil. In the 20–40 cm, compared to N1:0, stratified N fertilization increased SOC, TN, labile C fractions, N fractions (particulate organic N and microbial biomass N), enzyme activity and C pool management index (CPMI), increasing by 0.52–7.94%, 2.05–8.42%, 4.77–42.59%, 14.46–56.01%, 6.34–45.82%, and 31.26–51.93%, respectively. In 0–20 cm, compared to N0:0, N application increased SQI by 24.84–45.77%, and N2:3 and N1:4 treatments were lower SQI than N1:0. Furthermore, N2:3, N3:2, and N1:4 treatments in 20–40 cm were higher than other treatments. N fertilizer application drives the synergistic changes in C and N fractions by regulating enzyme activity and stoichiometric ratio, thus affecting CPMI and SQI. Thus, the 3:2 stratified N fertilization (0–20 cm:20–40 cm) method achieves synergistic dual-layer enhancement-maintaining surface C and N pools while boosting subsoil C sequestration and quality-through enzyme-mediated precision regulation of C/N stoichiometry. The study provides a scientific foundation for integrated C emission reduction and cropland quality enhancement in the North China. Full article
(This article belongs to the Section Agricultural Soils)
Show Figures

Figure 1

21 pages, 5920 KB  
Article
Enhanced CO2 Separation Performance of Mixed Matrix Membranes with Pebax and Amino-Functionalized Carbon Nitride Nanosheets
by Mengran Hua, Qinqin Sun, Na Li, Mingchao Zhu, Yongze Lu, Zhaoxia Hu and Shouwen Chen
Membranes 2025, 15(10), 306; https://doi.org/10.3390/membranes15100306 - 7 Oct 2025
Viewed by 234
Abstract
Highly permeable and selective membranes are crucial for energy-efficient gas separation. Two-dimensional (2D) graphitic carbon nitride (g-C3N4) has attracted significant attention due to its unique structural characteristics, including ultra-thin thickness, inherent surface porosity, and abundant amine groups. However, the [...] Read more.
Highly permeable and selective membranes are crucial for energy-efficient gas separation. Two-dimensional (2D) graphitic carbon nitride (g-C3N4) has attracted significant attention due to its unique structural characteristics, including ultra-thin thickness, inherent surface porosity, and abundant amine groups. However, the interfacial defects caused by poor compatibility between g-C3N4 and polymers deteriorate the separation performance of membrane materials. In this study, amino-functionalized g-C3N4 nanosheets (CN@PEI) was prepared by a post-synthesis method, then blended with the polymer Pebax to fabricate Pebax/CN@PEI mixed matrix membranes (MMMs). Compared to g-C3N4, MMMs with CN@PEI loading of 20 wt% as nanofiller exhibited a CO2 permeance of 241 Barrer as well as the CO2/CH4 and CO2/N2 selectivity of 39.7 and 61.2, respectively, at the feed gas pressure of 2 bar, which approaches the 2008 Robeson upper bound and exceeded the 1991 Robeson upper bound. The Pebax/CN@PEI (20) membrane showed robust stability performance over 70 h continuous gas permeability testing, and no significant decline was observed. SEM characterization revealed a uniform dispersion of CN@PEI throughout the Pebax matrix, demonstrating excellent interfacial compatibility between the components. The increased free volume fraction, enhanced solubility, and higher diffusion coefficient demonstrated that the incorporation of CN@PEI nanosheets introduced more CO2-philic amino groups and disrupted the chain packing of the Pebax matrix, thereby creating additional diffusion channels and facilitating CO2 transport. Full article
(This article belongs to the Special Issue Novel Membranes for Carbon Capture and Conversion)
Show Figures

Figure 1

16 pages, 330 KB  
Article
New Existence of Multiple Solutions for Fractional Kirchhoff Equations with Logarithmic Nonlinearity
by Yuan Gao, Lishan Liu, Na Wei, Haibo Gu and Yonghong Wu
Fractal Fract. 2025, 9(10), 646; https://doi.org/10.3390/fractalfract9100646 - 4 Oct 2025
Viewed by 166
Abstract
By using the Ekeland variational principle and Nehari manifold, we study the following fractional p-Laplacian Kirchhoff equations: [...] Read more.
By using the Ekeland variational principle and Nehari manifold, we study the following fractional p-Laplacian Kirchhoff equations: M[u]s,pp+RNV(x)|u|pdx[(Δ)psu+V(x)|u|p2u]=λ|u|q2uln|u|,xRN,(P). In these equations, λR{0},p(1,+), s(0,1),sp<N,ps*=NpNsp, M(τ)=a+bτθ1, a,bR+,1<θ<ps*p, V(x)C(RN,R) is a potential function and (Δ)ps is the fractional p-Laplacian operator. The existence of solutions is deeply influenced by the positive and negative signs of λ. More precisely, (i) Equation (P) has one ground state solution for λ>0 and pθ<q<ps*, with a positive corresponding energy value; and (ii) Equation (P) has at least two nontrivial solutions for λ<0 and p<q<ps*, with positive and negative corresponding energy values, respectively. Full article
(This article belongs to the Special Issue Advances in Fractional Initial and Boundary Value Problems)
16 pages, 6351 KB  
Article
The Role of La–Ti–Al–O Complex Inclusions in Microstructure Refinement and Toughness Enhancement of the Coarse-Grained Heat-Affected Zone in High-Heat-Input Welding
by Qiuming Wang, Jiangli He, Qingfeng Wang and Riping Liu
Metals 2025, 15(10), 1105; https://doi.org/10.3390/met15101105 - 3 Oct 2025
Viewed by 186
Abstract
The low-temperature impact properties of high-heat-input steels, particularly low-carbon Nb–Ti steel, are significantly influenced by the coarse-grained heat-affected zone (CGHAZ) in welded joints. The microstructure predominantly consists of granular bainitic ferrite (GBF), ferrite side plate (FSP), degenerate pearlite (DP), coarse plate-like ferrite (PF), [...] Read more.
The low-temperature impact properties of high-heat-input steels, particularly low-carbon Nb–Ti steel, are significantly influenced by the coarse-grained heat-affected zone (CGHAZ) in welded joints. The microstructure predominantly consists of granular bainitic ferrite (GBF), ferrite side plate (FSP), degenerate pearlite (DP), coarse plate-like ferrite (PF), and limited acicular ferrite (AF). This study investigates the effect of lanthanum (La) addition to Nb–Ti steel, leading to the formation of composite inclusions with a LaAlO3·TiN core surrounded by MnS/MnC precipitates. Unlike conventional Al2O3·MnS inclusions in Nb–Ti steel, these La-modified inclusions promote enhanced AF nucleation. This not only refines prior austenite grains but also reduces detrimental microstructural constituents such as GBF and FSP. As a result, the impact energy at −40 °C significantly improves from 23 J (Nb–Ti steel) to 137 J (Nb–Ti–La steel). Moreover, the inclusions exhibit an increase in size but a decrease in number density. The Nb–Ti–La variant demonstrates a higher AF volume fraction and increased AF density within the CGHAZ. The refined grain structure, along with an increased proportion of high-angle grain boundaries, effectively impedes secondary crack propagation. These microstructural modifications contribute to a substantial improvement in the low-temperature impact toughness of welded joints. Full article
Show Figures

Figure 1

19 pages, 2024 KB  
Article
Immunoglobulin G Subclass-Specific Glycosylation Changes in Rheumatoid Arthritis
by Dániel Szabó, Balázs Gyebrovszki, Eszter Szarka, Felícia Auer, Bernadette Rojkovich, György Nagy, András Telekes, Károly Vékey, László Drahos, András Ács and Gabriella Sármay
Int. J. Mol. Sci. 2025, 26(19), 9626; https://doi.org/10.3390/ijms26199626 - 2 Oct 2025
Viewed by 247
Abstract
Rheumatoid arthritis (RA) is the most common inflammatory polyarthritis. In addition, 60–80% of patients express anti-citrullinated protein antibodies (ACPAs), which serve as a diagnostic marker for RA. The effector functions of these autoantibodies can be heavily affected by the N-glycosylation of their Fc [...] Read more.
Rheumatoid arthritis (RA) is the most common inflammatory polyarthritis. In addition, 60–80% of patients express anti-citrullinated protein antibodies (ACPAs), which serve as a diagnostic marker for RA. The effector functions of these autoantibodies can be heavily affected by the N-glycosylation of their Fc region. Here we present a comparison of the Fc N-glycosylation of ACPA IgG to that of non-ACPA IgG from the same patients, and of healthy controls, in an IgG isoform-specific manner. We isolated ACPA and normal serum IgG, digested by trypsin, and separated the resulting peptide mixture by a reversed-phase nanoLC coupled to a Bruker Maxis II Q-TOF, and determined the relative abundance of glycoforms. The paired analysis of galactosylation and sialylation of the IgG subclasses of ACPA and non-ACPA IgG has shown a significant, moderate negative correlation with the inflammatory markers, the level of C-reactive protein (CRP) and erythrocyte sedimentation rate (ESR), as well as with rheuma-factor (RF), but not with the disease activity score (DAS) or cyclic citrullinated peptide specific antibodies (anti-CCP). However, we detected a significant negative correlation between glycosylation and DAS in the non-ACPA IgG fractions. Furthermore, the isoform-specific analysis revealed additional insight into the changes of the glycosylation features of IgG in RA: changes in the frequencies of the bisecting GlcNAc unit between sample groups could be explained by only the IgG1 isoform; while invariance in fucosylation is the result of the superposition of two isoforms with opposite changes. These results highlight the importance of analyzing immunoglobulin glycosylation in an isoform-specific manner. Full article
Show Figures

Figure 1

13 pages, 4432 KB  
Article
Synthesis and Properties Study of Liquid Crystalline Epoxy Resin Containing Azomethine-Based Monomeric Mesogens
by Junjie Huang, Hongmei Pan, Deliang Le, Zengxin Ouyang and Kemei Pei
Polymers 2025, 17(19), 2632; https://doi.org/10.3390/polym17192632 - 29 Sep 2025
Viewed by 238
Abstract
The epoxy monomer N,1-bis(4-(2-oxiranemethoxy)phenyl)methylamine (HBAP-EP) was synthesized through the Schiff base reaction and epichlorohydrin method, and the HBAP-EP monomer was cured using p-aminobenzene sulfonamide (SAA). Differential scanning calorimetry (DSC), X-ray diffraction (XRD), and polarizing optical microscopy (POM) demonstrated that the epoxy monomer exhibits [...] Read more.
The epoxy monomer N,1-bis(4-(2-oxiranemethoxy)phenyl)methylamine (HBAP-EP) was synthesized through the Schiff base reaction and epichlorohydrin method, and the HBAP-EP monomer was cured using p-aminobenzene sulfonamide (SAA). Differential scanning calorimetry (DSC), X-ray diffraction (XRD), and polarizing optical microscopy (POM) demonstrated that the epoxy monomer exhibits reversible liquid crystal properties, and the liquid crystal fraction of the monomer can reach 14.4% after curing at 120 °C. The fracture toughness of the resin cured at 120 °C can reach 0.93 KJ·m−2, and its thermal conductivity is 0.3229 W·(m·K)−1, both of which are higher than those of ordinary epoxy resin. Full article
(This article belongs to the Special Issue Synthesis and Application of Epoxy-Based Polymeric Materials)
Show Figures

Figure 1

23 pages, 1473 KB  
Article
Optimized Biogas Yield and Safe Digestate Valorization Through Intensified Anaerobic Digestion of Invasive Plant Biomass
by Zaineb Dhaouefi, Salma Taktek, François Bélanger, Pauline Fortin, Julie Charbonneau, Sébastien Lange and Habib Horchani
Energies 2025, 18(19), 5151; https://doi.org/10.3390/en18195151 - 28 Sep 2025
Viewed by 365
Abstract
Anaerobic digestion (AD) is an environmentally sustainable approach for managing invasive plants species, mitigating pollution, and generating renewable energy. However, the complex structure of these biomasses limits their biodegradability and necessitates pretreatment to enhance methane production. This study explored the biotransformation of two [...] Read more.
Anaerobic digestion (AD) is an environmentally sustainable approach for managing invasive plants species, mitigating pollution, and generating renewable energy. However, the complex structure of these biomasses limits their biodegradability and necessitates pretreatment to enhance methane production. This study explored the biotransformation of two invasive species, Reynoutria japonica and Phragmites australis, harvested across diverse phenological stages. Bioprocess intensification was achieved through a single-stage process using a hydrolytic–methanogenic consortium under thermophilic conditions (55 °C, 25 days). The impact of harvest timing distinct plant fractions (shoot vs. root) on biogas production was meticulously evaluated. Results revealed progressive biogas production. Notably, winter-harvested shoot fractions exhibited the highest methane-rich biogas, achieving 551.12 ± 33.07 mL/g VS for Reynoutria and 401.42 ± 24.09 mL/g VS for Phragmites. The resulting digestate demonstrates a rich composition of essential macronutrients (N-P-K) vital for plant growth, highlighting its potential as a valuable biofertilizer. Significantly, complete inhibition of seed germination was observed, confirming the process’s efficacy in preventing the further propagation of invasive species. This research underscores that thermophilic anaerobic digestion, coupled with hydrolytic treatment, is a significant advancement in the valorization of invasive biomasses, contributing to both renewable energy production and ecological recovery. Full article
Show Figures

Figure 1

17 pages, 1051 KB  
Article
Effects of Freeze-Dried Sake Lees and Rice Koji Extract on Osteoporosis in a Postmenopausal Mouse Model
by Jorge Sáez-Chandía, Stephanny Castillo-Quispe, Keiichiro Okamoto, Atsushi Kurahashi, Kazuya Kodaira, Kotaro Aihara, Kiyoko Suzuki-Barrera, Masaru Kaku, Yoshikazu Mikami, Miho Terunuma, Kensuke Yamamura, Takafumi Hayashi, Makio Saeki and Yoshito Kakihara
Nutrients 2025, 17(19), 3077; https://doi.org/10.3390/nu17193077 - 27 Sep 2025
Viewed by 445
Abstract
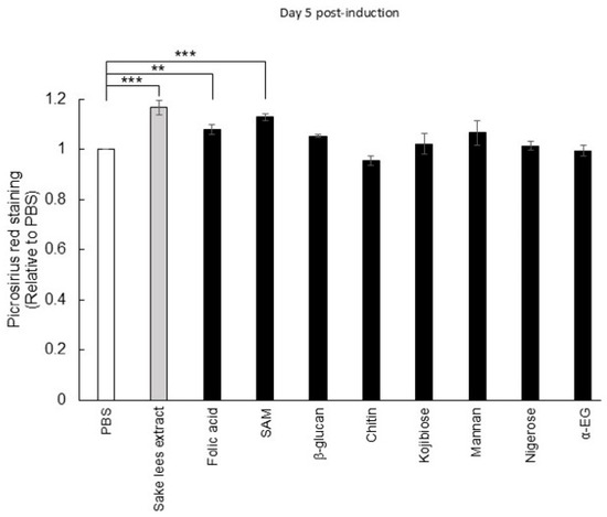
Background/Objectives: With the aging of the population, the number of patients with osteoporosis is increasing worldwide. Osteoporosis results from an imbalance in bone remodeling by osteoblasts and osteoclasts. This study investigated the effects of sake lees and rice koji, traditional Japanese rice-fermented products, [...] Read more.
Background/Objectives: With the aging of the population, the number of patients with osteoporosis is increasing worldwide. Osteoporosis results from an imbalance in bone remodeling by osteoblasts and osteoclasts. This study investigated the effects of sake lees and rice koji, traditional Japanese rice-fermented products, on bone metabolism. Methods: Both sake lees extract and rice koji extract increased alkaline phosphatase (ALP) activity, extracellular collagen accumulation, and mineralization of MC3T3-E1 cells. In addition, the intracellular protein levels of Hsp47 and Sec23IP, which are required for collagen maturation and secretion, respectively, were increased during the differentiation. On the other hand, both extracts significantly inhibited osteoclastic differentiation. Furthermore, the effects of freeze-dried sake lees or rice koji extract on osteoporotic bones were examined using twelve-week-old female C3H/HeJ ovariectomized (OVX) mice. Results: The groups of mice fed 20% or 40% freeze-dried sake lees showed significant suppression of the loss in bone volume fraction (BV/TV) and trabecular volume (Tb.V) compared with those fed a normal diet as well as the 40% freeze-dried sake lees-fed group reduced in the loss of trabecular thickness (Tb.Th). Similarly, the rice koji extract-treated mice showed significant inhibition of the loss in BV/TV, Tb.V, and even trabecular number (Tb.N.). Folic acid and S-adenosylmethionine (SAM), which have been reported to be present in sake lees, promoted extracellular collagen production by osteoblasts. Conclusions: In OVX mice, the intake of freeze-dried sake lees or rice koji extract was associated with the attenuation of trabecular bone loss, suggesting potential beneficial effects on bone metabolism. Full article
(This article belongs to the Special Issue Bone-Health-Promoting Bioactive Nutrition)
Show Figures

Graphical abstract

27 pages, 3728 KB  
Article
Soil Aggregate Stability Under Freeze–Thaw Cycles in Mollisols as Evidenced by 15N Distribution
by Yao Wang, Meng Zhou, Xiaoguang Jiao, Liangqian Ma, He Yu, Yimin Chen and Yueyu Sui
Agronomy 2025, 15(10), 2263; https://doi.org/10.3390/agronomy15102263 - 24 Sep 2025
Viewed by 503
Abstract
Freeze–thaw cycles (FTCs) influence soil nitrogen (N) dynamics and soil aggregate stability. However, the driving mechanism affecting aggregate stability from the combined perspective of N components and N distribution by 15N tracing technology in both bulk soils and soil aggregates remains worth [...] Read more.
Freeze–thaw cycles (FTCs) influence soil nitrogen (N) dynamics and soil aggregate stability. However, the driving mechanism affecting aggregate stability from the combined perspective of N components and N distribution by 15N tracing technology in both bulk soils and soil aggregates remains worth exploring. This study took the farmland Mollisols in Hailun City, Heilongjiang Province, as the research object, and investigated the variations in soil N components and aggregate stability across five freeze–thaw frequencies (1, 3, 5, 9, and 17 cycles) under three freeze–thaw temperatures (−9 °C/5 °C, −18 °C/5 °C, and −26 °C/5 °C) using 15N tracing technology. The results demonstrated that freeze–thaw frequency and temperature both influenced aggregate stability. Specifically, with the increase in freeze–thaw frequency, soil aggregate stability was reduced through decreasing the proportion of macroaggregates (2–0.25 mm), increasing the proportion of silt + clay fractions (<0.053 mm), and reducing the total N (TN) content of silt + clay fractions under higher freezing temperature (−9 °C/5 °C). In contrast, for lower freezing temperature (−18 °C/5 °C and −26 °C/5 °C), the increased freeze–thaw frequency enhances soil aggregate stability by decreasing the proportion of silt + clay fractions, increasing the proportion of microaggregates (0.25–0.053 mm), and reducing the TN contents of microaggregates and silt + clay fractions. These findings are essential for developing strategies to mitigate the adverse effects of FTCs on soil quality and ecosystem functions in cold regions. Full article
(This article belongs to the Special Issue Nitrogen Cycle in Agro-Ecosystems)
Show Figures

Figure 1

25 pages, 47559 KB  
Article
Dynamics and Driving Factors of Soil Carbon Fractions in Corethrodendron scoparium (Fisch. & C. A. Mey.) Fisch. & Basiner. Sand-Fixing Plantations at the South Edge of Tengger Desert, Northwestern China
by Linqi Shi, Quanlin Ma, Rui Ma, Linyuan Wei, Fang Cheng, Guohong Wu, Runjuan Wang and Qian Wei
Forests 2025, 16(9), 1499; https://doi.org/10.3390/f16091499 - 22 Sep 2025
Viewed by 246
Abstract
Establishing artificial sand-fixing plantations is a key strategy for combating land desertification and enhancing soil carbon sequestration in arid regions. To evaluate the effects of Corethrodendron scoparium (Fisch. & C. A. Mey.) Fisch. & Basiner. plantations on soil carbon storage along the southern [...] Read more.
Establishing artificial sand-fixing plantations is a key strategy for combating land desertification and enhancing soil carbon sequestration in arid regions. To evaluate the effects of Corethrodendron scoparium (Fisch. & C. A. Mey.) Fisch. & Basiner. plantations on soil carbon storage along the southern edge of the Tengger Desert, a systematic investigation of the 0–100 cm soil profile was conducted, using mobile sand dunes as the control (CK). The study analyzed dynamic changes in soil carbon fractions and their driving factors during the succession of C. scoparium plantations. After 40 years of vegetation restoration, total soil carbon, soil inorganic carbon (SIC), and soil organic carbon (SOC) contents increased by 0.87-, 0.77-, and 1.27-fold, respectively, while the Carbon Pool Management Index improved by 1.40-fold. Following 10 years of restoration, SIC content, as well as the ratios of particulate organic carbon/SOC, inert organic carbon (IOC)/SOC, and heavy-fraction organic carbon/SOC, increased with soil depth. In contrast, SOC content, the absolute amounts of SOC fractions, and the ratios of dissolved organic carbon/SOC, easily oxidizable organic carbon/SOC, light-fraction organic carbon/SOC, and mineral-associated organic carbon (MAOC)/SOC all showed decreasing trends with depth. Overall, C. scoparium plantations enhanced the contents of both labile and stable SOC fractions. The proportions of IOC and MAOC within SOC rose from 52.21% and 34.19% to 60.96% and 45.51%, respectively, indicating greater stability of the soil carbon pool. Structural equation modeling and redundancy analysis revealed that soil pH, bulk density, and soil water content were significantly negatively correlated with carbon fractions, whereas total nitrogen, vegetation cover, C/N ratio, electrical conductivity, available phosphorus, and alkali-hydrolyzable nitrogen were identified as the main drivers of carbon fraction variation. Full article
(This article belongs to the Special Issue The Role of Forests in Carbon Cycles, Sequestration, and Storage)
Show Figures

Figure 1

14 pages, 2438 KB  
Article
Anti-Atrophic Effects of Dichotomine B from Stellaria dichotoma During Starvation-Induced Skeletal Muscle Atrophy
by Jae-Yong Kim, Uttapol Permpoon, Ju-hee Lee, Ji Hoon Kim, Hye Mi Kim, Je-Seung Jeon, Tae-gyu Nam and Chul Young Kim
Molecules 2025, 30(18), 3839; https://doi.org/10.3390/molecules30183839 - 22 Sep 2025
Viewed by 330
Abstract
Muscle atrophy is defined as reductions in muscle size and function and represents a critical concern affecting elderly populations, immobilized patients, and individuals following specific dietary regimens, such as fasting and low-protein diets. This study investigated the protective effects of Stellaria dichotoma root [...] Read more.
Muscle atrophy is defined as reductions in muscle size and function and represents a critical concern affecting elderly populations, immobilized patients, and individuals following specific dietary regimens, such as fasting and low-protein diets. This study investigated the protective effects of Stellaria dichotoma root extract and its isolated bioactive compounds during muscle atrophy using both in vitro and in vivo experimental models. First, S. dichotoma root extract prevented dexamethasone (DEX)-induced atrophy in C2C12 myotubes. Through systematic solvent partitioning and resin chromatography, five compounds (15) were successfully isolated from the n-butanol fraction. Dichotomine B (2) was identified as the most abundant and bioactive constituent. Treatment with dichotomine B significantly preserved the myotube diameter, enhanced the fusion index, and maintained the myosin heavy chain protein level while suppressing key atrophic biomarkers, including FoxO3a, MuRF-1, and Atrogin-1, in DEX-treated myotubes. Furthermore, dichotomine B (2) reduced proteolysis in serum-free cultured C2C12 myotubes and in mice subjected to 48 h of fasting, preserving muscle mass and strength. These findings suggest that S. dichotoma root extract and its principal compound, dichotomine B (2), have promising therapeutic potential and provide an opportunity to develop novel pharmacological interventions against muscle wasting through suppression of proteolysis pathways. Full article
Show Figures

Figure 1

14 pages, 699 KB  
Article
Determination of Nonylphenol in Crude Oils and Petroleum Products by Liquid Chromatography–Mass Spectrometry: Implications for Sustainable Petroleum Refining
by Limin Wang, Shijie Zhang, Zi Long, Feng Ju, Huajun Zhen, Hui Luan, Guangli Xiu and Zhihe Tang
Sustainability 2025, 17(18), 8485; https://doi.org/10.3390/su17188485 - 22 Sep 2025
Viewed by 284
Abstract
Nonylphenols (NPs), widely used as emulsifiers in petroleum production and refining, are compounds of environmental concern, with endocrine-disrupting effects. They can be released during oil extraction and processing, carried into petroleum products, and subsequently emitted during downstream applications such as combustion. Despite these [...] Read more.
Nonylphenols (NPs), widely used as emulsifiers in petroleum production and refining, are compounds of environmental concern, with endocrine-disrupting effects. They can be released during oil extraction and processing, carried into petroleum products, and subsequently emitted during downstream applications such as combustion. Despite these potential pathways, information on their occurrence in petroleum streams remains limited, partly due to the lack of reliable methods for measuring NPs in complex petroleum matrices. In this study, we developed an analytical method combining normal-phase chromatography (NPC), solid-phase extraction (SPE), and liquid chromatography–Orbitrap high-resolution mass spectrometry (LC–Orbitrap-HRMS) for NP determination in crude oils and petroleum products. NPC was performed using alumina (5% water deactivation) as the stationary phase. The column was eluted sequentially with n-hexane, n-hexane/dichloromethane (4:1 and 1:1, v/v), dichloromethane, and dichloromethane/methanol (2:1, v/v). The first three fractions were discarded, and the remaining two fractions were combined and further purified using a C18 SPE cartridge to analysis. The method showed high recovery (82.8 ± 2.6%) and a low detection limit (1.0 ng/g) in crude oil. Application revealed widespread occurrence of NPs, with concentrations up to 784.4 ng/g in crude oils and up to 439.1 ng/g in refined fuels, indicating that these compounds can persist through refining and may be released during downstream use. These results demonstrate that the method is suitable for the routine monitoring of NPs in petroleum-related samples and provide a practical tool for supporting sustainable refining practices and improved environmental management in the upstream oil and gas sector. Full article
Show Figures

Figure 1

24 pages, 2271 KB  
Article
Co-Ridge Planting Enhances Yield Advantages of Maize Intercropping with Peanut by Improving Soil Aggregate Stability and the Ecological Stoichiometric Characteristics of Carbon, Nitrogen, and Phosphorus
by Zhiman Zan, Rentian Ma, Jiangtao Wang, Ling Liu, Tangyuan Ning and Nianyuan Jiao
Agronomy 2025, 15(9), 2227; https://doi.org/10.3390/agronomy15092227 - 20 Sep 2025
Viewed by 301
Abstract
Long-term maize (Zea mays L.) intercropping with peanut (Arachis hypogaea L.) (M||P) improves soil aggregate stability and phosphorus (P) availability, sustaining farmland productivity. In contrast, co-ridge planting (R-M||P) further enhances yield. However, the relationship between yield increase and improvements in soil [...] Read more.
Long-term maize (Zea mays L.) intercropping with peanut (Arachis hypogaea L.) (M||P) improves soil aggregate stability and phosphorus (P) availability, sustaining farmland productivity. In contrast, co-ridge planting (R-M||P) further enhances yield. However, the relationship between yield increase and improvements in soil aggregate stability and ecological stoichiometric characteristics under R-M||P remains unclear. Therefore, this study examined the effects of R-M||P on aggregate fractions and stability, bulk density (BD), porosity (Pt), soil organic carbon (SOC), total nitrogen (TN), available phosphorus (AP), total phosphorus (TP), and inorganic phosphorus, along with the ecological stoichiometric characteristics of C, N, and P. R-M||P substantially increased the proportion of topsoil macroaggregates, both mechanically stable (>0.5 mm) and water-stable (>1 mm), compared with flat planting. Additionally, it enhanced WR0.25 and mean weight diameter, substantially reduced BD, and increased Pt. Furthermore, R-M||P significantly increased the concentrations of SOC, TN, TP, AP, Ca2-P, Ca8-P, Al-P, and Fe-P. It also enhanced the contribution rates of SOC, TN, TP, and AP in macroaggregates, leading to increased storage of carbon (SCS), nitrogen (SNS), and phosphorus (SPS). R-M||P significantly elevated C:N and C:P ratios. Phosphorus application increased SOC and nutrient concentrations, positively regulated C:N, and enhanced C, N, and P storage. However, it negatively influenced C:P and N:P ratios. SOC and AP were the main driving factors affecting the intercropping advantage, with explanatory rates of 33.2% and 22.7%, respectively, under R-M||P. These findings suggest that R-M||P combined with P application enhances yield by promoting aggregate stability, increasing the concentrations and storage of C, N, and P, and establishing a new ecological stoichiometric balance. Full article
(This article belongs to the Section Innovative Cropping Systems)
Show Figures

Figure 1

8 pages, 3763 KB  
Case Report
Robotic-Assisted Total Pelvic Exenteration for Rectal Cancer Using the Hugo™ RAS System: First Case Report
by Kosuke Hiramatsu, Shigeo Toda, Shuichiro Matoba, Daisuke Tomita, Yusuke Maeda, Naoto Okazaki, Yudai Fukui, Yutaka Hanaoka, Masashi Ueno, Suguru Oka, Tomoaki Eguchi and Hiroya Kuroyanagi
J. Clin. Med. 2025, 14(18), 6603; https://doi.org/10.3390/jcm14186603 - 19 Sep 2025
Viewed by 395
Abstract
Introduction: Total pelvic exenteration (TPE) is a radical procedure for advanced pelvic malignancies involving adjacent organs. The Hugo™ RAS System is a novel robotic platform, but its application in TPE has not previously been reported. We describe the first case of robotic-assisted [...] Read more.
Introduction: Total pelvic exenteration (TPE) is a radical procedure for advanced pelvic malignancies involving adjacent organs. The Hugo™ RAS System is a novel robotic platform, but its application in TPE has not previously been reported. We describe the first case of robotic-assisted TPE using Hugo™ RAS in a patient with locally advanced rectal cancer invading the prostate. Methods: A 69-year-old male with mucous and bloody stools was diagnosed with cT4b (prostate, levator ani muscle) N0M0 rectal cancer. After short-course radiotherapy (25 Gy/5 fractions), robotic-assisted TPE was performed. Port placement was planned to coincide with future colostomy and urostomy sites to minimize abdominal wall trauma. En bloc resection was achieved, followed by pelvic reconstruction with a gluteus maximus musculocutaneous flap and fascia lata autograft. Urinary diversion was completed with a robotic intracorporeal Wallace-type ileal conduit. Results: The operation lasted 17 h 56 min, with 175 mL blood loss. Postoperatively, Clavien–Dindo grade IIIa paralytic ileus occurred but was managed conservatively. Pathology revealed pT4b (prostate) N1a M0 disease with negative circumferential margin (11 mm). No recurrence was observed at 9 months. Conclusions: This case highlights the technical feasibility and safety of Hugo™ RAS-assisted TPE. Further clinical experience is needed to confirm reproducibility and oncologic safety. Full article
Show Figures

Figure 1

11 pages, 2575 KB  
Article
The Tribological Properties of the CoCrFeNiMn High-Entropy Alloy Matrix Composites with Solid Lubrication
by Zhiming Guo, Xiaoyan Ren, Jingdan Li and Guowei Zhang
Coatings 2025, 15(9), 1098; https://doi.org/10.3390/coatings15091098 - 19 Sep 2025
Viewed by 316
Abstract
CoCrFeNiMn HEA-based composites with Cr3C2, 15% Ag, and different mass fractions of CaF2/BaF2 eutectic fluoride were fabricated by spark plasma sintering. The tribological properties and wear mechanism of the composites were investigated from RT to 800 [...] Read more.
CoCrFeNiMn HEA-based composites with Cr3C2, 15% Ag, and different mass fractions of CaF2/BaF2 eutectic fluoride were fabricated by spark plasma sintering. The tribological properties and wear mechanism of the composites were investigated from RT to 800 °C. The friction coefficients of CoCrFeNiMn-Cr3C2-Ag-CaF2/BaF2 composites decrease from RT to 800 °C except for 400 °C. At 800 °C, with the increasing mass fraction of the eutectic fluoride, the friction coefficient of the composite decreases from 0.53 to 0.25. The wear rates of the composite with 15% CaF2/BaF2 eutectic fluoride decrease significantly at high temperatures. The CoCrFeNiMn-Cr3C2-Ag-15%CaF2/BaF2 composite exhibits the lowest wear rates at 400 °C, 600 °C, and 800 °C, which are 4.47 × 10−6 mm3/N·m, 5.15 × 10−6 mm3/N·m, and 2.42 × 10−6 mm3/N·m, respectively. At low temperatures, the tribological mechanisms of the composites are micro-plowing and micro-cutting, and Ag is formed as a lubricating film to reduce the friction coefficient. At high temperature, fluorides form a transfer film on the wear scar surface, providing a lubricating effect. Also, the oxide layers and chromate are formed on the worn surfaces of the composites, which are beneficial for improving the wear resistance. Based on the mechanical properties and tribological behavior, the CoCrFeNiMn-Cr3C2-Ag-15%CaF2/BaF2 composite demonstrates the best comprehensive properties. Full article
(This article belongs to the Special Issue Microstructure and Corrosion Behavior of High-Entropy Coatings)
Show Figures

Figure 1

Back to TopTop