The Tribological Properties of the CoCrFeNiMn High-Entropy Alloy Matrix Composites with Solid Lubrication
Abstract
1. Introduction
2. Materials and Methods
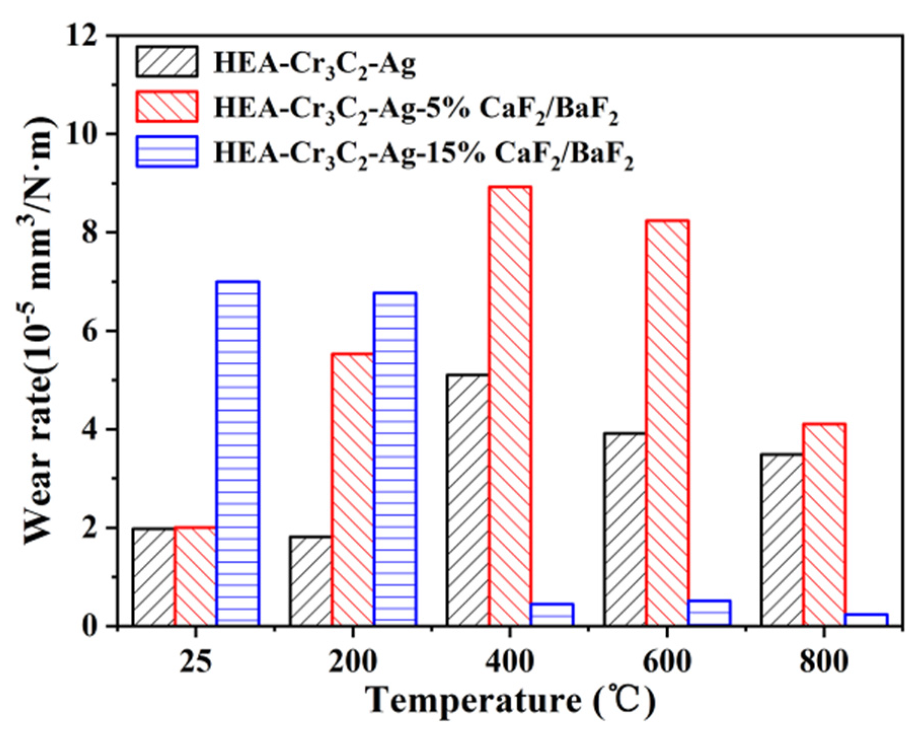
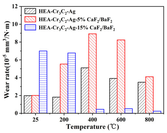
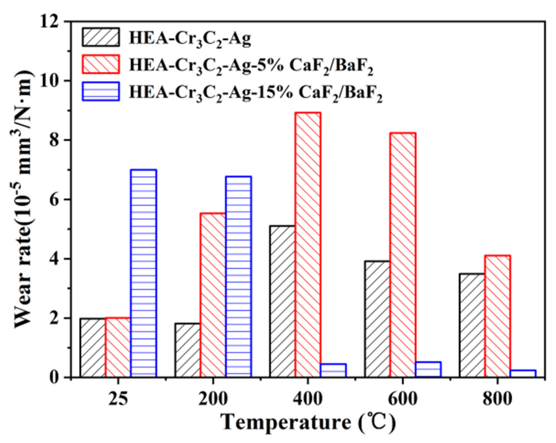
3. Results and Discussion
4. Conclusions
Author Contributions
Funding
Data Availability Statement
Conflicts of Interest
References
- Ye, W.; Shi, Y.; Zhou, Q.; Xie, M.; Wang, H.; Bou-Sad, B.; Liu, W. Recent advances in self-lubricating metal matrix nanocomposites reinforced by carbonous materials: A review. Nano Mater. Sci. 2024, 6, 701–713. [Google Scholar] [CrossRef]
- John, M.; Menezes, P.L. Self-Lubricating Materials for Extreme Condition Applications. Materials 2021, 14, 5588. [Google Scholar] [CrossRef] [PubMed]
- Kumar, R.; Hussainova, I.; Rahmani, R.; Antonov, M. Solid Lubrication at High-Temperatures—A Review. Materials 2022, 15, 1695. [Google Scholar] [CrossRef]
- Blanchet, T.; Kim, J.H.; Calabrese, S.J.; Dellacorte, C. Thrust-washer evaluation of self-lubricating PS304 composite coatings in high temperature sliding contact. Tribol. Trans. 2002, 45, 491–498. [Google Scholar] [CrossRef]
- Ding, C.H.; Li, P.L.; Ran, G.; Tian, Y.W.; Zhou, J.N. Tribological property of self-lubricating PM304 composite. Wear 2007, 262, 575–581. [Google Scholar] [CrossRef]
- Ding, C.H.; Li, P.L.; Zhou, J.N.; Ding, B.J. Tribological property of high temperature-resistant Selflubricating PM304 composite. Rare Met. Mater. Eng. 2007, 36, 1200–1204. [Google Scholar]
- Wang, D.; Tan, H.; Chen, W.; Zhu, S.; Cheng, J.; Yang, J. Tribological behavior of Ni3Al–Ag based self-lubricating alloy with Ag2MoO4 formed by high temperature tribo-chemical reaction. Tribol. Int. 2020, 153, 106659. [Google Scholar] [CrossRef]
- Shi, X.; Zhai, W.; Wang, M.; Xu, Z.; Yao, J.; Song, S.; Wang, Y. Tribological behaviors of NiAl based self-lubricating composites containing different solid lubricants at elevated temperatures. Wear 2014, 310, 1–11. [Google Scholar] [CrossRef]
- Zhu, S.; Cheng, J.; Qiao, Z.; Tian, Y.; Yang, J. High Temperature Lubricating Behavior of NiAl Matrix Composites with Addition of CuO. J. Tribol. 2016, 138, 031607. [Google Scholar] [CrossRef]
- Zhu, X.; Wei, X.; Huang, Y.; Wang, F.; Yan, P. High-Temperature Friction and Wear Properties of NiCr/hBN Self-Lubricating Composites. Metals 2019, 9, 356. [Google Scholar] [CrossRef]
- Niu, M.; Bi, Q.; Zhu, S.; Yang, J.; Liu, W. Microstructure, phase transition and tribological performances of Ni3Si-based selflubricating composite coatings. J. Alloys Compd. 2013, 555, 367–374. [Google Scholar] [CrossRef]
- Yeh, J.W.; Chen, S.K.; Lin, S.J.; Gan, J.Y.; Chin, T.S.; Shun, T.T.; Tsau, C.H.; Chang, S.Y. Nanostructured high-entropy alloys with multiple principal elements: Novel alloy design concepts and outcomes. Adv. Eng. Mater. 2004, 6, 299–303. [Google Scholar] [CrossRef]
- Zhao, R.; Cao, Y.; He, J.; Chen, J.; Liu, S.; Yang, Z.; Lin, J.; Chang, C. Microstructure and Mechanical Properties of TixNbMoTaW Refractory High-Entropy Alloy for Bolt Coating Applications. Coatings 2025, 15, 120. [Google Scholar] [CrossRef]
- Zhao, W.; Ma, Q.; Du, B.; Zhang, H.; Lv, Y.; Liu, S.; Rao, W. Effect of in-situ formed multi-carbides on the microstructure and wear resistance of AlCoCrFeNi-based high entropy alloy laser cladded coatings. Mater. Charact. 2025, 223, 114918. [Google Scholar] [CrossRef]
- Woczewski, M.; Jasiewicz, K.; Jenczyk, P.; Gadalińska, E.; Kulikowski, K.; Zhang, Y.; Li, R.X.; Jarzabek, D.M. AlCoCrFeNiTi0.2 High-Entropy Alloy Under Plasma Nitriding: Complex Microstructure Transformation, Mechanical and Tribological Enhancement. Metall. Mater. Trans. A 2025, 56, 2040–2056. [Google Scholar] [CrossRef]
- Chen, M.; Zhang, K.G.; Li, Y.F.; Zhao, A.T.; Zhang, Q.L.; Sang, L.B.; Zhao, W.L.; Yang, X.F. Study on the wear resistance and process parameters of FeCoNiCrAl high entropy alloy coating by laser cladding. J. Phys. Conf. Ser. 2025, 3009, 012019. [Google Scholar] [CrossRef]
- Gludovatz, B.; Hohenwarter, A.; Catoor, D.; Chang, E.H.; George, E.P.; Ritchie, R.O. A fracture-resistant high-entropy alloy for cryogenic applications. Science 2014, 345, 1153–1158. [Google Scholar] [CrossRef]
- Verma, V.; Belcher, C.H.; Apelian, D.; Lavernia, E.J. Diffusion in High Entropy Alloy Systems—A Review. Prog. Mater. Sci. 2024, 142, 33. [Google Scholar] [CrossRef]
- Han, Y.; Fu, H. Improvement of High Temperature Wear Resistance of Laser-Cladding High-Entropy Alloy Coatings: A Review. Metals 2024, 14, 1065. [Google Scholar] [CrossRef]
- Zhang, A.; Han, J.; Su, B.; Li, P.; Meng, J.H. A promising new high temperature self-lubricating material: CoCrFeNiS0.5 high entropy alloy. Mater. Sci. Eng. A 2018, 731, 36–43. [Google Scholar] [CrossRef]
- Guo, Z.M.; Zhang, A.J.; Han, J.S.; Meng, J.H. Effect of Si additions on microstructure and mechanical properties of refractory NbTaWMo high-entropy alloys. J. Mater. Sci. 2019, 54, 5844–5851. [Google Scholar] [CrossRef]
- Sabarinath, S.; Raj, V.; Nair, L.V.; Thomas, V.; Saji, V.S. High Entropy Alloy (HEA) Coatings for Tribological Applications—A Review. Results Eng. 2025, 27, 105695. [Google Scholar] [CrossRef]
- Dada, M.; Popoola, P.; Mathe, N. Recent advances of high entropy alloys for aerospace applications: A review. World J. Eng. 2023, 20, 43–74. [Google Scholar] [CrossRef]
- Guo, Z.M.; Zhang, A.J.; Han, J.S.; Meng, J.H. Microstructure, mechanical and tribological properties of CoCrFeNiMn high entropy alloy matrix composites with addition of Cr3C2. Tribol. Int. 2020, 151, 106436. [Google Scholar] [CrossRef]
- Guo, Z.M.; Li, J.D.; Ren, X.Y.; Zhang, A.J.; Meng, J.H. The effect of different Ag addition on microstructure, mechanical properties and tribological behavior of CoCrFeNiMn-Cr3C2 composite. Mater. Res. Express 2022, 9, 116505. [Google Scholar] [CrossRef]
- Guo, Z.M.; Li, J.D.; Ren, X.Y.; Zhang, A.J. The Microstructure and Mechanical Properties of High Entropy Alloy CoCrFeNiMn Matrix with Cr3C2 Reinforcement and Ag, BaF2/CaF2 Solid Lubrication. Coatings 2023, 13, 1856. [Google Scholar] [CrossRef]
- Jiang, W.; Zhou, J.; Cao, Y.; Meng, A.; Li, R.C.; Li, J.S.; Li, Z.M.; Zhao, Y.; Zhao, Y.H. Tribo-induced microstructural evolutions and wear mechanisms of AlCoCrFeNi2.1 eutectic high-entropy alloy at elevated temperatures. Acta Mater. 2025, 296, 121272. [Google Scholar] [CrossRef]
- Wu, X.T.; Su, L.H.; Tieu, A.K.; Cheng, J.; Nguyen, C.; Zhu, H.T.; Yang, J.; Deng, G.Y. Microstructure, mechanical properties and high-temperature sliding wear response of a new Al0.5CrFeNiV0.5 high-entropy alloy. Wear 2025, 562–563, 205634. [Google Scholar] [CrossRef]






| Sample | CoCrFeNiMn | Cr3C2 | Ag | BaF2/CaF2 |
|---|---|---|---|---|
| HEA-Ag | 75 | 10 | 15 | 0 |
| HEA-Ag-5%CaF2/BaF2 | 70 | 10 | 15 | 5 |
| HEA-Ag-15%CaF2/BaF2 | 60 | 10 | 15 | 15 |
| Temperature (°C) | Areas | Composition (at%) | ||||||||||
|---|---|---|---|---|---|---|---|---|---|---|---|---|
| C | O | F | Ca | Cr | Mn | Fe | Co | Ni | Ag | Ba | ||
| RT | Inside | 22.3 | 26.4 | 3.5 | 0.4 | 11.8 | 8.9 | 8.5 | 8.3 | 8.0 | 1.7 | 0.3 |
| Outside | 26.5 | 3.9 | 8.1 | 1.3 | 21.6 | 9.8 | 9.5 | 9.0 | 8.3 | 1.5 | 0.5 | |
| 200 | Inside | 34.3 | 20.7 | 3.9 | 0.4 | 11.9 | 6.6 | 6.3 | 5.7 | 5.9 | 3.9 | 0.3 |
| Outside | 35.7 | 9.1 | 3.5 | 0.7 | 18.6 | 8.6 | 7.8 | 7.6 | 6.8 | 1.2 | 0.4 | |
| 400 | Inside | 16.1 | 34.5 | 4.3 | 0.5 | 13.9 | 7.1 | 6.7 | 6.6 | 6.8 | 3.2 | 0.4 |
| Outside | 20.2 | 10.7 | 9.3 | 1.2 | 23.0 | 8.9 | 8.9 | 8.4 | 7.7 | 1.1 | 0.5 | |
| 600 | Inside | 9.1 | 44.8 | 1.1 | 0.8 | 11.2 | 7.7 | 7.6 | 7.0 | 6.7 | 3.5 | 0.5 |
| Outside | 16.4 | 26.4 | 4.4 | 1.1 | 17.3 | 9.3 | 8.4 | 7.7 | 7.5 | 1.1 | 0.5 | |
| 800 | Inside | 6.1 | 52.4 | 4.7 | 5.6 | 7.4 | 11.5 | 2.2 | 1.7 | 0.8 | 1.0 | 6.6 |
| outside | 12.3 | 46.9 | 4.4 | 4.4 | 7.5 | 16.1 | 1.8 | 1.2 | 0.7 | 0.1 | 4.5 | |
| Temperature (°C) | Areas | Composition (at%) | ||||||||||
|---|---|---|---|---|---|---|---|---|---|---|---|---|
| C | O | F | Ca | Cr | Mn | Fe | Co | Ni | Ag | Ba | ||
| RT | Inside | 15.7 | 48.1 | 9.7 | 1.5 | 7.7 | 3.6 | 3.3 | 3.4 | 3.3 | 2.6 | 1.1 |
| Outside | 40.6 | 5.0 | 11.6 | 2.9 | 15.4 | 5.9 | 5.8 | 5.5 | 5.1 | 1.2 | 1.2 | |
| 200 | Inside | 33.8 | 39.9 | 4.3 | 1.0 | 5.6 | 3.3 | 2.5 | 2.4 | 2.5 | 3.8 | 0.8 |
| Outside | 34.5 | 15.3 | 8.4 | 1.9 | 14.2 | 6.1 | 6.2 | 5.8 | 5.5 | 0.9 | 1.3 | |
| 400 | Inside | 31.0 | 36.6 | 4.5 | 0.8 | 6.7 | 4.7 | 4.2 | 4.3 | 4.2 | 2.1 | 1.0 |
| Outside | 26.1 | 17.4 | 6.0 | 2.6 | 19.2 | 7.2 | 6.9 | 6.3 | 5.8 | 1.3 | 1.2 | |
| 600 | Inside | 28.0 | 38.5 | 1.9 | 1.5 | 8.3 | 4.9 | 4.6 | 4.4 | 4.3 | 2.4 | 1.3 |
| Outside | 24.2 | 30.1 | 4.0 | 2.3 | 13.3 | 6.8 | 6.1 | 5.5 | 5.3 | 1.2 | 1.3 | |
| 800 | Inside | 24.1 | 51.3 | 3.0 | 8.7 | 0.5 | 0.3 | 0.3 | 0.3 | 0.3 | 0.1 | 11.4 |
| Outside | 21.9 | 51.9 | 3.1 | 11.5 | 0.6 | 0.1 | 0.1 | 0.1 | 0.1 | 0.1 | 10.8 | |
Disclaimer/Publisher’s Note: The statements, opinions and data contained in all publications are solely those of the individual author(s) and contributor(s) and not of MDPI and/or the editor(s). MDPI and/or the editor(s) disclaim responsibility for any injury to people or property resulting from any ideas, methods, instructions or products referred to in the content. |
© 2025 by the authors. Licensee MDPI, Basel, Switzerland. This article is an open access article distributed under the terms and conditions of the Creative Commons Attribution (CC BY) license (https://creativecommons.org/licenses/by/4.0/).
Share and Cite
Guo, Z.; Ren, X.; Li, J.; Zhang, G. The Tribological Properties of the CoCrFeNiMn High-Entropy Alloy Matrix Composites with Solid Lubrication. Coatings 2025, 15, 1098. https://doi.org/10.3390/coatings15091098
Guo Z, Ren X, Li J, Zhang G. The Tribological Properties of the CoCrFeNiMn High-Entropy Alloy Matrix Composites with Solid Lubrication. Coatings. 2025; 15(9):1098. https://doi.org/10.3390/coatings15091098
Chicago/Turabian StyleGuo, Zhiming, Xiaoyan Ren, Jingdan Li, and Guowei Zhang. 2025. "The Tribological Properties of the CoCrFeNiMn High-Entropy Alloy Matrix Composites with Solid Lubrication" Coatings 15, no. 9: 1098. https://doi.org/10.3390/coatings15091098
APA StyleGuo, Z., Ren, X., Li, J., & Zhang, G. (2025). The Tribological Properties of the CoCrFeNiMn High-Entropy Alloy Matrix Composites with Solid Lubrication. Coatings, 15(9), 1098. https://doi.org/10.3390/coatings15091098
