Sign in to use this feature.

Years

Between: -

Subjects

remove_circle_outline
remove_circle_outline
remove_circle_outline
remove_circle_outline
remove_circle_outline
remove_circle_outline
remove_circle_outline
remove_circle_outline
remove_circle_outline

Journals

Article Types

Countries / Regions

Search Results (71)

Search Parameters:
Keywords = Al/Ni multilayers

Order results
Result details
Results per page
Select all
Export citation of selected articles as:
12 pages, 2285 KB  
Article
Role of Interfacial Coherency on Creep Behavior of FCC/BCC High-Entropy Alloy Multilayers
by Junwei Zhou, Jinrui Tang, Zhien Ning, Xiaofeng Yang, Min Gu, Chundi Fan, Junming Chen, Zhaoming Yang and Guoqiang Zeng
Materials 2026, 19(5), 1028; https://doi.org/10.3390/ma19051028 - 7 Mar 2026
Viewed by 280
Abstract
High-entropy alloy (HEA) multilayers represent a promising class of advanced coating materials due to their superior mechanical properties, corrosion resistance, and irradiation tolerance. However, the specific role of interface coherency on the creep behavior of HEA multilayers remains unclear. In this work, FCC/BCC [...] Read more.
High-entropy alloy (HEA) multilayers represent a promising class of advanced coating materials due to their superior mechanical properties, corrosion resistance, and irradiation tolerance. However, the specific role of interface coherency on the creep behavior of HEA multilayers remains unclear. In this work, FCC/BCC Al-Cr-Fe-Ni HEA multilayers with different coherency were prepared by precisely controlling the modulated period (λ) via RF magnetron sputtering. Their room-temperature creep properties were systematically investigated through nanoindentation under different loading rates. The results reveal a strong dependence of creep resistance and deformation mechanisms on the interface coherency. HEA multilayers with semicoherent interfaces (λ = 16 nm) exhibit the highest creep resistance, where creep is primarily mediated by atomic diffusion or interface slip. In contrast, samples dominated by coherent interfaces or grain boundaries (λ = 8, 32, and 80 nm) demonstrate dislocation slip-dominated creep. This work elucidates how interfacial coherency dictates the transition between diffusion-mediated and dislocation-mediated creep mechanisms in HEA multilayers, providing critical insights for the design of next-generation creep-resistant nanostructured coatings. Full article
(This article belongs to the Section Thin Films and Interfaces)
Show Figures

Figure 1

44 pages, 2586 KB  
Review
Cellular Automata and Phase-Field Modeling of Microstructure Evolution in Metal Additive Manufacturing: Recent Advances, Hybrid Frameworks, and Pathways to Predictive Control
by Łukasz Łach
Metals 2026, 16(1), 124; https://doi.org/10.3390/met16010124 - 21 Jan 2026
Viewed by 1072
Abstract
Metal additive manufacturing (AM) generates complex microstructures through extreme thermal gradients and rapid solidification, critically influencing mechanical performance and industrial qualification. This review synthesizes recent advances in cellular automata (CA) and phase-field (PF) modeling to predict grain-scale microstructure evolution during AM. CA methods [...] Read more.
Metal additive manufacturing (AM) generates complex microstructures through extreme thermal gradients and rapid solidification, critically influencing mechanical performance and industrial qualification. This review synthesizes recent advances in cellular automata (CA) and phase-field (PF) modeling to predict grain-scale microstructure evolution during AM. CA methods provide computational efficiency, enabling large-domain simulations and excelling in texture prediction and multi-layer builds. PF approaches deliver superior thermodynamic fidelity for interface dynamics, solute partitioning, and nonequilibrium rapid solidification through CALPHAD coupling. Hybrid CA–PF frameworks strategically balance efficiency and accuracy by allocating PF to solidification fronts and CA to bulk grain competition. Recent algorithmic innovations—discrete event-inspired CA, GPU acceleration, and machine learning—extend scalability while maintaining predictive capability. Validated applications across Ni-based superalloys, Ti-6Al-4V, tool steels, and Al alloys demonstrate robust process–microstructure–property predictions through EBSD and mechanical testing. Persistent challenges include computational scalability for full-scale components, standardized calibration protocols, limited in situ validation, and incomplete multi-physics coupling. Emerging solutions leverage physics-informed machine learning, digital twin architectures, and open-source platforms to enable predictive microstructure control for first-time-right manufacturing in aerospace, biomedical, and energy applications. Full article
Show Figures

Figure 1

19 pages, 17110 KB  
Article
Effect of Oxygen Concentration on the Corrosion Behaviour of Coated and Uncoated 316L Stainless Steel in Liquid Lead
by Daniel Petrescu, Florentina Golgovici, Mircea Corban, Oana Brincoveanu and Ioana Demetrescu
Appl. Sci. 2025, 15(19), 10572; https://doi.org/10.3390/app151910572 - 30 Sep 2025
Cited by 1 | Viewed by 1362
Abstract
The 316L stainless steel, uncoated and coated with two types of EB-PVD thin-film deposits, was tested in liquid lead both under oxygen-saturated conditions (~10−3 wt.%) for exposure times of 1000 and 2000 h and under low-oxygen conditions (~108 wt.%) for 1000 [...] Read more.
The 316L stainless steel, uncoated and coated with two types of EB-PVD thin-film deposits, was tested in liquid lead both under oxygen-saturated conditions (~10−3 wt.%) for exposure times of 1000 and 2000 h and under low-oxygen conditions (~108 wt.%) for 1000 h. The first coating consisted of a ~1 µm NiCrAlY thin film. At the same time, the second was a NiCrAlY/Al2O3 multilayer with a total thickness of ~3 µm, on top of which an additional 100–200 nm metallic Cr layer was deposited. Uncoated specimens tested under oxygen-saturated conditions developed a duplex oxide layer on their surface. SEM-EDS analyses revealed that the inner layer was denser and contained Fe, Cr, and O, whereas the outer layer was more porous and composed mainly of Fe and O. Microscopic examinations indicated that the multilayer-coated specimens exposed to low-oxygen conditions exhibited no signs of material degradation. In contrast, both the uncoated samples and those coated only with a single NiCrAlY layer showed generalised corrosion over the entire surface after exposure to liquid lead at low oxygen concentrations. The austenitic microstructure was degraded to a depth of 100–200 µm. Vickers microhardness indentations performed on the structurally altered regions revealed two distinct corrosion zones with markedly different hardness values. Full article
Show Figures

Figure 1

12 pages, 2949 KB  
Article
Micro-Mechanical Properties and Corrosion Resistance of Zr-Based Metallic Glass Matrix Composite Coatings Fabricated by Laser Cladding Technology
by Wenle Wang and Zhifeng Yan
Appl. Sci. 2025, 15(17), 9698; https://doi.org/10.3390/app15179698 - 3 Sep 2025
Viewed by 929
Abstract
Laser cladding with ultrafast cooling rates enables effective fabrication of metallic glass matrix composite (MGMC) coatings, significantly enhancing the hardness, corrosion resistance, and mechanical properties of metallic substrates. In this study, a multi-layer Zr65Al7.5Ni10Cu17.5 (at. %) [...] Read more.
Laser cladding with ultrafast cooling rates enables effective fabrication of metallic glass matrix composite (MGMC) coatings, significantly enhancing the hardness, corrosion resistance, and mechanical properties of metallic substrates. In this study, a multi-layer Zr65Al7.5Ni10Cu17.5 (at. %) MGMC coating was successfully fabricated by laser cladding technology. The effects of the region-dependent microstructural evolution on micro-mechanical properties and corrosion resistance were systematically investigated. The results indicated that the high impurity content of the powder feedstock promoted the crystallization of the coating during laser cladding. Moreover, coarse columnar crystals in the bottom region of the coating nucleated epitaxially at the coating/substrate interface and propagated along the thermal gradient parallel to the building direction, while dendritic crystals dominated the middle region under moderate thermal gradients. In the top region, fine dendritic and equiaxed crystals deposited in the amorphous matrix, due to the lowest thermal gradient and the highest cooling rate. Correspondingly, nanoindentation results revealed that the top region exhibited peak hardness (H), maximum elastic modulus (E), and optimal H/E ratio, exceeding values in both the bottom region and substrate. Simultaneously, the metallic glass matrix composite coating demonstrated significantly better corrosion resistance than the substrate due to its amorphous phase and protective passive film formation. This work advances amorphous solidification theory while expanding applications of metallic glasses in surface engineering. Full article
Show Figures

Figure 1

15 pages, 3416 KB  
Article
The Study of Tribological Characteristics of YSZ/NiCrAlY Coatings and Their Resistance to CMAS at High Temperatures
by Dastan Buitkenov, Zhuldyz Sagdoldina, Aiym Nabioldina and Cezary Drenda
Appl. Sci. 2025, 15(14), 8109; https://doi.org/10.3390/app15148109 - 21 Jul 2025
Cited by 4 | Viewed by 1247
Abstract
This paper presents the results of a comprehensive study of the structure, phase composition, thermal corrosion, and tribological properties of multilayer gradient coatings based on YSZ/NiCrAlY obtained using detonation spraying. X-ray phase analysis showed that the coatings consist entirely of metastable tetragonal zirconium [...] Read more.
This paper presents the results of a comprehensive study of the structure, phase composition, thermal corrosion, and tribological properties of multilayer gradient coatings based on YSZ/NiCrAlY obtained using detonation spraying. X-ray phase analysis showed that the coatings consist entirely of metastable tetragonal zirconium dioxide (t’-ZrO2) phase stabilized by high temperature and rapid cooling during spraying. SEM analysis confirmed the multilayer gradient phase distribution and high density of the structure. Wear resistance, optical profilometry, wear quantification, and coefficient of friction measurements were used to evaluate the operational stability. The results confirm that the structural parameters of the coating, such as porosity and phase gradient, play a key role in improving its resistance to thermal corrosion and CMAS melt, which makes such coatings promising for use in high-temperature applications. It is shown that a dense and thick coating effectively prevents the penetration of aggressive media, providing a high barrier effect and minimal structural damage. Tribological tests in the temperature range from 21 °C to 650 °C revealed that the best characteristics are observed at 550 °C: minimum coefficient of friction (0.63) and high stability in the stage of stable wear. At room temperature and at 650 °C, there is an increase in wear due to the absence or destabilization of the protective layer. Full article
Show Figures

Figure 1

16 pages, 20780 KB  
Article
Effect of Si on Mechanical Properties and Oxide Film Formation of AFA Alloy at Low Oxygen Pressure
by Qijun Jia, Xiaoqiang Jiang, Changjun Wu, Junxiu Chen, Xiangying Zhu, Ya Liu and Xuping Su
Coatings 2025, 15(5), 602; https://doi.org/10.3390/coatings15050602 - 18 May 2025
Cited by 1 | Viewed by 1252
Abstract
The Cr2O3 film on the outer surface of traditional cracking furnace tubes is prone to spalling, which shortens the tube life. Fe-Ni-Cr-based austenitic stainless steel (AFA alloy) with added Al has attracted attention because it can form a more stable [...] Read more.
The Cr2O3 film on the outer surface of traditional cracking furnace tubes is prone to spalling, which shortens the tube life. Fe-Ni-Cr-based austenitic stainless steel (AFA alloy) with added Al has attracted attention because it can form a more stable Al2O3 film on the surface. However, the alloy’s mechanical performance and the stability and oxidation resistance of the oxide film need to be improved simultaneously. This investigation examined silicon concentration variations (0–1.5 wt.%) on AFA alloy’s ambient-temperature tensile performance and oxidation response under reduced oxygen partial pressures (10−18–10−16 bar). The findings demonstrate that the alloy was composed of the FCC, B2-NiAl, and M23C6 phases. With Si addition, the B2-NiAl phase volume fraction increased. Mechanical testing demonstrated progressive elevation in tensile strength and hardness coupled with reduced elongation, attributable to combined solid-solution hardening and B2-NiAl precipitation strengthening. At low oxygen pressure, a continuous multi-layer oxide film developed on the alloy’s surface: the outermost layer was composed of a continuous Cr2O3 layer, with a fraction of MnCr2O4 spinel phase enriched on the outer surface. The middle layer was SiO2, which evolved from a particulate to a continuous layer with increasing Si content. The innermost layer was composed of Al2O3. Accelerated manganese diffusion through Cr2O3 facilitated MnCr2O4 spinel layer formation. Full article
Show Figures

Graphical abstract

17 pages, 23179 KB  
Article
Impact of Bonding Pressure on the Reactive Bonding of LTCC Substrates
by Erik Wiss, Nesrine Jaziri, Jens Müller and Steffen Wiese
Micromachines 2025, 16(3), 321; https://doi.org/10.3390/mi16030321 - 11 Mar 2025
Cited by 4 | Viewed by 1440
Abstract
Reactive bonding can overcome the issues associated with conventional soldering processes, such as potential damage to heat-sensitive components and the creation of thermomechanical stress due to differing coefficients of thermal expansion. The risk of such damage can be reduced by using localized heat [...] Read more.
Reactive bonding can overcome the issues associated with conventional soldering processes, such as potential damage to heat-sensitive components and the creation of thermomechanical stress due to differing coefficients of thermal expansion. The risk of such damage can be reduced by using localized heat sources like reactive multilayer systems (RMS), which is already a well-established option in the field of silicon or metal bonding. Adapting this process to other materials, such as low temperature co-fired ceramics (LTCC), is difficult due to their differing properties, but it would open new technological possibilities. One aspect that significantly affects the quality of the bonding joints is the pressure applied during the bonding process. To investigate its influence more closely, various LTCC samples were manufactured, and cross-sections were prepared. The microscopical analysis reveals that there is an optimum range for the bonding pressure. While too little pressure results in the formation of lots of voids and gaps, most likely in poor mechanical and electrical properties, too high pressure seems to cause a detachment of the metallization from the base material. Full article
Show Figures

Figure 1

11 pages, 9593 KB  
Article
The Effect of Solution Treatment on the Microstructure and Properties of AlCuCrFe2NiTi0.25 High-Entropy Hardfacing Alloy
by Jingxuan Huang and Yunhai Su
Crystals 2025, 15(2), 117; https://doi.org/10.3390/cryst15020117 - 23 Jan 2025
Cited by 2 | Viewed by 1104
Abstract
With the advancement of modern social science and technology, alloys composed solely of a single principal component are gradually unable to meet people’s needs. The concept of a new type of high-entropy alloy has been proposed. At present, high-entropy alloys are mostly prepared [...] Read more.
With the advancement of modern social science and technology, alloys composed solely of a single principal component are gradually unable to meet people’s needs. The concept of a new type of high-entropy alloy has been proposed. At present, high-entropy alloys are mostly prepared by vacuum arc furnace melting and casting methods. To improve this situation, this article uses plasma welding technology to prepare an AlCuCrFe2NiTi0.25 high-entropy alloy on a Q235 steel plate through multi-layer and multi-pass welding using plasma surfacing technology and adopts an appropriate solution treatment on this basis to obtain a higher-performance alloy. The conclusion drawn from different heat treatment processes is as follows: solution treatment was performed on an AlCuCrFe2Ni0.25 high-entropy alloy at a temperature of 1200 °C for 2 h, 3 h, and 4 h, respectively. After XRD phase analysis, it was found that the phase types of high-entropy alloys did not change after solution treatment. As the solution time increased, the diffraction peak intensity of the Laves phase gradually decreased. After 3 h of solid solution treatment, room temperature tensile tests were conducted to obtain the tensile strength and elongation of the AlCuCrFe2Ni0.25 high-entropy alloy at room temperature, which were 509 MPa and 23.8%, respectively, exhibiting the optimal comprehensive mechanical properties. Full article
(This article belongs to the Section Crystalline Metals and Alloys)
Show Figures

Figure 1

9 pages, 4243 KB  
Article
Phase Evolution in Mn1.6Zn0.2Ni0.6Mg0.2Al0.4O4 High-Entropy Oxide Films by Heat Treatment
by Wei Ren, Xianhai Liu, Wenting Wu and Weili Wang
Materials 2024, 17(23), 5967; https://doi.org/10.3390/ma17235967 - 5 Dec 2024
Cited by 1 | Viewed by 1113
Abstract
In this work, Mn-Zn-Ni-Mg-Al multi-layer films were annealed in air at different temperatures to form spinel-structured Mn1.6Zn0.2Ni0.6Mg0.2Al0.4O4 high-entropy oxide films. X-ray diffraction results demonstrate that the films possess a polycrystalline spinel phase [...] Read more.
In this work, Mn-Zn-Ni-Mg-Al multi-layer films were annealed in air at different temperatures to form spinel-structured Mn1.6Zn0.2Ni0.6Mg0.2Al0.4O4 high-entropy oxide films. X-ray diffraction results demonstrate that the films possess a polycrystalline spinel phase as well as impurity phases: when annealed at 650 °C and 750 °C, MnO2 and Al2O3 impurity phases exist; at 950 °C, an Al2O3 impurity phase exists. Only at 850 °C does a pure spinel phase exist. However, the film at 750 °C exhibits the best conductive behavior, which indicates that the impurity phases may not have to be removed to maintain the best electrical properties of the film. Full article
Show Figures

Figure 1

22 pages, 35187 KB  
Article
Sedimentary Environment and Organic Matter Accumulation of Continental Shales in Xiahuayuan Formation in Xuanlong Depression, Yanshan Area
by Wei Jiang, Yang Hu and Peng Wu
Processes 2024, 12(11), 2436; https://doi.org/10.3390/pr12112436 - 4 Nov 2024
Viewed by 1383
Abstract
The shale sedimentary environment is crucial for evaluating shale gas reservoirs and sweet spot zones. The Xiahuayuan Formation in the Xuanlong Depression of the Yanshan area is an important exploration and development region for shale gas due to its multi-layer dark shale. The [...] Read more.
The shale sedimentary environment is crucial for evaluating shale gas reservoirs and sweet spot zones. The Xiahuayuan Formation in the Xuanlong Depression of the Yanshan area is an important exploration and development region for shale gas due to its multi-layer dark shale. The paleosedimentary environment and organic matter accumulation mechanism of organic-rich shale were discussed through geochemical methods such as total organic carbon (TOC) content and elemental analysis. The results indicate that the shale exhibits a high TOC content. The Mo content and the P/Al and P/Ti ratios indicate that the primary productivity of the ancient lake is high. The Ceanom, V/(V + Ni) ratio and MoEF-UEF covariation model reveal that the sedimentary environment of shale is characterized by anoxic conditions. The ratios of K/Al and Ti/Al suggest significant variations in the input of fine-grained clay clastics and terrigenous clastics. The Ca/(Fe + Ca) and Sr/Ba ratios suggest that the paleowater was a freshwater environment. The paleoclimatic conditions, as indicated by CIA, Sr/Cu, and C-value, suggest a range from semi-humid to humid. The ratios of Rb/K and Mn/Ti reflect that the water primarily existed in a shore–shallow lake environment. The correlation analysis between organic matter accumulation and sedimentary environment parameters indicates that the primary factors influencing the organic matter accumulation in the Xiahuayuan Formation shale are redox conditions, terrigenous clastic input, paleoclimate conditions, and paleowater depth. The organic matter accumulation is characterized by a “preservation condition” pattern. This study provides theoretical support for the accumulation mechanism, potential evaluation of resources, and optimal selection of favorable regions for Jurassic shale gas in the Xuanlong Depression. Full article
Show Figures

Figure 1

16 pages, 9712 KB  
Article
Study of Structure Formation in Multilayer Composite Material AA1070-AlMg6-AA1070-Titanium (VT1-0)-08Cr18Ni10Ti Steel after Explosive Welding and Heat Treatment
by Andrey Malakhov, Nemat Niyozbekov, Igor Denisov, Ivan Saikov, Denis Shakhray and Evgenii Volchenko
J. Manuf. Mater. Process. 2024, 8(5), 188; https://doi.org/10.3390/jmmp8050188 - 26 Aug 2024
Viewed by 4515
Abstract
Multilayer composite materials, consisting of layers of aluminum alloy and steel, are used in the manufacturing of large engineering structures, including in the shipbuilding and railcar industries. Due to the different properties of aluminum alloys and steels, it is difficult to achieve high-strength [...] Read more.
Multilayer composite materials, consisting of layers of aluminum alloy and steel, are used in the manufacturing of large engineering structures, including in the shipbuilding and railcar industries. Due to the different properties of aluminum alloys and steels, it is difficult to achieve high-strength joints by conventional welding. Therefore, these joints are produced by explosive welding. In the present work, the structure of a multilayer material, AA1070-AlMg6-AA1070 (aluminum alloys)-VT1-0-08Cr18Ni10Ti (steel), was investigated after explosive welding and heat treatments were performed under different conditions. The microstructure of the AlMg6 layer at the AlMg6-AA1070 interface consists of shaped anisotropic grains extending along the weld interface. The AA1070 layer is enriched with magnesium due to its diffusive influx from AlMg6. In the AlMg6 and VT1-0 layers, adiabatic shear bands are found that start at the weld interface and propagate deep into the material. The optimal temperature for the heat treatment is 450–500 °C, as internal stresses are reduced at this temperature and the grain structure of the AlMg6 layer is not coarse. Tear strength testing revealed that the tear strength of the composite material after explosive welding was 130 ± 10 MPa, which exceeded the strength of the AA1070 alloy. Full article
Show Figures

Figure 1

15 pages, 7909 KB  
Article
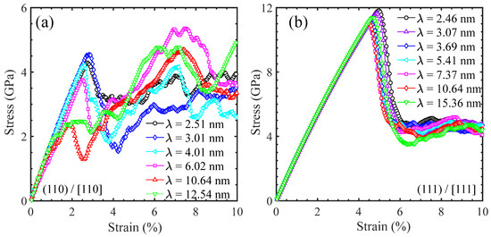
Deformation Mechanisms Dominated by Decomposition of an Interfacial Misfit Dislocation Network in Ni/Ni3Al Multilayer Structures
by Zhiwei Zhang, Xingyi Zhang, Rong Yang, Jun Wang and Chunsheng Lu
Materials 2024, 17(16), 4006; https://doi.org/10.3390/ma17164006 - 12 Aug 2024
Cited by 2 | Viewed by 1974
Abstract
Ni/Ni3Al heterogeneous multilayer structures are widely used in aerospace manufacturing because of their unique coherent interfaces and excellent mechanical properties. Revealing the deformation mechanisms of interfacial structures is of great significance for microstructural design and their engineering applications. Thus, this work [...] Read more.
Ni/Ni3Al heterogeneous multilayer structures are widely used in aerospace manufacturing because of their unique coherent interfaces and excellent mechanical properties. Revealing the deformation mechanisms of interfacial structures is of great significance for microstructural design and their engineering applications. Thus, this work aims to establish the connection between the evolution of an interfacial misfit dislocation (IMD) network and tensile deformation mechanisms of Ni/Ni3Al multilayer structures. It is shown that the decomposition of IMD networks dominates the deformation of Ni/Ni3Al multilayer structures, which exhibits distinct effects on crystallographic orientation and layer thickness. Specifically, the Ni/Ni3Al (100) multilayer structure achieves its maximum yield strength of 5.28 GPa at the layer thickness of 3.19 nm. As a comparison, the (110) case has a maximum yield strength of 4.35 GPa as the layer thickness is 3.01 nm. However, the yield strength of the (111) one seems irrelevant to layer thickness, which fluctuates between 10.89 and 11.81 GPa. These findings can provide new insights into a deep understanding of the evolution and deformation of the IMD network of Ni/Ni3Al multilayer structures. Full article
(This article belongs to the Section Mechanics of Materials)
Show Figures

Figure 1

14 pages, 7718 KB  
Article
Development of Method for Applying Multilayer Gradient Thermal Protective Coatings Using Detonation Spraying
by Dastan Buitkenov, Aiym Nabioldina and Nurmakhanbet Raisov
Coatings 2024, 14(7), 899; https://doi.org/10.3390/coatings14070899 - 18 Jul 2024
Cited by 6 | Viewed by 2483
Abstract
In this work, multilayer gradient coatings obtained by detonation spraying were studied. To obtain a multilayer gradient coating by detonation spraying, two modes with different numbers of shots of NiCrAlY and YSZ were developed. The presented results demonstrate the effectiveness of creating a [...] Read more.
In this work, multilayer gradient coatings obtained by detonation spraying were studied. To obtain a multilayer gradient coating by detonation spraying, two modes with different numbers of shots of NiCrAlY and YSZ were developed. The presented results demonstrate the effectiveness of creating a gradient structure in coatings, ensuring a smooth transition from metal to ceramic materials. Morphological analysis of the coatings confirmed a layered gradient structure, consisting of a lower metallic (NiCrAlY) layer and an upper ceramic (YSZ) layer. The variation in the contents of elements along the thickness of the coatings indicates the formation of a gradient structure. X-ray analysis shows that all peaks in the X-ray diffraction patterns correspond to a single ZrO2 phase, indicating the formation of a non-transformable tetragonal primary (t′) phase characteristic of the thermal protective coatings. This phase is known for its stability and resistance to phase transformation under changing operating temperature conditions. As the thickness of the coatings increased, an improvement in their mechanical characteristics was found, such as a decrease in the coefficient of friction, an increase in hardness, and an increase in surface roughness. These properties make such coatings more resistant to mechanical wear, especially under sliding conditions, which confirms their prospects for use in a variety of engineering applications, including aerospace and power generation. Full article
(This article belongs to the Special Issue Applications of Ceramic and Cermet Coatings)
Show Figures

Figure 1

16 pages, 4405 KB  
Article
Strains and Stresses in Multilayered Materials Determined Using High-Energy X-ray Diffraction
by Guillaume Geandier, Patrick Adenis, Serge Selezneff, Quentin Pujol d’Andredo and Benoît Malard
Metals 2024, 14(6), 637; https://doi.org/10.3390/met14060637 - 27 May 2024
Cited by 1 | Viewed by 1802
Abstract
This work explores the advantages and disadvantages of a methodology using high-energy X-ray diffraction to determine residual stresses in multilayer structures produced by atmospheric plasma spraying. These structures comprise a titanium alloy substrate (Ti64), a bonding layer (Ni-Al), and an abrasive coating (Al [...] Read more.
This work explores the advantages and disadvantages of a methodology using high-energy X-ray diffraction to determine residual stresses in multilayer structures produced by atmospheric plasma spraying. These structures comprise a titanium alloy substrate (Ti64), a bonding layer (Ni-Al), and an abrasive coating (Al2O3). This study focuses on analyzing the residual stress gradients within these layers. The presented method is used to determine stresses across the entire thickness of multilayer structures. Experiments were carried out using a high-energy rectangular beam, operating in transmission mode, on the cross-section of the sample. The results indicate variable stresses throughout the depth of the sample, particularly near the layer interfaces. The semi-automatic methodology presented here enables us to follow stress evolution within the different layers, providing indications of the load transfer between them and at their interfaces. The sin2ψ method was used to analyze the diffraction data and to determine the stresses in each phase along the sample depth. However, interpreting results near the interfaces is complex due to the geometric and chemical effects. We present a discussion of the main advantages and disadvantages of the methodology for this kind of industrial sample. Full article
Show Figures

Figure 1

17 pages, 8091 KB  
Article
Hot Corrosion Behavior of Plasma-Sprayed Gd2Zr2O7/YSZ Functionally Graded Thermal Barrier Coatings
by Rajasekaramoorthy Manogaran, Karthikeyan Alagu, Anderson Arul, Anandh Jesuraj, Dinesh Kumar Devarajan, Govindhasamy Murugadoss and Kamalan Kirubaharan Amirtharaj Mosas
Ceramics 2024, 7(2), 579-595; https://doi.org/10.3390/ceramics7020038 - 29 Apr 2024
Cited by 4 | Viewed by 3560
Abstract
The development of advanced thermal barrier coating (TBC) materials with better hot corrosion resistance, phase stability, and residual stresses is an emerging research area in the aerospace industry. In the present study, four kinds of TBCs, namely, single-layer yttria-stabilized zirconia (YSZ), single-layer gadolinium [...] Read more.
The development of advanced thermal barrier coating (TBC) materials with better hot corrosion resistance, phase stability, and residual stresses is an emerging research area in the aerospace industry. In the present study, four kinds of TBCs, namely, single-layer yttria-stabilized zirconia (YSZ), single-layer gadolinium zirconate (GZ), bilayer gadolinium zirconate/yttria-stabilized zirconia (YSZ/GZ), and a multilayer functionally graded coating (FGC) of YSZ and GZ, were deposited on NiCrAlY bond-coated nickel-based superalloy (Inconel 718) substrates using the atmospheric plasma spray technique. The hot corrosion behavior of the coatings was tested by applying a mixture of Na2SO4 and V2O5 onto the surface of TBC, followed by isothermal heat treatment at 1273 K for 50 h. The characterization of the corroded samples was performed by X-ray diffraction (XRD), scanning electron microscopy (SEM), and energy dispersive spectroscopy (EDS) to identify physical and chemical changes in the coatings. GIXRD was used to analyze the residual stresses of the coatings. Residual stress in the FGC coating was found to be −15.2 ± 10.6 MPa. The wear resistance of TBCs is studied using a linear reciprocating tribometer, and the results indicate that gadolinium zirconate-based TBCs showed better performance when deposited in bilayer and multilayered functionally graded TBC systems. The wear rate of as-coated FGC coatings was determined to be 2.90 × 10−4 mm3/Nm, which is lower than the conventional YSZ coating. Full article
(This article belongs to the Special Issue Research Progress in Ceramic Coatings)
Show Figures

Figure 1

Back to TopTop