Sign in to use this feature.

Years

Between: -

Subjects

remove_circle_outline
remove_circle_outline
remove_circle_outline
remove_circle_outline
remove_circle_outline

Journals

Article Types

Countries / Regions

Search Results (25)

Search Parameters:
Keywords = AVL FIRE

Order results
Result details
Results per page
Select all
Export citation of selected articles as:
26 pages, 8226 KB  
Article
Effect of Improved Combustion Chamber Design and Biodiesel Blending on the Performance and Emissions of a Diesel Engine
by Ziming Wang, Yanlin Chen, Chao He, Dongge Wang, Yan Nie and Jiaqiang Li
Energies 2025, 18(11), 2956; https://doi.org/10.3390/en18112956 - 4 Jun 2025
Cited by 1 | Viewed by 678
Abstract
This study aims to investigate the impact of combustion chamber geometry and biodiesel on the performance of diesel engines under various load conditions. Simulations were conducted using AVL FIRE software, followed by experimental validation to compare the performance of the prototype Omega combustion [...] Read more.
This study aims to investigate the impact of combustion chamber geometry and biodiesel on the performance of diesel engines under various load conditions. Simulations were conducted using AVL FIRE software, followed by experimental validation to compare the performance of the prototype Omega combustion chamber with the optimized TCD combustion chamber (T for turbocharger, C for charger air cooling, and D for diesel particle filter). This study utilized four types of fuels: D100, B10, B20, and B50, and was conducted under different load conditions at a rated speed of 1800 revolutions per minute (rpm). The results demonstrate that the TCD combustion chamber outperforms the Omega chamber in terms of indicated thermal efficiency (ITE), in-cylinder pressure, and temperature, and also exhibits a lower indicated specific fuel consumption (ISFC). Additionally, the TCD chamber shows lower soot and carbon monoxide (CO) emissions compared to the Omega chamber, with further reductions as the load increases and the biodiesel blend ratio is raised. The high oxygen content in biodiesel helps to reduce soot and CO formation, while its lower sulfur content and heating value contribute to a decrease in combustion temperature and a reduction in nitrogen oxide (NOx) production. However, the NOx emissions from the TCD chamber are still higher than those from the Omega chamber, possibly due to the increased in-cylinder temperature resulting from its combustion chamber structure. The findings provide valuable insights into diesel engine system design and the application of oxygenated fuels, promoting the development of clean combustion technologies. Full article
(This article belongs to the Section I2: Energy and Combustion Science)
Show Figures

Figure 1

30 pages, 10034 KB  
Article
Study on Cold Start of Methanol Direct Injection Engine Based on Laser Ignition
by Xiaoyu Liu, Jie Zhu and Zhongcheng Wang
Energies 2025, 18(8), 2119; https://doi.org/10.3390/en18082119 - 20 Apr 2025
Cited by 2 | Viewed by 528
Abstract
Methanol has garnered attention as a promising alternative fuel for marine engines due to its high octane number and superior knock resistance. However, methanol-fueled engines face cold-start challenges under low-temperature conditions. Laser ignition technology, an emerging ignition approach, shows potential to replace conventional [...] Read more.
Methanol has garnered attention as a promising alternative fuel for marine engines due to its high octane number and superior knock resistance. However, methanol-fueled engines face cold-start challenges under low-temperature conditions. Laser ignition technology, an emerging ignition approach, shows potential to replace conventional spark ignition systems. This study investigates the effects of laser ignition on combustion and emission characteristics of direct-injection methanol engines based on methanol fuel combustion mechanisms using the AVL-Fire simulation platform, focusing on optimizing key parameters, including ignition energy, longitudinal depth, and lateral position, to provide theoretical support for efficient and clean combustion in marine medium-speed methanol engines. Key findings include an ignition energy threshold (60 mJ) for methanol combustion stability, with combustion parameters (peak pressure, heat release rate) stabilizing when energy reaches ≥80 mJ, recommending 80 mJ as the optimal energy level (balancing ignition reliability and energy consumption economy). Laser longitudinal depth significantly influences flame propagation characteristics, showing a 23% increase in flame propagation speed at 15 mm depth and a reduction of unburned methanol mass fraction to 0.8% at the end of combustion. Full article
(This article belongs to the Special Issue Advanced Combustion Technologies and Emission Control)
Show Figures

Figure 1

13 pages, 3472 KB  
Article
Eularian–Eularian Model for Agglomeration Behavior of Combusted Iron Particles
by Warnakulasooriya Dinoja Sammani Fernando and Jamal Naser
Appl. Sci. 2024, 14(17), 7829; https://doi.org/10.3390/app14177829 - 4 Sep 2024
Viewed by 1421
Abstract
Direct reduction of iron (DRI) technology in fluidized beds has been identified as a promising approach due to its environmental benefits over other methods. Nevertheless, the process of iron particle sintering in the DRI approach poses a significant obstacle to its advancement. The [...] Read more.
Direct reduction of iron (DRI) technology in fluidized beds has been identified as a promising approach due to its environmental benefits over other methods. Nevertheless, the process of iron particle sintering in the DRI approach poses a significant obstacle to its advancement. The present work investigated the phenomenon of agglomeration in fine iron particles across various temperatures and with multiple sintering force models of different intensities of solid bridge force. The study utilized a simple but comprehensive and cost-effective CFD model developed using the Eularian–Eularian two-fluid model. The model was explicitly incorporated with user-defined subroutines for the solid phase, while the gas phase was modeled with AVL Fire advance simulation software. The solid bridge force between solid particles was modeled as the inter-particle cohesive force. The model was validated with the experimental results and results from another CFD-DEM model for the same experiment. High temperatures with increased sintering forces were observed to have the most impact on the iron particle agglomeration, while the gas’s superficial velocity had a minimal effect on it. The predictions of this model closely align with the CFD-DEM model results, providing sufficient reliability to implement this model on a large scale. Full article
Show Figures

Figure 1

19 pages, 6339 KB  
Article
Study on the Influence of the Cell Structure on the Pressure Drop of Gasoline Particulate Filter
by Lishuan Huang, Chao He, Nan Yang, Jiaqiang Li, Yanlin Chen, Haisheng Yu, Dongge Wang and Yangyu Yao
Atmosphere 2024, 15(7), 805; https://doi.org/10.3390/atmos15070805 - 4 Jul 2024
Viewed by 1141
Abstract
The cell structure of a gasoline particulate filter (GPF) is made up of thousands of individual cells. Although the symmetric square cell structure of the GPF is commonly used internationally, several cell designs have been proposed to reduce the pressure drop in the [...] Read more.
The cell structure of a gasoline particulate filter (GPF) is made up of thousands of individual cells. Although the symmetric square cell structure of the GPF is commonly used internationally, several cell designs have been proposed to reduce the pressure drop in the GPF trapping process. The aim of this paper was to use AVL-Fire software to establish GPF models of different cell structures, mainly including the symmetric square cell structure, asymmetric square cell structure, and symmetric hexagonal cell structure, and analyze the GPF pressure drop characteristics of different cell structures according to the carrier structural parameters and altitude. The results show that compared with the pressure drop of the symmetric square cell structure, the pressure drop of the asymmetric cell structure with inlet/outlet side length ratios ranging from 1.1 to 1.4 is decreased by 4.61%, 9.07%, 12.19%, and 13.22%, respectively, and the pressure drop of the symmetric hexagonal cell structure is decreased by 33.17%. Both asymmetric and symmetric hexagonal cell structure GPFs can decrease the pressure drop during trapping by increasing the cell density. From 200 CPSI to 300 CPSI, the pressure drop of the asymmetric cell structure with inlet/outlet side length ratios ranging from 1.1 to 1.4 is decreased by 20.43%, 20.53%, 20.39%, and 18.56%, respectively, and the pressure drop of the symmetric hexagonal cell structure is decreased by 18.70%. The pressure drop values of GPFs with asymmetric and symmetric hexagonal cell structures show an increasing trend with an increasing filter wall thickness and inlet/outlet plug length. The pressure drop values of GPFs with asymmetric and symmetric hexagonal cell structures show an increasing trend with an increasing altitude, and the larger the inlet/outlet ratio, the more significant the increase in the pressure drop. Full article
(This article belongs to the Section Air Pollution Control)
Show Figures

Figure 1

22 pages, 9175 KB  
Article
Investigation into the Impact of Piston Bowl Size on Diesel Engine Characteristics with Changes in Fuel Injection Pressure and Boost Pressure
by Thin Quynh Nguyen and Andrey Y. Dunin
Appl. Sci. 2024, 14(10), 4334; https://doi.org/10.3390/app14104334 - 20 May 2024
Cited by 4 | Viewed by 2874
Abstract
This study presents the effects of piston bowl size on the characteristics of a four-stroke single-cylinder diesel engine, which is considered in relation to changes in factors such as fuel injection pressure and turbocharger pressure. The study was carried out by 3D modeling [...] Read more.
This study presents the effects of piston bowl size on the characteristics of a four-stroke single-cylinder diesel engine, which is considered in relation to changes in factors such as fuel injection pressure and turbocharger pressure. The study was carried out by 3D modeling using AVL Fire with an omega combustion chamber size and dimensions determined by the ratio between the diameter and depth of the piston bowl, which varies from 3.4 to 10.0. Additionally, the turbocharger pressure varies from 0.15 to 0.45 MPa at an engine speed of 1400 rpm and fuel injection pressure up to 300 MPa. The results show that the engine reaches the best values of indicated power, fuel efficiency, and a substantial decrease in emissions of nitrogen oxides at a turbocharger pressure from 0.25 to 0.35 MPa and with a ratio of the diameter to the depth from 7.8 to 10. However, the injection angle changes slightly, and the penetration depth and the tip velocity decrease with increasing boost pressure. While the piston bowl parameters only impact significantly on the tip velocity, the penetration and the spray angle are almost unchanged. In addition, the variation in the diameter of the combustion chamber has an influence on the fluctuation of the spray tip velocity and penetration. Full article
(This article belongs to the Section Applied Thermal Engineering)
Show Figures

Figure 1

21 pages, 4073 KB  
Article
Co-Gasification of Polyethylene and Biomass in Catalytic Bed Material
by Warnakulasooriya Dinoja Sammani Fernando and Jamal Naser
Energies 2024, 17(8), 1804; https://doi.org/10.3390/en17081804 - 9 Apr 2024
Cited by 2 | Viewed by 1868
Abstract
In this work, a simplified comprehensive three-dimensional numerical model is developed to study the effect of hydrogen production on co-gasification of biomass and low-density polyethylene (LDPE). CFD software AVL Fire 2020 inbuilt algorithms were employed to develop the gas phase while the solid [...] Read more.
In this work, a simplified comprehensive three-dimensional numerical model is developed to study the effect of hydrogen production on co-gasification of biomass and low-density polyethylene (LDPE). CFD software AVL Fire 2020 inbuilt algorithms were employed to develop the gas phase while the solid phase was developed by user-defined FORTRAN subroutines. Solid hydrodynamics, fuel conversion, homogenous and non-homogenous chemical reactions, and heat transfer, including radiation, subroutines were defined and incorporated into AVL FIRE explicitly. Species concentrations of the syngas were analyzed for co-gasification of Beechwood and LDPE for three distinct types of bed materials (silica sand, Na-Y zeolite, and ZSM-5 zeolite). Then, the model is validated with experiment results available in the literature for a lab-scale fluidized bed reactor. The highest hydrogen production was observed in Na-Y zeolite followed by ZSM-5 zeolite and silica in both numerical and experimental analysis for the co-gasification of Beechwood and LDPE, providing a reasonable agreement between the numerical and the experimental results. Therefore, the current model predicts the enhancement of the quality of hydrogen-rich syngas through the application of co-pyrolysis within a fluidized bed reactor, incorporating a catalytic bed material. Full article
Show Figures

Figure 1

17 pages, 3409 KB  
Article
LPG, Gasoline, and Diesel Engines for Small Marine Vessels: A Comparative Analysis of Eco-Friendliness and Economic Feasibility
by Jeong Kuk Kim, Siljung Yeo, Jae-Hyuk Choi and Won-Ju Lee
Energies 2024, 17(2), 450; https://doi.org/10.3390/en17020450 - 17 Jan 2024
Cited by 8 | Viewed by 3333
Abstract
As an escalating global concern for environmentally sustainable marine fuels, liquefied petroleum gas (LPG) is attracting attention as an eco-friendly and economical alternative. This study explored LPG utilization in small marine vessels, focusing on its eco-friendliness and economic feasibility. To assess its environmental [...] Read more.
As an escalating global concern for environmentally sustainable marine fuels, liquefied petroleum gas (LPG) is attracting attention as an eco-friendly and economical alternative. This study explored LPG utilization in small marine vessels, focusing on its eco-friendliness and economic feasibility. To assess its environmental implications, the AVL FIRE simulation program was used to compare CO2, CO, NO, and soot emissions from LPG engines with those from conventional gasoline and diesel engines. The LPG engine model relied on data from a pioneering type-approved experimental LPG engine designed for small South Korean marine vessels, while parameters for gasoline and diesel engines were adjusted to suit their distinctive features. Regarding long-term economic feasibility, assuming a 30-year ship lifespan, incorporating 2022 annual average prices, average annual price growth rates, and annual fuel consumption data of each fuel, results indicate that LPG engines exhibited lower CO2, CO, NO, and soot emissions than conventional engines, except that NO emissions were higher than gasoline engines. Evaluating LPG’s economic feasibility over a 30-year ship life cycle for an individual vessel revealed varying fuel cost savings, with the greatest savings observed in gasoline–other (KRW 2220.7 million) and the least in gasoline–coastal (KRW 1152.5 million). These findings offer vital insights for ship operators and policymakers seeking a balance between eco-friendliness and cost-effectiveness, as well as LPG engine technology emerging as pivotal for a sustainable future, harmonizing environmental protection and economic viability. Full article
(This article belongs to the Special Issue Internal Combustion Engine Performance 2023)
Show Figures

Figure 1

19 pages, 4402 KB  
Article
Empirical Degradation Models of the Different Indexes of the Proton Exchange Membrane Fuel Cell Based on the Component Degradation
by Lei Fan, Jianhua Gao, Yanda Lu, Wei Shen and Su Zhou
Energies 2023, 16(24), 8012; https://doi.org/10.3390/en16248012 - 11 Dec 2023
Cited by 1 | Viewed by 1476
Abstract
To describe the degradation of proton exchange membrane fuel cells (PEMFCs), empirical degradation models of different indexes of PEMFCs are established. Firstly, the simulation process and assumptions of PEMFC degradation are proposed. Secondly, the degradation simulation results including the performance and distribution indexes [...] Read more.
To describe the degradation of proton exchange membrane fuel cells (PEMFCs), empirical degradation models of different indexes of PEMFCs are established. Firstly, the simulation process and assumptions of PEMFC degradation are proposed. Secondly, the degradation simulation results including the performance and distribution indexes under the different degradation levels are conducted by AVL FIRE M. Finally, the empirical degradation models of performance and distribution indexes are established based on the above simulation results and experimental data. The results show that the relationship between the experimental and simulation results is established by the index of current density. The empirical degradation models of current density, average equilibrium potential on the cathode catalyst layer (CL), average membrane water content, average oxygen molar concentration on the cathode CL, and average hydrogen crossover flux are the linear function. The empirical degradation models of average exchange current density on the anode CL, average hydrogen molar concentration on the anode CL, and average oxygen crossover flux are the quadratic function. The empirical degradation model of average activation overpotential on the cathode CL is the quintic function. Full article
(This article belongs to the Special Issue Research and Development of Proton Exchange Membrane Fuel Cells)
Show Figures

Figure 1

21 pages, 5915 KB  
Article
Impacts of Charge Air Parameters on Combustion and Emission Characteristics of a Diesel Marine Engine
by Duy Trinh Nguyen, Minh Thai Vu, Van Vang Le and Van Chien Pham
Thermo 2023, 3(3), 494-514; https://doi.org/10.3390/thermo3030030 - 19 Sep 2023
Cited by 3 | Viewed by 3599
Abstract
In this study, the operating processes of a four-stroke diesel marine engine from the intake valve closing (IVC) to the exhaust valve opening (EVO) at numerous different charge air conditions were simulated with the AVL FIRE code. The CFD models were validated with [...] Read more.
In this study, the operating processes of a four-stroke diesel marine engine from the intake valve closing (IVC) to the exhaust valve opening (EVO) at numerous different charge air conditions were simulated with the AVL FIRE code. The CFD models were validated with engine shop-test technical data. The results showed that increasing the charge air pressure without cooling decreased the actual amount of air supplied to the cylinder. As a result, the combustion process was suboptimal, resulting in a reduction in engine power and an increase in specific fuel oil consumption (SFOC). In addition, less air to cool the combustion chamber coupled with elevated charge air temperatures increased the in-cylinder peak temperature, leading to a significant increase in thermal nitric oxide (NO) emissions. In contrast, by cooling the charge air after turbocharging, the actual amount of air entering the engine cylinders was increased. The abundant charge air helped to cool the combustion chamber better, significantly reducing the in-cylinder peak temperature and then the thermal NO formation. Better combustion also increased engine power, which, in turn, reduced SFOC. In addition, carbon dioxide (CO2) and soot emissions were also reduced. Full article
Show Figures

Figure 1

18 pages, 5399 KB  
Article
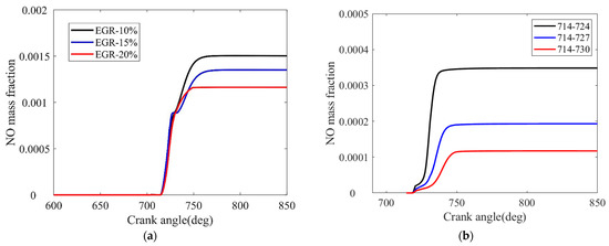
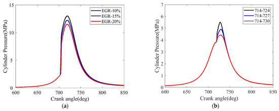
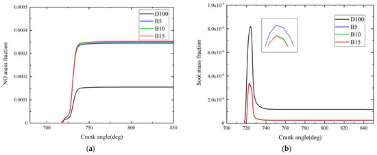
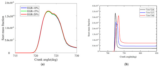
Numerical Method for Predicting Emissions from Biodiesel Blend Fuels in Diesel Engines of Inland Waterway Vessels
by Gang Wu, Jiaoxiu Li, Hao Guo, Xin Wang and Guohe Jiang
J. Mar. Sci. Eng. 2023, 11(1), 86; https://doi.org/10.3390/jmse11010086 - 3 Jan 2023
Cited by 9 | Viewed by 2593
Abstract
The use of alternative fuels in ships faces the dual challenge of emission regulations and cost of use. In this paper, the impact of biodiesel blends from cooking waste as a carbon-neutral fuel for inland waterway vessels was investigated. The software AVL FIRE [...] Read more.
The use of alternative fuels in ships faces the dual challenge of emission regulations and cost of use. In this paper, the impact of biodiesel blends from cooking waste as a carbon-neutral fuel for inland waterway vessels was investigated. The software AVL FIRE was used to simulate the detailed chemical combustion process of a marine diesel engine running on D100 (pure diesel), B5 (5% biodiesel by volume), B10 (10% biodiesel by volume), and B15 (15% biodiesel by volume). The results showed that B5, B10, and B15 all provided a better air-fuel mixture and significantly reduced soot production. Based on the performance and emission values, B5, B10, and B15 cause relatively small differences in engine performance compared to diesel and are readily applicable in practice. Optimizing exhaust gas recirculation (EGR) and varying injection timing can further optimize biodiesel fuel combustion while reducing NOx and soot emissions. The results of this study are helpful for the application of waste cooking oil biodiesel fuel and reducing exhaust gas emissions from ships. Full article
(This article belongs to the Section Marine Environmental Science)
Show Figures

Figure 1

21 pages, 5528 KB  
Article
Effects of the Injector Spray Angle on Combustion and Emissions of a 4-Stroke Natural Gas-Diesel DF Marine Engine
by Van Chien Pham, Van Vang Le, Siljung Yeo, Jae-Hyuk Choi and Won-Ju Lee
Appl. Sci. 2022, 12(23), 11886; https://doi.org/10.3390/app122311886 - 22 Nov 2022
Cited by 8 | Viewed by 4306
Abstract
This work studied the effect of the injector spray angle (SA) on the combustion and emissions of a 4-stroke port-injection natural gas-diesel dual-fuel (NG-Diesel DF) marine engine to determine the optimal SA for the fuel injector, aiming to reduce exhaust gas emissions while [...] Read more.
This work studied the effect of the injector spray angle (SA) on the combustion and emissions of a 4-stroke port-injection natural gas-diesel dual-fuel (NG-Diesel DF) marine engine to determine the optimal SA for the fuel injector, aiming to reduce exhaust gas emissions while keeping the engine performance. Three-dimensional (3D) simulations of the combustion process and emission formations occurring in the engine cylinder in both diesel and DF modes were carried out using the AVL FIRE R2018a code. The engine’s in-cylinder temperature, pressure, and emission characteristics were analyzed. To clarify the effect of the injector SA on the combustion and emission characteristics of the engine, only the injector SA has been varied from 145 to 160°. Meanwhile, all other boundary conditions for the simulations and operating conditions of the engine have remained unchanged. The simulation results have been compared and showed a good agreement with the engine experimental results. The study has successfully investigated the effects of the injector SA on the combustion and emission characteristics of the engine. A better SA for the fuel injector, to reduce the NO emissions (145°) or soot and CO2 emissions (150°), while keeping the engine power almost unchanged, without the use of any exhaust gas post-treatment equipment, has also been suggested. Full article
Show Figures

Figure 1

25 pages, 3700 KB  
Article
A Simulation Study of the Effect of HCNG Fuel and Injector Hole Number along with a Variation of Fuel Injection Pressure in a Gasoline Engine Converted from Port Injection to Direct Injection
by Javad Zareei, José Ricardo Nuñez Alvarez, Yolanda Llosas Albuerne, María Rodríguez Gámez and Ángel Rafael Arteaga Linzan
Processes 2022, 10(11), 2389; https://doi.org/10.3390/pr10112389 - 14 Nov 2022
Cited by 6 | Viewed by 2442
Abstract
The number of injector holes and the fuel-injection pressure in an internal combustion engine can affect engine performance and exhaust emissions. Conversion of a port-injection gasoline engine to an HCNG direct-injection engine improves engine performance and exhaust emissions. In addition, increasing the injection [...] Read more.
The number of injector holes and the fuel-injection pressure in an internal combustion engine can affect engine performance and exhaust emissions. Conversion of a port-injection gasoline engine to an HCNG direct-injection engine improves engine performance and exhaust emissions. In addition, increasing the injection pressure helps to increase engine performance. In this study, AVL Fire software was used to perform simulation by certain adjustments. The injection pressure was applied in mods of 15, 20, and 25 bars, the injector holes numbers were 3 and 6, the compression ratio changed from 10:1 to 14:1, and the amount of hydrogen enrichment to natural gas was in mods of 10%, 20%, 30%, and 40%. This paper discusses the items above with regard to power, torque, combustion chamber pressure, fuel conversion efficiency, and exhaust emissions. The result determined that increasing the number of injector holes improves the performance engine and reduces CO emission so that the contour plots confirmed the balanced distribution of temperature and pressure. According to obtained results, maximum engine performance improved from 2.5% to 5% at different speeds and 30% added hydrogen, 25 bar injection pressure, and 6-hole injectors. The amount of CO decreased by approximately 30%, and NOx increased by about 10%. Full article
Show Figures

Figure 1

17 pages, 5293 KB  
Article
Soot Distribution Characteristics and Its Influence Factors in Burner-Type Regeneration Diesel Particulate Filter
by Guohai Jia, Guoshuai Tian, Hongyan Zuo, Chao Zhong and Bin Zhang
Processes 2022, 10(10), 2029; https://doi.org/10.3390/pr10102029 - 7 Oct 2022
Cited by 1 | Viewed by 2973
Abstract
The burner-type regeneration diesel particulate filter is one of the most widely used diesel particulate filters. Using AVL FIRE, a 3D model of a burner-type regeneration diesel particulate filter (DPF) was established, and simulation analyses were carried out. The effects of the exhaust [...] Read more.
The burner-type regeneration diesel particulate filter is one of the most widely used diesel particulate filters. Using AVL FIRE, a 3D model of a burner-type regeneration diesel particulate filter (DPF) was established, and simulation analyses were carried out. The effects of the exhaust parameters (temperature, exhaust mass flow rate, and soot load) and the structural parameters (channel density, inlet/outlet channel ratio, and the length–diameter ratio) on soot distribution (soot mass concentration and soot thickness) were analyzed. The results show that the soot distribution characteristics of regenerative DPF with a burner are as follows: the soot mass concentration first rapidly rises to the maximum value and then rapidly decreases to a low value, and the dust thickness gradually increases with the increase in location. With the increase in exhaust mass flow rate and soot load, soot mass concentration and soot thickness increase. With the increase in temperature, the mass concentration and thickness of the ash decreased. When the temperature exceeds 750 K, soot begins to regenerate. Among the exhaust parameters, the mass flow rate of the exhaust has the greatest influence on the soot distribution. The length–diameter ratio, the ratio of the inlet and the outlet channel, and channel density have little effect on the mass concentration of soot, and the soot mass concentration increases with the increase in channel density. In addition to the length–diameter ratio of 2.1, the soot thickness increases with the increase in the length–diameter ratio, and the rising rate is also accelerated. The thickness of soot decreased with the increase in channel density and the ratio of the inlet and the outlet channels. When the channel density is more than 250, the change in soot thickness is basically the same. When the ratio of the inlet and the outlet channels exceeds 1.3, the change in the soot thickness is basically the same. Among the structural parameters, channel density has the greatest influence on the soot distribution. Full article
(This article belongs to the Special Issue Clean Combustion and Emission in Vehicle Power System)
Show Figures

Figure 1

18 pages, 8458 KB  
Article
Effects of Injection Timing and Injection Volume on the Combustion and Emissions of a Two-Stroke Kerosene Direct Injection Engine
by Taixue Bei, Bo Lu, Rui Liu, Junhui Huang and Bing Zhang
Processes 2022, 10(9), 1728; https://doi.org/10.3390/pr10091728 - 31 Aug 2022
Cited by 3 | Viewed by 2398
Abstract
To study the influence of injection time and injection volume on the working process of a two-stroke kerosene direct injection engine, an experimental study was carried out on an improved two-stroke inline three-cylinder gasoline engine, combined with calculations and analysis with GT-POWER and [...] Read more.
To study the influence of injection time and injection volume on the working process of a two-stroke kerosene direct injection engine, an experimental study was carried out on an improved two-stroke inline three-cylinder gasoline engine, combined with calculations and analysis with GT-POWER and AVL FIRE software. The results showed that when the injection end angle increased from 50° to 70° before the top dead center (BTDC), the average pressure and temperature in the cylinder increased rapidly, the peak value of pressure and temperature and the cumulative heat release increased, and the combustion process in the cylinder was more sufficient. The fuel injection volume was set to 7.5 mg, 8 mg, and 8.5 mg. With increasing fuel injection volume, the average pressure and average temperature first increased and then decreased, the peak value gradually increased, the heat release rate and cumulative heat release increased sharply, the corresponding time gradually advanced, and the peak value gradually increased. With increasing fuel injection volume, CO, NO, and soot gradually increased, while CO2 slightly decreased. Full article
(This article belongs to the Special Issue Combustion and Emission Performance of Internal Combustion Engines)
Show Figures

Figure 1

26 pages, 23584 KB  
Article
Performance, Combustion, and Emission Comparisons of a High-Speed Diesel Engine Fueled with Biodiesel with Different Ethanol Addition Ratios Based on a Combined Kinetic Mechanism
by Yunhao Zhong, Yanhui Zhang, Chengfang Mao and Ananchai Ukaew
Processes 2022, 10(9), 1689; https://doi.org/10.3390/pr10091689 - 25 Aug 2022
Cited by 10 | Viewed by 3267
Abstract
In this work, different ethanol ratios (5%, 10%, 15%, and 20%) blended with biodiesel were used to investigate the effects of ethanol addition on engine performance, combustion, and emission characteristics of a high-speed diesel engine in terms of brake power, brake specific fuel [...] Read more.
In this work, different ethanol ratios (5%, 10%, 15%, and 20%) blended with biodiesel were used to investigate the effects of ethanol addition on engine performance, combustion, and emission characteristics of a high-speed diesel engine in terms of brake power, brake specific fuel consumption, brake thermal efficiency, cylinder pressure, cylinder temperature, heat release rate, NOx, CO, and soot emissions. First, a three-dimensional CFD model was established by AVL-Fire combined with the CHEMKIN code. Then, an improved kinetic mechanism with 430 reactions and 122 species was developed by combining a three-component biodiesel combustion mechanism and ethanol mechanism to accurately simulate the blended fuel combustion processes. The results indicated that compared with biodiesel, the maximum brake specific fuel consumption increased by 6.08%, and the maximum brake thermal efficiency increased by 2.09% for the blended fuel. In addition, NOx and CO emissions for EE20 were reduced by 29.32% and 39.57% at full engine load. Overall, the ethanol addition can significantly decrease pollution emissions. Full article
(This article belongs to the Special Issue Clean Combustion and Emission in Vehicle Power System)
Show Figures

Figure 1

Back to TopTop