Numerical Method for Predicting Emissions from Biodiesel Blend Fuels in Diesel Engines of Inland Waterway Vessels
Abstract
1. Introduction
2. Materials and Methods
2.1. Vessel Engine
2.2. Computational Mesh
2.3. Fuel Preparation
2.4. Mathematical Models and Validation
3. Results and Discussion
3.1. Effects of Different Proportions of Biodiesel Blended Fuels on Combustion Characteristics
3.1.1. Cylinder Pressure
3.1.2. Cylinder Temperature
3.1.3. Heat Release Rate
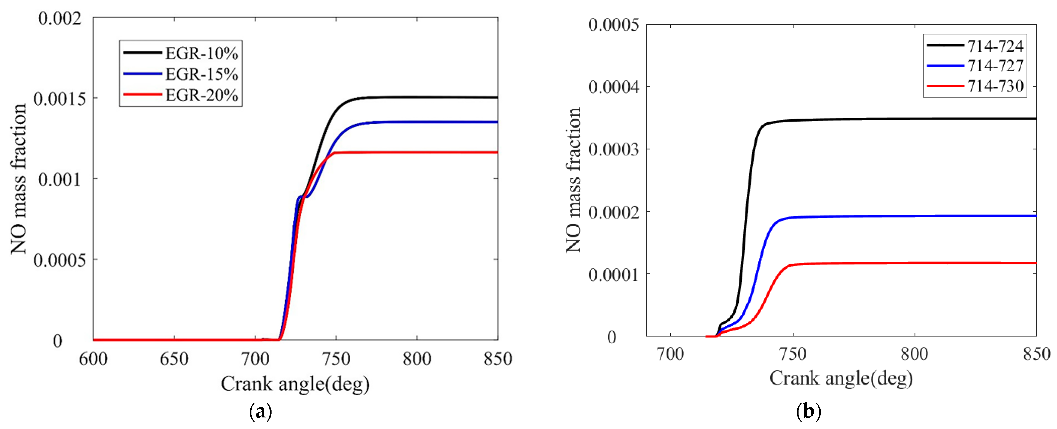
3.1.4. Nitrogen Oxides Emission
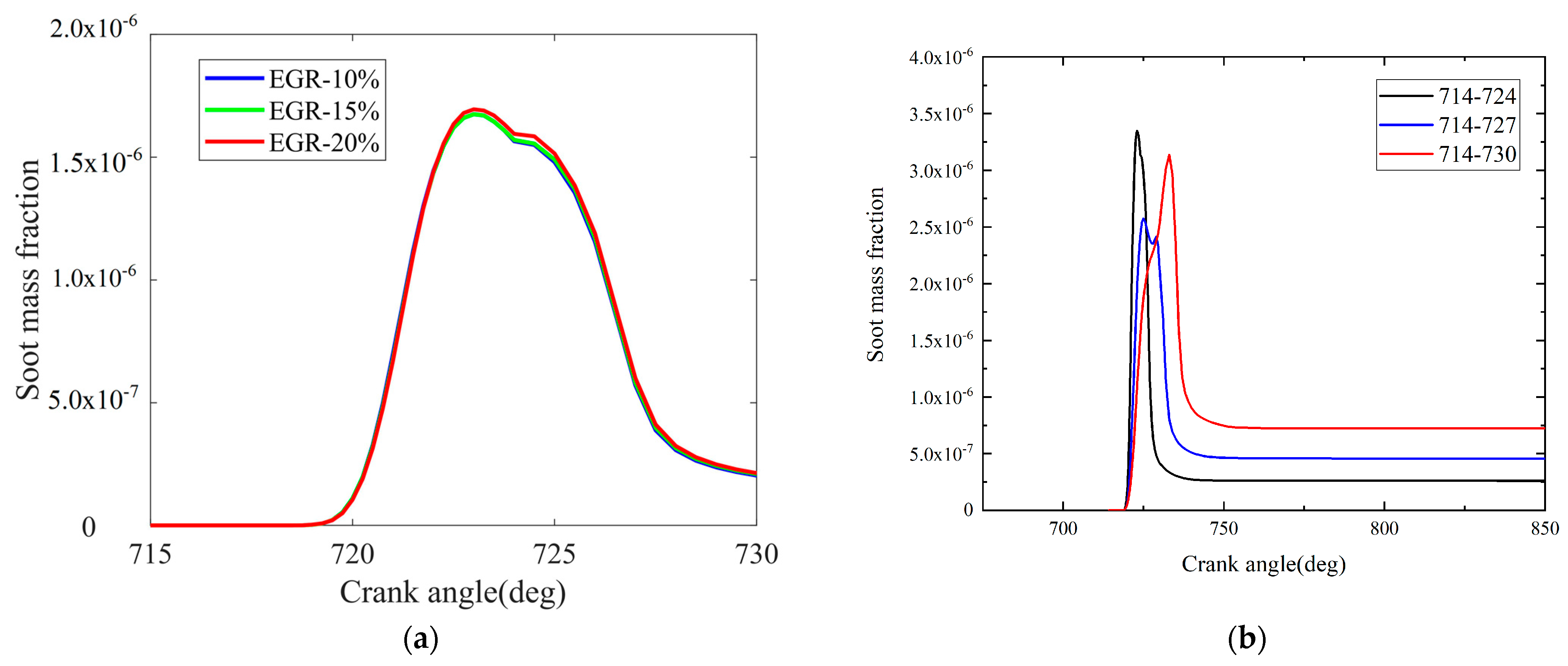
3.1.5. Soot Emission
3.2. Effects of Different EGR Rates and Injection Durations
3.2.1. Cylinder Pressure
3.2.2. Cylinder Temperature
3.2.3. Heat Release Rate
3.2.4. Nitrogen Oxides Emission
3.2.5. Soot Emission
4. Conclusions
Author Contributions
Funding
Institutional Review Board Statement
Data Availability Statement
Acknowledgments
Conflicts of Interest
References
- Wallington, T.J.; Lambert, C.K.; Ruona, W.C. Diesel vehicles and sustainable mobility in the U.S. Energy Policy 2013, 54, 47–53. [Google Scholar] [CrossRef]
- Zhang, Z.; Jiaqiang, E.; Deng, Y.; Pham, M.; Zuo, W.; Peng, Q.; Yin, Z. Effects of fatty acid methyl esters proportion on combustion and emission characteristics of a biodiesel fueled marine diesel engine. Energy Convers. Manag. 2018, 159, 244–253. [Google Scholar] [CrossRef]
- Nghia, N.T.; Khoa, N.X.; Cho, W.; Lim, O. A Study the Effect of Biodiesel Blends and the Injection Timing on Performance and Emissions of Common Rail Diesel Engines. Energies 2021, 15, 242. [Google Scholar] [CrossRef]
- Visan, N.A.; Carlanescu, R.; Niculescu, D.C.; Chiriac, R. Study on the Cumulative Effects of Using a High-Efficiency Turbocharger and Biodiesel B20 Fuelling on Performance and Emissions of a Large Marine Diesel Engine. J. Mar. Sci. Eng. 2022, 10, 1403. [Google Scholar] [CrossRef]
- Yatish, K.V.; Lalithamba, H.S.; Suresh, R.; Hebbar, H.H. Optimization of bauhinia variegata biodiesel production and its performance, combustion and emission study on diesel engine. Renew. Energy 2018, 122, 561–575. [Google Scholar] [CrossRef]
- Zhao, X.; Jiaqiang, E.; Liao, G.; Zhang, F.; Chen, J.; Deng, Y. Numerical simulation study on soot continuous regeneration combustion model of diesel particulate filter under exhaust gas heavy load. Fuel 2021, 290, 119795. [Google Scholar] [CrossRef]
- Jensen, M.V.; Cordtz, R.F.; Schramm, J. Numerical analysis of methane slip source distribution in a four-stroke dual-fuel marine engine. J. Mar. Sci. Technol. 2020, 26, 606–617. [Google Scholar] [CrossRef]
- Su, P.H.; Geng, P.; Wei, L.; Hou, C.Y.; Li, Y.F.; Feng, D.L. PM and PAHs emissions of ship auxiliary engine fuelled with waste cooking oil biodiesel and marine gas oil. IET Intell. Transp. Syst. 2018, 13, 218–227. [Google Scholar] [CrossRef]
- Namitha, B.; Sathish, A.; Kumar, P.S.; Nithya, K.; Sundar, S. Micro algal biodiesel synthesized from Monoraphidium sp., and Chlorella sorokiniana: Feasibility and emission parameter studies. Fuel 2021, 301, 121063. [Google Scholar] [CrossRef]
- Mourad, M.; Mahmoud, K.R.M.; NourEldeen, E.S.H. Improving diesel engine performance and emissions characteristics fuelled with biodiesel. Fuel 2021, 302, 121097. [Google Scholar] [CrossRef]
- Mohamed, M.; Tan, C.K.; Fouda, A.; Gad, M.S.; Abu-Elyazeed, O.; Hashem, A.F. Diesel Engine Performance, Emissions and Combustion Characteristics of Biodiesel and Its Blends Derived from Catalytic Pyrolysis of Waste Cooking Oil. Energies 2020, 13, 5708. [Google Scholar] [CrossRef]
- Zöldy, M.; Kondor, I.P. Simulation and Injector Bench Test Validation of Different Nozzle Hole Effect on Pyrolysis Oil-Diesel Oil Mixtures. Energies 2021, 14, 2396. [Google Scholar] [CrossRef]
- Zareei, J.A.V.A.D.; Haseeb, M.; Ghadamkheir, K.; Farkhondeh, S.A.; Yazdani, A.; Ershov, K. The effect of hydrogen addition to compressed natural gas on performance and emissions of a DI diesel engine by a numerical study. Int. J. Hydrog. Energy 2020, 45, 34241–34253. [Google Scholar] [CrossRef]
- Turkcan, A.; Altinkurt, M.D.; Coskun, G.; Canakci, M. Numerical and experimental investigations of the effects of the second injection timing and alcohol-gasoline fuel blends on combustion and emissions of an HCCI-DI engine. Fuel 2018, 219, 50–61. [Google Scholar] [CrossRef]
- Temizer, İ.; Cihan, Ö. Analysis of different combustion chamber geometries using hydrogen/diesel fuel in a diesel engine. Energy Sources Part A Recovery Util. Environ. Eff. 2020, 43, 17–34. [Google Scholar] [CrossRef]
- Salehian, A.; Shirneshan, A. The Effect of Cordierite-Platinum SCR Catalyst on the NOx Removal Efficiency in an Engine Fueled with Diesel-Ethanol-Biodiesel Blends. Catal. Lett. 2020, 150, 2236–2253. [Google Scholar] [CrossRef]
- Zhang, Y.; Zhong, Y.; Wang, J.; Tan, D.; Zhang, Z.; Yang, D. Effects of Different Biodiesel-Diesel Blend Fuel on Combustion and Emission Characteristics of a Diesel Engine. Processes 2021, 9, 1984. [Google Scholar] [CrossRef]
- Huang, Z.; Huang, J.; Luo, J.; Hu, D.; Yin, Z. Performance enhancement and emission reduction of a diesel engine fueled with different biodiesel-diesel blending fuel based on the multi-parameter optimization theory. Fuel 2022, 314, 122753. [Google Scholar] [CrossRef]
- Imperato, M.; Kaario, O.; Larmi, M.; Sarjovaara, T. Emission reduction methods and split fuel injection in a marine four-stroke engine. J. Mar. Sci. Technol. 2017, 23, 94–103. [Google Scholar] [CrossRef]
- Asadi, A.; Kadijani, O.N.; Doranehgard, M.H.; Bozorg, M.V.; Xiong, Q.; Shadloo, M.S.; Li, L.K. Numerical study on the application of biodiesel and bioethanol in a multiple injection diesel engine. Renew. Energy 2020, 150, 1019–1029. [Google Scholar] [CrossRef]
- Karami, R.; Rasul, M.G.; Khan MM, K.; Salahi, M.M.; Anwar, M. Experimental and computational analysis of combustion characteristics of a diesel engine fueled with diesel-tomato seed oil biodiesel blends. Fuel 2021, 285, 119243. [Google Scholar] [CrossRef]
- Asadi, A.; Zhang, Y.; Mohammadi, H.; Khorand, H.; Rui, Z.; Doranehgard, M.H.; Bozorg, M.V. Combustion and emission characteristics of biomass derived biofuel, premixed in a diesel engine: A CFD study. Renew. Energy 2019, 138, 79–89. [Google Scholar] [CrossRef]
- Pham, V.C.; Rho, B.S.; Kim, J.S.; Lee, W.J.; Choi, J.H. Effects of Various Fuels on Combustion and Emission Characteristics of a Four-Stroke Dual-Fuel Marine Engine. J. Mar. Sci. Eng. 2021, 9, 1072. [Google Scholar] [CrossRef]
- Wu, G.; Jiang, G.; Yang, Z.; Huang, Z. Emission Characteristics for Waste Cooking Oil Biodiesel Blend in a Marine Diesel Propulsion Engine. Pol. J. Environ. Stud. 2019, 28, 2911–2921. [Google Scholar] [CrossRef]
- Fernando, S.; Hall, C.; Jha, S. NOx Reduction from Biodiesel Fuels. Energy Fuels 2006, 20, 376–382. [Google Scholar] [CrossRef]
- Temizer, I.; Cihan, O. Experimental and Numerical Evaluation of Combustion Analysis of a DI Diesel Engine. Energy Rep. 2021, 7, 5549–5561. [Google Scholar] [CrossRef]
- Wu, G.; Zhou, X.; Li, T. Temporal Evolution of Split-Injected Fuel Spray at Elevated Chamber Pressures. Energies 2019, 12, 4284. [Google Scholar] [CrossRef]
- Vu, D.N.; Ocktaeck, L.I.M. Ignition and combustion characteristics of gasoline-biodiesel blend in a constant volume chamber: Effects of the operation parameters. Fuel 2019, 255, 115764. [Google Scholar] [CrossRef]
- Gao, J.; Jiang, D.; Huang, Z. Spray properties of alternative fuels: A comparative analysis of ethanol–gasoline blends and gasoline. Fuel 2007, 86, 1645–1650. [Google Scholar] [CrossRef]
- Agarwal, A.K.; Chaudhury, V.H. Spray characteristics of biodiesel/blends in a high pressure constant volume spray chamber. Exp. Therm. Fluid Sci. 2012, 42, 212–218. [Google Scholar] [CrossRef]
- Singh, N.; Agarwal, A.; Agarwal, M. Performance evaluation of lead–free double-perovskite solar cell. Opt. Mater. 2021, 114, 110964. [Google Scholar] [CrossRef]















| Project | Parameter | 
|---|---|
| Model | 6135G128ZCa | 
| Weight (kg) | 1160 | 
| Length × width × height (mm × mm × mm) | 1433 × 797 × 1236 | 
| Piston stroke (mm) | 150 | 
| Cylinder diameter (mm) | 135 | 
| Compression ratio | 17 | 
| Total piston displacement (L) | 12.88 | 
| 12 h power (kW) | 178.2 | 
| Calibration speed (r/min) | 1500 | 
| Overload speed (r/min) | 1545 | 
| The fuel consumption rate of 12 h power (g/kW·h) | ≤228.4 | 
| The oil consumption rate of 12 h power (g/kW·h) | ≤1.47 | 
| Parameter | Value | 
|---|---|
| Initial cylinder pressure (bar) | 1.46 | 
| Initial cylinder temperature (K) | 350 | 
| Initial turbulent kinetic energy (m2/s2) | 21.09 | 
| Initial turbulence size (m) | 0.0125 | 
| Cylinder head temperature (K) | 550 | 
| Piston top (K) | 575 | 
| Cylinder wall temperature (K) | 353 | 
| Project | D100 | B5 | B10 | B15 | 
|---|---|---|---|---|
| Standard technical name | GB 17930-2016 | GB T25199-2014 | T/SFSF000010-2020 | Unpublished | 
| Density (kg/m3) | 825.2 | 827.2 | 829.6 | 831.8 | 
| Kinematic viscosity (mm2/s) | 2.604 | 2.679 | 2.750 | 2.775 | 
| Gross calorific value (MJ/kg) | 46.110 | 45.920 | 45.495 | 45.360 | 
| Net calorific value (MJ/kg) | 43.015 | 42.880 | 42.545 | 42.445 | 
| Flash point/°C | 68.5 | 69.0 | 69.5 | 70.5 | 
| Acidity (mg/100 mL) | 4.71 | 5.30 | 5.99 | 8.54 | 
| Freezing point/°C | −17 | −17 | −15 | −14 | 
| Cetane number | 52.5 | 53.2 | 53.0 | 53.4 | 
| Low calorific value (MJ/kg) | 43.12 | 42.81 | 42.49 | 42.18 | 
| Oxygen content/(%) | 0.76 | 0.71 | 0.62 | 0.60 | 
| Carbon content/(%) | 85.46 | 85.73 | 86.23 | 86.40 | 
| Hydrogen content/(%) | 13.69 | 13.46 | 13.06 | 12.90 | 
| Nitrogen content/(%) | 0.03 | 0.04 | 0.03 | 0.04 | 
| Type | Name | 
|---|---|
| Turbulence model | K-ξ-f model | 
| Spray crushing model | WAVE model | 
| Bumper model | Walljet1 Bumper model | 
| Evaporation model | Multi-component model | 
| Turbulent diffusion model | Enable model | 
| Combustion model | ECFM-3Z model | 
| NOx model | Extended zeldovich model | 
| Soot model | Kinetic model | 
| Disclaimer/Publisher’s Note: The statements, opinions and data contained in all publications are solely those of the individual author(s) and contributor(s) and not of MDPI and/or the editor(s). MDPI and/or the editor(s) disclaim responsibility for any injury to people or property resulting from any ideas, methods, instructions or products referred to in the content. | 
© 2023 by the authors. Licensee MDPI, Basel, Switzerland. This article is an open access article distributed under the terms and conditions of the Creative Commons Attribution (CC BY) license (https://creativecommons.org/licenses/by/4.0/).
Share and Cite
Wu, G.; Li, J.; Guo, H.; Wang, X.; Jiang, G. Numerical Method for Predicting Emissions from Biodiesel Blend Fuels in Diesel Engines of Inland Waterway Vessels. J. Mar. Sci. Eng. 2023, 11, 86. https://doi.org/10.3390/jmse11010086
Wu G, Li J, Guo H, Wang X, Jiang G. Numerical Method for Predicting Emissions from Biodiesel Blend Fuels in Diesel Engines of Inland Waterway Vessels. Journal of Marine Science and Engineering. 2023; 11(1):86. https://doi.org/10.3390/jmse11010086
Chicago/Turabian StyleWu, Gang, Jiaoxiu Li, Hao Guo, Xin Wang, and Guohe Jiang. 2023. "Numerical Method for Predicting Emissions from Biodiesel Blend Fuels in Diesel Engines of Inland Waterway Vessels" Journal of Marine Science and Engineering 11, no. 1: 86. https://doi.org/10.3390/jmse11010086
APA StyleWu, G., Li, J., Guo, H., Wang, X., & Jiang, G. (2023). Numerical Method for Predicting Emissions from Biodiesel Blend Fuels in Diesel Engines of Inland Waterway Vessels. Journal of Marine Science and Engineering, 11(1), 86. https://doi.org/10.3390/jmse11010086
 
        


 
       