A Simulation Study of the Effect of HCNG Fuel and Injector Hole Number along with a Variation of Fuel Injection Pressure in a Gasoline Engine Converted from Port Injection to Direct Injection
Abstract
1. Introduction
2. Methods and Materials
2.1. Simulation Conditions and Engine Specifications
Fuel Injection
2.2. The Governing Equation
2.3. Ignition Modelling
2.4. Fuel Chemical Equation and Engine Specifications
2.5. Formation of CO and NOx
2.6. Engine Performance Characteristics
2.7. Validation and Statistical Method
2.7.1. Validation of the Model Using Experimental Results

2.7.2. Statistical Method
3. Results and Discussion
3.1. Statical Results
Effect of Injector Holes Number, Injection Pressure on Engine Performance and Exhaust Emissions
3.2. Simulation Results
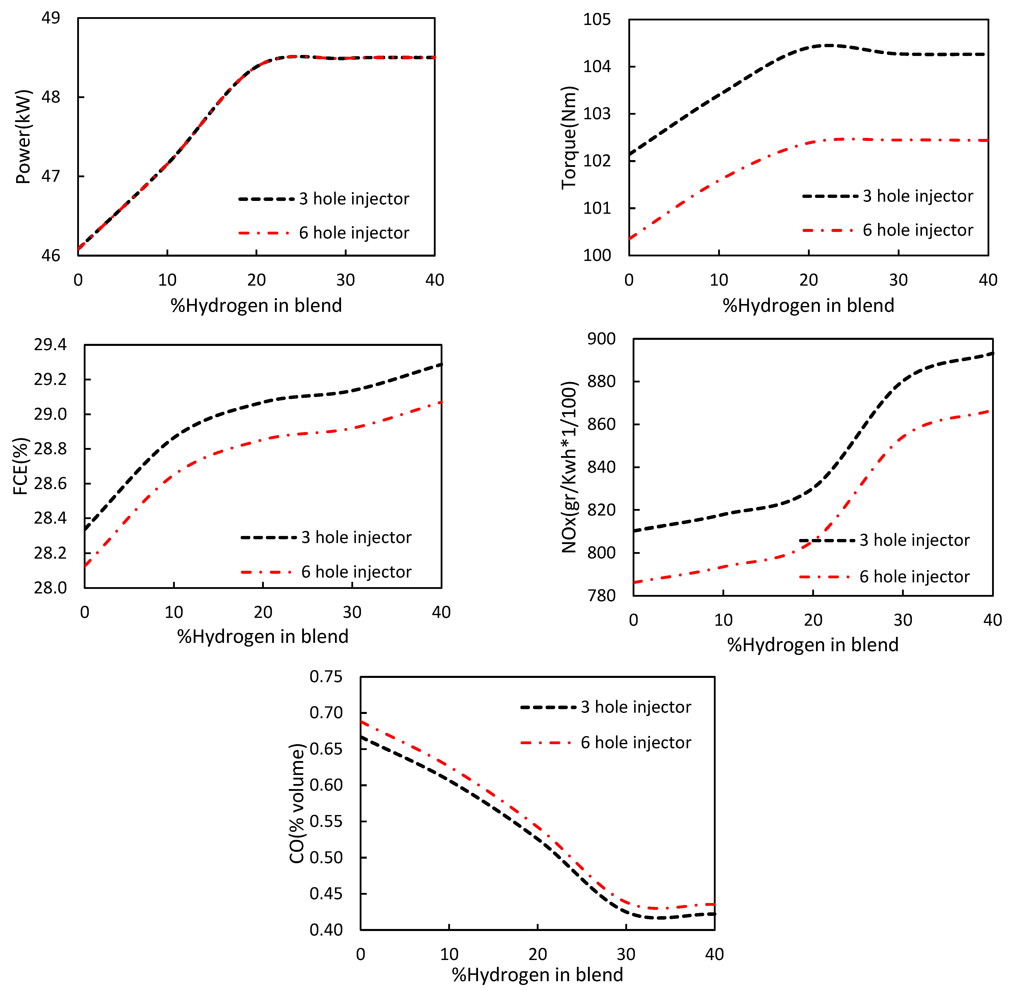
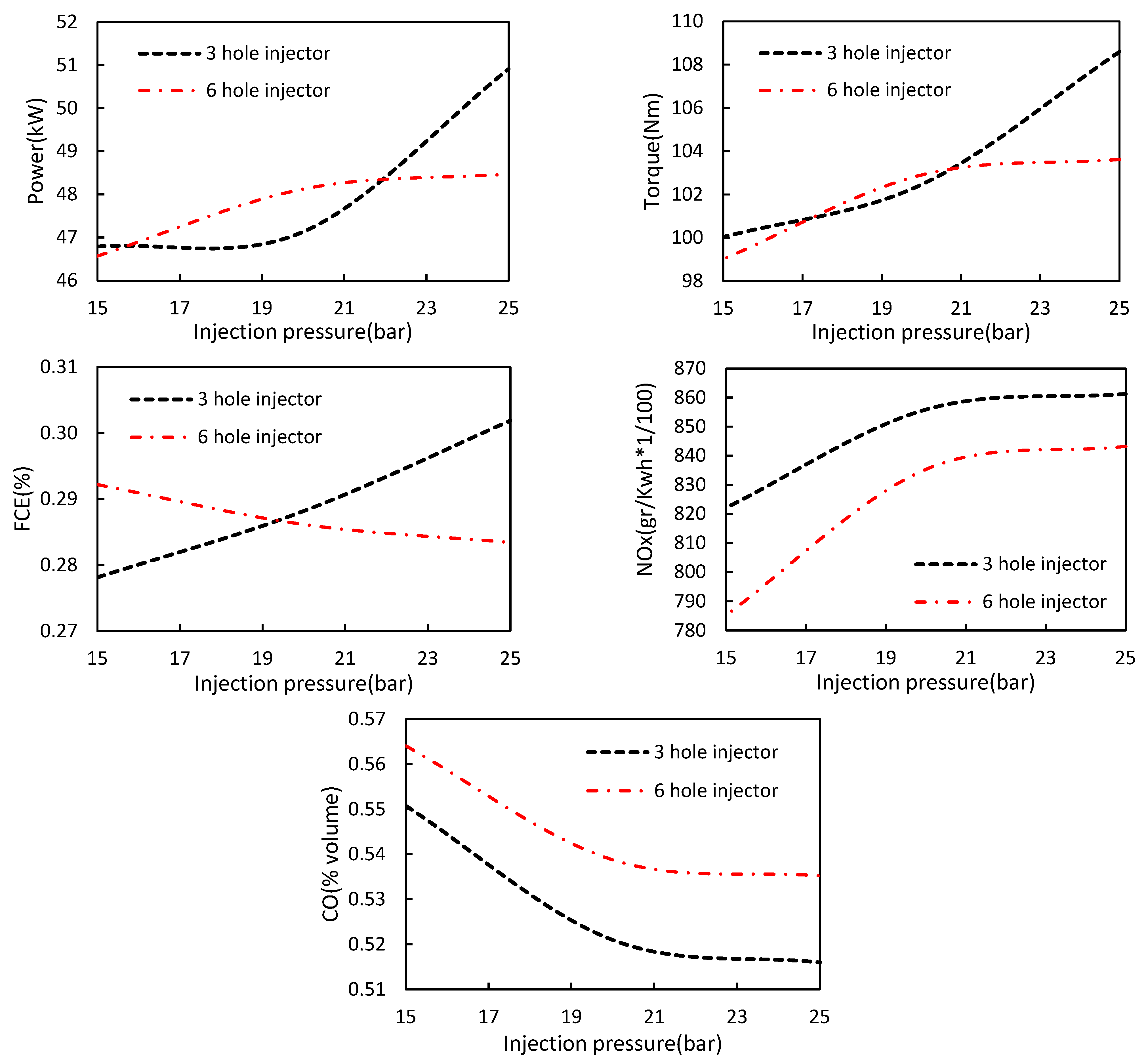
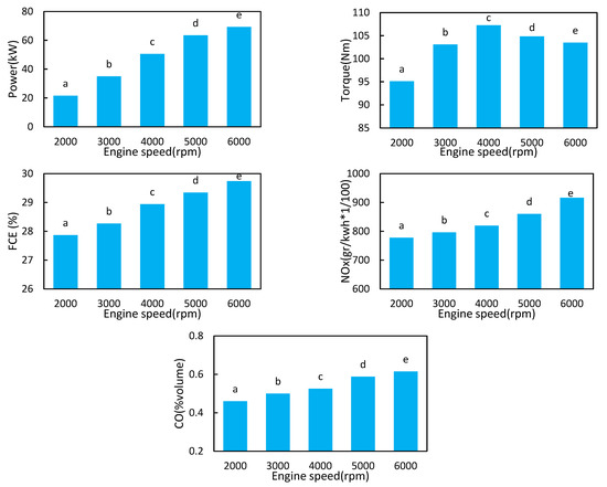
3.2.1. Effect of Injector Holes Number, Injection Pressure on Engine Performance and Exhaust Emissions
The Contour Plot of Pressure and Temperature in Cylinder for 3-Hole and 6-Hole Injectors
4. Conclusions
- By increasing the percentage of hydrogen in the fuel composition up to 20%, the changes in power, torque, and fuel consumption efficiency trend significantly upward statistically.
- By increasing the percentage of hydrogen in HCNG fuel, NOx increased due to an increase in the temperature of the combustion chamber and also caused a significant decrease in CO values.
- By increasing the fuel injection pressure along with the engine speed, the FCE, NOx, and CO values went up, although the maximum power and torque were obtained at an injection pressure of 25 bar and 15 bar.
- Reducing the injector hole number at each step increases the performance characteristics of the engine, whereas the amount of torque after 4000 RPM has the opposite trend. At the same time, the amount of NOx and CO pollutants has significantly reduced and generated many changes, respectively, by decreasing the injector hole number from 6 to 3.
- Increasing the injector hole number along with the percentage of hydrogen in the HCNG did not have a significant effect on the performance characteristics. Therefore, the amount of CO decreases with an increase in the percentage of hydrogen, and the amount of NOx and FCE with higher hole numbers in the injector had an increasing trend.
- The optimal value of engine performance was obtained according to the two parameters of injection pressure at 19 bar and injector hole number of 3 holes.
- One general result is that the optimal engine conditions in this research were 30% HCNG fuel, an injection pressure of 25 bar, and an injector with 6 holes. In addition, adding hydrogen to CNG had an axial role in the improvement of engine performance.
Author Contributions
Funding
Data Availability Statement
Conflicts of Interest
Nomenclature
| DI | Direct Injection |
| CA | Crank Angle |
| LHV | Lower Heating Value |
| RPM | Revolutions Per Minute |
| HCCI | Homogeneous Charge Compression Ignition |
| CRD | Completely randomized design |
| IP | Injection Pressure |
| CR | Injector hole number |
| FCE | Specific Fuel Consumption |
| Ns | Not significant. |
| SS | Total squares |
| IHN | Injector hole number |
| Gases and Fuels | |
| NG | Natural Gas |
| CNG | Compressed Natural Gas |
| HCNG | Hydrogen enriched Compressed Natural gas |
| NOx | Nitrogen Dioxide |
| CO | Carbon Monoxide |
| CO2 | Carbon Dioxide |
| H | Hydrogen fuel consumption |
| Greek Letters | |
| Ρ | Density of the fluid flow |
| Ûi | Local velocity |
| Gi | Acceleration |
| P | Pressure of the fluid flow |
| Μ | Kinematic viscosity |
| Μi | Kinematic viscosity |
| Vi | Stress tensor |
| Vj | Stress tensor |
| Σij | Stress from interaction of the fluid flow |
| H | Local enthalpy of the fluid flow |
| Qg | Heat exchange rate in the gaseous mixture |
| Tij | Shear stress between the fluid flow lines |
| 1 | Fuel ratio |
| T | Fluid flow temperature |
| Yi | Introduced species |
| V | Viscosity of the fluid flow |
| Ji | Infiltration of the species |
| Ri | Rate of production of the species |
| Si | Source of the species |
References
- Perera, F. Pollution from fossil-fuel combustion is the leading environmental threat to global pediatric health and equity: Solutions exist. Int. J. Environ. Res. Public Health 2018, 15, 16. [Google Scholar] [CrossRef] [PubMed]
- Bolaji, B.; Adejuyigbe, S.B. Vehicle Emissions and their Effects on the Natural Environment—A Review. J. Ghana Inst. Eng. 2006, 4, 35–41. [Google Scholar]
- Zareei, J.; Haseeb, M.; Ghadamkheir, K.; Farkhondeh, S.; Yazdani, A.; Ershov, K. The effect of hydrogen addition to compressed natural gas on performance and emissions of a DI diesel engine by a numerical study. Int. J. Hydrog. Energy 2020, 45, 34241–34253. [Google Scholar] [CrossRef]
- Alrashidi, A.M.; Adam, N.M.; Hairuddin, A.A.; Abdullah, L.C. A review on plasma combustion of fuel in internal combustion engines. Int. J. Energy Res. 2017, 42, 1813–1833. [Google Scholar] [CrossRef]
- Martins, J.; Brito, F.P. Alternative Fuels for Internal Combustion Engines. Energies 2020, 13, 4086. [Google Scholar] [CrossRef]
- Talupula, N.B.; Jntu; Rao, P.; Kumar, B.P.; Raveen, C. Alternative Fuels for Internal Combustion Engines: Overview of current research. Int. J. Mech. Eng. 2017, 4, 20–29. [Google Scholar] [CrossRef]
- Demirbas, A. Future Fuels for Internal Combustion Engines. Energy Sources Part A Recover. Util. Environ. Eff. 2010, 32, 1273–1281. [Google Scholar] [CrossRef]
- Khan, M.I.; Yasmeen, T.; Farooq, M.; Wakeel, M. Research progress in the development of natural gas as fuel for road vehicles: A bibliographic review (1991–2016). Renew. Sustain. Energy Rev. 2016, 66, 702–741. [Google Scholar] [CrossRef]
- Górniak, A.; Midor, K.; Kaźmierczak, J.; Kaniak, W. Advantages and Disadvantages of Using Methane from CNG in Motor Vehicles in Polish Conditions. Multidiscip. Asp. Prod. Eng. 2018, 1, 241–247. [Google Scholar] [CrossRef][Green Version]
- Bhasker, J.P.; Porpatham, E. Effects of compression ratio and hydrogen addition on lean combustion characteristics and emission formation in a Compressed Natural Gas fuelled spark ignition engine. Fuel 2017, 208, 260–270. [Google Scholar] [CrossRef]
- Wong, W.L. Compressed Natural Gas as an Alternative Fuel in Diesel Engines. 2005, pp. 1–118. Available online: https://eprints.usq.edu.au/532/1/WONGWeiLoon-2005.pdf (accessed on 23 September 2022).
- Algayyim, S.J.M.; Wandel, A.P.; Yusaf, T. The Impact of Injector Hole Diameter on Spray Behaviour for Butanol-Diesel Blends. Energies 2018, 11, 1298. [Google Scholar] [CrossRef]
- Jiang, C.; Parker, M.C.; Helie, J.; Spencer, A.; Garner, C.P.; Wigley, G. Impact of gasoline direct injection fuel injector hole geometry on spray characteristics under flash boiling and ambient conditions. Fuel 2019, 241, 71–82. [Google Scholar] [CrossRef]
- Yap, D.; Peucheret, S.; Megaritis, A.; Wyszynski, M.; Xu, H. Natural gas HCCI engine operation with exhaust gas fuel reforming. Int. J. Hydrog. Energy 2006, 31, 587–595. [Google Scholar] [CrossRef]
- Jones, D.R.; Al-Masry, W.A.; Dunnill, C.W. Hydrogen-enriched natural gas as a domestic fuel: An analysis based on flash-back and blow-off limits for domestic natural gas appliances within the UK. Sustain. Energy Fuels 2018, 2, 710–723. [Google Scholar] [CrossRef]
- He, Y.; Ma, F.; Deng, J.; Shao, Y.; Jian, X. Reducing the idle speed of an SI CNG engine fueled by HCNG with high hydrogen ratio. Int. J. Hydrog. Energy 2012, 37, 8698–8703. [Google Scholar] [CrossRef]
- Nanthagopal, K.; Subbarao, R.; Elango, T.; Baskar, P.; Annamalai, K. Hydrogen enriched compressed natural gas (HCNG): A futuristic fuel for internal combustion engines. Therm. Sci. 2011, 15, 1145–1154. [Google Scholar] [CrossRef]
- Akansu, S. Internal combustion engines fueled by natural gas? Hydrogen mixtures. Int. J. Hydrog. Energy 2004, 29, 1527–1539. [Google Scholar] [CrossRef]
- Heffel, J.W. NOx emission and performance data for a hydrogen fueled internal combustion engine at 1500 rpm using exhaust gas recirculation. Int. J. Hydrog. Energy 2003, 28, 901–908. [Google Scholar] [CrossRef]
- Zareei, J.; Mahmood, W.F.W.; Abdullah, S.; Ali, Y. Effect of Hydrogen on Natural Gas Fueled Direct Injection Engine, a Theoretical Study. Aust. J. Basic Appl. Sci. 2014, 8, 8–13. [Google Scholar]
- Tangöz, S.; Akansu, S.O.; Kahraman, N.; Malkoç, Y. Effects of compression ratio on performance and emissions of a modified diesel engine fueled by HCNG. Int. J. Hydrog. Energy 2015, 40, 15374–15380. [Google Scholar] [CrossRef]
- Aziz, A.R.A.; Firmansyah, F.; Shahzad, R. Combustion Analysis of a CNG Direct Injection Spark Ignition Engine. Int. J. Automot. Mech. Eng. 2010, 2, 157–170. [Google Scholar] [CrossRef]
- Mohamad, T.I.; Moria, H. Performance and emissions of a hydrogen-enriched natural gas spark ignition engine with a dynamic-homogeneous mixer. Energy Procedia 2019, 158, 1924–1929. [Google Scholar] [CrossRef]
- Wang, D.E.; Watson, H.C. Direct Injection Compressed Natural Gas Combustion and Visualisation; SAE International: Warrendale, PA, USA, 2000. [Google Scholar] [CrossRef]
- Mohammed, S.E.; Baharom, M.; Aziz, A.R.A. Firmansyah The effects of fuel-injection timing at medium injection pressure on the engine characteristics and emissions of a CNG-DI engine fueled by a small amount of hydrogen in CNG. Int. J. Hydrog. Energy 2011, 36, 11997–12006. [Google Scholar] [CrossRef]
- Ravi, K.; Bhasker, J.P.; Porpatham, E. Effect of compression ratio and hydrogen addition on part throttle performance of a LPG fuelled lean burn spark ignition engine. Fuel 2017, 205, 71–79. [Google Scholar] [CrossRef]
- Olalekan, W.S.; Rashid, A.; Baharom, M. Cycle-by-cycle Variations in a Direct Injection Hydrogen Enriched Compressed Natural Gas Engine Employing EGR at Relative Air-Fuel Ratios. MATEC Web Conf. 2014, 13, 02009. [Google Scholar] [CrossRef]
- Zareei, J.; Ghadamkheir, K.; Farkhondeh, S.A.; Abed, A.M.; Opulencia, M.J.C.; Alvarez, J.R.N. Numerical investigation of hydrogen enriched natural gas effects on different characteristics of a SI engine with modified injection mechanism from port to direct injection. Energy 2022, 225, 124445. [Google Scholar] [CrossRef]
- Giuliano, A.; Catizzone, E.; Freda, C.; Cornacchia, G. Valorization of OFMSW digestate-derived syngas toward methanol, hydrogen, or electricity: Process simulation and carbon footprint calculation. Processes 2020, 8, 526. [Google Scholar] [CrossRef]
- Chowdhury, B.; Magsi, S.B.; Ting, H.N.J.; Dhar, B.R. High-Solids Anaerobic Digestion Followed by Ultrasonication of Digestate and Wet-Type Anaerobic Digestion for Enhancing Methane Yield from OFMSW. Processes 2020, 8, 555. [Google Scholar] [CrossRef]
- Chen, Y.; Ma, J.; Han, B.; Zhang, P.; Hua, H.; Chen, H.; Su, X. Emissions of automobiles fueled with alternative fuels based on engine technology: A review. J. Traffic Transp. Eng. 2018, 5, 318–334. [Google Scholar] [CrossRef]
- Abu Bakar, R. A Technical Review of Compressed Natural Gas as an Alternative Fuel for Internal Combustion Engines. Am. J. Eng. Appl. Sci. 2008, 1, 302–311. [Google Scholar] [CrossRef]
- Muralidharan, M.; Srivastava, A.; Subramanian, M. A Technical Review on Performance and Emissions of Compressed Natural Gas—Diesel Dual Fuel Engine; SAE International: Warrendale, PA, USA, 2019. [Google Scholar] [CrossRef]
- Kartohardj, S.; Muharam, Y.; Mahendra, M.; Giffari, F. Effects of Injection Temperature and Pressure on Combustion in an Existing Otto Engine Using CNG Fuel. J. Environ. Sci. Technol. 2015, 8, 25–34. [Google Scholar] [CrossRef][Green Version]
- Nawani, S.; Subhash, M. A review on multiple liquid jet impingement onto flat plate. Mater. Today Proc. 2021, 46, 11190–11197. [Google Scholar] [CrossRef]
- Zareei, J.; Rohani, A.; Mahmood, W.M.F.B.W.; Abdullah, S. Effect of Ignition Timing and Hydrogen Fraction in Natural Gas Blend on Performance and Exhaust Emissions in a DI Engine. Iran. J. Sci. Technol. Trans. Mech. Eng. 2019, 44, 737–747. [Google Scholar] [CrossRef]
- Zhao, F.G. A Review of Research about Variable Intake Manifold. Adv. Mater. Res. 2011, 228–229, 299–302. [Google Scholar] [CrossRef]
- CFD, A. Solver Users Guide; AVL FIRE: Ho Chi Minh City, Vietnam, 2013. [Google Scholar]
- Fluent, A. Theory Guide; Ansys Inc.: Canonsburg, PA, USA, 2015. [Google Scholar]
- Zareei, J.; Rohani, A.; Mahmood, W.M.F.W. Simulation of a hydrogen/natural gas engine and modelling of engine operating parameters. Int. J. Hydrog. Energy 2018, 43, 11639–11651. [Google Scholar] [CrossRef]
- Dhole, A.; Yarasu, R.; Lata, D. Investigations on the combustion duration and ignition delay period of a dual fuel diesel engine with hydrogen and producer gas as secondary fuels. Appl. Therm. Eng. 2016, 107, 524–532. [Google Scholar] [CrossRef]
- Zareei, J.; Ali, H.Y.; Abdullah, S.; Mahmood, W.M.F.W. Comparing the Effects of Hydrogen Addition on Performance and Exhaust Emission in a Spark Ignition Fueled with Gasoline and CNG. Appl. Mech. Mater. 2012, 165, 120–124. [Google Scholar] [CrossRef]
- Zareei, J.A.V.A.D.; Rohani, A.; Mohd, W. Combined effect of ignition and injection timing along with hydrogen enrichment to natural gas in a direct injection engine on performance and exhaust emission. Int. J. Automot. Eng. 2018, 8, 2614–2632. [Google Scholar]
- Zhen, X.; Li, X.; Wang, Y.; Liu, D.; Tian, Z. Comparative study on combustion and emission characteristics of methanol/hydrogen, ethanol/hydrogen and methane/hydrogen blends in high injector hole number SI engine. Fuel 2020, 267, 117193. [Google Scholar] [CrossRef]
- Zareei, J.; Mahmood, F.; Abdullah, S. Theoretical study of the effect of hydrogen addition to natural gas-fueled direct-injection engines. Iran. J. Hydrog. Fuel Cell 2014, 1, 11–20. [Google Scholar] [CrossRef]
- Sun, X.; Liu, H.; Duan, X.; Guo, H.; Li, Y.; Qiao, J.; Liu, Q.; Liu, J. Effect of hydrogen enrichment on the flame propagation, emissions formation and energy balance of the natural gas spark ignition engine. Fuel 2021, 307, 121843. [Google Scholar] [CrossRef]
- Zhang, R.; Chen, L.; Wei, H.; Pan, J.; Li, J.; Yang, P.; Chen, R. Optical study on the effects of the hydrogen injection timing on lean combustion characteristics using a natural gas/hydrogen dual-fuel injected spark-ignition engine. Int. J. Hydrog. Energy 2021, 46, 20777–20789. [Google Scholar] [CrossRef]
- Agarwal, A.K.; Dhar, A.; Gupta, J.G.; Kim, W.I.; Choi, K.; Lee, C.S.; Park, S. Effect of fuel injection pressure and injection timing of Karanja biodiesel blends on fuel spray, engine performance, emissions and combustion characteristics. Energy Convers. Manag. 2015, 91, 302–314. [Google Scholar] [CrossRef]
- Ashok, B.; Nanthagopal, K.; Anand, V.; Aravind, K.; Jeevanantham, A.; Balusamy, S. Effects of n-octanol as a fuel blend with biodiesel on diesel engine characteristics. Fuel 2018, 235, 363–373. [Google Scholar] [CrossRef]
















| Engine Parameter | Value | Unit | Engine Parameter | Value | Unit |
|---|---|---|---|---|---|
| Maximum rated power | 82/6000 | kW/rpm | Intake valve opening | 12 | bTDC |
| Maximum rated torque | 148/4000 | Nm/rpm | Intake valve closing | 48 | aBDC |
| Stroke | 84 | mm | Exhaust valve opening | 45 | bBDC |
| Connecting rod length | 131 | mm | Exhaust valve closing | 10 | aTDC |
| Crank radius | 44 | mm | Maximum intake valve lift | 8.1 | Mm |
| Compression ratio | 14:1 | - | Maximum exhaust valve lift | 7.5 | Mm |
| Fuel | CNG + Hydrogen | ||||
| Specification of Injector | |
|---|---|
| Opening pressure | 2000 kpa |
| Opening pressure | 1200–2000 kpa |
| Operating voltage | 8–18 V |
| Opening time | 1.5 ms |
| Driver (peak & hold current) | 4 & 2 amp |
| Driver (peak duration) | 2.5 ms |
| Start of injection timing | 19 BTDC (704 to 720° of Crank angle) |
| Intake valve closed | 48 ATDC (600° of Crank angle) |
| Exhaust valve opened | 45 BTDC (836° of Crank angle) |
| Injection pressure | 20 bar |
| Temperature at IVC | 360 K |
| Liquid temperature | 353 K |
| Turbulent kinetic energy | 10 |
| Dissipation rate | 1732.05 |
| Cylinder head | Wall temperature 590 K |
| Piston | Mesh movement temperature 600 K |
| Liner | Wall temperature 580 K (Heat flux = 0) |
| Axis | Symmetry |
| Segment cut | KPeriodic inlet/outlet |
| Engine Parameters and Unit | Value | ||
|---|---|---|---|
| Engine speed (rpm) | 2000 | 4000 | 6000 |
| CNG mass(mg) | 5.2 | 5.2 | 5.2 |
| Equivalence ratio | 1.0 | 1.0 | 1.0 |
| Intake port temperature (K) | 305 | 305 | 306 |
| Intake port pressure (bar) | 1.04 | 1.02 | 0.9 |
| Start of injection timing (bTDC) | 130 | 170 | 210 |
| End of injection timing (bTDC) | 80 | 120 | 160 |
| Spark ignition timing (bTDC) | 19 | 23 | 28 |
| Injection pressure (bar) | 20 | 20 | 20 |
| CNG | 10% HCNG | 20% HCNG | 30% HCNG | 40% HCNG | |
|---|---|---|---|---|---|
| H2 (% Mass) | 0 | 1.21 | 2.69 | 4.52 | 6.72 |
| H2 (% energy) | 0 | 3.09 | 6.68 | 10.49 | 15.59 |
| LHV (MJ/Kg) | 46.28 | 47.17 | 48.26 | 49.61 | 51.41 |
| LHV stoich. mixture (MJ/NM3) | 3.376 | 3.359 | 3.353 | 3.349 | 3.344 |
| CNG mass (mg) | 5.2 | 5.13708 | 5.06012 | 4.96496 | 4.855 |
| Hydrogen mass (mg) | 0 | 0.06292 | 0.13988 | 0.23504 | 0.345 |
| Properties | Hydrogen | Methane | Unit |
|---|---|---|---|
| Flammability limits | 4–75 | 5–15 | Vol.% |
| Minimum ignition energy | 0.02 | 0.29 | mJ |
| Flame temperature | 2045 | 1875 | °C |
| Auto ignition temperature | 585 | 540 | °C |
| Diffusion coefficient | 0.61 | 0.20 | 10−3 m2/s |
| Maximum velocity of flame | 3.46 | 0.43 | m/s |
| Density | 0.65 | 0.08 | kg/m3 |
| Source | DF | Power | Torque | FCE | NOx | CO (%Vol) |
|---|---|---|---|---|---|---|
| Rpm | 4 | 47086.9 ** | 2517.56 ** | 70.42 ** | 368551 ** | 0.48579 ** |
| H | 4 | 141 ** | 104.02 ** | 16.23 ** | 166658 ** | 1.4675 ** |
| IP | 2 | 237.1 ** | 1084.58 ** | 15.05 ** | 69336 ** | 0.02978 ** |
| IHN | 1 | 11.6 ** | 128.79 ** | 1.73 ** | 23711 ** | 0.01053 ** |
| rpm × H | 16 | 5.6 ns | 10.84 ** | 0.92 * | 1347 ** | 0.01619 ** |
| rpm × IP | 8 | 52.4 ** | 26.83 ** | 1.93 ** | 190 ** | 0.00038 ** |
| rpm × IHN | 4 | 1.40 ns | 2.36 ns | 0.1 ns | 126 ** | 0.00016 ** |
| H × IP | 8 | 0.10 ns | 0.20 ns | 0.00 ns | 111 ** | 0.00101 ** |
| H × IHN | 4 | 0.00 ns | 0.27 ns | 0.00 ns | 38 ** | 0.00036 ** |
| IP × IHN | 2 | 75.5 ** | 196.65 ** | 66.31 ns | 2604 ** | 0.00024 ** |
| Error | 96 | 26.4 | 27.68 | 2.45 | 15 | 0.00003 |
| Total | 149 | 47638 | 4099.8 | 175.1 | 2.01197 |
| rpm | H% | IP (bar) | IHN | CO (% Volume) | NOx (ppm) | FCE (%) | T (Nm) | P (kW) |
|---|---|---|---|---|---|---|---|---|
| 2000 | 20 | 25 | 3 | 0.44 | 785.84 | 0.29 | 100.49 | 23.77 |
| 3000 | 20 | 25 | 6 | 0.49 | 790.20 | 0.28 | 104.01 | 35.79 |
| 4000 | 20 | 25 | 6 | 0.52 | 805.39 | 0.28 | 108.77 | 51.71 |
| 5000 | 30 | 15 | 3 | 0.48 | 880.69 | 0.28 | 102.58 | 62.98 |
| 6000 | 20 | 15 | 3 | 0.63 | 891.80 | 0.29 | 100.87 | 67.96 |
Publisher’s Note: MDPI stays neutral with regard to jurisdictional claims in published maps and institutional affiliations. |
© 2022 by the authors. Licensee MDPI, Basel, Switzerland. This article is an open access article distributed under the terms and conditions of the Creative Commons Attribution (CC BY) license (https://creativecommons.org/licenses/by/4.0/).
Share and Cite
Zareei, J.; Alvarez, J.R.N.; Albuerne, Y.L.; Gámez, M.R.; Linzan, Á.R.A. A Simulation Study of the Effect of HCNG Fuel and Injector Hole Number along with a Variation of Fuel Injection Pressure in a Gasoline Engine Converted from Port Injection to Direct Injection. Processes 2022, 10, 2389. https://doi.org/10.3390/pr10112389
Zareei J, Alvarez JRN, Albuerne YL, Gámez MR, Linzan ÁRA. A Simulation Study of the Effect of HCNG Fuel and Injector Hole Number along with a Variation of Fuel Injection Pressure in a Gasoline Engine Converted from Port Injection to Direct Injection. Processes. 2022; 10(11):2389. https://doi.org/10.3390/pr10112389
Chicago/Turabian StyleZareei, Javad, José Ricardo Nuñez Alvarez, Yolanda Llosas Albuerne, María Rodríguez Gámez, and Ángel Rafael Arteaga Linzan. 2022. "A Simulation Study of the Effect of HCNG Fuel and Injector Hole Number along with a Variation of Fuel Injection Pressure in a Gasoline Engine Converted from Port Injection to Direct Injection" Processes 10, no. 11: 2389. https://doi.org/10.3390/pr10112389
APA StyleZareei, J., Alvarez, J. R. N., Albuerne, Y. L., Gámez, M. R., & Linzan, Á. R. A. (2022). A Simulation Study of the Effect of HCNG Fuel and Injector Hole Number along with a Variation of Fuel Injection Pressure in a Gasoline Engine Converted from Port Injection to Direct Injection. Processes, 10(11), 2389. https://doi.org/10.3390/pr10112389

