Sign in to use this feature.

Years

Between: -

Subjects

remove_circle_outline
remove_circle_outline
remove_circle_outline
remove_circle_outline
remove_circle_outline
remove_circle_outline
remove_circle_outline
remove_circle_outline

Journals

Article Types

Countries / Regions

Search Results (112)

Search Parameters:
Keywords = ACI 318-14 code

Order results
Result details
Results per page
Select all
Export citation of selected articles as:
20 pages, 1999 KB  
Article
Shear Strength Evaluation of Precast Concrete Beam-Column Joints Considering Key Influencing Parameters
by Dongho Kim and Hyunjin Ju
Sustainability 2026, 18(1), 468; https://doi.org/10.3390/su18010468 - 2 Jan 2026
Viewed by 355
Abstract
This study evaluates the shear strength of precast concrete beam–column joints using a Combined Model based on the ACI code, with implications for sustainable structural design. A database of 87 specimens from the existing literature was compiled and classified by prestressing condition and [...] Read more.
This study evaluates the shear strength of precast concrete beam–column joints using a Combined Model based on the ACI code, with implications for sustainable structural design. A database of 87 specimens from the existing literature was compiled and classified by prestressing condition and failure mode to examine key variables affecting prediction accuracy. The model demonstrated high reliability, with average predicted-to-test shear strength ratios (Vtest/Vcal) of 1.12 for non-prestressed joints and 0.99 for prestressed joints, supporting more efficient and reliable use of precast systems. By identifying cross-sectional geometry as the dominant factor governing shear strength and failure mode, the study highlights opportunities to optimize material use, enhance structural safety, and reduce overdesign, thereby contributing to resource-efficient and sustainable construction practices. Full article
Show Figures

Figure 1

15 pages, 1891 KB  
Article
An Improved Equation for Predicting the Stress of Bonded High-Strength Strands at Flexural Failure
by Kyeong-Jin Sung, Jisu Hong and Se-Jin Jeon
Buildings 2026, 16(1), 179; https://doi.org/10.3390/buildings16010179 - 31 Dec 2025
Viewed by 213
Abstract
To achieve efficient design and ensure the safety of concrete structures, the use of high-strength concrete, reinforcing steel, and prestressing tendons has been steadily increasing. In this study, for flexural design of prestressed concrete (PSC) structures employing high-strength strands with tensile strengths of [...] Read more.
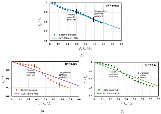
To achieve efficient design and ensure the safety of concrete structures, the use of high-strength concrete, reinforcing steel, and prestressing tendons has been steadily increasing. In this study, for flexural design of prestressed concrete (PSC) structures employing high-strength strands with tensile strengths of 2160 MPa and 2360 MPa, the applicability of the current design-code equation for predicting the strand stress at flexural failure (fps)—which was originally proposed based on studies of conventional strands with tensile strengths of 1860 MPa or lower—was evaluated. Furthermore, an improved prediction equation was proposed. Section analyses based on stress–strain curves obtained from numerous tensile tests of high-strength strands were conducted, and the results were compared with the existing prediction equations specified in ACI 318 and the Korean KDS code. The comparison revealed that, for high-strength strands, the strand stress tends to be underestimated in the tension-controlled region and overestimated in the compression-controlled region. To address these issues, a new prediction equation was proposed that retains the form of the existing equation but incorporates correction factors reflecting the characteristics of high-strength strands. The performance of the proposed equation was evaluated not only for rectangular sections but also for T- and I-shaped sections, and its predictive accuracy was verified by comparing the predicted strand stresses and nominal flexural strengths with those obtained from section analyses. As a result, the proposed prediction equation demonstrated improved accuracy compared with the existing one, while maintaining an appropriate level of conservatism. Therefore, it is expected to enhance design efficiency for PSC structures employing high-strength strands. Full article
(This article belongs to the Collection Advanced Concrete Structures in Civil Engineering)
Show Figures

Figure 1

27 pages, 25351 KB  
Article
Study on the Flexural Performance of Composite Wall Panels with Ceramsite Foam Concrete and Normal Concrete
by Chongming Gao, Zhenbao Li, Hua Ma, Muhan Li, Nannan Shi and Suen Tian
Buildings 2026, 16(1), 128; https://doi.org/10.3390/buildings16010128 - 26 Dec 2025
Viewed by 157
Abstract
Traditional exterior walls are heavy, offer insufficient insulation, and have poor durability, making it challenging to meet the combined requirements of energy efficiency and structural enclosure performance. To address the issues of excessive weight and inadequate insulation in conventional concrete exterior wall panels, [...] Read more.
Traditional exterior walls are heavy, offer insufficient insulation, and have poor durability, making it challenging to meet the combined requirements of energy efficiency and structural enclosure performance. To address the issues of excessive weight and inadequate insulation in conventional concrete exterior wall panels, alternative materials and designs are being adopted. A novel double-layer composite wall panel structure is proposed, arranging normal concrete (NC) on the exterior side to ensure the panel’s durability and ceramsite foam concrete (CFC) on the interior side to enhance thermal insulation and reduce thermal bridging effects. To address the scenario where the wall panel is subjected to out-of-plane loads during service, causing stress in the CFC layer, bending performance tests were conducted on CFC-NC double-layer composite panels under load applied on the CFC side. Research shows that CFC-NC double-layer composite wall panels exhibit bending performance under four-point bending conditions that is basically consistent with that of monolithic wall panels. As the thickness of the CFC layer increases, cracks may appear near the interface in the CFC layer that do not extend from NC cracking, and may even occur earlier than NC cracking. As the density grade of CFC decreases, the compressive deformation of CFC becomes more pronounced; however, no crushing of the CFC occurs at the ultimate bearing capacity stage. Under four-point bending conditions, the strain at the mid-span section of the composite wall panel along the thickness direction is basically linearly distributed. Under the same conditions of wall panel thickness, reinforcement ratio, and shear span ratio, the flexural bearing capacity of CFC-NC double-layer composite wall panels with CFC density grades A8, A6, and A4 is approximately 12.5%, 25.03%, and 18.29% lower, respectively, compared to C30 cast-in-place wall panels. The flexural bearing capacity of the composite panels increases correspondingly with the increase in CFC layer thickness and reinforcement ratio. Specimens with smaller shear span ratios exhibit more pronounced shear effects. Based on the stress–strain relationship of CFC, a modified calculation method for the flexural capacity of ordinary concrete sections is presented. Referring to the ACI 318-14 code, a calculation method for the bending deformation of composite wall panels is provided. The research results can offer a theoretical basis for the design and application of CFC-NC double-layer composite wall panels. Full article
(This article belongs to the Section Building Structures)
Show Figures

Figure 1

23 pages, 2935 KB  
Article
Optimum Carbon Fiber Reinforced Polymer (CFRP) Design for Flexural Strengthening of Cantilever Concrete Walls Using Artificial Neural Networks
by Gebrail Bekdaş, Ammar Khalbous, Sinan Melih Nigdeli and Ümit Işıkdağ
Polymers 2025, 17(24), 3300; https://doi.org/10.3390/polym17243300 - 12 Dec 2025
Viewed by 370
Abstract
This study introduces a hybrid framework combining an Artificial Neural Network (ANN) with the Jaya optimization algorithm to predict the minimum Carbon Fiber Reinforced Polymer (CFRP) area required for flexural strengthening of reinforced concrete (RC) cantilever walls. A multilayer perceptron (MLP) network was [...] Read more.
This study introduces a hybrid framework combining an Artificial Neural Network (ANN) with the Jaya optimization algorithm to predict the minimum Carbon Fiber Reinforced Polymer (CFRP) area required for flexural strengthening of reinforced concrete (RC) cantilever walls. A multilayer perceptron (MLP) network was trained on 500 Jaya-optimized design scenarios incorporating twelve design variables, including geometry, loads, and material properties. The ANN achieved high predictive accuracy, with R-values near 1.0 across training, validation, and testing phases. Five independent test cases yielded an average error of 3.69%, and 10-fold cross-validation confirmed model robustness (R = 0.9996). A global perturbation-based sensitivity analysis was also conducted to quantify the influence of each input parameter, highlighting wall length, moment demand, and concrete strength as the most significant features. This integrated ANN–Jaya model enables rapid, code-compliant CFRP design in accordance with ACI 318 and ACI 440.2R-17, minimizing material usage and ensuring economic and sustainable retrofitting. The proposed approach offers a practical, data-driven alternative to traditional iterative methods, suitable for application in modern performance-based structural engineering. Full article
(This article belongs to the Special Issue Fiber-Reinforced Polymers in Construction and Building)
Show Figures

Figure 1

22 pages, 22714 KB  
Article
Experimental Performance of Timber–Concrete Slab-to-Concrete Wall Connections Under Gravitational and Lateral In-Plane Loading
by Valentina Maldonado, Hernán Santa María and Pablo Guindos
Buildings 2025, 15(22), 4161; https://doi.org/10.3390/buildings15224161 - 19 Nov 2025
Viewed by 453
Abstract
In this research, the lateral and gravitational behaviors of four timber–concrete composite (TCC) slab-to-wall connections were tested to study their lateral and gravitational behaviors. Results showed that the lateral behavior of the connections was mainly controlled by the concrete slab, since the timber [...] Read more.
In this research, the lateral and gravitational behaviors of four timber–concrete composite (TCC) slab-to-wall connections were tested to study their lateral and gravitational behaviors. Results showed that the lateral behavior of the connections was mainly controlled by the concrete slab, since the timber sections and connections remained mostly unaffected. The experimental results were contrasted with a linear finite element model built in ETABS, thus explaining why the experimental lateral strength was six times larger than that analytically obtained via ACI 318-19. As for the gravitational tests, results showed a higher shear capacity in connections with screws as the wall-to-slab connector than those with bars. In general, all the connections showed much higher strength and stiffness than those typically required by design code standards. Full article
(This article belongs to the Section Building Structures)
Show Figures

Figure 1

28 pages, 2932 KB  
Article
Mathematical Development for the Minimum Cost of Elliptical Combined Footings
by Griselda Santiago-Hurtado, Arnulfo Luévanos-Rojas, Victor Manuel Moreno-Landeros, Eyran Roberto Diaz-Gurrola, Rajeswari Narayanasamy, Facundo Cortés-Martínez and Luis Daimir López-León
Buildings 2025, 15(19), 3633; https://doi.org/10.3390/buildings15193633 - 9 Oct 2025
Viewed by 365
Abstract
This work shows the mathematical development for the minimum cost of ECF (elliptical combined footings) subjected to biaxial bending due to the two columns, assuming that the distribution of soil pressure below the footing is linear and that the footing rests on elastic [...] Read more.
This work shows the mathematical development for the minimum cost of ECF (elliptical combined footings) subjected to biaxial bending due to the two columns, assuming that the distribution of soil pressure below the footing is linear and that the footing rests on elastic soil. There are no similar contributions on the subject of this article, as it is an innovative contribution in terms of its form. This work is developed in two parts: first, determine the minimum area in contact with the soil below the footing, and then the minimum cost is obtained. The formulation of the development by integration is shown to determine the moments, unidirectional shears, and punching shears acting on the critical sections, according to the ACI (American Concrete Institute) design code, and then the flowchart algorithm is applied to determine the solution using Maple Software, which is the main contribution of this article. Some authors show studies on the combined footings of various shapes such as rectangular, trapezoidal, strap, corner or L, and T, but there are none for ECF. Two numerical studies are shown with different length: the first with free ends in the longitudinal direction and the second with ends limited in the longitudinal direction to estimate the minimum cost of ECF under biaxial bending. A third numerical study is shown, with different allowable bearing capacities of the ground and with free ends in the longitudinal direction. Also, a comparison is developed between ECF and RCF (rectangular combined footings). The model for the design of ECF shows a savings of 7.17% with limited ends and a savings of 1.67% with free ends for the minimum area, and for the minimum cost, it shows a savings of 23.95% with limited ends and a savings of 9.14% with free ends rather than RCF. Therefore, the proposed development will be of great help to structural engineers specializing in foundations, as it represents significant savings. Full article
(This article belongs to the Section Building Structures)
Show Figures

Figure 1

22 pages, 4796 KB  
Article
Evaluating Shear Strength of Reinforced Concrete Elements Containing Macro-Synthetic Fibers and Traditional Steel Reinforcement
by Benedikt Farag, Travis Thonstad and Paolo M. Calvi
Buildings 2025, 15(19), 3617; https://doi.org/10.3390/buildings15193617 - 9 Oct 2025
Viewed by 583
Abstract
This study investigates the shear behavior of concrete elements reinforced with both traditional steel reinforcement and macro-synthetic fibers, with an emphasis on evaluating the predictive capabilities of current shear design provisions. A review of available experimental data, involving 52 beams and 8 panel [...] Read more.
This study investigates the shear behavior of concrete elements reinforced with both traditional steel reinforcement and macro-synthetic fibers, with an emphasis on evaluating the predictive capabilities of current shear design provisions. A review of available experimental data, involving 52 beams and 8 panel specimens, revealed limitations in both quantity and consistency, hindering the formulation of robust design recommendations. To address this, an extensive parametric numerical study was conducted using the VecTor2 nonlinear finite element program, incorporating a recently developed modeling approach for PFRC shear response. A total of 288 simulations were carried out to explore the influence of fiber content, transverse reinforcement ratio, and concrete compressive strength, particularly in ranges not previously captured by experimental programs. The performance of existing design codes, including ACI, CSA, EC2, AASHTO, and the Fib Model Code, was assessed against both experimental data and the enriched parametric dataset. The Fib Model Code demonstrated the most reliable and consistent predictions, maintaining close alignment with reference strengths across all fiber contents, reinforcement ratios, and concrete strengths. AASHTO provisions performed moderately well, showing generally conservative and stable predictions, though some underestimation occurred for beams with higher shear reinforcement. In contrast, ACI and CSA models were consistently conservative, especially at higher concrete strengths, potentially leading to uneconomical designs. EC2 models exhibited the highest variability and least reliability, particularly in the presence of fibers, indicating limited applicability without modification. The results highlight that most conventional codes do not fully account for the synergistic action between fibers and transverse steel reinforcement, and that their reliability deteriorates for high-strength PFRC. These findings have practical implications for the design of PFRC elements, suggesting that the Fib Model Code may be the most suitable for current applications, whereas other provisions may require recalibration or modification. Future research should focus on expanding experimental datasets and developing unified design models that explicitly consider fiber–steel interactions, concrete strength, and fiber distribution. Full article
(This article belongs to the Section Building Structures)
Show Figures

Figure 1

25 pages, 7254 KB  
Article
Punching Strengthening of Lightweight Aggregate Reinforced Concrete Flat Slabs Using Fiber-Reinforced Polymers
by Esraa Abaza, Mohamed T. Elshazli, Ahmed Elbelbisi, Hamdy Shehab and Mahmoud Zaghlal
J. Compos. Sci. 2025, 9(9), 485; https://doi.org/10.3390/jcs9090485 - 7 Sep 2025
Cited by 1 | Viewed by 1260
Abstract
Lightweight Aggregate Reinforced Concrete (LWARC) is increasingly used in structural systems to reduce dead load, especially in flat slabs. This study focuses on LWARC-incorporating polystyrene foam as a partial aggregate replacement, achieving a dry unit weight reduction from 23.0 kN/m3 to 19.0 [...] Read more.
Lightweight Aggregate Reinforced Concrete (LWARC) is increasingly used in structural systems to reduce dead load, especially in flat slabs. This study focuses on LWARC-incorporating polystyrene foam as a partial aggregate replacement, achieving a dry unit weight reduction from 23.0 kN/m3 to 19.0 kN/m3. While beneficial for lowering dead loads, this substitution exacerbates punching shear vulnerability, necessitating innovative strengthening solutions. Fiber-Reinforced Polymers (FRPs), recognized for their high strength-to-weight ratio, corrosion resistance, and adaptability, are employed to address these limitations. This paper evaluates the punching shear strengthening of LWARC flat slabs using externally bonded carbon fiber-reinforced polymer (CFRP) sheets, embedded through-section (ETS) steel bars, and ETS glass fiber-reinforced polymer (GFRP) bars. Ten specimens were tested under concentric loading, including an unstrengthened control slab. Experimental results were compared with predictions from ECP 203-2023, ACI 318-19, and BS 8110 to assess code applicability. Strengthened specimens demonstrated significant improvements in punching capacity and ductility. The ETS steel bar technique increased punching strength by 41% compared to the control, while inclined reinforcement configurations outperformed vertical layouts by 24% due to optimized shear transfer. Full article
(This article belongs to the Special Issue Polymer Composites and Fibers, 3rd Edition)
Show Figures

Figure 1

22 pages, 8316 KB  
Article
Response of Reinforced Concrete Columns Embedded with PET Bottles Under Axial Compression
by Sadiq Al Bayati and Sami W. Tabsh
Sustainability 2025, 17(17), 7825; https://doi.org/10.3390/su17177825 - 30 Aug 2025
Viewed by 1126
Abstract
This study explores the potential use of Polyethylene Terephthalate (PET) plastic bottles as void makers in short reinforced concrete columns under pure axial compression. Such a scheme promotes sustainability by decreasing the consumption of concrete and reducing the pollution that comes with the [...] Read more.
This study explores the potential use of Polyethylene Terephthalate (PET) plastic bottles as void makers in short reinforced concrete columns under pure axial compression. Such a scheme promotes sustainability by decreasing the consumption of concrete and reducing the pollution that comes with the disposal of PET bottles. The experimental component of this study consisted of testing 16 reinforced concrete columns divided into two groups, based on the cross-section dimensions. One group contained eight columns of a length of 900 mm with a net cross-sectional area of about 40,000 mm2, while the second group contained eight columns of a length of 1100 mm with a net cross-sectional area of about 62,500 mm2. The diameter of the void within the small cross-section group was 100 mm and within the large cross-section group was 265 mm. The experimental program includes pairs of solid and corresponding void specimens with consideration of the size of the longitudinal steel reinforcement, lateral tie spacing, and concrete compressive strength. The tests are conducted using a universal test machine under displacement-controlled loading conditions with the help of strain gauges and Linear Variable differential transformers (LVDTs). The analysis of the test results showed that the columns that were embedded with a small void that occupied about 30% of the core area exhibited reductions of 9% in the ultimate capacity, 14% in initial stiffness, 20% in ductility, and 1% in residual strength. On the other hand, the columns that contained a large void occupying about 60% of the core area demonstrated reductions of 24% in the ultimate capacity, 34% in initial stiffness, and 26% in ductility, although the residual strength was slightly increased by 5%. The reason for the deficiency in the structural response in the latter case is because the void occupied a significant fraction of the concrete core. The theoretical part of this study showed that the ACI 318 code provisions can reasonably predict the uniaxial compressive strength of columns embedded with PET bottles if the void does not occupy more than 30% of the concrete core. This study confirmed that short columns embedded with relatively small voids made from PET bottles and subjected to pure axial compression create a balance between sustainability benefits and a structural performance tradeoff. Full article
Show Figures

Figure 1

24 pages, 6492 KB  
Review
Review on Multifactorial Coupling Effects and the Time-Dependent Behavior of Lateral Pressure on Concrete Formworks
by Kekuo Yuan, Min Zhang, Yichu Lu and Hongdan Yu
Buildings 2025, 15(15), 2764; https://doi.org/10.3390/buildings15152764 - 5 Aug 2025
Viewed by 1011
Abstract
This critical review synthesizes evidence on the multifactorial coupling mechanisms and time-dependent evolution of lateral pressure in concrete formworks, addressing significant limitations in current design standards (GB50666, CIRIA 108, ACI 347). Through a structured analysis of 60+ experimental and theoretical studies, we establish [...] Read more.
This critical review synthesizes evidence on the multifactorial coupling mechanisms and time-dependent evolution of lateral pressure in concrete formworks, addressing significant limitations in current design standards (GB50666, CIRIA 108, ACI 347). Through a structured analysis of 60+ experimental and theoretical studies, we establish that lateral pressure is governed by nonlinear interactions between concrete rheology, casting dynamics, thermal conditions, and formwork geometry. The key findings reveal that (1) casting rate increments >5 m/h amplify peak pressure by 15–27%, while SCC thixotropy (Athix > 0.5) reduces it by 15–27% at <5 m/h; (2) secondary vibration induces 52–61% pressure surges through liquefaction; and (3) sections with a width >2 m exhibit 40% faster pressure decay due to arching effects. (4) Temporal evolution follows three distinct phases—rapid rise (0–2 h), slow decay (2–10 h), and sharp decline (>10 h)—with the temperature critically modulating transition kinetics. Crucially, the existing codes inadequately model temperature dependencies, SCC/HPC rheology, and high-speed casting (>10 m/h). This work proposes a parameter-specific framework integrating rheological thresholds (Athix, Rstr), casting protocols, and real-time monitoring to enhance standard accuracy, enabling an optimized formwork design and risk mitigation in complex scenarios, such as water conveyance construction and slipforming. Full article
(This article belongs to the Section Building Materials, and Repair & Renovation)
Show Figures

Figure 1

26 pages, 2251 KB  
Article
A Generalized Span–Depth Ratio Model for Minimum Thickness Design of Flat Plate Slabs Incorporating ACI Deflection Criteria
by Bahman Omar Taha
Buildings 2025, 15(13), 2157; https://doi.org/10.3390/buildings15132157 - 20 Jun 2025
Viewed by 5257
Abstract
This study proposes a unified span–depth ratio model aimed at optimizing the minimum thickness of reinforced concrete flat plate slabs, addressing the limitations of the simplified span-to-depth ratio provisions in ACI 318. The existing code does not fully consider critical parameters such as [...] Read more.
This study proposes a unified span–depth ratio model aimed at optimizing the minimum thickness of reinforced concrete flat plate slabs, addressing the limitations of the simplified span-to-depth ratio provisions in ACI 318. The existing code does not fully consider critical parameters such as panel aspect ratio, reinforcement ratio, support conditions, concrete strength, and long-term deflections due to creep and shrinkage. To overcome these shortcomings, a generalized analytical model is developed based on fundamental deflection theory, incorporating both immediate and time-dependent behaviors. The model is validated through numerical simulations applied to interior, edge, and corner slab panels subjected to various geometric configurations, loading scenarios, and reinforcement levels. Results from the parametric study indicate that deflection control improves significantly with higher reinforcement ratios and lower aspect ratios, leading to more efficient slab designs. Comparisons with ACI 318 guidelines reveal that the proposed model provides enhanced accuracy, particularly for irregular slab geometries and stringent deflection limits (e.g., L/480). The findings highlight that conventional code-based thickness limits may underestimate slab depth requirements in many practical scenarios. The study advocates for integrating deflection-based considerations into the preliminary design stage, offering structural engineers a more robust and practical tool to ensure serviceability while optimizing material use. Full article
(This article belongs to the Section Building Structures)
Show Figures

Figure 1

21 pages, 808 KB  
Article
Data-Driven Approach to Derive Equation for Predicting Ultimate Shear Strength of Reinforced Concrete Beams Without Stirrups
by Menghay Phoeuk, Dong-Yeong Choi, Suchart Limkatanyu and Minho Kwon
Materials 2025, 18(11), 2446; https://doi.org/10.3390/ma18112446 - 23 May 2025
Viewed by 897
Abstract
Shear failure in reinforced concrete (RC) beams is abrupt and brittle, occurs without warning, and leaves no opportunity for internal stress redistribution. Despite the critical need for accurate shear strength assessment, existing methods vary widely across regions, leading to inconsistencies in practice. This [...] Read more.
Shear failure in reinforced concrete (RC) beams is abrupt and brittle, occurs without warning, and leaves no opportunity for internal stress redistribution. Despite the critical need for accurate shear strength assessment, existing methods vary widely across regions, leading to inconsistencies in practice. This study presents a unified shear strength equation for non-prestressed rectangular RC beams without stirrups, developed for simplicity and broad applicability. The model requires only basic geometric and material properties and applies to both shear-slender and non-shear-slender beams. It was formulated using a data-driven approach that combines an extensive experimental database collected up to 2007 with advanced computational techniques, including Artificial Neural Networks, Generative Adversarial Networks, and Bayesian optimization. The proposed equation was evaluated against established shear provisions, such as ACI 318-25 and CSA A23.3-24, and benchmarked with an experimental database. The results show that the model improves prediction accuracy, reduces uncertainty, and provides a more consistent method for shear strength assessment. The robustness of the equation was further confirmed through additional experimental database gathered after 2007, demonstrating strong agreement with test results and lower prediction uncertainty than current code provisions. These findings support the potential adoption of the proposed equation in engineering practice. Full article
(This article belongs to the Section Construction and Building Materials)
Show Figures

Figure 1

20 pages, 8552 KB  
Article
Experimental Investigation of the Confinement of Concrete Columns with Welded Wire Reinforcement
by Abdelaziz Younes and Sami W. Tabsh
Buildings 2025, 15(9), 1494; https://doi.org/10.3390/buildings15091494 - 28 Apr 2025
Cited by 2 | Viewed by 1679
Abstract
Traditional methods of construction for reinforced concrete columns utilize longitudinal steel bars and transverse ties. Field experience has shown that such a transverse reinforcement method is labor-intensive, time-consuming, and prone to inconsistencies in quality. Welded wire reinforcement (WWR) offers a prefabricated alternative, forming [...] Read more.
Traditional methods of construction for reinforced concrete columns utilize longitudinal steel bars and transverse ties. Field experience has shown that such a transverse reinforcement method is labor-intensive, time-consuming, and prone to inconsistencies in quality. Welded wire reinforcement (WWR) offers a prefabricated alternative, forming a closed cage that simplifies installation and speeds up the fabrication process. This study investigates the potential of using WWR as a replacement for conventional ties in reinforced concrete columns in pure compression. To achieve this objective, eight one-third-scale columns (1000 mm height, 200 × 200 mm cross-section) were tested under concentric axial loading inside a Universal Testing Machine. Four of the specimens contained WWR, while the other four had conventional ties. The variables that were considered in this study include the concrete compressive strength (34.3 and 43.5 MPa) and the grid size of the WWR (25 and 50 mm). This study investigated the influence of the type of transverse reinforcement on the strength, modulus of elasticity, and ductility of the confined concrete within the core. The findings of the study showed that lateral reinforcement in the form of WWR can increase the concrete core strength by 2.7% relative to corresponding columns employing ties when f′c = 34.3 MPa was used. Conversely, the utilization of ties proved to be more effective than WWR in improving concrete core strength by an average of 28.8% when f′c = 43.5 MPa was used. Additionally, WWR reinforced columns demonstrated a marginal 2.0% rise in the modulus of elasticity and a remarkable 21.0% increase in the ductility of the confined concrete core compared with corresponding tied columns. Theoretical predictions of the axial compressive capacity of WWR reinforced columns subjected to concentric loading based on the ACI-318 code provisions underestimated the experimental results by 20%. These findings demonstrate that WWR can serve as an effective substitute for conventional ties, particularly in cases where rapid installation and reduced labor costs are prioritized. Full article
(This article belongs to the Special Issue Experimental and Theoretical Studies on Steel and Concrete Structures)
Show Figures

Figure 1

30 pages, 8009 KB  
Article
Improving Shear Performance of Precast Concrete Segmental Beams Through Continuous Longitudinal Reinforcements Across Joints
by Yu Zou and Dong Xu
Materials 2025, 18(7), 1410; https://doi.org/10.3390/ma18071410 - 22 Mar 2025
Cited by 1 | Viewed by 735
Abstract
Despite the widespread use of precast concrete segmental bridges (PCSBs), concerns persist regarding their structural reliability, particularly due to the interruption of longitudinal reinforcement at joints. To address this, a novel approach based on the Grid Shear Reinforcement Theory is proposed, featuring precast [...] Read more.
Despite the widespread use of precast concrete segmental bridges (PCSBs), concerns persist regarding their structural reliability, particularly due to the interruption of longitudinal reinforcement at joints. To address this, a novel approach based on the Grid Shear Reinforcement Theory is proposed, featuring precast segmental beams with continuous longitudinal reinforcements across joints. Experimental tests were conducted on one monolithic beam and two segmental beams under combined bending and shear with joint types as the primary variable. Key performance metrics included crack propagation, reinforcement strain, failure modes, stiffness, and load-bearing capacity. Results show that continuous longitudinal reinforcement effectively resists axial tension from shear forces, contributing to shear resistance comparable to stirrups. It also restrains diagonal crack propagation and limits main crack widths, significantly improving shear stiffness. Reinforced joints adhered to the plane section assumption and exhibited monolithic beam behavior throughout loading. These findings highlight the critical role of continuous longitudinal reinforcement in segmental beam joints. The study further compares shear reinforcement design approaches in European Codes, ACI, AASHTO, GB, JTC, and the Grid Shear Reinforcement Theory. Practical construction methods for implementing continuous longitudinal reinforcements are also proposed, offering valuable insights for engineering applications. Full article
Show Figures

Figure 1

21 pages, 70620 KB  
Article
Experimental Investigation on Flexural Behavior of Precast Segmental Ultra-High-Performance Concrete Box-Girder with External Tendons for Long-Span Highway Bridges
by Hua Zhao, Sui Luo, Junde Hu, Chengjun Tan, Peirou Qian, Huangguo Qian, Zhilian Liao, Zhentao Hu and Dutao Yi
Buildings 2025, 15(4), 642; https://doi.org/10.3390/buildings15040642 - 19 Feb 2025
Cited by 2 | Viewed by 1368
Abstract
A precast concrete segmental box-girder bridge (PCSBGB) is one of the most popular styles of Accelerated Bridge Construction (ABC). To address some common challenges (low durability, poor integrity, and construction inconvenience) in PCSBGBs, this paper proposes a precast ultra-high-performance concrete (UHPC) segmental box-girder [...] Read more.
A precast concrete segmental box-girder bridge (PCSBGB) is one of the most popular styles of Accelerated Bridge Construction (ABC). To address some common challenges (low durability, poor integrity, and construction inconvenience) in PCSBGBs, this paper proposes a precast ultra-high-performance concrete (UHPC) segmental box-girder bridge (PUSBGB). In comparison to conventional PCSBGBs that use three-dimensional prestress, the PUSBGB adopts only one-dimensional (longitudinal) prestress. In addition, the thickness of the bottom/top plate and web of the UHPC box-girder are relatively thin, and as a result, the self-weight is significantly reduced. Considering the fact that the thickness of box-girder is thinner than the NC structure, the shear lag effect and risk of girder cracking may correspondingly increase when a PUSBGB is adopted in a long-span bridge. Thus, it is of essential necessity to explore the flexural behavior of a PUSBGB. In this work, a specimen with a scale (1:4) associated with a field bridge (a 102 m long simply supported PUSBGB with externally unbonded tendons) is fabricated and experimentally investigated. The mechanical behaviors of the PUSBGB are discussed, including the failure mode, the crack distribution pattern, the longitudinal strain of the UHPC plate, and the variation of tendon strain. It is found that in the elastic stage, the top slab of the UHPC box girder exhibits a significant shear lag effect, and this phenomenon is even more obvious after cracking. With the development of the cracks, the effective flange width is decreased (with a minimum value of 0.76), and the second-order effect is kept the same before the dominant crack appears (the reduction factor is around 0.95). Moreover, four existing code equations, e.g., ACI 440, ACI 318, ASSHTO, BS 8100, used to predict the stress in the externally unbonded tendons are examined. Furthermore, a finite element analysis (FEA) of the field bridge is conducted, and the theoretical calculation demonstrates that the flexural resistances of the proposed PUSBGB can comply with the design requirements of Chinese code under the ultimate limit states (ULSs). Full article
(This article belongs to the Section Building Structures)
Show Figures

Figure 1

Back to TopTop