An Improved Equation for Predicting the Stress of Bonded High-Strength Strands at Flexural Failure
Abstract
1. Introduction
2. Literature Review
3. Evaluation of the Applicability of Existing Prediction Equation Through Section Analyses
3.1. Overview of Existing Prediction Equations
3.2. Section Analysis Conditions and Material Models
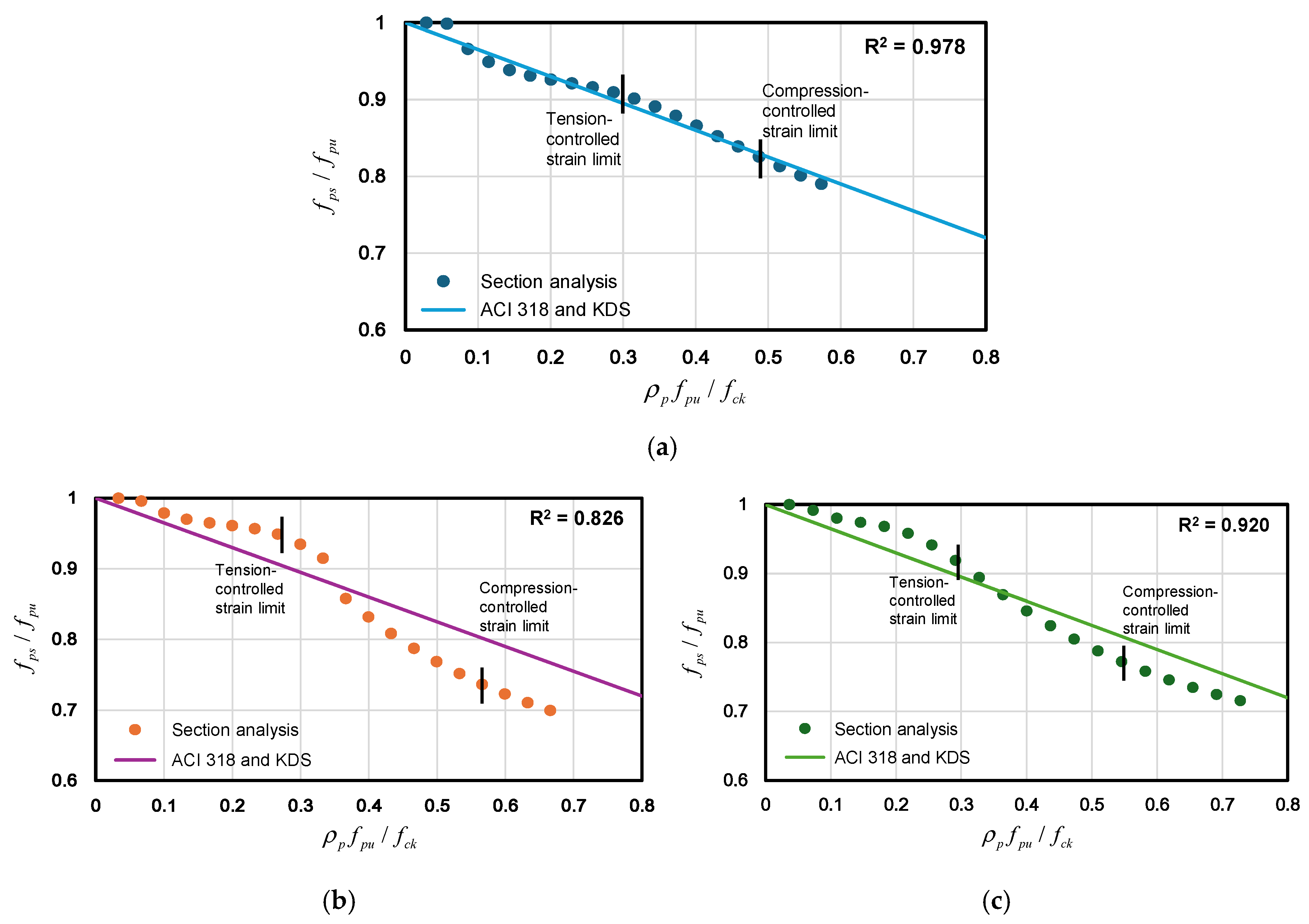
3.3. Strain and Stress of Strands at Flexural Failure
3.4. Comparison Between Section Analysis and Existing Prediction Equations
4. Proposal of an Prediction Equation Considering the Characteristics of High-Strength Strands
4.1. Improved Prediction Equation
4.2. Evaluation of the Proposed Equation
5. Conclusions
- The existing prediction equations presented in ACI 318 and KDS were derived from studies on conventional strands with a tensile strength of 1860 MPa. By establishing stress–strain curves for each strand and performing rigorous section analysis corresponding to the exact solution, it was confirmed that these existing equations can predict the strand stress with high accuracy for 1860 MPa strands. However, it was also confirmed that the stress prediction performance of the existing equations deteriorates for high-strength strands with tensile strengths of 2160 and 2360 MPa. Specifically, compared to conventional-strength strands, the existing equations tend to underestimate the stress in the tensile-controlled region—commonly adopted in most designs—thereby promoting ductile failure in PSC beams, while overestimating the stress in the transition and compression-controlled regions. Therefore, for high-strength strands, it is considered more appropriate to develop an improved equation rather than directly applying the existing equations.
- The improved prediction equation was derived through section analyses based on highly accurate mathematical expressions obtained from tensile test data of multiple high-strength strands. To ensure practicality, correction terms were introduced to the prediction equation for 1860 MPa strands presented in ACI 318 and KDS, reflecting the increased tensile strength characteristics of 2160 and 2360 MPa high-strength strands, thereby improving the agreement with section analysis results. When applying the proposed equation to rectangular sections, the coefficient of determination (R2) increased from 0.826 to 0.900 for 2160 MPa strands and from 0.920 to 0.952 for 2360 MPa strands, demonstrating improved prediction performance compared to the existing equation. Since the prediction equation was derived from the analysis of rectangular sections, its accuracy inevitably decreases for T-shaped or I-shaped sections with top flanges once the neutral axis extends beyond the top flange. However, for tensile-controlled sections, which correspond to most PSC beam designs, the prediction accuracy was found to be closer to the section analysis results, indicating enhanced predictive performance.
- In the review of nominal flexural strength based on the ultimate strength design method, it was also found that using the proposed prediction equation improves the prediction performance compared to the existing equation. Specifically, when the proposed equation is used, conservativeness is maintained in the tensile-controlled region, while the nominal flexural strength is predicted more accurately, closely matching the results of the section analysis compared to the existing equation.
- Recently, high-strength strands with tensile strengths of 2160 and 2360 MPa have been additionally included in ISO standards, and the application of high-strength strands in infrastructure structures is increasing worldwide. For high-strength strands to be more widely utilized, it is necessary to verify the validity of design equations originally proposed for conventional-strength strands and, if needed, to develop improved equations more suitable for high-strength strands. In this study, a rationally improved equation was proposed specifically for the strand stress at beam failure, which is the most critical aspect of PSC beam flexural design. It is expected that further research and incorporation into design codes will be required for other related design equations in the future.
- Since high-strength strands have a higher yield strain than conventional-strength strands, the net tensile strain limit of strands defining a tension-controlled section for inducing ductile failure may be greater than 0.005. This issue will be clarified through a ductility analysis in future studies.
Author Contributions
Funding
Data Availability Statement
Acknowledgments
Conflicts of Interest
References
- Aldabagh, S.; Alam, M.S. High-strength steel reinforcement (ASTM A1035/A1035M Grade 690): State-of-the-art review. J. Struct. Eng. 2020, 146, 03120003. [Google Scholar] [CrossRef]
- Park, J.S.; Kim, Y.J.; Cho, J.R.; Jeon, S.J. Early-age strength of ultra-high performance concrete in various curing conditions. Materials 2015, 8, 5537–5553. [Google Scholar] [CrossRef] [PubMed]
- Kim, K.H. Analytical Study on Long-Term Losses of the High Strength Strand. Master’s Thesis, Seoul National University of Technology, Seoul, Republic of Korea, 2009. [Google Scholar]
- Kim, J.K.; Seong, T.R.; Lee, J.K. Development of 2,160 MPa/2,400 MPa PS strand and its application technology. Mag. Korea Concr. Inst. 2012, 24, 45–50. [Google Scholar]
- Yang, J.M.; Kim, J.K.; Youn, S.G.; Jeon, S.J.; Kim, K.H.; Ahn, Y.S. Application of 2,400 MPa PS strand to LNG/LPG storage tank. Mag. Korea Concr. Inst. 2016, 28, 41–45. [Google Scholar]
- KS D 7002; Uncoated Stress-Relieved Steel Wires and Strands for Prestressed Concrete. Korean Agency for Technology and Standards (KATS); Korean Standards Association (KSA): Seoul, Republic of Korea, 2018.
- Seo, H.K. Analysis of Prestressing Effect of LNG Storage Tank with 2400 MPa High-Strength Strands. Master’s Thesis, Ajou University, Suwon-si, Republic of Korea, 2016. [Google Scholar]
- ASTM A416/A416M-18; Standard Specification for Low-Relaxation, Seven-Wire Steel Strand for Prestressed Concrete. ASTM International: West Conshohocken, PA, USA, 2018.
- FprEN 10138-3; Prestressing Steels—Part 3: Strand. CEN: Brussels, Belgium, 2009.
- JIS G 3536; Steel Wires and Strands for Prestressed Concrete. JSA: Tokyo, Japan, 2014.
- ISO 6934-4; Steel for the Prestressing of Concrete—Part 4: Strand. ISO: Geneva, Switzerland, 2020.
- Carroll, J.C.; Cousins, T.E.; Roberts-Wollmann, C.L. The use of Grade 300 prestressing strand in pretensioned, prestressed concrete beams. PCI J. 2017, 62, 49–65. [Google Scholar] [CrossRef]
- Oshima, K.; Tanaka, S.; Nakaue, S.; Nishino, M.; Matsubara, Y.; Yamada, M. Highly durable ultra-high strength prestressing strand system with large diameter. SEI Tech. Rev. 2016, 82, 89–95. [Google Scholar]
- KDS 14 20 60; Design Code of Prestressed Concrete Structures. KCI: Seoul, Republic of Korea, 2022.
- Mattock, A.H. Modification of ACI code equation for stress in bonded prestressed reinforcement at flexural ultimate. ACI J. 1984, 81, 331–339. [Google Scholar] [CrossRef]
- ACI 318-19; Building Code Requirements for Structural Concrete. ACI Committee 318. American Concrete Institute (ACI): Farmington Hills, MI, USA, 2025.
- Naaman, A.E.; Harajli, M.H. Evaluation of the ultimate steel stress in partially prestressed flexural members. PCI J. 1985, 30, 54–81. [Google Scholar] [CrossRef]
- Loov, R.E. A general equation for the steel stress for bonded prestressed concrete members. PCI J. 1988, 33, 108–137. [Google Scholar] [CrossRef]
- CSA A23.3:24; Design of Concrete Structures. CSA: Toronto, ON, Canada, 2024.
- American Association of State Highway and Transportation Officials (AASHTO). AASHTO LRFD Bridge Design Specifications, 10th ed.; AASHTO: Washington, DC, USA, 2024. [Google Scholar]
- Park, J.H.; Park, H.; Cho, J.Y. Prediction of stress in bonded strands at flexural strength. ACI Struct. J. 2017, 114, 697–705. [Google Scholar] [CrossRef]
- Lee, J.H. Prestressed Concrete; Dong Myeong Publishers: Paju, Republic of Korea, 2021. [Google Scholar]
- KDS 14 20 20; Design Code of Flexure and Compression in Concrete Structures. KCI: Seoul, Republic of Korea, 2022.
- KDS 24 14 21; Design Code of Concrete Bridges. KIBSE: Seoul, Republic of Korea, 2022.
- European Committee for Standardization (CEN). Design of Concrete Structures (Eurocode 2); CEN: Brussels, Belgium, 2004. [Google Scholar]
- Park, H.; Cho, J.Y.; Kim, J.S. Investigation on applicability of 2400 MPa strand for posttensioned prestressed concrete girders. J. Korea Concr. Inst. 2012, 24, 727–735. [Google Scholar] [CrossRef]
- KCI-R-25-004; Development of an Improved Flexural Design Method for PSC Members Using 2160/2360 MPa High-Strength Strands. KCI: Seoul, Republic of Korea, 2025.








| Strand Type | (MPa) | Constant A | Constant B | Constant C | 0.2% Offset Yield Strength, (MPa) | Yield Strain, |
|---|---|---|---|---|---|---|
| Type B | 1860 | 0.0250 | 118.0 | 10.0 | 1685 | 0.0104 |
| Type C | 2160 | 0.0169 | 96.97 | 14.71 | 2059 | 0.0123 |
| Type D | 2360 | 0.0131 | 87.72 | 9.98 | 2238 | 0.0132 |
| Metric | Region | Type B ) | Type C ) | Type D ) |
|---|---|---|---|---|
| R2 | Entire | 0.978 | 0.826 | 0.920 |
| MAE | Entire | 0.008 | 0.039 | 0.026 |
| Tension-controlled | 0.009 | 0.025 | 0.024 |
Disclaimer/Publisher’s Note: The statements, opinions and data contained in all publications are solely those of the individual author(s) and contributor(s) and not of MDPI and/or the editor(s). MDPI and/or the editor(s) disclaim responsibility for any injury to people or property resulting from any ideas, methods, instructions or products referred to in the content. |
© 2025 by the authors. Licensee MDPI, Basel, Switzerland. This article is an open access article distributed under the terms and conditions of the Creative Commons Attribution (CC BY) license.
Share and Cite
Sung, K.-J.; Hong, J.; Jeon, S.-J. An Improved Equation for Predicting the Stress of Bonded High-Strength Strands at Flexural Failure. Buildings 2026, 16, 179. https://doi.org/10.3390/buildings16010179
Sung K-J, Hong J, Jeon S-J. An Improved Equation for Predicting the Stress of Bonded High-Strength Strands at Flexural Failure. Buildings. 2026; 16(1):179. https://doi.org/10.3390/buildings16010179
Chicago/Turabian StyleSung, Kyeong-Jin, Jisu Hong, and Se-Jin Jeon. 2026. "An Improved Equation for Predicting the Stress of Bonded High-Strength Strands at Flexural Failure" Buildings 16, no. 1: 179. https://doi.org/10.3390/buildings16010179
APA StyleSung, K.-J., Hong, J., & Jeon, S.-J. (2026). An Improved Equation for Predicting the Stress of Bonded High-Strength Strands at Flexural Failure. Buildings, 16(1), 179. https://doi.org/10.3390/buildings16010179

