Next Article in Journal
Upcycled Apple Pomace as an Innovative Ingredient in High-Moisture Meat Analogs: Sustainable Valorization for Food Production
Previous Article in Journal
Control of Exposure Assessment Parameters to Ionising Radiation Under New Air Exchange (Ventilation) Conditions: A Case Study of the Underground Tourist Route in Książ
Previous Article in Special Issue
Load-Bearing Capacity Analysis on Rubber-Sand Mixture Cored Composite Block as Low-Cost Isolation Bearing for Rural Houses Based on DEM Simulations
 
 
Font Type:
Arial Georgia Verdana
Font Size:
Aa Aa Aa
Line Spacing:
Column Width:
Background:
Article

Shear Strength Evaluation of Precast Concrete Beam-Column Joints Considering Key Influencing Parameters

1
Department of Architecture and Architectural Engineering, Hankyong National University, Jungang-ro 327, Anseong 17579, Gyeonggi, Republic of Korea
2
School of Architecture and Architectural Engineering, Hankyong National University, Jungang-ro 327, Anseong 17579, Gyeonggi, Republic of Korea
*
Author to whom correspondence should be addressed.
Sustainability 2026, 18(1), 468; https://doi.org/10.3390/su18010468 (registering DOI)
Submission received: 1 December 2025 / Revised: 30 December 2025 / Accepted: 30 December 2025 / Published: 2 January 2026

Abstract

This study evaluates the shear strength of precast concrete beam–column joints using a Combined Model based on the ACI code, with implications for sustainable structural design. A database of 87 specimens from the existing literature was compiled and classified by prestressing condition and failure mode to examine key variables affecting prediction accuracy. The model demonstrated high reliability, with average predicted-to-test shear strength ratios (Vtest/Vcal) of 1.12 for non-prestressed joints and 0.99 for prestressed joints, supporting more efficient and reliable use of precast systems. By identifying cross-sectional geometry as the dominant factor governing shear strength and failure mode, the study highlights opportunities to optimize material use, enhance structural safety, and reduce overdesign, thereby contributing to resource-efficient and sustainable construction practices.

1. Introduction

Precast concrete (PC) structures, which are assembled on-site from factory-prefabricated members, have gained significant attention as off-site construction (OSC) due to the various advantages provided over cast-in-situ structures, such as rapid construction, minimization of on-site work, enhanced quality and manageability, superior durability, and all-weather constructability [1,2]. PC technology has evolved through continuous research and development. Starting in the 1950s, some European countries adopted PC methods to accelerate post-war economic and infrastructure recovery, and by the 1960s, other developed nations were also actively developing PC techniques [3]. In Korea, PC technology is widely applied to certain structures such as large buildings like logistics centers and knowledge industry centers, as well as underground parking lots in multi-unit housing. Recently, its application to mid-rise and tall buildings (e.g., multi-unit housing) has been increasing, and related research is actively being conducted [4,5].
For cast-in-place structures with continuous monolithic connections between members, stability is ensured through leakage prevention, thermal insulation, and integrated member behavior. However, in precast concrete (PC) structures, failure to ensure precise joint design and construction leads to various problems such as water leakage, thermal bridging, and insufficient strength. Consequently, residents react sensitively to structural cracks, leakage, and thermal insulation issues. This led to high dissatisfaction with PC housing in Korea during the early 1990s [6]. Subsequently, interest in the PC industry waned, and design and construction standards have not been developed for a certain period [7]. Moreover, unlike structures built using conventional cast-in-place methods, PC joints employ wet or mechanical connections, making joint design relatively complex. This complexity has limited the widespread application of PC structures until recently. Meanwhile, as the importance of seismic design gradually increased and related design standards were strengthened, there was a demand for member details, analysis techniques, and design methods capable of overcoming the inherent limitations of PC structures. However, the recent construction industry downturn, aging populations in developed countries (leading to a shortage of construction site labor [8]), and rising material prices have led to a re-evaluation of the PC structures as the OSC. Consequently, initiatives to revise the long-neglected design standards are now emerging. Seismic design is essential for constructing PC buildings such as apartment complexes. However, because design standards for PC structures have not been consistently updated, there remains room for improvement in the performance evaluation of joints for seismic design [9].
Joints play a crucial role in efficiently transferring forces between members, and they should be carefully considered during the seismic design process to ensure structural safety. In particular, beam-column joints are vulnerable to cyclic loads such as seismic forces, necessitating extensive research and development. The quality of these joints determines the overall performance and condition of the structure. Unlike conventional cast-in-place concrete joints, the PC joint connection utilizes prefabricated members on-site. By introducing high-quality field-produced PC members and prestressing techniques to control cracking and ensuring member integrity through detailed joint design, PC joints can achieve performance comparable to RC joints. Therefore, many researchers have proposed various connection methods—wet, dry, prestressed, hybrid—to investigate the behavior of diverse PC beam-column connections, ensure their ductility, and enhance seismic performance [10].
Ma et al. [11] proposed an internal beam-column wet connection method utilizing the excellent bonding and tensile properties of Ultra-High-Performance Concrete (UHPC). This study experimentally verified that even with significantly shorter lap lengths than conventional concrete (15db for straight bars, 11db for hook bars), the yield strength of the bars could be fully utilized. It also confirmed that UHPC significantly enhances the shear capacity of the joint, effectively reducing joint damage. Zhang et al. [12] proposed a dry joint method to minimize on-site casting, accelerate construction speed, and facilitate member replacement. Experiments on fully dry joints, where steel connectors are bolted between beams and columns, demonstrated that the steel connectors sufficiently transfer bending moments. Wada et al. [13] devised the ‘P/C MILD-PRESS-JOINT’ system, combining the compressive force from prestressing with the energy dissipation capacity of conventional steel bars, and conducted experimental studies on this system. This study proposed a joint method that induces origin-oriented behavior and minimizes residual deformation through post-tensioning with unbonded tendons, even when deformation occurs due to lateral loads. It demonstrated damage control performance where the damage in the specimen was observed solely at the beam-column joint interface. Yang et al. [14] introduced prestressing locally only in the beam-column joint area for construction efficiency and proposed a hybrid joint method combining metal fittings installation, high-strength PT bars, and grouting at the joint surface. The proposed joint method demonstrated seismic performance equivalent to that of cast-in-place concrete structures through experiments.
Kim et al. [15] investigated the shear strength of precast concrete beam–column joints by developing and validating a data-driven prediction approach based on an experimental database collected from the existing literature. A convolutional neural network (CNN)-based model is proposed to predict joint shear strength and is compared with conventional code-based methods, demonstrating improved prediction accuracy and reduced dispersion. The results highlight the dominant role of joint geometry and reinforcement characteristics in shear resistance and suggest that data-driven models can complement existing design codes by providing more reliable shear strength evaluations for precast beam–column joints in seismic design.
Past studies have established that precast concrete (PC) structures offer significant advantages over cast-in-place systems in construction speed, quality control, and labor efficiency, but have also identified beam–column joints as the critical factor governing structural and seismic performance. Early applications revealed problems such as leakage, cracking, and insufficient joint strength, leading to limited adoption and delayed development of design standards. Recent research has advanced PC joint technology through the use of UHPC wet joints, fully dry mechanical connections, and prestressed or hybrid systems, demonstrating that properly detailed PC joints can achieve strength, ductility, and seismic performance comparable to monolithic RC joints, with added benefits such as reduced damage and self-centering behavior. In parallel, data-driven approaches, such as machine-learning-based shear strength prediction models, have shown improved accuracy over conventional code equations. However, despite extensive experimental work on joint details, systematic evaluation of joint shear strength remains limited, particularly for prestressed and newly developed connection systems, and the applicability of ACI-based joint shear strength provisions—originally developed for cast-in-place RC joints—to modern PC joints remains uncertain, highlighting the need for further validation and refinement of seismic design criteria.
In addition, numerous studies have proposed various joint details and verified them through experiments [16,17]. However, research on evaluating the shear strength of the joints remains relatively scarce to date. While the shear strength of joints can be evaluated using the structural design criteria in the current standards, it is necessary to consider whether the joint strength equations specified in the standards are suitable for newly developed joint details. The American Concrete Institute (ACI) code [18,19] serves as the foundation for design codes in many countries, including KDS 14 20 of Korea. Therefore, this study aims to evaluate the shear strength of PC joints using the ACI code, based on an experimental database of precast concrete beam-column joints collected from the literature [18].
Despite extensive experimental studies on precast concrete beam–column joint details, the shear strength of PC joints—especially those with prestressing and newly developed connection systems—has not been sufficiently evaluated, and the applicability of ACI-based joint shear strength equations remains uncertain. This study aims to assess the accuracy and suitability of ACI code–based shear strength models for precast concrete beam–column joints using a comprehensive experimental database, and to identify key variables influencing joint shear strength and failure behavior for improved seismic design.

2. Theoretical Background of Joint Shear Strength

2.1. Nominal Shear Strength in the ACI Code

ACI 352R-02 [19], which provides design guidelines for reinforced concrete beam-column joints, defines the shear strength of the joint as follows:
V j = 0.083 γ f c k b j h c
where fck is the compressive strength of cylinder concrete, hc is the depth of the column in the direction of joint shear being considered. γ is the shear strength factor reflecting confinement of the joint by lateral members that takes into account non-seismic zones (Type 1) and seismic zones (Type 2) based on the classification of the joint connection. In addition, as shown in Figure 1, the effective joint width (bj) can be calculated as follows:
b j = min ( b b + b c 2 , b b + m h c 2 , b c )
where bb and bc are the widths of the beam and column sections, respectively. For joints where the eccentricity between the beam centerline and the column centroid exceeds bc/8, m = 0.3 should be used; for all other cases, m = 0.5. The summation term should be applied on each side of the joint where the edge of the column extends beyond the edge of the beam. The value of mhc/2 should not be taken larger than the extension of the column beyond the edge of the beam.
As shown in Figure 2, the horizontal shear force (Vjby) at the yield point of the main reinforcement of the beam can be calculated according to the internal and external beam-column joints, as follows:
V j b y = ( l c z b 1 ) V b y L b l c h c z b V b y
V j b y = ( l c z b 1 ) V b y 2 l b + h c 2 l c
where lc is the height of the column, lb is the length from the adjacent face of the joint to support point of the beam, Lb is the total length of the beam at both ends at the internal joint, zb is the spacing between the upper and lower reinforcement bars of the beam, and Vby is the vertical shear force in the beam when the main reinforcement yields, calculated as follows:
V b y = min ( M b 1 , M b 2 ) a
Under cyclic loading, the positions of the compression and tension zones in the beam cross-section may differ depending on positive and negative moments, as shown in Figure 3. Therefore, Vby is determined as the smaller value of the bending moments (Mb1, Mb2) in the beam cross-section from Equation (5).
By comparing Equation (1) for V j and Equations (3) and (4) for V j b y , the smaller value is considered the shear strength of the beam-column joint. That is, in the case of V j < V j b y , the shear force acting before plastic hinging occurs in the beam exceeds the joint strength, causing failure at the joint (J Failure). Conversely, when V j V j b y , as shown in Figure 4, the main reinforcement in the beam yields, and the plastic hinge formed in the beam determines the joint strength. However, the final failure mode in this case can again be divided into two types—BJ and B failures. BJ Failure occurs when the deformation of the beam propagates into the joint after a plastic hinge forms in the beam, ultimately causing failure at the joint. B Failure occurs when the deformation of the joint does not reach the failure point, and failure occurs solely in the beam. It is quite difficult to accurately distinguish the B and BJ failures. Therefore, this study aims to establish a database of beam-column joint specimens from the literature to identify valid variables affecting the failure mode.

2.2. Shear Friction Mechanism for Connections

The precast concrete beam-column joints feature a joint surface between members at the connection or concrete splice. Birkeland and Mattock [20] demonstrated that the degree of roughness on the joint surface causes sliding and separation along the vertical plane between the beam and column. This mechanism explains shear friction by the concept that tensile forces acting on the through-reinforcing bars compress the joint surface. Based on this concept, ACI 318 [18] defines the shear strength (Vnf) due to shear friction bars as follows:
V n f = μ A v f f y
where μ is the coefficient of friction, determined by the condition of the joint surface, Avf is the cross-sectional area of the reinforcing bar assumed for shear resistance across the shear plane, and fy is the yield strength of the reinforcing bar.
As presented in Figure 5, slippage at the joint interface between precast concrete beams and columns may cause the interface to separate owing to surface roughness between the members. Due to the nature of precast members, the surfaces undergo a process of smooth finishing during the factory manufacturing process. Therefore, if the concrete surface has no residual material and has not been intentionally roughened, a friction coefficient (μ) of 0.6 can be applied as specified in ACI 318.

2.3. Influence of Prestressing

When manufacturing precast concrete members in a factory, typically, the prestressing is applied to the members, which presents a favorable effect in crack control. Furthermore, when post-tensioning is introduced for connections between the members, a self-centering effect can be achieved. To design with the benefits of prestressing, it is required to accurately predict the performance of the PC joints considering the prestressing effect. When post-tensioning is applied with tendons penetrating the beam-column joint, a confinement effect on the joint can be expected, increasing the shear strength of the joint. However, Equation (1) presented in ACI 352R-02 does not account for this confinement effect. Therefore, the web-shear cracking mechanism can be applied to determine the joint strength incorporating the confinement [19].
From Mohr’s stress circle shown in Figure 6, the tensile strength (ft) and shear strength (ν) with horizontal prestress can be derived as follows:
f t = v 2 + f p c 2 2 f p c 2
v = f t 1 + f p c f t
where fpc is the compressive stress in concrete, after allowance for all prestress losses, at centroid of cross section resisting externally applied loads or at junction of web and flange where the centroid lies within the flange according to ACI 318-25 [18] and ft is the tensile strength of concrete at the beam-column joint. The joint shear strength in Equation (1), as specified in the ACI code, was applied to determine ft as 0.083 γ f j , c k where fj,ck is the compressive strength of concrete at the joint. Furthermore, although the prestressing strands do not penetrate the joint, precluding consideration of the web shear cracking effect at the joint, the prestressing effect of the tendons was reflected in the calculation of the nominal moment according to Equation (5) for the beams reinforced by the strands. Here, the tensile strength (fps) of the tendons at the nominal flexural strength of the section is determined as follows:
f p s = f p e + f y 0.9 f p u for   partially   prestressed   member for   fully   prestressed   member
where fy is the yield strength of the reinforcing steel, fpu is the tensile strength, and fpe is the effective prestress of the tendons, for which 0.7fpu was applied. Additionally, for simplified calculations, the tensile strength (fps,u) of the unbonded tendons at the nominal flexural strength of the section was assumed to be 0.5 fps.

2.4. Combined Model for the Shear Strength of PC Beam-Column Joints

The shear strength (Vj) of precast concrete beam-column joints considering the influence of prestressing is determined as follows:
V j = f t 1 + f p c f t b j h c
where
f p c = f p e A p s A c
In addition, the horizontal shear strength (Vjby) determined by the yield and shear friction is calculated as follows:
V j b = ( l c z b 1 ) V b L b l c h c z b V b ( l c z b 1 ) V b 2 l b + h c 2 l c for   internal   joints for   external   joints
V b = min ( V b y , V f ) = min ( min ( M b 1 , M b 2 ) a , μ A v f f y )

3. Experimental Database

3.1. Data Collection Criteria

In this study, a database was constructed by collecting extensive experimental data from the literature to evaluate the shear strength of PC beam-column joints based on the ACI codes. Here, Equations (9)–(13) were applied to evaluate the shear strength and distinguish the failure modes of PC joints, to analyze the influencing variables. To ensure the accuracy and reliability of the analysis, the following selection criteria were applied to the collected data:
First, the study selected only specimens where the presence or absence of prestressing, which significantly affects joint behavior, was clearly defined. In this context, specimens without prestressing and those with prestressing applied only to the beam without penetrating the joint were regarded as Non-Prestressed specimens. In Equation (10), when prestressing does not penetrate the joint, no restraining force acts on the joint. That is, with f p c = 0 , the Vj calculation formula becomes identical to Equation (1) presented in the ACI code.
Second, the study selected specimens from the experimental research literature exhibiting identifiable failure modes to enable analysis of the shear failure behavior of the specimens. While J Failure can be predicted using shear strength calculation models, the criteria for B/BJ Failure remain unclear. Therefore, confirming the presence or absence of a failure mode is essential for identifying influential variables in distinguishing failure modes.
Third, the literature containing all detailed information on the test specimens was considered, and the data were collected for the calculation of the theoretical shear strength (Vcal). The literature includes the geometric dimensions of the members, detailed reinforcement arrangements, material strengths of concrete and reinforcement, detailed drawings of joints, test settings, and load protocols.
Fourth, only cases where the shear strength (Vtest) obtained experimentally was clearly defined were included in the database for the validation of the Combined Model. In cases where the load on the actuator was documented in the literature, the load was converted to the shear strength (Vtest) of the joint, considering the experimental setting.
Meanwhile, joint details out of the scope of this study were excluded. Specifically, specimens employing welding or bolted joints—where the stress mechanism was activated by wet bonding or differed from typical PC bonding—were excluded during database construction.

3.2. Classification of the Database

A total of 87 PC beam-column joint specimens were collected through the selection criteria. To thoroughly verify the applicability of the Combined Model, the specimens were classified according to two main criteria: (1) the presence or absence of prestressing, and (2) the failure mode, as shown in Table 1.
(1)
Classification by Prestressing Condition
To verify the accuracy of the joint shear strength evaluation in Equation (10), which is based on the joint calculation formula presented in the ACI code and incorporates the web-shear cracking mechanism considering prestressing effects, the collected specimens include 62 non-prestressed specimens and 25 prestressed specimens. The number of Prestressed specimens is somewhat smaller than that of Non-Prestressed specimens. For more accurate analysis, supplementary literature collection is required in the future.
(2)
Classification by Failure Mode
Test specimens were classified into three failure modes. For J Failure, as previously explained, the joint failure can be predicted using an equation, making this failure mode suitable for verifying the prediction accuracy of the shear strength (Vcal). B Failure occurs when the capacity of the beam is exhausted before the capacity of the joints, allowing the verification of whether the experimentally measured shear strength can be accurately evaluated using Equation (12). Finally, BJ Failure is difficult to determine using Equations (10) and (12), which define J Failure and B Failure. Therefore, BJ Failure is used to evaluate the rationality of the theoretical shear strength equation based on the failure modes reported in experimental research literature.
Table 1. Classification of the database by prestressed condition and failure modes.
Table 1. Classification of the database by prestressed condition and failure modes.
J FailureBJ FailureB FailureTotal
Non-Prestressed15232462
Prestressed1231025
Total27263487

3.3. Range of Parameters

The constructed database is summarized in Table 2, and the values of various design variables are presented as maximum, minimum, and average values in Table 3. The concrete compressive strength at the PC beam-column joint may vary depending on the joint method, influencing both the beam and joint concrete compressive strength. First, the concrete compressive strength of the beam (fb,ck) ranges from 22 MPa to 78.4 MPa, encompassing data from normal-strength concrete to high-strength concrete. The average value is 37.7 MPa, with most concrete compressive strengths being 40 MPa or below. The concrete compressive strength of the joint (fj,ck) ranges from 118.8 MPa to 23 MPa, encompassing data from normal-strength to high-strength concrete. The average value is 42.4 MPa, higher than the concrete compressive strength of the beam (fb,ck). It suggests an effort to increase joint strength and reduce joint damage. The range of beam and column cross-sectional sizes includes specimens from small sizes up to medium and large sizes close to actual structural dimensions. The shear strength of the beam (Vjb) is calculated as a function of the main reinforcement of the beam as presented in Equation (12). The range of the main reinforcement ratio (ρb) for beams is from 0.006 to 0.05, with an average value of 0.018, which falls between the minimum and maximum reinforcement ratios. The ranges for the total column height (lc) and beam length (lb) of the beam-column joint specimens are 1.3 m to 3.5 m and 1.0 m to 4.0 m, respectively. Furthermore, the shear span ratio (d/a) varies from 0.17 to 0.409. Therefore, the constructed database is deemed sufficient to evaluate the shear strength of the joint from multiple perspectives, as the key variables are distributed over a wide range.

4. Results and Discussion

A database was utilized for the evaluation of the shear strength of PC beam-column joints based on the ACI code and for determining the influence of various design variables on different failure modes. This section evaluates the predictive performance of the Combined Model for PC beam–column joint shear strength and examines the influence of key design variables on both shear capacity and failure mode. Particular emphasis is placed on identifying systematic trends, limitations of the current formulation, and implications for joint design.
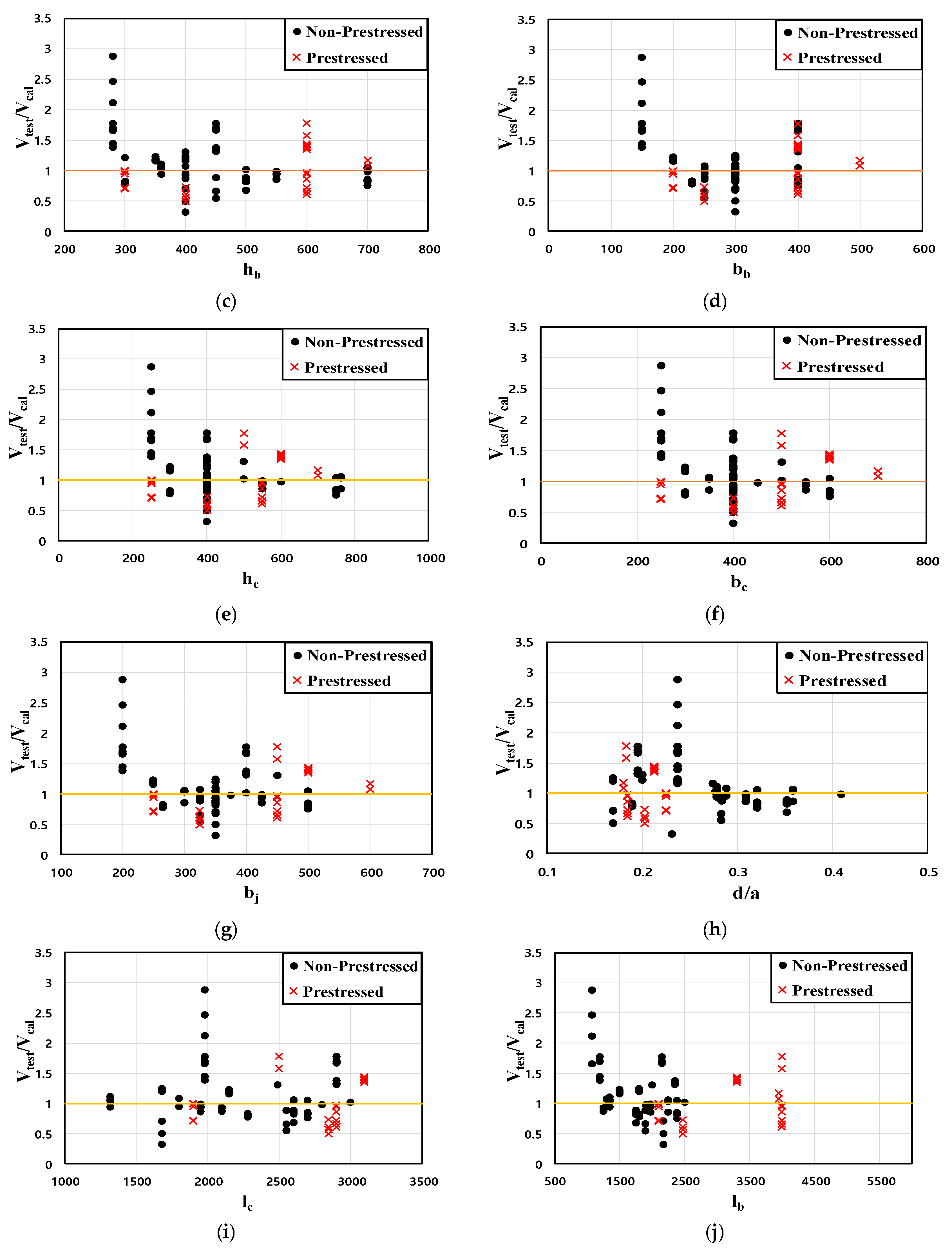
The effect of each design variable on shear strength, depending on the presence or absence of prestressing, is shown in Figure 7. Calculating the Non-Prestressed and Prestressed specimens using the Combined Model presented average Vtest/Vcal values of 1.12 and 0.99, respectively. The results indicate the model accurately predicts the shear strength of the specimens. While the trends were similar, the Prestressed specimens, which reflect the confinement effect of the joint, were evaluated with slightly higher accuracy. This suggests that the behavior of members with prestressing is more stable in achieving their performance, and the evaluation model predicts the behavior more accurately. The shear strength evaluation results for each key variable shown in Figure 7 can be summarized as follows:
As shown in Figure 7a, the shear strength was generally evaluated on the safe side (Vtest/Vcal > 1) in the range where the concrete compressive strength (fb,ck) was 40 MPa or less; however, the data dispersion is significantly large.
For the reinforcement ratio (ρb), in the low reinforcement ratio range (<1.5% or 0.0015), data points show a very conservative Vtest/Vcal value of 2 or higher, and most fall on the safe side (Vtest/Vcal > 1). Data with reinforcement ratios of 2% or higher tend to show Vtest/Vcal values falling below 1, indicating a potential tendency to somewhat overestimate the shear strength of members with high reinforcement ratios.
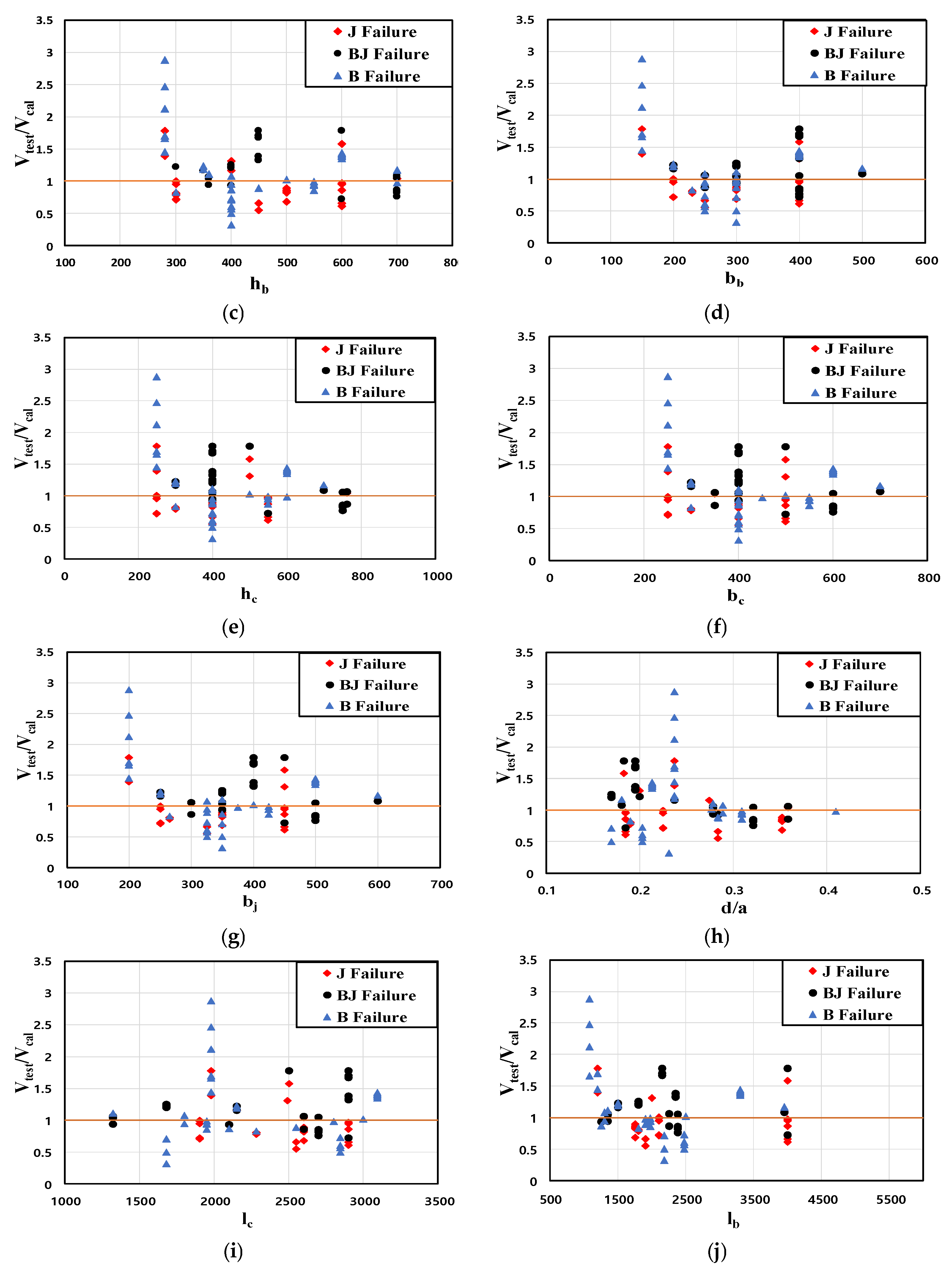
All variables related to cross-sectional dimensions (bc, hc, bb, hb, bj) show a similar trend. The variables predict a large shear strength compared to experimental values for small cross-sections, indicating a very conservative approach. As the cross-section increases, the safety margin tends to decrease. For columns, test specimens were generally close to square (i.e., b c h c and smaller column sizes tended to underestimate the shear strength at the joint. For beams, specimens with hb larger than bb were more common. Unlike columns, no distinct trend emerged for beams; underestimation of shear strength occurred for small beams and for relatively large beams around hb = 600 mm and bb = 400 mm.
Figure 7. Distribution of Vtest/Vcal ratio by major design variables based on prestressed condition: (a) fck; (b) ρb; (c) hb; (d) bb; (e) hc; (f) bc; (g) bj; (h) d/a; (i) lc; (j) lb.
Figure 7. Distribution of Vtest/Vcal ratio by major design variables based on prestressed condition: (a) fck; (b) ρb; (c) hb; (d) bb; (e) hc; (f) bc; (g) bj; (h) d/a; (i) lc; (j) lb.
Sustainability 18 00468 g007aSustainability 18 00468 g007b
Although the average prediction accuracy of the Combined Model is satisfactory, the dispersion of Vtest/Vcal. indicates that joint shear behavior is influenced by multiple inter-acting mechanisms that are not fully represented by a single deterministic equation. In particular, the scatter observed in non-prestressed specimens reflects the sensitivity of joint performance to cracking patterns, reinforcement anchorage conditions, and local damage accumulation, which vary significantly among experimental setups. This disper-sion highlights the inherent uncertainty associated with joint shear resistance and suggests that mean accuracy alone is insufficient to fully evaluate model reliability.
The pronounced conservatism observed for specimens with relatively small beam and joint cross-sections can be attributed to the dominance of arching action and confinement effects that are not explicitly quantified in the ACI-based formulation. In small sections, stress trajectories tend to be shorter and more direct, allowing shear forces to be transferred efficiently through compression struts. As a result, the actual joint capacity exceeds the value predicted by the simplified shear strength model, which assumes a uniform stress distribution and does not account for beneficial confinement arising from member proportions.
The results consistently indicate that geometric parameters exert a greater influence on joint shear strength and failure mode than material strength parameters. This observation implies that joint behavior is governed primarily by force transfer paths and stress concentrations rather than by the nominal strength of concrete or reinforcement. Once cracking initiates, the ability of the joint to redistribute stresses depends largely on member dimensions and load paths, explaining why variations in concrete compressive strength alone do not produce proportional changes in shear capacity.
Figure 8 shows the results of analyzing the collected data according to failure mode. The key point here is that, as previously explained, distinguishing all failure modes solely by Vj/Vjby is challenging. Therefore, the study examines the distribution of J, BJ, and B failures for each variable to identify the primary variables influencing failure mode classification. Overall, as joint damage increases, the value of Vtest/Vcal is close to 1. Conversely, for B Failure specimens with less joint damage, the value of Vtest/Vcal tends to be significantly higher. Therefore, compared to J Failure specimens, which relatively accurately evaluated shear strength, the shear strength evaluation model for B Failure specimens, where shear strength was considerably underestimated, requires improvement. The analysis of failure modes for each variable is as follows.
Analysis of the effect of the beam concrete compressive strength (fb,ck) on failure modes reveals that BJ and B Failure are more prevalent as the concrete compressive strength decreases. This is because lower concrete compressive strength reduces the load-carrying capacity of the beam, resulting in the joint strength primarily determined by Vjby.
The classification of failure modes based on the reinforcement ratio (ρb) was not clearly evident. Consequently, the influence of the reinforcement ratio (ρb) on determining the failure mode is judged to be negligible.
The classification of failure modes based on variables related to cross-sectional dimensions (bc, hc, bb, hb, bj) was clearly evident. While no distinct trend in failure modes was observed for the cross-sectional elements of the column (bc, hc), the cross-sectional elements of the beam (hb, bb) showed a tendency for greater joint damage as the beam dimensions increased. This trend occurs because, as the beam cross-section decreases, the bending moment (Mb) in the beam cross-section also decreases. Consequently, the shear strength of the beam (Vjby) becomes smaller than the internal shear strength (Vj) at the joint, thereby reducing joint damage.
Figure 8. Distribution of Vtest/Vcal ratio by major design variables based on failure modes: (a) fck; (b) ρb; (c) hb; (d) bb; (e) hc; (f) bc; (g) bj; (h) d/a; (i) lc; (j) lb.
Figure 8. Distribution of Vtest/Vcal ratio by major design variables based on failure modes: (a) fck; (b) ρb; (c) hb; (d) bb; (e) hc; (f) bc; (g) bj; (h) d/a; (i) lc; (j) lb.
Sustainability 18 00468 g008aSustainability 18 00468 g008b
The transition from B Failure to BJ and J Failure can be interpreted as a competition between beam flexural demand and joint shear resistance. When beam flexural capacity is relatively low, damage localizes in the beam, limiting shear demand transferred to the joint. As beam capacity increases due to larger sections or higher reinforcement ratios, a greater portion of the applied load is transmitted through the joint core, increasing joint damage and shifting the failure mode toward BJ or J Failure. This transition mechanism explains why beam geometry plays a decisive role in failure mode classification.
Figure 7 and Figure 8 show that both the shear strength and failure mode of PC joints are significantly influenced by the geometry. Therefore, it appears reasonable to incorporate the geometric characteristics of the joint when distinguishing between B, J, and BJ failures. Furthermore, the Combined Model, which integrates web-shear cracking considering joint confinement effects with the joint shear strength Equation (1) from the ACI code, was verified to provide high accuracy in predicting the shear strength of prestressed beam-column joints. However, the joints with high reinforcement ratios (ρb) should be carefully designed since they were overestimated in terms of their shear strength. Furthermore, it is necessary to improve the shear strength evaluation equation to enhance the accuracy for specimens classified as B failure.
From a design perspective, the findings suggest that joint shear strength based solely on material properties may be insufficient for PC structures with large or heavily reinforced beams. In such cases, geometric compatibility between beam and joint dimensions should be explicitly verified to prevent unintended joint damage. Incorporating geometry-dependent modification factors or failure mode criteria could enhance the robustness of joint design provisions.

5. Conclusions

This study evaluated the shear strength of PC beam-column joints by constructing a database of 87 experimental specimens based on the literature. Based on the ACI code, a Combined Model was proposed that considers prestressing effects, shear friction mechanisms, and web-shear cracking. This model was used to analyze the accuracy and stability of the shear strength evaluation for the collected specimens, as well as the key influencing variables determining the failure mode. The main results and conclusions of this study are as follows.
  • Analysis of all 87 specimens using the Combined Model showed average Vtest/Vcal values of 1.12 for the Non-Prestressed group and 0.99 for the Prestressed group, demonstrating prediction performance close to actual test values for both groups. Notably, the shear strength evaluation accuracy was superior for specimens with prestressing, indicating that the Combined Model reasonably reflects the joint confinement effect.
  • Analysis indicates that the cross-sectional element variable consistently exerts the greatest influence on both shear strength prediction and fracture mode classification. Therefore, incorporating the geometric characteristics of the joint when classifying the failure mode of the joint is deemed reasonable.
  • For the reinforcement ratio (ρb), the Vtest/Vcal value tends to fall below 1 when using a high reinforcement ratio. The results indicate a potential for slight overestimation of the shear strength of members with high reinforcement ratios, necessitating caution during design.
  • The influence of the cross-sectional properties of the column (bc, hc) and reinforcement ratio (ρb) on the failure mode determination was negligible. However, the study confirmed that as the cross-sectional properties of the beam (hb, bb) increased, the damage at the joint tended to increase. Furthermore, as the damage at the joint increased, the safety factor decreased. The shear strength of members with significant beam damage was evaluated quite conservatively.
  • Overall, high accuracy was achieved in predicting shear strength. However, to enable more precise analysis and a safer joint design, supplementary research through additional literature collection is required, along with improvements to the shear strength evaluation model for PC beam-column joints.
  • The Combined Model can be used as a supplementary shear strength evaluation method for PC beam–column joints, particularly for prestressed members. Caution is recommended for joints with large beam sections or high reinforcement ratios, where shear strength may be slightly overestimated.
  • Future work should expand the experimental database and include cyclic loading effects to improve prediction reliability. In addition, further refinement is needed to support code-oriented application of the model for PC beam–column joint design.

Author Contributions

Validation, formal analysis, investigation, resources, data curation, writing—original draft preparation, D.K., and conceptualization, methodology, validation, investigation, writing—review and editing, supervision, funding acquisition, H.J. All authors have read and agreed to the published version of the manuscript.

Funding

This work was supported by the National Research Foundation of Korea (NRF) grant funded by the Korean government (MSIT) (RS-2025-11902970).

Institutional Review Board Statement

Not applicable.

Informed Consent Statement

Not applicable.

Data Availability Statement

The original contributions presented in the study are included in the article, further inquiries can be directed to the corresponding author.

Conflicts of Interest

The authors declare no conflicts of interest.

References

  1. Lee, S.; Cha, H. A Study on Plans for Diffusion & Revitalization, and Developing Key Performance Indicator for OSC based PC Structure Apartment Housing. Korean J. Constr. Eng. Manag. 2021, 22, 98–105. [Google Scholar] [CrossRef]
  2. Kang, M.G.; Lee, U.H.; Kim Jin, S. A Study on the Applicability of OSC-Based PC Structure Apartment Housing Project. Archit. Inst. Korea 2023, 43, 614–615. [Google Scholar]
  3. Kurama, Y.C.; Sritharan, S.; Fleischman, R.B.; Restrepo, J.I.; Henry, R.S.; Cleland, N.M.; Ghosh, S.; Bonelli, P. Seismic-resistant precast concrete structures: State of the art. J. Struct. Eng. 2018, 144, 03118001. [Google Scholar] [CrossRef]
  4. Lee, J.-M. Off-Site Construction In Past, Present, and Future–Focused on case studies in the UK and Korea. Archit. Inst. Korea 2020, 40, 571–574. [Google Scholar]
  5. Yoo, J.-W.; Lee, J.-S. Structural System, Example and Future Development of Precast Concrete Housing. Archit. Inst. Korea 2020, 64, 39–44. [Google Scholar]
  6. Shin, D. Performance Defects and their Counter-Measures in Precast Concrete Structures. Mag. Korea Concr. Inst. 1994, 6, 16–22. [Google Scholar]
  7. Architectural Institute of Korea (AIK). Building Code Requirements for Precast Concrete and Commentary; Architectural Institute of Korea (AIK): Seoul, Republic of Korea, 1992; 137p. [Google Scholar]
  8. The Chosun Ilbo. South Korea’s Construction Industry Faces Graying Crisis. Available online: https://www.chosun.com/english/industry-en/2025/05/23/RYHHX5CSEFH6DBHAEY7D35J6Y4/ (accessed on 23 May 2025).
  9. Lee, J.-M. Trends in Revising and Enacting Codes and Standards to Boost Off-Site Construction in Developed Countries-Focusing on BPS 7014 & ICC 1200, 1205. J. Archit. Inst. Korea 2022, 38, 3–12. [Google Scholar] [CrossRef]
  10. Lee, J.-Y.; Byun, H.-W. Emulation Evaluation of Precast Concrete Structures. J. Korea Concr. Inst. 2022, 34, 633–644. [Google Scholar] [CrossRef]
  11. Ma, F.; Deng, M.; Yang, Y. Experimental study on internal precast beam–column ultra-high-performance concrete connection and shear capacity of its joint. J. Build. Eng. 2021, 44, 103204. [Google Scholar] [CrossRef]
  12. Zhang, R.; Zhang, Y.; Li, A.; Yang, T. Experimental study on a new type of precast beam-column joint. J. Build. Eng. 2022, 51, 104252. [Google Scholar] [CrossRef]
  13. Wada, A.; Sakata, H.; Nakano, K.; Matsuzaki, Y.; Tanabe, K.; Machida, S. Study on Damage Controlled Precast-Prestressed Concrete Structure with P/C Mild-Press-Joint-Part 1: Overview of P/C Mild-Press-Joint Building Construction and its Practical Applications. In Proceedings of the 2nd FIB Congress, Naples, Italy, 5–8 June 2006. [Google Scholar]
  14. Yang, H.; Wu, J.; Guo, Z. Optimization and experimental study on seismic performance of precast dry-wet hybrid beam-column joint with local prestressing. Structures 2024, 65, 106703. [Google Scholar] [CrossRef]
  15. Kim, D.; Heo, J.; Lee, M.; Lee, D.; Ju, H. Assessment of beam-column joints in reinforced concrete and precast concrete structures based on CNN. Steel Compos. Struct. 2025, 57, 405–419. [Google Scholar]
  16. Lee, Y.-H.; Kim, M.-S.; Jung, B.-N.; Kim, H.-C.; Kim, K.-S. Experimental Study on Structural Behavior of Joints for Precast Concrete Segment. J. Earthq. Eng. Soc. Korea 2009, 13, 59–65. [Google Scholar] [CrossRef]
  17. Choi, H.-K.; Choi, Y.-C.; Choi, C.-S. Hysteretic behavior and seismic resistant capacity of precast concrete beam-to-column connections. J. Earthq. Eng. Soc. Korea 2010, 14, 61–71. [Google Scholar] [CrossRef]
  18. ACI Committee 318 (ACI 318-25); Building Code Requirements for Structural Concrete and Commentary. American Concrete Institute: Farmington Hills, MI, USA, 2025.
  19. ACI Committee 352 (ACI 352R-02); Recommendations for Design of Beam-Column Connections in Monolithic Reinforced Concrete Structures. American Concrete Institute: Farmington Hills, MI, USA, 2002.
  20. Birkeland, P.W.; Birkeland, H.W. Connections in precast concrete construction. J. Proc. 1966, 63, 345–368. [Google Scholar] [CrossRef]
  21. Parastesh, H.; Hajirasouliha, I.; Ramezani, R. A new ductile moment-resisting connection for precast concrete frames in seismic regions: An experimental investigation. Eng. Struct. 2014, 70, 144–157. [Google Scholar] [CrossRef]
  22. Guan, D.; Guo, Z.; Xiao, Q.; Zheng, Y. Experimental study of a new beam-to-column connection for precast concrete frames under reversal cyclic loading. Adv. Struct. Eng. 2016, 19, 529–545. [Google Scholar] [CrossRef]
  23. Hosoya, H.; Matsumoto, M.; Kanakubo, T.; Yasojima, A. Experimental study on structural performance of precast RC beam-column joints. Archit. Inst. Jpn. 2012, 18, 529–534. [Google Scholar] [CrossRef]
  24. Ha, S.-S.; Kim, S.-H.; Lee, M.S.; Moon, J.-H. Performance evaluation of semi precast concrete beam-column connections with U-shaped strands. Adv. Struct. Eng. 2014, 17, 1585–1600. [Google Scholar] [CrossRef]
  25. Yan, Q.; Chen, T.; Xie, Z. Seismic experimental study on a precast concrete beam-column connection with grout sleeves. Eng. Struct. 2018, 155, 330–344. [Google Scholar] [CrossRef]
  26. Lee, S.-J.; Hong, S.-G.; Lim, W.-Y. Seismic performance of precast concrete beam-column connections using ductile rod. J. Korea Concr. Inst. 2014, 26, 695–705. [Google Scholar] [CrossRef]
  27. Im, H.-J.; Park, H.-G.; Eom, T.-S.; Kang, S.-M. Earthquake resistance of beam-column connection of precast concrete U-shaped shell construction. J. Korea Concr. Inst. 2010, 22, 741–751. [Google Scholar] [CrossRef]
  28. Masuda, Y.; Sugimoto, N. A study on mechanical behavior of joint-integrated precast beam-column connections (Precast Concrete). Proc. Jpn. Concr. Inst. 2008, 30, 571–576. [Google Scholar] [CrossRef]
  29. Chen, Q.; Qin, Y.; Xie, Y.; Yang, C. Seismic performance of a new precast concrete frame joint with a built-in disc spring. Sci. Rep. 2023, 13, 5334. [Google Scholar] [CrossRef]
  30. Zhang, Q.; Wang, S.; Meloni, M.; Feng, J.; Xu, J.; Cai, J. Experimental study on seismic behavior of precast beam-column connections under cyclic loading. Struct. Concr. 2021, 22, 1315–1326. [Google Scholar] [CrossRef]
  31. Liu, W.; Zhong, M.; Yang, S.; He, W.; Liu, W. Seismic performance study on novel precast concrete beam-to-beam connection with threaded sleeve. Structures 2024, 64, 106572. [Google Scholar] [CrossRef]
  32. Chen, Z.-Y.; Han, X.-L.; Wang, X.; Cui, B.; Huang, G.-X.; Li, Z.-C.; Ji, J. Seismic behavior of precast concrete beam-column subassemblies with joint rebar couplers. Structures 2025, 79, 109553. [Google Scholar] [CrossRef]
  33. Yue, W.; Nishiyama, M.; Watanabe, F. Shear strength capacity of prestressed concrete beam-column joint focusing on tendon anchorage location. In Proceedings of the 13th World Conference on Earthquake Engineering, Vancouver, BC, Canada, 1–4 August 2004. [Google Scholar]
  34. Kim, J.H.; Choi, S.-H.; Hwang, J.-H.; Jeong, H.; Han, S.-J.; Kim, K.S. Experimental study on lateral behavior of post-tensioned precast beam-column joints. Structures 2021, 33, 841–854. [Google Scholar] [CrossRef]
  35. Hamahara, M.; Nishiyama, M.; Okamoto, H.; Watanabe, F. Design for shear of prestressed concrete beam-column joint cores. J. Struct. Eng. 2007, 133, 1520–1530. [Google Scholar] [CrossRef]
  36. Wang, S.; Zhang, T.; Xu, W.; Du, D.; Zhang, Y. Experimental and numerical investigations on novel post-tensioned precast beam-to-column energy-dissipating connections. Structures 2023, 54, 117–133. [Google Scholar] [CrossRef]
  37. Restrepo, J.I.; Park, R.; Buchanan, A.H. Tests on connections of earthquake resisting precast reinforced concrete perimeter frames of buildings. PCI J. 1995, 40, 44–61. [Google Scholar] [CrossRef]
  38. Kim, H.-S. Structural Behavior and Seismic Performance Evaluation of Precast Concrete Moment Frame Structures According to Beam-Column Joint Details of Thesis. Master’s Thesis, Yonsei University, Seoul, Republic of Korea.
Figure 1. Plan section of the joint [18].
Figure 1. Plan section of the joint [18].
Sustainability 18 00468 g001
Figure 2. Force equilibrium at the beam-column joints.
Figure 2. Force equilibrium at the beam-column joints.
Sustainability 18 00468 g002
Figure 3. Stress state and internal force equilibrium of beam sections under cyclic loading.
Figure 3. Stress state and internal force equilibrium of beam sections under cyclic loading.
Sustainability 18 00468 g003
Figure 4. Failure mechanism of beam-column joints.
Figure 4. Failure mechanism of beam-column joints.
Sustainability 18 00468 g004
Figure 5. Shear friction mechanism at the PC joint interface.
Figure 5. Shear friction mechanism at the PC joint interface.
Sustainability 18 00468 g005
Figure 6. Mohr’s circle under prestress compressive stress (fpc) and shear stress (ν).
Figure 6. Mohr’s circle under prestress compressive stress (fpc) and shear stress (ν).
Sustainability 18 00468 g006
Table 2. Detailed specification and results of the database.
Table 2. Detailed specification and results of the database.
Author(s)SpecimensSTJoint TypePSfj,ck
(MPa)
fb,ck
(MPa)
lc
(mm)
lb
(mm)
hc
(mm)
bc
(mm)
hb
(mm)
bb
(mm)
d/aρbVj/VjbyVtest/VcalFailure Mode of the Specimen
Parastesh et al. [21]BCT2PCExtN-PS2425290021504004004504000.1730.00812.561.67BJ Failure
BCT3PCExtN-PS2527290021504004004504000.1730.00792.611.78BJ Failure
BCT4PCExtN-PS2322290021504004004504000.1730.00832.51.7BJ Failure
BC2PCIntN-PS2725290021504004004504000.1730.00812.011.33BJ Failure
BC3PCIntN-PS2527290021504004004504000.1730.00791.931.38BJ Failure
BC4PCIntN-PS2822290021504004004504000.1730.00832.041.32BJ Failure
Guan et al. (2016) [22]SP1PCIntN-PS34.241.4195017005505505503000.1620.00913.210.99B Failure
SP2PCIntN-PS34.241.4195017005505505503000.1620.00913.210.94B Failure
SP3PCIntN-PS34.241.4195017005505505503000.1620.00913.210.95B Failure
SP4PCIntN-PS34.241.4195017005505505503000.1620.00913.210.86B Failure
Hosoya et al. (2012) [23]No2PCIntN-PS77.157.4132011504004003603000.2270.02361.541.04BJ Failure
No3PCIntN-PS77.157.4132011504004003603000.2270.02361.541.06BJ Failure
No4PCIntN-PS77.157.4132011504004003603000.2270.02361.541.06BJ Failure
No6PCIntN-PS118.878.4132011504004003603000.2270.03171.390.94BJ Failure
No8PCIntN-PS77.157.4132011504004003603000.2270.02361.541.11B Failure
Ha et al. (2014) [24]S3-1PCIntN-PS28.134.1168016004004004003000.1240.02311.351.2BJ Failure
S3-2PCIntN-PS28.134.1168016004004004003000.1240.02441.351.25BJ Failure
S3-3PCIntN-PS28.134.1168016004004004003000.1240.02441.351.22BJ Failure
S4-1PCExtN-PS28.134.1168021804004004003000.1240.02441.320.5B Failure
S4-2PCExtN-PS28.134.1168021804004004003000.1240.02441.320.71B Failure
B4-1PCExtN-PS28.134.1168021804004004003000.1690.02510.970.32B Failure
Yan et al. (2018) [25]P1PCIntN-PS39.6332.03215013503003004002000.1260.00622.821.16J Failure
P2PCIntN-PS39.6332.03215013503003003502000.1260.00593.071.16BJ Failure
P3PCIntN-PS39.6332.03215013503003003002000.1260.0063.281.22BJ Failure
P4PCIntN-PS39.6332.03215013503003003502000.1260.00593.071.23B Failure
P5PCIntN-PS39.6332.03215013503003003502000.1260.00593.071.19B Failure
Lee et al. (2014) [26]PCBC1PCIntN-PS35.235.2260018697623507002500.1180.01582.281.04J Failure
PCBC2PCIntN-PS35.235.5260018697623507002500.1180.01572.31.06BJ Failure
PCBC3PCIntN-PS36.536.5260018697623507002500.1180.01572.330.86BJ Failure
Im et al. (2010) [27]SP1PCIntN-PS34.935.1270020067506007004000.1720.02621.150.84BJ Failure
SP2PCIntN-PS34.935.1270020067506007004000.1720.02621.150.82BJ Failure
SP3PCIntN-PS34.935.1270020067506007004000.1720.02621.150.85BJ Failure
SP4PCIntN-PS34.935.1270020067506007004000.1720.02621.150.76BJ Failure
SP5PCIntN-PS34.935.1270020067506007004000.1720.02621.151.05BJ Failure
Masuda and Sugimoto (2008) [28]LRV1-NPCExtN-PS52.944.6210012504004004003000.2040.0221.450.93BJ Failure
LRV2-NPCExtN-PS54.345.4210012504004004003000.2040.02191.470.87B Failure
Chen et al. (2023) [29]EPC2PCExtN-PS35.235.2198010752502502801500.1170.01442.091.66B Failure
EPC4PCExtN-PS35.235.2198010752502502801500.1170.01442.092.47B Failure
EPCD2PCExtN-PS35.235.2198010752502502801500.1170.01442.092.12B Failure
EPCD4PCExtN-PS35.235.2198010752502502801500.1170.01442.092.88B Failure
IPC2PCIntN-PS35.235.2198010752502502801500.1170.01441.581.45B Failure
IPC4PCIntN-PS35.235.2198010752502502801500.1170.01441.581.7B Failure
IPCD2PCIntN-PS35.235.2198010752502502801500.1170.01441.581.39J Failure
IPCD4PCIntN-PS35.235.2198010752502502801500.1170.01441.581.78J Failure
Zhang et al. (2021) [30]PJ1PCIntN-PS45.940255017004004004502500.150.00972.070.89B Failure
PJ2PCIntN-PS45.940255017004004004502500.150.02091.090.66J Failure
PJ3PCIntN-PS45.940255017004004004502500.150.02091.090.55J Failure
Liu et al. (2024) [31]PCCTPCExtN-PS33.933.9180013004004004002500.1740.00783.891.08B Failure
PCTOPCExtN-PS33.933.9180013004004004002500.1740.00893.80.95B Failure
Chen et al. (2025) [32]PC2PCIntN-PS55.655.6260015504004005003000.2040.03050.740.82J Failure
PC3PCIntN-PS66.466.4260015504004005003000.2040.02930.810.68J Failure
PC4PCIntN-PS55.655.6260015504004005003000.2040.03050.740.84J Failure
PC5PCIntN-PS55.655.6260015504004005003000.2040.03050.740.89J Failure
PC6PCIntN-PS55.655.6260015504004005003000.2040.03050.740.86J Failure
Yang et al. (2024) [14]SP-1PCIntPS44.744.7309530006006006004000.1390.00673.431.44B Failure
SP-2PCIntPS4040309530006006006004000.1390.0073.461.42B Failure
SP-3PCIntPS47.347.3309530006006006004000.1390.00653.371.35B Failure
SP-4PCIntPS41.741.7309530006006006004000.1390.00693.321.4B Failure
PC-1PCIntPS44.344.3309530006006006004000.1390.00673.411.38B Failure
Ma et al. (2021) [11]RUJ-2PCIntN-PS86.4835.2228016503003003002300.1420.01032.550.83B Failure
RUJ-3PCIntN-PS86.4835.2228016503003003002300.1420.02761.20.81J Failure
RUJ-4PCIntN-PS86.4835.2228016503003003002300.1420.02761.230.78J Failure
RUJ-5PCIntN-PS86.4835.2228016503003003002300.1420.02761.20.8J Failure
RUJ-6PCIntN-PS86.4835.2228016503003003002300.1420.02761.20.83B Failure
Yue et al. (2004) [33]KPC1-1PCExtPS3030190021002502503002000.1420.02590.50.99J Failure
KPC1-2PCExtPS3030190021002502503002000.1420.02650.50.95J Failure
KPC2-1PCExtPS3030190021002502503002000.1420.01540.450.72J Failure
KPC2-2PCExtPS3030190021002502503002000.1420.0160.460.71J Failure
KPC2-3PCExtPS3030190021002502503002000.1420.01540.450.71J Failure
KPC3PCExtPS3030190021002502503002000.1420.01420.431J Failure
Kim et al. (2021) [34]NMUPPCIntPS41.934.1354536007007007005000.1250.00912.571.17B Failure
NMOPPCIntPS41.934.1354536007007007005000.1250.00583.521.08BJ Failure
Hamahara et al. (2007) [35]A-PC1PCExtPS23.523.5250040005005006004000.1160.04950.41.58J Failure
A-PC2PCExtPS23.923.9250040005005006004000.1160.04970.41.78BJ Failure
B-PC1PCExtPS26.326.3290040005505006004000.1170.04380.480.86J Failure
B-PC2PCExtPS28.828.8290040005505006004000.1170.04460.490.95J Failure
B-PC3PCExtPS30.430.4290040005505006004000.1170.04510.50.97J Failure
C-PC1PCExtPS29.829.8290040005505006004000.1170.03310.60.61J Failure
C-PC2PCExtPS3131290040005505006004000.1170.03320.590.72BJ Failure
C-PC3PCExtPS31.131.1290040005505006004000.1170.03320.60.66J Failure
Wang et al. (2023) [36]PTHC-1PCExtPS41.2241.22284624754004004002500.1230.0151.710.5B Failure
PTHC-2PCExtPS41.2241.22284624754004004002500.1230.0151.710.57B Failure
PTHC-3PCExtPS45.7545.75284624754004004002500.1230.01461.790.61B Failure
PTHC-4PCExtPS46.5546.55284624754004004002500.1230.01451.810.73B Failure
Zhang et al. (2022) [12]PJPCExtN-PS37.837.8300025005005005003000.1590.01232.111.02B Failure
Restrepo et al. (1995) [37]Unit6PCIntN-PS4444280016056004507003000.1610.00733.290.98B Failure
Kim (2020) [38]PCBPCIntN-PS4040249017505005004004000.20.00852.181.31J Failure
Note: ST: structure, Int: interior, Ext: exterior, N-PS: Non-Prestressed, PS: Prestressed, fj,ck: compressive strength of the cylinder concrete of the joint, fb,ck: compressive strength of the cylinder concrete of the beam, hc: depth of the column in the direction of joint shear being considered, bc: widths of the column, hb: depth of the beam, bb: widths of the beam, ρb: longitudinal reinforcement ratio, lc: height of the column, lb: length, d/a: shear span ratio.
Table 3. Range of parameters in the database.
Table 3. Range of parameters in the database.
fj,ckfb,ckhcbchbbbbjρblclbd/a
(Mpa)(Mpa)(mm)(mm)(mm)(mm)(mm) (mm)(mm)
Max118.878.47627007007006000.0497354540000.409
Min23222502802802502000.0058132010750.170
Mean42.437.7439.5411.5457.5411.5355.50.0182363.92174.70.245
Note: fj,ck: compressive strength of the cylinder concrete of the joint, fb,ck: compressive strength of the cylinder concrete of the beam, hc: depth of the column in the direction of joint shear being considered, bc: widths of the column, hb: depth of the beam, bb: widths of the beam, bj: effective joint width, ρb: longitudinal reinforcement ratio, lc: height of the column, lb: length, d/a: shear span ratio.
Disclaimer/Publisher’s Note: The statements, opinions and data contained in all publications are solely those of the individual author(s) and contributor(s) and not of MDPI and/or the editor(s). MDPI and/or the editor(s) disclaim responsibility for any injury to people or property resulting from any ideas, methods, instructions or products referred to in the content.

Share and Cite

MDPI and ACS Style

Kim, D.; Ju, H. Shear Strength Evaluation of Precast Concrete Beam-Column Joints Considering Key Influencing Parameters. Sustainability 2026, 18, 468. https://doi.org/10.3390/su18010468

AMA Style

Kim D, Ju H. Shear Strength Evaluation of Precast Concrete Beam-Column Joints Considering Key Influencing Parameters. Sustainability. 2026; 18(1):468. https://doi.org/10.3390/su18010468

Chicago/Turabian Style

Kim, Dongho, and Hyunjin Ju. 2026. "Shear Strength Evaluation of Precast Concrete Beam-Column Joints Considering Key Influencing Parameters" Sustainability 18, no. 1: 468. https://doi.org/10.3390/su18010468

APA Style

Kim, D., & Ju, H. (2026). Shear Strength Evaluation of Precast Concrete Beam-Column Joints Considering Key Influencing Parameters. Sustainability, 18(1), 468. https://doi.org/10.3390/su18010468

Note that from the first issue of 2016, this journal uses article numbers instead of page numbers. See further details here.

Article Metrics

Article metric data becomes available approximately 24 hours after publication online.
Back to TopTop