Sign in to use this feature.

Years

Between: -

Subjects

remove_circle_outline
remove_circle_outline
remove_circle_outline
remove_circle_outline
remove_circle_outline
remove_circle_outline
remove_circle_outline
remove_circle_outline
remove_circle_outline

Journals

Article Types

Countries / Regions

Search Results (39)

Search Parameters:
Keywords = 3D nanoflower

Order results
Result details
Results per page
Select all
Export citation of selected articles as:
14 pages, 3412 KB  
Article
MoS2 Nanoflower-Based Colorimetric and Photothermal Dual-Mode Lateral Flow Immunoassay for Highly Sensitive Detection of Pathogens
by Meimei Xu, Shuai Zhao, Yusi Peng and Yong Yang
Biosensors 2025, 15(10), 661; https://doi.org/10.3390/bios15100661 - 2 Oct 2025
Viewed by 492
Abstract
The single colorimetric signal readout mode of traditional lateral flow immunoassay (LFIA), which relies on gold nanoparticles (Au NPs), is inadequate to meet the growing demand for detection in terms of sensitivity, accuracy, and flexibility. Herein, we reported a novel colorimetric and photothermal [...] Read more.
The single colorimetric signal readout mode of traditional lateral flow immunoassay (LFIA), which relies on gold nanoparticles (Au NPs), is inadequate to meet the growing demand for detection in terms of sensitivity, accuracy, and flexibility. Herein, we reported a novel colorimetric and photothermal dual-mode LFIA (dLFIA) based on MoS2 nanoflowers for rapid detection of severe acute respiratory syndrome coronavirus 2 nucleocapsid protein (SARS-CoV-2 NP). Benefiting from the strong color-producing ability and near-infrared absorption of MoS2 nanoflowers, the visual limits of detection in colorimetric and photothermal modes were 1 and 0.1 ng/mL, respectively. The limit of detection for quantitative analysis in photothermal mode was 48 pg/mL, with a sensitivity about 10~208 times higher than that of Au NPs-LFIA. Additionally, the dLFIA strips exhibited excellent specificity, good reproducibility, and satisfactory recovery when detected the simulated nasal swab samples, possessing good application prospect. Full article
(This article belongs to the Special Issue Nanomaterial-Based Biosensors for Point-of-Care Testing)
Show Figures

Figure 1

12 pages, 2908 KB  
Article
High-Surface-Area ZIF-67 Nanoflowers: Synthesis and Application Toward Enhanced CH4/N2 Separation in Mixed Matrix Membranes
by Dongze Li
Coatings 2025, 15(9), 987; https://doi.org/10.3390/coatings15090987 - 23 Aug 2025
Viewed by 727
Abstract
Under elevated loading conditions, the aggregation of fillers emerges as a pivotal factor driving the degradation of separation performance in mixed matrix membranes. The two-dimensional (2D) modification of fillers, aimed at enhancing interfacial contact with polymers, has been recognized as an effective strategy [...] Read more.
Under elevated loading conditions, the aggregation of fillers emerges as a pivotal factor driving the degradation of separation performance in mixed matrix membranes. The two-dimensional (2D) modification of fillers, aimed at enhancing interfacial contact with polymers, has been recognized as an effective strategy to improve interphase compatibility and increase filler loading capacity. However, it is worth noting that the BET surface area of 2D fillers is typically relatively low. In this study, a two-step approach was developed. First, a “diffusion-mediated” process was combined with a solvent optimization strategy based on first-principles (DFT) calculations, achieving a 20-fold suppression in ZIF-67 nucleation-crystallization rate. This enabled the successful synthesis of a 2D amorphous nanoflower structure. Subsequently, the processing parameters were fine-tuned to enhance the specific surface area of ZIF-67 to 403 m2/g while preserving its 2D structural integrity. Ultimately, the as-prepared 2D ZIF-67 was incorporated into a hydrogenated styrene-butadiene block copolymer (SEBS) matrix to fabricate a mixed matrix membrane. Remarkably, at a filler loading of 20 wt%, the CH4 permeability coefficient increased significantly from 11.7 barrer to 35.3 barrer, while the CH4/N2 selectivity was maintained at 3.21, indicating minimal interfacial defects and demonstrating the feasibility and effectiveness of the proposed methodology. Full article
Show Figures

Figure 1

13 pages, 3773 KB  
Article
Transition-Metal-Doped Nickel–Cobalt Layered Double Hydroxide Catalysts for an Efficient Oxygen Evolution Reaction
by Zhihan Li, Wenjing Yi, Qingqing Pang, Meng Zhang and Zhongyi Liu
Materials 2025, 18(4), 877; https://doi.org/10.3390/ma18040877 - 17 Feb 2025
Cited by 1 | Viewed by 2179
Abstract
Hydrogen plays a vital role in the global shift toward cleaner energy solutions, with water electrolysis standing out as one of the most promising techniques for generating hydrogen. Despite its potential, the oxygen evolution reaction (OER) involved in this process faces significant challenges, [...] Read more.
Hydrogen plays a vital role in the global shift toward cleaner energy solutions, with water electrolysis standing out as one of the most promising techniques for generating hydrogen. Despite its potential, the oxygen evolution reaction (OER) involved in this process faces significant challenges, including high overpotentials and slow reaction rates, which underscore the need for advanced electrocatalytic materials to enhance efficiency. Noble metal catalysts are effective but expensive, so transition-metal-based electrocatalysts like nickel–cobalt layered double hydroxides (NiCo LDHs) have become promising alternatives. In this research, a series of NiCo LDH catalysts doped with Fe, Mn, Cu, and Zn were effectively produced using a one-step hydrothermal technique. Among the catalysts, the Fe-doped NiCo LDH exhibited OER activity, achieving a lower overpotential (289 mV) at a current density of 50 mA/cm2, which was far better than the 450 mV of the undoped NiCo LDH. The Mn-, Cu-, and Zn-NiCo LDHs also exhibited lower overpotentials of 414 mV, 403 mV, and 357 mV, respectively, at this current density. The Fe-doped NiCo LDH had a 3D layered nanoflower structure, increasing the surface area for reactant adsorption. The electrochemically active surface area (ECSA), as indicated by the double-layer capacitance (Cdl), was larger in the doped samples. The Cdl value of the Fe-doped NiCo LDH was 3.72 mF/cm2, significantly surpassing the 0.82 mF/cm2 of the undoped NiCo LDH. These changes improved charge transfer and optimized reaction kinetics, enhancing the overall OER performance. This study offers significant contributions to the development of efficient electrocatalysts for the OER, advancing the understanding of key design principles for enhanced catalytic performance. Full article
Show Figures

Figure 1

19 pages, 3088 KB  
Article
A Magnetic Nanocarrier of Ciprofloxacin Used for Restraining the Growth of the Multidrug-Resistant Pseudomonas aeruginosa
by Kleoniki Giannousi, Eleni Zouni, Nikolaos Grigoriadis, Ioannis S. Vizirianakis, Ilias M. Oikonomou, Valeria Nicolosi and Catherine Dendrinou-Samara
Inorganics 2025, 13(2), 58; https://doi.org/10.3390/inorganics13020058 - 16 Feb 2025
Cited by 1 | Viewed by 1145
Abstract
Ciprofloxacin (CPL) is an effective antibiotic against Pseudomonas aeruginosa. However, its use is limited by the emergence of multi-resistant strains. In this study, 8–15 nm manganese ferrite (MnFe2O4) nanoparticles, aminated and/or PEGylated, have been used as drug-delivery systems [...] Read more.
Ciprofloxacin (CPL) is an effective antibiotic against Pseudomonas aeruginosa. However, its use is limited by the emergence of multi-resistant strains. In this study, 8–15 nm manganese ferrite (MnFe2O4) nanoparticles, aminated and/or PEGylated, have been used as drug-delivery systems of CPL. The magnetic nanoparticles (MNPs) were prepared in the presence of the aliphatic amines octadecylamine (ODA), oleylamine (OAm), or PEG8000 to achieve the appropriate surface chemistry for the direct conjugation of CPL and drug loading into the PEG matrix, respectively. The primary MNPs proved to be biocompatible in calf thymus (CT)-DNA interaction studies, with binding constant values Kb in the range of 4.43–6.5 × 104 (g/mL)−1. ODA as a coater gave rise to MnFe2O4 MNPs, with a high percentage of free amines that further allowed for the conjugation of 90.9% CPL, which gradually released via a non-Fickian anomalous transport motif. The 25.1% CPL that loaded in the PEGylated MNPs led to a partial transformation of the nanoflowers into more aggregated forms. The release profile, although steeper, is described by the same model. The isolated magnetic nanocarrier with a high content of CPL was evaluated for its antimicrobial activity against a multi-resistant strain of P. aeruginosa using an automated industrial instrument (BacT/ALERT®3D), and its molecular profile was outlined by studying its interaction with plasmid DNA (pDNA). The prototype use of BacT/ALERT®3D allows for the simultaneous screening of multiple samples, while it foreshadows the transition to a preclinical phase. Full article
Show Figures

Graphical abstract

17 pages, 2656 KB  
Article
161Terbium-Labeled Gold Nanoparticles as Nanoscale Brachytherapy Agents Against Breast Cancer
by Evangelia-Alexandra Salvanou, Adamantia Apostolopoulou, Stavros Xanthopoulos, Stuart Koelewijn, Philippe van Overeem, Gautier Laurent, Rana Bazzi, Franck Denat, Stéphane Roux and Penelope Bouziotis
Materials 2025, 18(2), 248; https://doi.org/10.3390/ma18020248 - 8 Jan 2025
Viewed by 1696
Abstract
Due to their intriguing emission profile, Terbium-161 (161Tb) radiopharmaceuticals seem to bring significant advancement in theranostic applications to cancer treatment. The combination of 161Tb with nanoscale brachytherapy as an approach for cancer treatment is particularly advantageous and promising. Herein, we [...] Read more.
Due to their intriguing emission profile, Terbium-161 (161Tb) radiopharmaceuticals seem to bring significant advancement in theranostic applications to cancer treatment. The combination of 161Tb with nanoscale brachytherapy as an approach for cancer treatment is particularly advantageous and promising. Herein, we propose the application of a hybrid nanosystem comprising gold decorated (Au@TADOTAGA) iron oxide nanoflowers as a form of injectable nanobrachytherapy for the local treatment of breast cancer. More specifically, Au@TADOTAGA and NFAu@TADOTAGA NPs were efficiently radiolabeled with 161Tb, and their in vitro stability was assessed up to 21 d post-radiolabeling. Furthermore, their cytotoxic profile against 4T1 breast cancer cells was evaluated, and their ex vivo biodistribution characteristics were revealed after intratumoral injection in the same animal model. The enhanced retention at the tumor site urged us to evaluate the therapeutic effect of the [161Tb]Tb-NFAu@TADOTAGA nanosystem after intratumoral administration to 4T1-tumor-bearing mice, over a period of 24 days. Three different therapeutic protocols were performed in order to identify which therapeutic approach would offer the optimum results and identify the proposed nanosystem as a promising nanoscale brachytherapy agent. Full article
(This article belongs to the Special Issue Νanoparticles for Biomedical Applications)
Show Figures

Figure 1

11 pages, 2610 KB  
Article
Controllable Synthesis of Three-Dimensional Chiral Au Nanoflowers Induced by Cysteine with Excellent Biocompatible Properties
by Shengmiao Liu, Jianhao Zhang and Wenjing Yan
Nanomaterials 2024, 14(24), 2040; https://doi.org/10.3390/nano14242040 - 19 Dec 2024
Cited by 1 | Viewed by 1291
Abstract
Chiral molecules are ubiquitous in nature and biological systems, where the unique optical and physical properties of chiral nanoparticles are closely linked to their shapes. Synthesizing chiral plasmonic nanomaterials with precise structures and tunable sizes is essential for exploring their applications. This study [...] Read more.
Chiral molecules are ubiquitous in nature and biological systems, where the unique optical and physical properties of chiral nanoparticles are closely linked to their shapes. Synthesizing chiral plasmonic nanomaterials with precise structures and tunable sizes is essential for exploring their applications. This study presents a method for growing three-dimensional chiral gold nanoflowers (Au NFs) derived from trisoctahedral (TOH) nanocrystals using D-cysteine and L-cysteine as chiral inducers. By employing a two-step seed-mediated growth approach, stable chiral Au nanoparticles with customizable sizes, shapes, and optical properties were produced by adjusting the Au nanosphere (Au NP) seed concentration and cysteine dosage. These nanoparticles exhibited optical activity in both the visible and near-infrared regions, with a maximum anisotropy factor (g-factor) of 0.024. Furthermore, the PEG-modified chiral Au NFs demonstrated excellent biocompatibility. This approach provides a precise method for geometrically controlling the design of three-dimensional chiral nanomaterials, holding great potential for biomedical applications. Full article
Show Figures

Figure 1

15 pages, 7025 KB  
Article
Expression, Characterization, and Immobilization of a Novel D-Lactate Dehydrogenase from Salinispirillum sp. LH 10-3-1
by Jianguo Liu, Xuejiao Jiang, Yaru Zheng, Kaixuan Li, Ruixin Zhang, Jingping Xu, Zhe Wang, Yuxuan Zhang, Haoran Yin and Jing Li
Processes 2024, 12(7), 1349; https://doi.org/10.3390/pr12071349 - 28 Jun 2024
Cited by 2 | Viewed by 1589
Abstract
Salinispirillum sp. LH 10-3-1 was newly isolated from the alkali lake water samples collected in Inner Mongolia. In this study, a gene coding for D-lactate dehydrogenase from the strain LH 10-3-1 (SaLDH) was cloned and characterized. The recombinant enzyme was a [...] Read more.
Salinispirillum sp. LH 10-3-1 was newly isolated from the alkali lake water samples collected in Inner Mongolia. In this study, a gene coding for D-lactate dehydrogenase from the strain LH 10-3-1 (SaLDH) was cloned and characterized. The recombinant enzyme was a tetramer with a native molecular mass of 146.2 kDa. The optimal conditions for SaLDH to reduce pyruvate and oxidize D-lactic acid were pH 8.0 and pH 5.0, at 25 °C. Cu2+ and Ca2+ slightly promoted the oxidation and reduction activities of SaLDH, respectively. To improve the stability of SaLDH, the enzyme was immobilized on Cu3(PO4)2-based inorganic hybrid nanoflowers. The results showed that the reduction activity of the hybrid nanoflowers disappeared, and the optimum temperature, specific activity, thermostability, and storage stability of the immobilized SaLDH were significantly improved. In addition, the biotransformation of D-lactic acid to pyruvate catalyzed by SaLDH and the hybrid nanoflowers was investigated. The maximum conversion of D-lactic acid catalyzed by the immobilized SaLDH was 25.7% higher than by free enzymes, and the immobilized SaLDH could maintain 84% of its initial activity after six cycles. Full article
Show Figures

Figure 1

13 pages, 5548 KB  
Article
The Formation of D-Allulose 3-Epimerase Hybrid Nanoflowers and Co-Immobilization on Resins for Improved Enzyme Activity, Stability, and Processability
by Wentao Ding, Chensa Liu, Chi Huang, Xin Zhang, Xinyi Chi, Tong Wang, Qingbin Guo and Changlu Wang
Int. J. Mol. Sci. 2024, 25(12), 6361; https://doi.org/10.3390/ijms25126361 - 8 Jun 2024
Cited by 2 | Viewed by 2188
Abstract
As a low-calorie sugar, D-allulose is produced from D-fructose catalyzed by D-allulose 3-epimerase (DAE). Here, to improve the catalytic activity, stability, and processability of DAE, we reported a novel method by forming organic–inorganic hybrid nanoflowers (NF-DAEs) and co-immobilizing them on resins to form [...] Read more.
As a low-calorie sugar, D-allulose is produced from D-fructose catalyzed by D-allulose 3-epimerase (DAE). Here, to improve the catalytic activity, stability, and processability of DAE, we reported a novel method by forming organic–inorganic hybrid nanoflowers (NF-DAEs) and co-immobilizing them on resins to form composites (Re-NF-DAEs). NF-DAEs were prepared by combining DAE with metal ions (Co2+, Cu2+, Zn2+, Ca2+, Ni2+, Fe2+, and Fe3+) in PBS buffer, and were analyzed by scanning electron microscopy (SEM), Fourier transform infrared spectroscopy, and X-ray diffraction. All of the NF-DAEs showed higher catalytic activities than free DAE, and the NF-DAE with Ni2+ (NF-DAE-Ni) reached the highest relative activity of 218%. The NF-DAEs improved the thermal stability of DAE, and the longest half-life reached 228 min for NF-DAE-Co compared with 105 min for the free DAE at 55 °C. To further improve the recycling performance of the NF-DAEs in practical applications, we combined resins and NF-DAEs to form Re-NF-DAEs. Resins and NF-DAEs co-effected the performance of the composites, and ReA (LXTE-606 neutral hydrophobic epoxy-based polypropylene macroreticular resins)-based composites (ReA-NF-DAEs) exhibited outstanding relative activities, thermal stabilities, storage stabilities, and processabilities. The ReA-NF-DAEs were able to be reused to catalyze the conversion from D-fructose to D-allulose, and kept more than 60% of their activities after eight cycles. Full article
(This article belongs to the Special Issue Structure Bonding and Bioactivity of Nanoscale Molecules)
Show Figures

Figure 1

18 pages, 5245 KB  
Article
Preparation of Heterogeneous Fenton Catalysts Cu-Doped MnO2 for Enhanced Degradation of Dyes in Wastewater
by Xiao Liu, Lu Wang, Jiran Li, Rong Li, Runze He, Wanglong Gao and Neng Yu
Nanomaterials 2024, 14(10), 833; https://doi.org/10.3390/nano14100833 - 9 May 2024
Cited by 5 | Viewed by 1733
Abstract
Herein, a series of heterogeneous Fenton catalysts, Cu doped MnO2 (CDM), with different Cu/Mn molar ratios were prepared via a hydrothermal reaction. Meanwhile, detailed characterizations were used to study the structures of CDM, and it is amazing that the morphology of CDM [...] Read more.
Herein, a series of heterogeneous Fenton catalysts, Cu doped MnO2 (CDM), with different Cu/Mn molar ratios were prepared via a hydrothermal reaction. Meanwhile, detailed characterizations were used to study the structures of CDM, and it is amazing that the morphology of CDM changed from nanowires to nanoflowers with an increasing amount of Cu doped. Apart from this, both the specific surface area and oxygen vacancy increased obviously with the increasing Cu/Mn molar ratio. Then, the degradation of different dyes was utilized to evaluate the catalytic activity of different CDM with H2O2 used as the oxidizing agent, and the 50%-CDM with the highest content of Cu doped displayed the best catalytic activity. Herein, the degradation efficiency (D%) of Congo red (CR) solution with low concentration (60 mg/L) reached 100% in 3 min, while the D% of CR solution with a high concentration (300 mg/L) reached 99.4% after 5 min with a higher dosage of H2O2. Additionally, the 50%-CDM also displayed excellent reusability, for which the D% values were still higher than 90% after the 14th cycles. Based on the structure characteristics and mechanism analysis, the excellent catalytic capacity of 50%-CDM was due to the combined influence of large specific surface area and abundant oxygen vacancy. Thus, a promising heterogeneous Fenton catalyst was developed in this study, which proved the treatment efficiency of actual dye wastewater. Full article
(This article belongs to the Special Issue Advanced Nanomaterials for Water Remediation (2nd Edition))
Show Figures

Figure 1

13 pages, 2502 KB  
Article
Immobilization of Phospholipase D for Production of Phosphatidylserine via Enzyme-Inorganic Hybrid Nanoflower Strategy
by Shujing Zhang, Hui Sun, Zhiqi Huang, Zhuoxuan Han, Jiayi Hou, Fuping Lu and Yihan Liu
Fermentation 2023, 9(12), 1016; https://doi.org/10.3390/fermentation9121016 - 13 Dec 2023
Cited by 3 | Viewed by 2441
Abstract
Phosphatidylserine (PS) is a natural phospholipid with particular importance in the food, cosmetic, and pharmaceutical industries. Recently, the synthesis of PS mediated by phospholipase D (PLD) has drawn great attention. But the application of free PLD is limited by various drawbacks, including its [...] Read more.
Phosphatidylserine (PS) is a natural phospholipid with particular importance in the food, cosmetic, and pharmaceutical industries. Recently, the synthesis of PS mediated by phospholipase D (PLD) has drawn great attention. But the application of free PLD is limited by various drawbacks, including its instability under extreme conditions, difficulties in reuse and recovery, and high costs. In this work, saPLD-inorganic hybrid nanoflowers (saPLD@NFs) were synthesized with PLD from Streptomyces antibioticus (saPLD) as the organic component and Ca3(PO4)2 as the inorganic component. The saPLD@NFs demonstrated outstanding immobilization capability and achieved a 119% enzyme activity recovery rate. Furthermore, the saPLD@NFs exhibited better thermostability and pH stability in comparison to free saPLD. The PS yield of saPLD@NFs was about 57.4% in the first cycles and still reached 60.4% of its initial PS yield after four cycles. After 25 d storage at 4 °C, saPLD@NFs retained 66.5% of its original activity, but free saPLD only retained 38.3%, indicating that saPLD@NFs have excellent storage stability. Thus, this study established a new method of preparing PLD nanoflowers for effective PS synthesis, which might accelerate the practical utilization of this biocatalyst. Full article
(This article belongs to the Section Microbial Metabolism, Physiology & Genetics)
Show Figures

Figure 1

18 pages, 6903 KB  
Article
Detection of Environmentally Harmful Malathion Pesticides Using a Bimetallic Oxide of CuO Nanoparticles Dispersed over a 3D ZnO Nanoflower
by Lakshmanan Gurusamy, Ru-Wen Cheng, Sambandam Anandan, Cheng-Hua Liu and Jerry J. Wu
Materials 2023, 16(22), 7065; https://doi.org/10.3390/ma16227065 - 7 Nov 2023
Cited by 8 | Viewed by 2080
Abstract
Super-sensitive malathion detection was achieved using a nonenzymatic electrochemical sensor based on a CuO/ZnO-modified glassy carbon electrode (GCE). Due to the high affinity between the Cu element and the sulfur groups in malathion, the developed CuO-ZnO/GCE sensor may bond malathion with ease, inhibiting [...] Read more.
Super-sensitive malathion detection was achieved using a nonenzymatic electrochemical sensor based on a CuO/ZnO-modified glassy carbon electrode (GCE). Due to the high affinity between the Cu element and the sulfur groups in malathion, the developed CuO-ZnO/GCE sensor may bond malathion with ease, inhibiting the redox signal of the Cu element when malathion is present. In addition to significantly increasing the ability of electron transfer, the addition of 3D-flower-like ZnO enhances active sites of the sensor interface for the high affinity of malathion, giving the CuO-ZnO/GCE composite an exceptional level of sensitivity and selectivity. This enzyme-free CuO-ZnO/GCE malathion sensor demonstrates outstanding stability and excellent detection performance under optimal operating conditions with a wide linear range of malathion from 0 to 200 nM and a low detection limit of 1.367 nM. A promising alternative technique for organophosphorus pesticide (OP) determination is offered by the analytical performance of the proposed sensor, and this method can be quickly and sensitively applied to samples that have been contaminated with these pesticides. Full article
(This article belongs to the Special Issue Applications of Advanced Nanomaterials in Sensor Devices)
Show Figures

Figure 1

13 pages, 2630 KB  
Article
Salivary Lipids of Patients with Non-Small Cell Lung Cancer Show Perturbation with Respect to Plasma
by Bo Young Hwang, Jae Won Seo, Can Muftuoglu, Ufuk Mert, Filiz Guldaval, Milad Asadi, Haydar Soydaner Karakus, Tuncay Goksel, Ali Veral, Ayse Caner and Myeong Hee Moon
Int. J. Mol. Sci. 2023, 24(18), 14264; https://doi.org/10.3390/ijms241814264 - 19 Sep 2023
Cited by 5 | Viewed by 2191
Abstract
A comprehensive lipid profile was analyzed in patients with non-small cell lung cancer (NSCLC) using nanoflow ultrahigh-performance liquid chromatography–electrospray ionization–tandem mass spectrometry. This study investigated 297 and 202 lipids in saliva and plasma samples, respectively, comparing NSCLC patients to healthy controls. Lipids with [...] Read more.
A comprehensive lipid profile was analyzed in patients with non-small cell lung cancer (NSCLC) using nanoflow ultrahigh-performance liquid chromatography–electrospray ionization–tandem mass spectrometry. This study investigated 297 and 202 lipids in saliva and plasma samples, respectively, comparing NSCLC patients to healthy controls. Lipids with significant changes (>2-fold, p < 0.05) were further analyzed in each sample type. Both saliva and plasma exhibited similar lipid alteration patterns in NSCLC, but saliva showed more pronounced changes. Total triglycerides (TGs) increased (>2–3-fold) in plasma and saliva samples. Three specific TGs (50:2, 52:5, and 54:6) were significantly increased in NSCLC for both sample types. A common ceramide species (d18:1/24:0) and phosphatidylinositol 38:4 decreased in both plasma and saliva by approximately two-fold. Phosphatidylserine 36:1 was selectively detected in saliva and showed a subsequent decrease, making it a potential biomarker for predicting lung cancer. We identified 27 salivary and 10 plasma lipids as candidate markers for NSCLC through statistical evaluations. Moreover, this study highlights the potential of saliva in understanding changes in lipid metabolism associated with NSCLC. Full article
(This article belongs to the Special Issue Omics Sciences for Salivary Diagnostics)
Show Figures

Figure 1

16 pages, 8765 KB  
Article
Insights into the Relationship between the Microstructure and the Catalytic Behavior of Fe2(MoO4)3 during the Ethanolysis of Naomaohu Coal
by Ting Liu, Xuesong Sun, Yakun Tang, Yue Zhang, Jingmei Liu, Xiaodong Zhou, Xiaohui Li and Lang Liu
Molecules 2023, 28(18), 6595; https://doi.org/10.3390/molecules28186595 - 13 Sep 2023
Cited by 1 | Viewed by 1396
Abstract
Ethanolysis is an effective method to depolymerize weak bonds in lignite under mild conditions, which can result in the production of high-value-added chemicals. However, improving ethanolysis yield and regulating its resulting product distribution is a big challenge. Hence, exploiting highly active catalysts is [...] Read more.
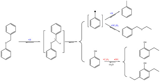
Ethanolysis is an effective method to depolymerize weak bonds in lignite under mild conditions, which can result in the production of high-value-added chemicals. However, improving ethanolysis yield and regulating its resulting product distribution is a big challenge. Hence, exploiting highly active catalysts is vital. In this work, Fe2(MoO4)3 catalysts with zero-dimensional nanoparticles, one-dimensional (1D) nanorods, two-dimensional (2D) nanosheets, and three-dimensional (3D) nanoflower structures were successfully prepared and applied in the ethanolysis of Naomaohu coal. The results showed that for all samples, the yield of ethanol-soluble portions (ESP) was significantly improved. The highest yield was obtained for the Fe2(MoO4)3 nanorods, with an increase from 28.84% to 47.68%, and could be attributed to the fact that the Fe2(MoO4)3 nanorods had a higher number of exposed active (100) facets. In addition, the amounts of oxygen-containing compounds, such as ethers, esters, and phenols, increased significantly. The mechanism of ethanolysis catalyzed by the Fe2(MoO4)3 nanorods was also studied using phenylbenzyl ether (BOB) as a model compound. BOB was completely converted at 260 °C after 2 h. It is suggested that Fe2(MoO4)3 nanorods can effectively break the C-O bonds of coal macromolecules, thus promoting the conversion of coal. Full article
Show Figures

Figure 1

15 pages, 9302 KB  
Article
Morphological Effects of Au Nanoparticles on Electrochemical Sensing Platforms for Nitrite Detection
by Ruiqin Feng, Ye Fan, Yun Fang and Yongmei Xia
Molecules 2023, 28(13), 4934; https://doi.org/10.3390/molecules28134934 - 23 Jun 2023
Cited by 5 | Viewed by 2154
Abstract
Au nanoparticles were synthesized in a soft template of pseudo-polyanions composed of polyvinylpyrrolidone (PVP) and sodium dodecyl sulfate (SDS) by the in situ reduction of chloroauric acid (HAuCl4) with PVP. The particle sizes and morphologies of the Au nanoparticles were regulated [...] Read more.
Au nanoparticles were synthesized in a soft template of pseudo-polyanions composed of polyvinylpyrrolidone (PVP) and sodium dodecyl sulfate (SDS) by the in situ reduction of chloroauric acid (HAuCl4) with PVP. The particle sizes and morphologies of the Au nanoparticles were regulated with concentrations of PVP or SDS at room temperature. Distinguished from the Au nanoparticles with various shapes, Au nanoflowers (AuNFs) with rich protrusion on the surface were obtained at the low final concentration of SDS and PVP. The typical AuNF synthesized in the PVP (50 g·L−1)–SDS (5 mmol·L−1)–HAuCl4 (0.25 mmol·L−1) solution exhibited a face-centered cubic structure dominated by a {111} crystal plane with an average equivalent particle size of 197 nm and an average protrusion height of 19 nm. Au nanoparticles with four different shapes, nanodendritic, nanoflower, 2D nanoflower, and nanoplate, were synthesized and used to modify the bare glassy carbon electrode (GCE) to obtain Au/GCEs, which were assigned as AuND/GCE, AuNF/GCE, 2D-AuNF/GCE, and AuNP/GCE, respectively. Electrochemical sensing platforms for nitrite detection were constructed by these Au/GCEs, which presented different detection sensitivity for nitrites. The results of cyclic voltammetry (CV) demonstrated that the AuNF/GCE exhibited the best detection sensitivity for nitrites, and the surface area of the AuNF/GCE was 1.838 times of the bare GCE, providing a linear c(NO2) detection range of 0.01–5.00 µmol·L−1 with a limit of detection of 0.01 µmol·L−1. In addition, the AuNF/GCE exhibited good reproducibility, stability, and high anti-interference, providing potential for application in electrochemical sensing platforms. Full article
(This article belongs to the Special Issue Advanced Electrochemical Methods in Molecular Detection)
Show Figures

Figure 1

15 pages, 4810 KB  
Article
Tuning Electrochemical Hydrogen-Evolution Activity of CoMoO4 through Zn Incorporation
by Sanaz Chamani, Ebrahim Sadeghi, Ugur Unal, Naeimeh Sadat Peighambardoust and Umut Aydemir
Catalysts 2023, 13(5), 798; https://doi.org/10.3390/catal13050798 - 24 Apr 2023
Cited by 17 | Viewed by 2915
Abstract
Designing cheap, efficient, and durable electrocatalysts on three-dimensional (3D) substrates such as nickel foam (NF) for the hydrogen-evolution reaction (HER) is in high demand for the practical application of electrochemical water splitting. In this work, we adopted a simple one-step hydrothermal method to [...] Read more.
Designing cheap, efficient, and durable electrocatalysts on three-dimensional (3D) substrates such as nickel foam (NF) for the hydrogen-evolution reaction (HER) is in high demand for the practical application of electrochemical water splitting. In this work, we adopted a simple one-step hydrothermal method to realize the incorporation of Zn into the lattice of CoMoO4 with various atomic concentrations—Co1-xZnxMoO4 (x = 0, 0.1, 0.3, 0.5, and 0.7). The morphological studies demonstrated that parent CoMoO4 consists of nanoflowers and nanorods. However, as the concentration of Zn increases within the host CoMoO4, the portion of nanoflowers decreases and simultaneously the portion of nanorods increases. Moreover, the substitution of Zn2+ in place of Co2+/Co3+ creates oxygen vacancies in the host structure, especially in the case of Co0.5Zn0.5MoO4, giving rise to lower charge-transfer resistance and a higher electrochemically active surface area. Therefore, among the prepared samples, Co0.5Zn0.5MoO4 on NF showed an improved HER performance, reaching 10 mA cm−2 at an overpotential as low as 204 mV in a 1.0 M KOH medium. Finally, the Co0.5Zn0.5MoO4 electrode exhibited robust long-term stability at an applied current density of 10 mA cm−2 for 20 h. The Faradaic efficiency determined by a gas chromatograph found that the hydrogen-production efficiency varied from 94% to 84%. Full article
(This article belongs to the Special Issue Electrocatalytic Hydrogen Evolution Reaction through Water Splitting)
Show Figures

Graphical abstract

Back to TopTop