Sign in to use this feature.

Years

Between: -

Subjects

remove_circle_outline
remove_circle_outline
remove_circle_outline
remove_circle_outline
remove_circle_outline
remove_circle_outline
remove_circle_outline
remove_circle_outline

Journals

Article Types

Countries / Regions

Search Results (30)

Search Parameters:
Keywords = 100% OA system

Order results
Result details
Results per page
Select all
Export citation of selected articles as:
14 pages, 857 KB  
Article
Rapid and Effective Recovery of Oleanolic and Maslinic Acids from Olive Leaves Using SFE and pH-Zone Centrifugal Partition Chromatography
by Lemonia Antoniadi, Apostolis Angelis, Theodora Nikou, Dimitris Michailidis and Leandros A. Skaltsounis
Molecules 2025, 30(13), 2709; https://doi.org/10.3390/molecules30132709 - 24 Jun 2025
Viewed by 635
Abstract
Olive leaves, the main byproducts of olive cultivation, are characterized by a plethora of bioactive metabolites with significant nutritional value. Their main pentacyclic triterpenes, Oleanolic Acid (OA) and Maslinic Acid (MA), are two high added-value compounds with remarkable activities. This study aimed to [...] Read more.
Olive leaves, the main byproducts of olive cultivation, are characterized by a plethora of bioactive metabolites with significant nutritional value. Their main pentacyclic triterpenes, Oleanolic Acid (OA) and Maslinic Acid (MA), are two high added-value compounds with remarkable activities. This study aimed to develop an efficient methodology for extracting and purifying OA and MA, utilizing Supercritical Fluid Extraction (SFE) and Centrifugal Partition Chromatography (CPC)—two modern, scalable, and green techniques. A total of 21 g of olive leaves were subjected to SFE using supercritical CO2 and ethanol as co-solvent. The extraction employed a step gradient mode, starting with 100% CO2 and incrementally increasing ethanol (0–10% w/w) every 20 min. Fractions rich in OA and MA (500 mg) were further purified via CPC, utilizing pH zone refining to exploit the protonation and deprotonation properties of acidic triterpenes. The biphasic solvent system consisted of n-hexane, ethyl acetate, ethanol, and water (8:2:5:5 v/v/v/v), with trifluoroacetic acid added to the stationary phase and triethylamine added to the mobile phase. This two-step process yielded 89.5 mg of OA and 28.5 mg of MA with over 95% purity, as confirmed by HPLC-ELSD and 1H-NMR. Moreover, purified compounds and SFE fractions exhibited promising elastase and collagenase inhibition, highlighting them as dermocosmetic agents. Full article
(This article belongs to the Special Issue Supercritical Fluid Extraction of Natural Bioactive Compounds)
Show Figures

Figure 1

9 pages, 5100 KB  
Article
High-Power KTiOAsO4 Optical Parametric Oscillator at 300 Hz
by Tao Li, Jun Meng, Gaoyou Liu and Zhaojun Liu
Photonics 2025, 12(3), 270; https://doi.org/10.3390/photonics12030270 - 15 Mar 2025
Viewed by 991
Abstract
A high-power and high-repetition KTiOAsO4 (KTA) optical parametric oscillator (OPO) was established in this study, with the adoption of plane-parallel and ring cavities. The pump was a high-power Nd:YAG master oscillator power amplifier (MOPA) system with a pulse repetition frequency (PRF) of [...] Read more.
A high-power and high-repetition KTiOAsO4 (KTA) optical parametric oscillator (OPO) was established in this study, with the adoption of plane-parallel and ring cavities. The pump was a high-power Nd:YAG master oscillator power amplifier (MOPA) system with a pulse repetition frequency (PRF) of 300 Hz, and the corresponding beam quality factors were Mx2 = 3.4 and My2 = 3.2. In the plane-parallel cavity experiment, powers of 51.1 W (170 mJ) and 15.9 W (53 mJ) in the signal and idler were obtained, respectively. In terms of the average power of 1 μm of a pumped KTA OPO, to our knowledge, this is the highest average power for KTA OPO. The ring cavity was constructed to achieve lasers with both high power and beam quality. The output powers of the ring cavities for the signal and idler were 33.9 W (113 mJ) and 8.7 W (29 mJ), respectively, and the corresponding beam quality factors of the signal were Mx2 = 5.3 and My2 = 7.9. The 300 Hz 100 mJ class 1.54 μm laser with a beam quality factor of less than 10 is an ideal eye-safe light detection and ranging (LiDAR) source. Full article
(This article belongs to the Special Issue Recent Advances in Infrared Lasers and Applications)
Show Figures

Figure 1

20 pages, 26775 KB  
Article
Inhibitory Effects of Heat-Processed Gynostemma pentaphyllum Extract (Actiponin®) and Its Components on Cartilage Breakdown in Osteoarthritis
by Seul Ah Lee, Chan Hwi Lee, Sun Hee Lee, Eunju Do, Do Kyung Kim, Tae-Lin Huh and Chun Sung Kim
Int. J. Mol. Sci. 2025, 26(4), 1728; https://doi.org/10.3390/ijms26041728 - 18 Feb 2025
Cited by 2 | Viewed by 1952
Abstract
Osteoarthritis (OA), caused by the long-term use of joints, is a representative degenerative disease in the elderly. However, recently, the age of onset has been decreasing owing to excessive activities among young people in their 20s and 30s. Gynostemma pentaphyllum (Thunb.) Makino (GP), [...] Read more.
Osteoarthritis (OA), caused by the long-term use of joints, is a representative degenerative disease in the elderly. However, recently, the age of onset has been decreasing owing to excessive activities among young people in their 20s and 30s. Gynostemma pentaphyllum (Thunb.) Makino (GP), a perennial herb of the Cucurbitaceae family, has been used since the Ming dynasty as a medicinal material to treat various ailments, such as rheumatism, liver disease, and diabetes. In this study, we investigated the anti-arthritic effects of heat-processed Gynostemma pentaphyllum extract (Actiponin (AP)) and its derivatives, damulin A (DA) and damulin B (DB), using in vitro (primary rat chondrocytes and SW1353 cells) and in vivo (destabilization of the medial meniscus (DMM)-induced OA model) systems. Histological analysis results from the in vivo study showed that the group that underwent DMM surgery induced degeneration by the loss of proteoglycan and the destruction of cartilage (OARSI score 14 ± 0.57), whereas the group that received AP daily for 8 weeks maintained an intact condition (OARSI score 5 ± 0.28 at 200 mg/kg, p < 0.001). In addition, cartilage thickness and chondrocytes were reduced in the DMM group, but were restored in the AP-administered group. Furthermore, the von Frey analysis results showed that the pain threshold of the DMM group was considerably low (54.5 g at 8 weeks), whereas that of the AP group was dose-dependently increased (65.5, 69.5, 70.3, and 71.8 at 8 weeks for 30, 50, 100, and 200 mg/kg, respectively). In vitro studies showed that AP, DA, and DB reduced the expression of interleukin-1β alone-induced nitrite; inducible nitric oxide synthase; cyclooxygenase-2; matrix metallopeptidase 1/3/13; and a disintegrin and metalloproteinase with thrombospondin motifs 4/5. They also restored the expression of collagen type II and aggrecan, which are components of the extracellular matrix. The anti-arthritic effects of AP, DA, and DB were confirmed to be mediated by the mitogen-activated protein kinase and nuclear factor kappa-light-chain-enhancer of activated B cell signaling pathways. Collectively, these results suggest that AP is a potential therapeutic agent for mitigating OA progression and chondroprotection. Full article
(This article belongs to the Section Bioactives and Nutraceuticals)
Show Figures

Figure 1

16 pages, 6108 KB  
Article
Thermal Performance Improvement of Composite Phase-Change Storage Material of Octanoic Acid–Tetradecanol by Modified Expanded Graphite
by Jin Tang, Yongfei Li, Yunxiu Ren, Zewen An, Ziqi Zhang, Laishun Yang, Weiwei Cui and Cuiping Wang
Energies 2024, 17(17), 4311; https://doi.org/10.3390/en17174311 - 28 Aug 2024
Cited by 3 | Viewed by 1331
Abstract
Phase-change cold storage technology is recommended as a solution for energy conservation and carbon neutrality in air conditioning systems of buildings. This study focuses on the development of binary composite phase-change materials comprising octanoic acid–tetradecanol (OA-TD). To enhance its thermal conductivity, expanded graphite [...] Read more.
Phase-change cold storage technology is recommended as a solution for energy conservation and carbon neutrality in air conditioning systems of buildings. This study focuses on the development of binary composite phase-change materials comprising octanoic acid–tetradecanol (OA-TD). To enhance its thermal conductivity, expanded graphite (EG) was employed as an additive carrier, and the surface modification of EG particles using hexadecyltrimethoxysilane (HDTMOS) was attempted to make up for the instability and further to improve the performance of OA-TD/EG CPCMs. The OA-TD/EG-HDTMOS CPCMs were synthesized by EG mixed with EG-HDTMOS at a 1:1 mass ratio. The thermal performance and stability of the OA-TD/EG-HDTMOS CPCMs were thoroughly evaluated by multi-cycle melting–solidification and thermal conductivity measurements. The results revealed that the OA-TD mixture, when at a mass ratio of 77:23, exhibited a phase-transition temperature of 11.4 °C and a latent heat ranging from 150 to 155 J/g. Then, the OA-TD/EG-HDTMOS composite material, at a 12:1 mass ratio of OA-TD to EG-HDTMOS, solidified and melted at temperatures of 9.2 °C and 11.2 °C, with a latent heat ranging from 138 to 143 J/g, and significantly improved the thermal conductivity to 0.7 W/(m·K), representing a remarkable 133% increase compared to that of OA-TD alone. Even after undergoing 100 melting–solidification cycles, the OA-TD/EG-HDTMOS maintained superior phase-change thermal performance and stability, making it suitable for cold storage and energy conservation in air conditioning. Full article
(This article belongs to the Section G2: Phase Change Materials for Energy Storage)
Show Figures

Figure 1

14 pages, 3821 KB  
Article
Osteoarthritis as a Systemic Disease Promoted Prostate Cancer In Vivo and In Vitro
by Samuel Rosas, Andy Kwok, Joseph Moore, Lihong Shi, Thomas L. Smith, E. Ann Tallant, Bethany A. Kerr and Jeffrey S. Willey
Int. J. Mol. Sci. 2024, 25(11), 6014; https://doi.org/10.3390/ijms25116014 - 30 May 2024
Cited by 4 | Viewed by 1712
Abstract
Osteoarthritis (OA) is increasing worldwide, and previous work found that OA increases systemic cartilage oligomeric matrix protein (COMP), which has also been implicated in prostate cancer (PCa). As such, we sought to investigate whether OA augments PCa progression. Cellular proliferation and migration of [...] Read more.
Osteoarthritis (OA) is increasing worldwide, and previous work found that OA increases systemic cartilage oligomeric matrix protein (COMP), which has also been implicated in prostate cancer (PCa). As such, we sought to investigate whether OA augments PCa progression. Cellular proliferation and migration of RM1 murine PCa cells treated with interleukin (IL)-1α, COMP, IL-1α + COMP, or conditioned media from cartilage explants treated with IL-1α (representing OA media) and with inhibitors of COMP were assessed. A validated murine model was used for tumor growth and marker expression analysis. Both proliferation and migration were greater in PCa cells treated with OA media compared to controls (p < 0.001), which was not seen with direct application of the stimulants. Migration and proliferation were not negatively affected when OA media was mixed with downstream and COMP inhibitors compared to controls (p > 0.05 for all). Mice with OA developed tumors 100% of the time, whereas mice without OA only 83.4% (p = 0.478). Tumor weight correlated with OA severity (Pearson correlation = 0.813, p = 0.002). Moreover, tumors from mice with OA demonstrated increased Ki-67 expression compared to controls (mean 24.56% vs. 6.91%, p = 0.004) but no difference in CD31, PSMA, or COMP expression (p > 0.05). OA appears to promote prostate cancer in vitro and in vivo. Full article
(This article belongs to the Section Molecular Biology)
Show Figures

Figure 1

17 pages, 3474 KB  
Article
Early Diagnosis of Fibromyalgia Using Surface-Enhanced Raman Spectroscopy Combined with Chemometrics
by Haona Bao, Kevin V. Hackshaw, Silvia de Lamo Castellvi, Yalan Wu, Celeste Matos Gonzalez, Shreya Madhav Nuguri, Siyu Yao, Chelsea M. Goetzman, Zachary D. Schultz, Lianbo Yu, Rija Aziz, Michelle M. Osuna-Diaz, Katherine R. Sebastian, Monica M. Giusti and Luis Rodriguez-Saona
Biomedicines 2024, 12(1), 133; https://doi.org/10.3390/biomedicines12010133 - 9 Jan 2024
Cited by 9 | Viewed by 10803
Abstract
Fibromyalgia (FM) is a chronic muscle pain disorder that shares several clinical features with other related rheumatologic disorders. This study investigates the feasibility of using surface-enhanced Raman spectroscopy (SERS) with gold nanoparticles (AuNPs) as a fingerprinting approach to diagnose FM and other rheumatic [...] Read more.
Fibromyalgia (FM) is a chronic muscle pain disorder that shares several clinical features with other related rheumatologic disorders. This study investigates the feasibility of using surface-enhanced Raman spectroscopy (SERS) with gold nanoparticles (AuNPs) as a fingerprinting approach to diagnose FM and other rheumatic diseases such as rheumatoid arthritis (RA), systemic lupus erythematosus (SLE), osteoarthritis (OA), and chronic low back pain (CLBP). Blood samples were obtained on protein saver cards from FM (n = 83), non-FM (n = 54), and healthy (NC, n = 9) subjects. A semi-permeable membrane filtration method was used to obtain low-molecular-weight fraction (LMF) serum of the blood samples. SERS measurement conditions were standardized to enhance the LMF signal. An OPLS-DA algorithm created using the spectral region 750 to 1720 cm−1 enabled the classification of the spectra into their corresponding FM and non-FM classes (Rcv > 0.99) with 100% accuracy, sensitivity, and specificity. The OPLS-DA regression plot indicated that spectral regions associated with amino acids were responsible for discrimination patterns and can be potentially used as spectral biomarkers to differentiate FM and other rheumatic diseases. This exploratory work suggests that the AuNP SERS method in combination with OPLS-DA analysis has great potential for the label-free diagnosis of FM. Full article
(This article belongs to the Special Issue Neuropathic Pain: From Mechanisms to Therapeutic Approaches)
Show Figures

Figure 1

14 pages, 17128 KB  
Article
A Predictive Model for the Bioaccumulation of Okadaic Acid in Mytilus galloprovincialis Farmed in the Northern Adriatic Sea: A Tool to Reduce Product Losses and Improve Mussel Farming Sustainability
by Fabrizio Capoccioni, Laura Bille, Federica Colombo, Lidia Contiero, Arianna Martini, Carmine Mattia, Riccardo Napolitano, Nicolò Tonachella, Marica Toson and Domitilla Pulcini
Sustainability 2023, 15(11), 8608; https://doi.org/10.3390/su15118608 - 25 May 2023
Cited by 5 | Viewed by 2068
Abstract
Over the last decades, harmful dinoflagellate (Dinophysis spp.) blooms have increased in frequency, duration, and severity in the Mediterranean Sea. Farmed bivalves, by ingesting large amounts of phytoplankton, can become unsafe for human consumption due to the bioaccumulation of okadaic acid (OA), [...] Read more.
Over the last decades, harmful dinoflagellate (Dinophysis spp.) blooms have increased in frequency, duration, and severity in the Mediterranean Sea. Farmed bivalves, by ingesting large amounts of phytoplankton, can become unsafe for human consumption due to the bioaccumulation of okadaic acid (OA), causing Diarrhetic Shellfish Poisoning (DSP). Whenever the OA concentration in shellfish farmed in a specific area exceeds the established legal limit (160 μg·kg−1 of OA equivalents), harvesting activities are compulsorily suspended. This study aimed at developing a machine learning (ML) predictive model for OA bioaccumulation in Mediterranean mussels (Mytilus galloprovincialis) farmed in the coastal area off the Po River Delta (Veneto, Italy), based on oceanographic data measured through remote sensing and data deriving from the monitoring activities performed by official veterinarian authorities to verify the bioaccumulation of OA in the shellfish production sites. LightGBM was used as an ML algorithm. The results of the classification algorithm on the test set showed an accuracy of 82%. Further analyses showed that false negatives were mainly associated with relatively low levels of toxins (<100 μg·kg−1), since the algorithm tended to classify low concentrations of OA as negative samples, while true positives had higher mean values of toxins (139 μg·kg−1). The results of the model could be used to build up an online early warning system made available to shellfish farmers of the study area, aimed at increasing the economic and environmental sustainability of these production activities and reducing the risk of massive product losses. Full article
(This article belongs to the Special Issue New Trends and Perspectives in Sustainable Aquaculture)
Show Figures

Figure 1

23 pages, 19009 KB  
Article
Potential Role of Biochar and Silicon in Improving Physio-Biochemical and Yield Characteristics of Borage Plants under Different Irrigation Regimes
by Saad Farouk, Arwa Abdulkreem AL-Huqail and Seham M. A. El-Gamal
Plants 2023, 12(8), 1605; https://doi.org/10.3390/plants12081605 - 10 Apr 2023
Cited by 18 | Viewed by 3213
Abstract
Silicon (Si) and biochar (Bc) are key signaling conditioners that improve plant metabolic processes and promote drought tolerance. However, the specific role of their integrative application under water restrictions on economical plants is not yet well understood. Two field experiments throughout 2018/2019 and [...] Read more.
Silicon (Si) and biochar (Bc) are key signaling conditioners that improve plant metabolic processes and promote drought tolerance. However, the specific role of their integrative application under water restrictions on economical plants is not yet well understood. Two field experiments throughout 2018/2019 and 2019/2020 were conducted to examine the physio-biochemical modifications and yield attributes of borage plants mediated by Bc (9.52 tons ha−1) and/or Si (300 mg L−1) under different irrigation regimes (100, 75, and 50% of crop evapotranspiration). Catalase (CAT) and peroxidase (POD) activity; relative water content, water, and osmotic potential; leaf area per plant and yield attributes; and chlorophyll (Chl) content, Chla/chlorophyllidea (Chlida), and Chlb/Chlidb were considerably reduced within the drought condition. On the other hand, oxidative biomarkers, as well as organic and antioxidant solutes, were increased under drought, associated with membrane dysfunction, superoxide dismutase (SOD) activation, and osmotic adjustment (OA) capacity as well as a hyperaccumulation of porphyrin intermediates. Supplementation of Bc and Si lessens the detrimental impacts of drought on several plant metabolic processes associated with increasing leaf area and yield attributes. Their application under normal or drought conditions significantly elicited the accumulation of organic and antioxidant solutes as well as the activation of antioxidant enzymes, followed by lessening the formation of free radical oxygen and mitigating oxidative injuries. Moreover, their application maintained water status and OA capacity. Si and/or Bc treatment reduced protoporphyrin, magnesium-protoporphyrin, and protochlorophyllide while increasing Chla and Chlb assimilation and boosting the ratio of Chla/Chlida and Chlb/Chlidb, resulting in a rise in leaf area per plant and yield components following these modifications. These findings highlight the significance of Si and/or Bc as (a) stress-signaling molecule(s) in regulating defensive systems in drought-affected borage plants by boosting antioxidant aptitude, regulating water status, and accelerating chlorophyll assimilation, thus leading to increasing leaf area and productivity. Full article
Show Figures

Figure 1

21 pages, 3390 KB  
Article
Correlation between Bone Mineral Density and Progression of Hip Osteoarthritis in Adult Men and Women in Bulgaria—Results from a 7-Year Study
by Lyubomir Sapundzhiev, Tanya Sapundzhieva, Martin Mitev, Kiril Simitchiev and Anastas Batalov
Life 2023, 13(2), 421; https://doi.org/10.3390/life13020421 - 2 Feb 2023
Cited by 2 | Viewed by 2603
Abstract
Changes in clinical presentation, radiographic progression (RP), bone mineral density (BMD), bone turnover (BT), and cartilage turnover (CT) markers were compared in two groups of patients with hip osteoarthritis (HOA) over a period of 7 years. Each group consisted of 150 patients, including [...] Read more.
Changes in clinical presentation, radiographic progression (RP), bone mineral density (BMD), bone turnover (BT), and cartilage turnover (CT) markers were compared in two groups of patients with hip osteoarthritis (HOA) over a period of 7 years. Each group consisted of 150 patients, including a control group on standard-of-care therapy (SC) with simple analgesics and physical exercises, and a study group (SG) on standard-of-care therapy supplemented by vitamin D3 and intravenous administration of zoledronic acid (5 mg) yearly for 3 consecutive years. Patient groups were homogenized regarding the following: (1) radiographic grade (RG), including 75 patients with hip OA RG II according to the Kellgren–Lawrence grading system (K/L), and 75 with RG III on K/L; (2) radiographic model (RM), as each of the K/L grades was subdivided into three subgroups consisting of 25 patients of different RMs: atrophic (‘A’), intermediate (‘I’), and hypertrophic (‘H’); (3) gender-equal ratio of men and women in each subgroup (Female/Male = 15/10). The following parameters were assessed: (1) clinical parameters (CP), pain at walking (WP-VAS 100 mm), functional ability (WOMAC-C), and time to total hip replacement (tTHR); (2) radiographic indicators(RI)—joint space width (JSW) and speed of joint space narrowing (JSN), changes in BMD (DXA), including proximal femur (PF-BMD), lumbar spine (LS-BMD), and total body (TB-BMD); (3) laboratory parameters (LP)—vitamin D3 levels and levels of BT/CT markers. RV were assessed every 12 months, whereas CV/LV were assessed every 6 months. Results: Cross-sectional analysis (CsA) at baseline showed statistically significant differences (SSD) at p < 0.05 in CP (WP, WOMAC-C); BMD of all sites and levels of CT/BT markers between the ‘A’ and ‘H’ RM groups in all patients. Longitudinal analysis (LtA) showed SSD (p < 0.05) between CG and SG in all CP (WP, WOMAC-C, tTHR) parameters of RP (mJSW, JSN), BMD of all sites, and levels of CT/BT markers for all ‘A’ models and in 30% of ‘I’-RMs (those with elevated markers for BT/CT at baseline and during the observation period). Conclusion: The presence of SSD at baseline (‘A’ vs. ‘H’) supported the thesis that at least two different subgroups of HOA exist: one associated with ‘A’ and the other with ‘H’ models. D3 supplementation and the intravenous administration of bisphosphonate were the treatment strategies that slowed down RP and postponed tTHR by over 12 months in the ‘A’ and ‘I’ RM with elevated BT/CT markers. Full article
(This article belongs to the Special Issue Current Views on Knee Osteoarthritis: 2nd Edition)
Show Figures

Figure 1

14 pages, 669 KB  
Protocol
A Randomised Controlled Trial of YOGa and Strengthening Exercise for Knee OsteoArthritis: Protocol for a Comparative Effectiveness Trial (YOGA Trial)
by Ambrish Singh, Dawn Aitken, Steffany Moonaz, Andrew J. Palmer, Leigh Blizzard, Changhai Ding, Stan Drummen, Graeme Jones, Kim Bennell and Benny Antony
J. Funct. Morphol. Kinesiol. 2022, 7(4), 84; https://doi.org/10.3390/jfmk7040084 - 12 Oct 2022
Cited by 1 | Viewed by 6126
Abstract
Osteoarthritis (OA) is a common joint disorder for which there is no cure. Current treatments are suboptimal. Exercise is a core treatment for knee OA, with muscle strengthening exercise commonly recommended. Yoga is a mind-body exercise intervention that can improve flexibility, muscle strength, [...] Read more.
Osteoarthritis (OA) is a common joint disorder for which there is no cure. Current treatments are suboptimal. Exercise is a core treatment for knee OA, with muscle strengthening exercise commonly recommended. Yoga is a mind-body exercise intervention that can improve flexibility, muscle strength, balance, and fitness and potentially reduce symptoms of OA. However, there is a scarcity of robust, high-quality conclusive evidence on the efficacy of yoga in knee OA. We are currently conducting the first randomised comparative effectiveness and cost-effectiveness trial of a yoga program compared with a strengthening exercise program in patients with symptomatic knee OA. This study protocol describes the design and conduct of this trial. The YOGA study is a phase III, single-centre, parallel, superiority, randomised, active-controlled trial which will be conducted in Hobart, Australia. One hundred and twenty-six participants (63 in each arm) aged over 40 years with symptomatic knee OA will be recruited from the community and randomly allocated to receive either a 24-week yoga program (3×/week) or a strengthening exercise program (3×/week). The primary outcome will be change in knee pain over 12 weeks, assessed using a 100 mm visual analogue scale (VAS). The secondary outcomes include change in knee pain, patient global assessment, physical function, quality of life, gait speed, biomarkers, and others over 12 and 24 weeks. We will also assess whether the presence of neuropathic pain moderates the effects of yoga compared to strengthening exercise. Additional data, such as cost and resource utilization, will be collected for the cost-effectiveness analysis. The primary analysis will be conducted using an intention-to-treat approach. Adverse events will be monitored throughout the study. Once completed, this trial will contribute to the knowledge of whether yoga can be used as a simple, effective, low-cost option for the management of knee OA, thus saving economic costs in the healthcare system. Full article
(This article belongs to the Topic Role of Exercise in Musculoskeletal Disorders)
Show Figures

Figure 1

18 pages, 7932 KB  
Article
Segmentation and Stratification Methods of Field Maize Terrestrial LiDAR Point Cloud
by Chengda Lin, Fangzheng Hu, Junwen Peng, Jing Wang and Ruifang Zhai
Agriculture 2022, 12(9), 1450; https://doi.org/10.3390/agriculture12091450 - 13 Sep 2022
Cited by 21 | Viewed by 3994
Abstract
Three-dimensional (3D) laser point cloud technology is an important research method in the field of agricultural remote sensing research. The collection and processing technology of terrestrial light detection and ranging (LiDAR) point cloud of crops has greatly promoted the integration of agricultural informatization [...] Read more.
Three-dimensional (3D) laser point cloud technology is an important research method in the field of agricultural remote sensing research. The collection and processing technology of terrestrial light detection and ranging (LiDAR) point cloud of crops has greatly promoted the integration of agricultural informatization and intelligence. In a smart farmland based on 3D modern agriculture, the manager can efficiently and conveniently achieve the growth status of crops through the point cloud collection system and processing model integrated in the smart agricultural system. To this end, we took field maize as the research object in this study and processed four sets of field maize point clouds, named Maize-01, Maize-02, Maize-03, and Maize-04, respectively. In this research, we established a field individual maize segmentation model with the density-based clustering algorithm (DBSCAN) as the core, and four groups of field maize were used as research objects. Among them, the value of the overall accuracy (OA) index, which was used to evaluate the comprehensive performance of the model, were 0.98, 0.97, 0.95, and 0.94. Secondly, the multi-condition identification method was used to separate different maize organ point clouds from the individual maize point cloud. In addition, the organ stratification model of field maize was established. In this organ stratification study, we take Maize-04 as the research object and obtained the recognition accuracy rates of four maize organs: tassel, stalk, ear, and leaf at 96.55%, 100%, 100%, and 99.12%, respectively. We also finely segmented the leaf organ obtained from the above-mentioned maize organ stratification model into each leaf individual again. We verified the accuracy of the leaf segmentation method with the leaf length as the representative. In the linear analysis of predicted values of leaf length, R2 was 0.73, RMSE was 0.12 m, and MAE was 0.07 m. In this study, we examined the segmentation of individual crop fields and established 3D information interpretations for crops in the field as well as for crop organs. Results visualized the real scene of the field, which is conducive to analyzing the response mechanism of crop growth and development to various complex environmental factors. Full article
(This article belongs to the Special Issue Recent Advances in Agro-Geoinformatics)
Show Figures

Figure 1

22 pages, 13298 KB  
Article
Comparing Object-Based and Pixel-Based Methods for Local Climate Zones Mapping with Multi-Source Data
by Ziyun Yan, Lei Ma, Weiqiang He, Liang Zhou, Heng Lu, Gang Liu and Guoan Huang
Remote Sens. 2022, 14(15), 3744; https://doi.org/10.3390/rs14153744 - 4 Aug 2022
Cited by 27 | Viewed by 4296
Abstract
The local climate zones (LCZs) system, a standard framework characterizing urban form and environment, effectively promotes urban remote sensing research, especially urban heat island (UHI) research. However, whether mapping with objects is more advantageous than with pixels in LCZ mapping remains uncertain. This [...] Read more.
The local climate zones (LCZs) system, a standard framework characterizing urban form and environment, effectively promotes urban remote sensing research, especially urban heat island (UHI) research. However, whether mapping with objects is more advantageous than with pixels in LCZ mapping remains uncertain. This study aims to compare object-based and pixel-based LCZ mapping with multi-source data in detail. By comparing the object-based method with the pixel-based method in 50 and 100 m, respectively, we found that the object-based method performed better with overall accuracy (OA) higher at approximately 2% and 5%, respectively. In per-class analysis, the object-based method showed a clear advantage in the land cover types and competitive performance in built types while LCZ2, LCZ5, and LCZ6 performed better with the pixel-based method in 50 m. We further employed correlation-based feature selection (CFS) to evaluate feature importance in the object-based paradigm, finding that building height (BH), sky view factor (SVF), building surface fraction (BSF), permeable surface fraction (PSF), and land use exhibited high selection frequency while image bands were scarcely selected. In summary, we concluded that the object-based method is capable of LCZ mapping and performs better than the pixel-based method under the same training condition unless in under-segmentation cases. Full article
(This article belongs to the Special Issue Pattern Analysis in Remote Sensing)
Show Figures

Graphical abstract

11 pages, 776 KB  
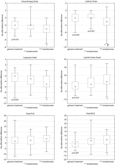
Article
Evaluation of the Effectiveness of Iontophoresis with Perskindol Gel in Patients with Osteoarthritis of the Knee Joints
by Agnieszka Dakowicz, Zofia Dzięcioł-Anikiej, Anna Hryniewicz, Małgorzata Judycka, Mariusz Ciołkiewicz, Diana Moskal-Jasińska and Anna Kuryliszyn-Moskal
Int. J. Environ. Res. Public Health 2022, 19(14), 8489; https://doi.org/10.3390/ijerph19148489 - 12 Jul 2022
Cited by 4 | Viewed by 3715
Abstract
Introduction: Osteoarthritis (OA) is one of the most common causes of pain in the musculoskeletal system leading to disability. The basic principle of the therapy is the simultaneous use of pharmacological and non-pharmacological treatments. The aim of this study was to evaluate the [...] Read more.
Introduction: Osteoarthritis (OA) is one of the most common causes of pain in the musculoskeletal system leading to disability. The basic principle of the therapy is the simultaneous use of pharmacological and non-pharmacological treatments. The aim of this study was to evaluate the effectiveness of galvanic and iontophoresis treatments with Perskindol Active Classic Gel (Perskindol) in patients with OA of the knee joints. Moreover, a comparative evaluation of the effectiveness of the application was performed depending on the selection of the active electrode. Material and Methods: The study included 100 patients with gonarthrosis, treated at the Rehabilitation Clinic of the Białystok University Hospital. Three groups were randomly selected: in group I (n = 33), anodic galvanic treatment was applied, group II (n = 33) received iontophoresis with Perskindol gel from the negative pole (“−” iontophoresis), and group III (n = 34) received iontophoresis with Perskindol gel from the positive pole (“+” iontophoresis). The VAS, the Laitinen questionnaire, the Lequesne Index, the Lysholm questionnaire, and the SF-36v2 health survey were used for the clinical evaluation of the patients. Results: In the group of patients who underwent iontophoresis with the use of Perskindol gel introduced from the positive pole, a statistically significant improvement was shown in all the assessed parameters in comparison to the patients who underwent anodic galvanic treatment. Conclusions: The most favorable effect of iontophoresis was observed in the case of iontophoresis with Perskindol gel introduced from the positive pole. Full article
Show Figures

Figure 1

17 pages, 3753 KB  
Article
Complement Proteins C5/C5a, Cathepsin D and Prolactin in Chondrocytes: A Possible Crosstalk in the Pathogenesis of Osteoarthritis
by Sandeep Silawal, Miriam Wagner, Dominik Roth, Thomas Bertsch, Silke Schwarz, Maximilian Willauschus, Markus Gesslein, Jakob Triebel and Gundula Schulze-Tanzil
Cells 2022, 11(7), 1134; https://doi.org/10.3390/cells11071134 - 28 Mar 2022
Cited by 2 | Viewed by 3293
Abstract
Introduction: Both increased activity of the complement system (CS) and the role of the pituitary hormone prolactin (PRL) are implicated in osteoarthritis (OA) pathogenesis. Besides, Cathepsin D (CatD) activity is increased in the context of OA and can exert not only proteolytic but [...] Read more.
Introduction: Both increased activity of the complement system (CS) and the role of the pituitary hormone prolactin (PRL) are implicated in osteoarthritis (OA) pathogenesis. Besides, Cathepsin D (CatD) activity is increased in the context of OA and can exert not only proteolytic but also non-proteolytic effects on cells. For the first time, possible crosstalk between two separate humoral systems: the CS and the PRL hormone systems in chondrocytes are examined together. Methods: Primary human articular chondrocytes (hAC) were stimulated with complement protein C5 (10 µg /mL), PRL (25 ng/mL), CatD (100 ng/mL), or anaphylatoxin C5a (25 ng/mL) for 24 h or 72 h, while unstimulated cells served as controls. In addition, co-stimulations of C5 or PRL with CatD were carried out under the same conditions. The influence of the stimulants on cell viability, cell proliferation, and metabolic activity of hAC, the chondrosarcoma cell line OUMS-27, and endothelial cells of the human umbilical cord vein (HUVEC) was investigated. Gene expression analysis of C5a receptor (C5aR1), C5, complement regulatory protein CD59, PRL, PRL receptor (PRLR), CatD, and matrix metal-loproteinases (MMP)-13 were performed using real-time PCR. Also, collagen type (Col) I, Col II, C5aR1, CD59, and PRL were detected on protein level using immunofluorescence labeling. Results: The stimulation of the hAC showed no significant impairment of the cell viability. C5, C5a, and PRL induced cell growth in OUMS-27 and HUVEC, but not in chondrocytes. CatD, as well as C5, significantly reduced the gene expression of CatD, C5aR1, C5, and CD59. PRLR gene expression was likewise impaired by C5, C5a, and PRL+CatD stimulation. On the protein level, CatD, as well as C5a, decreased Col II as well as C5aR1 synthesis. Conclusions: The significant suppression of the C5 gene expression under the influence of PRL+CatD and that of CD59 via PRL+/−CatD and conversely a suppression of the PRLR gene expression via C5 alone or C5a stimulation indicates an interrelation between the two mentioned systems. In addition, CatD and C5, in contrast to PRL, directly mediate possible negative feedback of their own gene expression. Full article
(This article belongs to the Special Issue Cell and Molecular Causes of Joint Inflammation and Damage)
Show Figures

Graphical abstract

12 pages, 1160 KB  
Article
Diamond Open Access in Norway 2017–2020
by Jan Erik Frantsvåg
Publications 2022, 10(1), 13; https://doi.org/10.3390/publications10010013 - 18 Mar 2022
Cited by 5 | Viewed by 7264
Abstract
We see from information published elsewhere that Gold OA is on the increase globally. The OA Diamond study indicates that Diamond OA is an important component of scholarly communications, with an estimated 8–9% of the total global scholarly output. These numbers, however, are [...] Read more.
We see from information published elsewhere that Gold OA is on the increase globally. The OA Diamond study indicates that Diamond OA is an important component of scholarly communications, with an estimated 8–9% of the total global scholarly output. These numbers, however, are on a global scale and are not necessarily representative of any given country; country case studies are needed to find this information. Norway is a country where the government has declared a 100% OA goal and most research has public funding. Norway has good financing structures for various models of OA, and it has a national CRIS system. This study tries to find and present numbers for articles in scholarly journals to describe both recent developments and relative numbers for Norway as a whole, and for scholarly fields in Norway, with regards to Diamond OA. Numbers for and development of Gold OA will also be given and commented upon to some extent. Full article
Show Figures

Figure 1

Back to TopTop