Next Article in Journal
Light-Elicited and Oxygen-Saved Iridium Nanocapsule for Oxidative Damage Intensified Oncotherapy
Next Article in Special Issue
Antioxidant Activities of Essential Oils and Their Major Components in Scavenging Free Radicals, Inhibiting Lipid Oxidation and Reducing Cellular Oxidative Stress
Previous Article in Journal
Antioxidant and Anti-Inflammatory Activity on LPS-Stimulated RAW 264.7 Macrophage Cells of White Mulberry (Morus alba L.) Leaf Extracts
Previous Article in Special Issue
Antihyperglycemic Properties of Extracts and Isolated Compounds from Australian Acacia saligna on 3T3-L1 Adipocytes
 
 
Font Type:
Arial Georgia Verdana
Font Size:
Aa Aa Aa
Line Spacing:
Column Width:
Background:
Review

Bioactive Phytochemicals of Acacia saligna

School of Mathematical and Physical Sciences, Faculty of Science, University of Technology Sydney, Ultimo, NSW 2007, Australia
*
Author to whom correspondence should be addressed.
Molecules 2023, 28(11), 4396; https://doi.org/10.3390/molecules28114396
Submission received: 5 May 2023 / Revised: 24 May 2023 / Accepted: 24 May 2023 / Published: 28 May 2023
(This article belongs to the Special Issue Key Role of Natural Bioactive Compounds in Health and Diseases)

Abstract

Acacia saligna is native to Western Australia. It has become an introduced and fast-growing plant in other parts of the world due to its ability to adapt to drought, saline and alkaline soils, and hast growing environments. Studies on the bioactivities and phytochemicals of the plant extracts were conducted. However, comprehensive information that links those bioactivities to the identified compounds in the plant’s extracts is still lacking. Data gathered in this review revealed a rich chemical diversity of hydroxybenzoic acids, cinnamic acids, flavonoids, saponins, and pinitols in A. saligna growing in Egypt, Saudi Arabia, Tunisia, South Africa, and Australia. The variability in phytochemical composition and quantity could be attributed to plant parts, growing locations, extraction solvents, and analysis methods. Identified phytochemicals support observed biological activities such as antioxidant, antimicrobial, anticancer, α-glucosidase inhibition, and anti-inflammation in the extracts. The knowledge of chemical structures, biological activities, and possible mechanisms of action of the bioactive phytochemicals identified in A. saligna were discussed. In addition, the structure–activity relationships of dominant active compounds were examined to explain the bioactivities exerted by A. saligna extracts. The review provides valuable insights towards future research and the development of new therapeutics from this plant.

Graphical Abstract

1. Introduction

There are about 1380 species of Acacia worldwide, and about two-thirds of them are native to Australia [1]. Indigenous Australians have used the plants’ leaves, bark, and flowers as medicinal agents for centuries [2]. Decoction and infusion have been the most common preparations for ethnomedicinal plants [3,4,5]. The Australian continent consists of some arid, semi-arid, and dry subtropical regions, which allow Acacia plants to grow and produce unique secondary metabolites [6]. In addition to their survival purpose, the phytochemicals have various benefits for human health, such as anti-digestive disorders (tannins, saponins, flavonoids); anti-plasmodial (tryptamine, tannins, organic acids, saponins); antioxidant (polyphenols); anticancer (triterpenoids, saponins); nutraceutical, diuretic and natriuretic therapies (polysaccharide, glucosides, and gum) [7]. The Acacia plants of medicinal importance are A. kempeana, A. ligulata, A. tetragonophylla, A. mearnsii, and A. pycantha. They have been reported to contain rich contents of polyphenolic compounds in their extracts. Another Acacia of note is A. saligna. A. saligna is commonly found on poor sandy soils and coastal dune systems. The tree is a highly tolerant species against drought, saline and alkaline soils, and frosty environments [8]. Due to its ability to stabilise a coastal dune system, this species was cultivated in the Eastern States of Australia and some countries in the Middle East, Africa, and South America. Although it is not known to be used as traditional medicine, A. saligna has been studied for its in vitro bioactivities and phytochemicals from different plant parts growing in the Middle East, Africa, and South America. However, investigations into the biological activities and phytochemicals of the plant growing in Australia have been limited.

1.1. Acacia Saligna

Acacia saligna (Labill.) H. L. Wendl. (1820) is the current scientific name for the species characterised by 2–10 m tall shrubs or small trees, which have grey to red-brown bark, are linear to the lanceolate; measure 8–25 × 0.4–2 cm; have green to glaucous leaves, and have bright, yellow-rounded flowers that measure 5–10 mm in diameter. The flowering season is usually between August and October, while mature legumes appear from November to January. It is native to Western Australia and was previously named A. cyanophylla Lindl, A. bracteate Maiden and Blakeley, A. lindleyi Meissner, Mimosa saligna Labill., and Racosperma salignum (Labill.) Pedley [9]. The plant is also recognised locally as the Port Jackson wattle, Coojong, blue-leafed wattle, and Western Australia golden wattle. The following information in Table 1 shows a detailed taxonomic chart of the species taken from Maslin [10].
Most investigations have been dedicated to screening extracts of A. saligna growing in Saudi Arabia, Egypt, Tunisia, and other parts of Africa against various biological targets. These investigations have shown that the extracts possessed various bioactive phytochemicals. For instance, flavonoids isolated from the flowers and leaves have had antifungal, antioxidant, anti-acetylcholinesterase, and antibacterial activities [11,12,13].
The volatile phytochemicals of the flowers possess allelopathic activity, thus indicating their potential as bioherbicides [14,15]. The isolated compounds from these extracts have been shown to have antioxidant activities and cytotoxicity against liver cancer cells [16,17]. Ethanolic crude extracts from the plant’s bark show antifungal and antioxidant activities [18], as well as α-glucosidase inhibitory activity [19]. In the Middle East, Africa, and South America, A. saligna’s parts have been used as animal feeds [20,21,22], thus suggesting this plant’s low toxicity and high nutritional benefits.

1.2. Aims

Currently, no comprehensive review links the chemistry, biology, or medicinal aspects of the phytochemicals in A. saligna. This review is not exhaustive in its coverage of all phytochemicals found in A. saligna growing in Egypt, Saudi Arabia, Tunisia, South Africa, and Australia. Instead, it aims to focus on the compounds that show biological activities with potential applications as pharmacological drugs that are urgently needed for human health to combat infectious diseases (antimicrobial resistance: methicillin-resistant Staphylococcus aureus (MRSA), Escherichia coli, Klebsiella pneumoniae, and Mycobacterium tuberculosis) [23] and noncommunicable diseases (Type 2 diabetes, cardiovascular diseases, cancers, and chronic inflammatory diseases) [24]. This review also aims to broadly examine the compositions and contents of the bioactive compounds in A. saligna from different parts of the plant that yield under the influences of the growing environment, different cultivation locations, and extraction solvents. The compositions and contents of these compounds provide a link to the observed biological activities. We also highlighted the structure–activity relationships (SAR) and mechanisms of action (MOA) of the phytochemicals identified in A. saligna.
To date, no review has been created on the phytochemicals and bioactivities of the extracts or isolated compounds from A. saligna. Therefore, this review can guide further studies on this plant to develop optimised methods for isolating, identifying, and testing bioactive extracts and isolated compounds. SAR and MOA information can assist in drug design and discovery from natural products.

2. Phytochemicals from A. saligna

Our literature survey has revealed that the phytochemical analyses of A. saligna were mainly conducted using plant materials growing in Saudi Arabia, Egypt, Tunisia, South Africa, and, recently, in Australia. Several reported analytical methods were employed to identify and quantify compounds in the plant extracts. For instance, classical and low-cost colorimetric methods were most used by authors to proximate the total phenolic and flavonoid contents in the extract. The total phenolic content was evaluated using the standard Folin–Ciocâlteu reagent with gallic acid (GA), while the flavonoid content was determined using the standard aluminium trichloride method with rutin. High-performance liquid chromatography–photodiode array detection (HPLC-DAD), as well as HPLC with variable wavelength detector (VWD) were used. Authentic standard retention times and calibration curves were used in the HPLC-based analyses to provide a qualitative and quantitative analysis of compounds in the extracts. Single compound isolation and structure elucidation using NMR techniques were also employed. Gas chromatography coupled with mass spectrometry (GC-MS) analysis was mainly used to determine the volatile components of the extracts. The sections below describe the phytochemicals found in the individual parts of the plant. The composition and quantity of identified compounds from each crude extract are listed in Supplementary Table S1, which are related to the plant parts, extraction solvents, analysis methods, and harvesting locations. The chemical composition and content in each active extract related to their bioactivities will be discussed in detail in Section 3.

2.1. Phytochemicals from Flowers

The literature has revealed that flavonoid derivatives were the most common phytochemicals reported from the flowers of A. saligna, along with beneficial effects such as antioxidant compounds [11,12,25]. Isosalipurposide 1, quercetin 3 and naringenin 42 (Figure 1) have been isolated from the ethyl acetate extract of flowers harvested in Tunisia by Ghribia et al. [11]. An HPLC-based study conducted by Al-Huqail et al. [12] revealed the presence of quercetin 3, kaempferol 22, benzoic acid 24, syringic acid 28, p-hydroxybenzoic acid 31, salicylic acid 32, caffeic acid 35, o-coumaric acid 36, p-coumaric acid 37, ferulic acid 38, naringenin 42, ellagic acid 44, catechol 45, and caffeine 46 in the water-soluble extract of flowers harvested in Egypt.
Recent work by our group [26] on Australian A. saligna showed that the methanolic extract of the flowers obtained via sequential solvent polarity extraction was bioactive. A column chromatography separation of the extract provided naringenin 42, isosalipurposide 1, quercitrin 4 and D-(+)-pinitol 48, and naringenin-7-O-α-L-arabinofuranoside 47. Quercitrin 4 was the main compound, followed by naringenin-7-O-α-L-arabinofuranoside 47 and D-(+)-pinitol 48 (Figure 2). The latter two compounds were recently isolated from A. saligna growing in Australia.
Gas chromatography with flame ionisation detection (GC-FID) and GC-MS analysis of the flowers were collected in Tunisia by El Ayeb-Zakhama et al. [14], which revealed 16 volatiles. Among these, nonanal 56 was the major compound, which contained 66.5% w/w of the total essential oils. α-Terpineol 57 (8.4%), heptadecan-2-one 58 (5.8%), and tetradecanoic acid 59 (5%) were other important components (Figure 3).

2.2. Phytochemicals from Leaves

Some flavonoid derivatives such as astragalin 23 [27], catechin derivatives (14, 15), quercetin derivatives (35), myricetin derivatives (1013), rutin 6, naringenin 42, taxifolin 41, and luteolin derivatives (1921) were identified in leaves collected in Egypt [25,28] and Saudi Arabia [13,17], as shown in Figure 1. HPLC-based studies conducted by Guneidy et al. [28], Elansary et al. [13], and Gumgumjee et al. [17] reported that crude extracts from leaves contained rich compositions of benzoic acid derivatives such as gallic acid 25, syringic acid 28, vanillin 29, protocatechuic acid 30, and p-hydroxybenzoic 31 (Figure 1). Of note were cinnamic acid 34, caffeic acid 35, p-coumaric acid 37, ferulic acid 38, chlorogenic acid 40, and other phenolic esters, including methyl gallate 26, propyl gallate 27, and ellagic acid 44.
The sequential solvent polarity extraction of leaves collected in Australia provided a bioactive methanolic extract. Upon two successive purifications via column chromatography of this extract, we obtained (–)-epicatechin 51, quercitrin 4, myricitrin 11, 2,4-di-t-butylphenol, (−)-pinitol 49, and (3S,5S)-3-hydroxy-5-(2-aminoethyl)-dihydrofuran-2(3H)-one 52. The latter three compounds were the first to be isolated from A. saligna growing in Australia and in other parts of the world [26].
Figure 1. Phenolic and flavonoid derivatives identified in flowers [11,12,26], leaves [13,16,25,26,29], and the bark [18] of A. saligna.
Figure 1. Phenolic and flavonoid derivatives identified in flowers [11,12,26], leaves [13,16,25,26,29], and the bark [18] of A. saligna.
Molecules 28 04396 g001
Figure 2. Phenolic and flavonoid derivatives and other compounds identified in flowers [11,12,26], leaves [13,16,25,26,29] and the bark [18,26] of A. saligna.
Figure 2. Phenolic and flavonoid derivatives and other compounds identified in flowers [11,12,26], leaves [13,16,25,26,29] and the bark [18,26] of A. saligna.
Molecules 28 04396 g002
Figure 3. Some volatiles from the flowers and leaves of A. saligna identified by GC/CI-MS analysis [14].
Figure 3. Some volatiles from the flowers and leaves of A. saligna identified by GC/CI-MS analysis [14].
Molecules 28 04396 g003
Derivatives of saponin (5355) (Figure 4) were also identified, along with the biflavonoids glycoside 33, quercitrin 4, and myricitrin 11, in methanolic leaf extracts by Gedara et al. [25].
Gas chromatographic analyses (GC-FID and GC-MS) of volatiles from the leaves collected in Tunisia identified 21 compounds (Figure 4). Among these (reported in % of the total content), nonanal 56 (22.8), α-terpineol 57 (12.1), 4-oxoisophorone 60 (11.5), (+/−)-linalool 61 (9.4), heptadecan-2-one 58 (8.8), and pentadecanal 62 (4.7) were detected in reasonable quantities [14].

2.3. Phytochemicals from Barks

HPLC-based analysis of an ethanolic crude extract of A. saligna bark collected in Egypt [18] revealed the presence of naringenin 42, rutin 6, kaempferol 22, benzoic acid 27, gallic acid 28, chlorogenic acid 41, vanillin acid 36, caffeic acid 38, ferulic acid 40, rosmarinic acid 41, and caffeine 43 (Figure 1 and Figure 2). This ethanolic extract was screened for antioxidant and antifungal activities. Buttner et al. reported the phenolic content of an ethanolic bark extract from A. saligna harvested in South Africa using the Folin–Ciocâlteu reagent analysis [19]. The compounds (−)-epicatechin 51, D-(+)-pinitol 48 (Figure 2), and sucrose were isolated from a bioactive methanolic bark extract of Australian A. saligna [26].

2.4. Variability in Phytochemical Compositions of A. saligna

Plants biosynthesise secondary metabolites for survival and defence. The outcome of biosynthesis is influenced by environmental factors, including soil, salinity, temperature, and geographical variations [30]. Environmental stresses, such as drought and high salinity, can stimulate the signalling pathway in the plant’s cells to accumulate bioactive compounds in order to respond to severe conditions. For instance, D-pinitol 48 (methoxy inositol) was found in Australian A. saligna [26]. This suggested that plants grown in water shortage and high salinity areas produced the compounds as osmoprotectants to overcome the osmotic stress. A study by Streeter et al. [31] confirmed that D-pinitol 48 (methoxy inositol) in stressed soybean leaves was around 40% higher in concentration than in the well-watered groups.
Moreover, studies on drought and salinity stresses showed significantly elevated levels of gallic acid 25 and p-coumaric acid 37 in A. saligna. For example, the leaves harvested from the Albahah region of Southwest Saudi Arabia yielded (reported in % of the total content) gallic acid 25 (0.0054) and p-coumaric acid 37 (0.0008) [17]. In contrast, the leaves collected from the Orman Botanical Garden in Giza, Egypt yielded a much higher content of gallic acid 25 (19.2) and p-coumaric acid 37 (6.4) [29]. The Albahah region is a dry area with an annual mean rainfall of 142.6 mm/year [32] and a medium to high soil salinity [33], while the Giza site is an arid area estimated to have 1.2 mm/year of annual rainfall [34] and a high soil salinity [35]. These findings suggest the influences of abiotic stresses in phenolic biosynthesis.
Furthermore, plants have been known to produce high concentrations of flavonoids and glycosides when they experience environmental stresses such as low or high temperatures, high intensity of light, high salinity, and drought [36]. These flavonoids were identified (with variable quantities) in the extracts from various parts of A. saligna plants from Egypt, Saudi Arabia, Tunisia, South Africa, and Australia, wherein the plants shared similar growing conditions and environments.
Our data in Supplementary Table S1 revealed variations in the quantities and types of polyphenolic compounds. It is noteworthy that three main groups (flavonoids, cinnamic acids, and benzoic acids) of compounds were commonly identified (with variable quantities) across the plant parts, geographic origins (growing conditions), and polarity of the extraction solvents and analytic methods. Although most articles did not mention the collection period and phenological stage, the abiotic factors could influence the extracts’ chemical composition outcomes. These commonly identified compounds (with variable concentrations) across actives extracts (Supplementary Table S1, Figure 1 and Figure 2) are
(i)
flavonoids—isosalipurposide 1, quercetin 3, kaempferol 22, rutin 6, and naringenin 42;
(ii)
hydroxycinnamic acids—caffeic acid 35, o-coumaric acid 36, p-coumaric acid 37, and ferulic acid 38; and
(iii)
benzoic acid 24 and hydroxybenzoic acids such as gallic acid 25, salicylic acid 32, ellagic acid 44, syringic acid 28, and p-hydroxybenzoic acid 31.
In summary, richer chemical diversity has been observed among compounds in the leaf and flower extracts than in bark extracts. The differences in the chemical compositions of A. saligna crude extracts can influence the outcomes of their biological activities [37].

3. Bioactivities of A. saligna Extracts and Identified Phytochemicals

In the following sections, we will discuss the biological activities of A. saligna extracts that are important for human health. The bioactivities, including the possible MOA and SAR of the identified compounds, will be discussed to justify the bioactivities exerted by the crude extracts. The SAR described for a specific target can guide the design and synthesis of derivatives with the structural features required for activity.

3.1. Antioxidant

The literature indicates that the antioxidant properties of A. saligna crude extracts and isolated compounds have been the most reported compared to other bioactivities due to the accessibility [38], practicality, and low cost of the assays. Two commonly used assays are in vitro scavenging free radicals 2,2-diphenyl-1-picrylhydrazyl (DPPH), and 2,2′-azino-bis-(3-ethylbenzothiazoline-6-sulphonic acid) (ABTS). DPPH is a stable free radical that readily accepts an electron or a hydrogen radical from a reducing agent such as vitamin C (ascorbic acid). The reaction results in the formation of stable dehydroascorbate and DPPH-H [39]. DPPH exhibits a strong absorption band in a methanolic solution with a deep purple colour. The reduction of DPPH radicals has been routinely monitored spectrophotometrically at 517 nm. In those experiments, the colour of the solution gradually decreased as the concentration of the antioxidant increased, wherein DPPH radicals converted to the colourless DPPH-H.
The antioxidant activities in this discussion were obtained using the DPPH method, wherein vitamin C or butylated hydroxytoluene (BHT) was used as a positive control. The plant parts of A. saligna were mainly harvested in Egypt, Tunisia, Saudi Arabia, and Australia. The active extracts were found to be those of the alcoholic extracts. The alcoholic extracts from the bark, leaves, and flowers were shown to have substantial antioxidant activities, which can be ranked from barks> leaves > flowers based on the IC50 values of the extracts. HPLC-based analysis and bioactive-guided fractionation of the plant extracts revealed polyphenolic and flavonoid derivatives, as shown in Table 2.
Ghribia et al. [11] performed sequential polarity-based extraction of a methanolic crude extract of A. saligna flowers collected in Tunisia (Table 2). Dichloromethane, ethyl acetate, n-butanol, and aqueous extracts were obtained. Among these four extracts, the ethyl acetate extract was most active in the DPPH assay, with an IC50 of 67.26 μg/mL. The ethyl acetate extract was subjected to pure compound isolation using column chromatography, which yielded (reported in % w/w of the dried flowers) isosalipurposide 1 (0.75), quercetin 3 (0.002), and naringenin 42 (trace amounts). Isolated quercetin 3 was screened in the same DPPH assay and was found to be most active, with an IC50 of 4.58 μg/mL, which was comparable to the positive control reference quercetin’s IC50 of 4.77 μg/mL. Isosalipurposide 1 was the second most active compound, with an IC50 of 81.9 μg/mL, which was three times more active than naringenin 42 (255.5 μg/mL). The activities of isosalipurposide 1 and quercetin 3 support the potent antioxidant activity exerted by the ethyl acetate extract.
The aqueous crude extract of flowers collected in Alexandria, Egypt by Al-Huqail et al. [12] was found to inhibit DPPH with a much weaker activity (IC50 = 463.71 μg/mL) compared to that reported by Ghribia et al. [11]. The HPLC-based analysis of the aqueous extract from the flowers revealed a rich composition of benzoic acids, cinnamic acids, and flavonoids (Table 2). Among those identified were (reported in % w/w of crude extract) were quercetin 3 (0.112), kaempferol 22 (0.0445), naringenin 42 (0.145), syringic acid 28 (0.006), p-hydroxybenzoic acid 31 (0.014), salicylic acid 32 (0.004), caffeic acid 35 (0.003), o-coumaric acid 36 (0.042), p-coumaric acid 37 (0.002), and ferulic acid 38 (0.007). The hydroxybenzoic and hydroxycinnamic acid compositions in this extract were much more than those found in the methanolic extract of flowers collected in Tunisia. Interestingly, quercetin 3 and naringenin 42 were commonly found in both extracts. However, this aqueous extract showed a weaker antioxidant activity than the ethyl acetate extract. This is perhaps due to the bulk content of non-active compounds, such as benzoic acid 24 (0.162) and caffeine 46 (0.1), thereby contributing to the high value of IC50.
Elansary et al. [13] screened their methanolic leaf extract in a DPPH assay, which resulted in the reported IC50 value of 17 μg/mL (Table 2). The HPLC-based analysis of their leaf extract revealed a high content of phytochemicals (reported in % w/w of crude extract). These were gallic acid 25 (0.136) and p-coumaric acid 37 (0.035). Other flavonoids such as rutin 6 (1.533), hyperoside 9 (0.633), isoquercetin 8 (0.073), quercetin 3 (0.006), and miquelianin 7 (0.126) were also identified. Isolated compounds such as quercetin 3, rutin 6, miquelianin 7, isoquercetin 8, hyperoside 9, apigetrin 17, gallic acid 25, and p-coumaric acid 37 were also tested alongside the crude extract. The results indicated that high-content compounds such as rutin 6, hyperoside 9, miquelianin 7, and gallic acid 25 exerted potent antioxidant activities, with IC50 values of 15, 4, 3, and 4 μg/mL, respectively. Evidently, these compounds were responsible for the high antioxidant activity exerted by the methanolic leaf extract.
The work by Salem et al. [18] with a bark extract was shown to have potent antioxidant activity in a DPPH assay, which yielded an IC50 of 10.2 μg/mL compared to the positive control of ascorbic acid (IC50 = 7.66 μg/mL) (Table 2). Notably, the crude extract contained a higher content of phenolic acids and hydroxycinnamic acids than flavonoids. An HPLC-based analysis of the extract revealed (reported in % w/w of crude extract) gallic acid 25 (0.0255), benzoic acid 24 (0.0255), caffeine 46 (0.0106), and chlorogenic acid 40 (0.0106), followed by vanillin 29 (0.007), caffeic acid 35 (0.0054), rosmarinic acid 39 (0.005), and ferulic acid 38 (0.0042) as the main compounds. Flavonoids such as quercetin 3 (0.0037), kaempferol 22 (0.0011), and rutin 6 (0.0016) were also detected.
Four different extracts from individual parts (flowers, leaves, and bark) of Australian A. saligna were obtained by our group using a sequential polarity-based extraction (Table 2). Bioactive extracts were determined using in vitro antioxidant DPPH assays [26]. Methanolic extracts from barks, leaves, and flowers were the most active. Compared to vitamin C (IC50 = 49.97 µg/mL), the bark extract was the most active, with an IC50 of 94.24 µg/mL, followed by the leaf (IC50 = 190.1 µg/mL) and then the flower (IC50 = 331.5 µg/mL). Pure compound isolation of the flower extract by column chromatography provided (reported in % w/w of dried flowers) naringenin 42 (0.183), quercitrin 4 (0.432), naringenin-7-O-α-L-arabinofuranoside 47 (0.27), D-(+)-pinitol 48 (0.262), and isosalipurposide 1 (0.159). The leaf extract yielded (reported in % w/w of dried leaves) (–)-epicatechin 51 (0.0.91), quercitrin 4 (0.29), myricitrin 11 (0.507), 2,4-di-t-butylphenol 50 (0.101), (−)-pinitol 49 (0.913), and (3S,5S)-3-hydroxy-5-(2-aminoethyl)-dihydrofuran-2(3H)-one 52 (0.507). Isolation of the bark extract using column chromatography (reported in % w/w of dried bark) yielded (−)-epicatechin 51 (0.185), D-(+)-pinitol 48 (1.303), and sucrose (6.87).
The isolated compounds from each active extract were screened in the same DPPH assay. Myricitrin 11 (IC50 = 199.9 µM), (–)-epicatechin 51 (IC50 = 278 µM), and quercitrin 4 (IC50 = 322.6 µM) were the three active compounds among the isolated compounds. In similar DPPH methods, myricitrin 11 was reported to be active, with IC50 values ranging from 2.8 to 165.75 µM [40,41]. The (–)-epicatechin 51 was active with IC50 values ranging from 10.8 to 103.4 µM [42,43]. Similarly, the works by Li et al. [44] and Hong et al. [45] showed that quercitrin 4 had IC50 values of 4.45 and 107.5 µM. Naringenin 42, naringenin-7-O-α-L-arabinofuranose 47, and 2,4-di-t-butylphenol 50 showed poor activity against the DPPH, with undetectable IC50 values at the highest tested concentration of 10 mM. Similarly, this result was also observed for compound 52. Naringenin 42, as well as compounds 47, 49, 50, and 52 performed poorly due to their lack of π-π conjugation OH groups required to donate hydrogen or electrons, which may have led to the possibility of forming radical resonance intermediates [46,47]. Naringenin 42 was also found to have poor activity by Cai et al. [46], where it yielded an IC50 of 2 mM. Isosalipurposide 1 was reported to be moderately active, with an IC50 of 81.9 µM in the DPPH assay [11]. These findings reiterate that IC50 values were considerably variable.
The presence of quercitrin 4 and perhaps naringenin 42 and isosalipurposide 1 (1.52% w/w) in the flower extract was responsible for the activity observed in this extract. The presence of three active antioxidants, namely, (–)-epicatechin 51, quercitrin 4, and myricitrin 11, was reported to be supportive of the activity of the leaf extract. Quercitrin 4 and myricitrin 11 were also found in the leaf extract of Egyptian A. saligna [25]. The potent antioxidant activity of the leaf extract reported by Elansary et al. [13] was extensively supported by many other flavonoids and polyphenols in the extract, as indicated in their HPLC analysis.
Youzbachi et al. [48] should also be mentioned for their investigation into the antioxidant of A. saligna seeds collected in Tunisia. Their methanolic extract displayed scavenging capacity in the DPPH assay, with an average IC50 value of 590 μM of Trolox equivalent antioxidant capacity (TEAC). The GC analysis of the methanolic extract revealed a high content of fatty acids, especially health-promoting fatty acids [reported in % of the total content (101.7 g/kg of dried weight (DW) of seeds], which included linoleic acid 63 (61.11–65.45), and oleic acid 64 (19.67–22.85). Smaller proportions of palmitic 65 (9.18–9.98), stearic 66 (1.49–1.82), vaccenic 67 (1.13–2.05), and palmitoleic 68 (0.34–0.58) acids were also quantified (Figure 5). The phenolic content of the extract was reported to be 1.91 g of gallic acid 25 equivalent kg−1 DW, while the total flavonoid content was shown to be in an average of 0.40 g of rutin 6 equivalent kg−1 DW. In addition, the group used the Kjeldahl assay to estimate the protein content of the seeds. The assay revealed a high content of protein, with an average of 107.2 g kg−1 on DW of seeds. This study did not conduct a detailed chemical analysis of the phenols and flavonoids to allow for further discussion. However, the estimated phenolic and flavonoid contents were evidently linked to the scavenging capacity observed in the seed extract. Notably, markedly high contents of linoleic acid 63 (61.11–65.45%) and oleic acid 64 (19.67–22.85%) were identified in the seed extract. These unsaturated fatty acids are known to benefit cardiovascular health [49].
The antioxidant activities (IC50 values) listed in Table 2 are markedly variable, even from the same plant part. For instance, the extracts of flowers collected in different parts of the world, when applying different extraction conditions, have been shown to have different IC50 values. The main contributor to this variability would be the different chemical compositions in each extract, as shown in Table 2 and the Supplementary Table S1. Although one can observe a few common compounds existing across the extracts, the compositions are variable. This information reiterates that factors, including location, growing conditions, collection season, and extraction methods, could influence the composition of metabolites in the extracts and, hence, the outcome of activities.
Notably, three main groups of compounds were commonly identified (with variable concentrations) across actives extracts listed in Table 2. These are (i) flavonoids—isosalipurposide 1, quercetin 3, kaempferol 22, rutin 6, and naringenin 42; (ii) hydroxycinnamic acids—caffeic acid 35, o-coumaric acid 36, p-coumaric acid 37, and ferulic acid 38; and (iii) benzoic acid 24 and hydroxybenzoic acids such as gallic acid 25, salicylic acid 32, ellagic acid 44, syringic acid 28, and p-hydroxybenzoic acid 31.

3.1.1. Antioxidant Mechanism of Identified Compounds in A. saligna

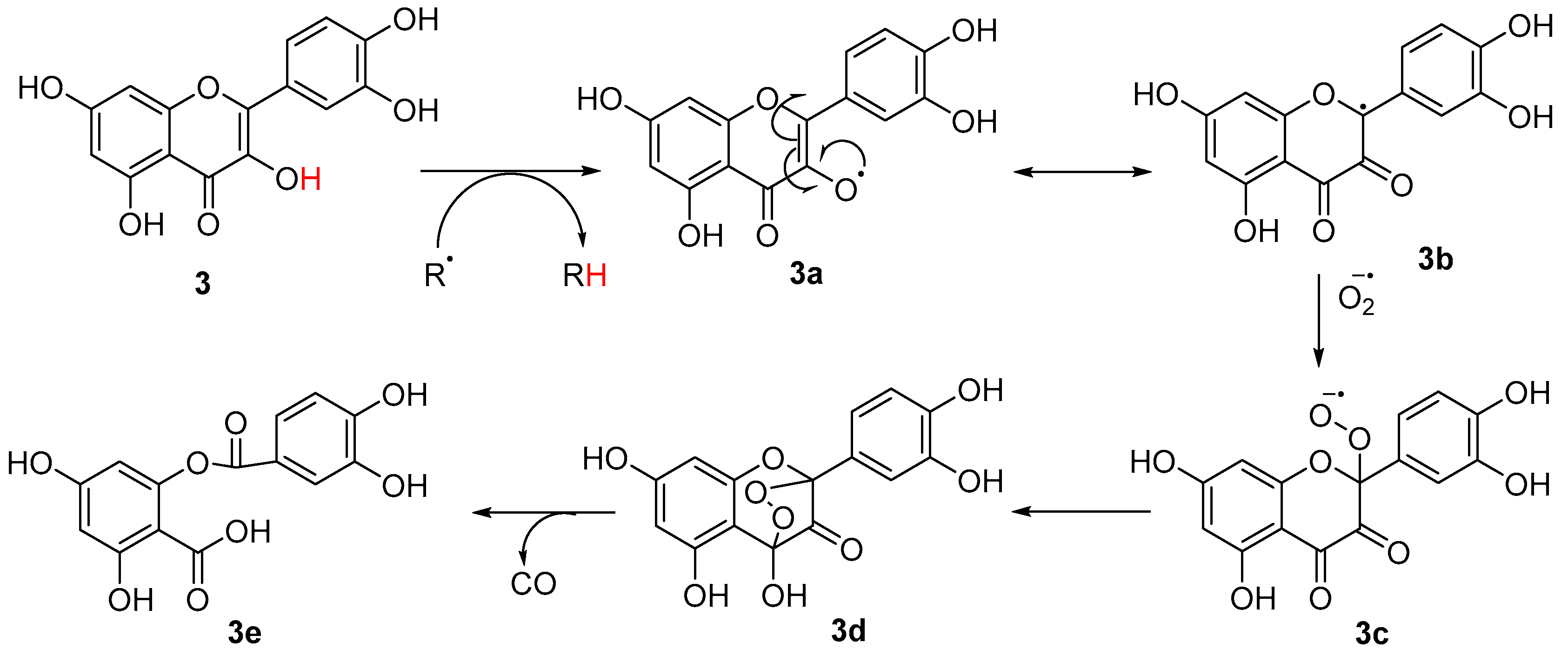
The structural features of the flavonoids and phenolic acids required for antioxidant activity have been extensively investigated [39,46,47,50,51,52]. An antioxidant compound must donate hydrogen or a single electron to a reactive free radical to form an inactive species. When forming a resonance-stabilised radical intermediate that is comparatively more stable than the free radical, it becomes reduced. The overall result is the termination of damaging oxidative chain reactions. An example of the antioxidant mechanism of how flavonoids such as quercetin 3 can terminate the radical chain reaction is shown in Scheme 1 [53,54]. Quercetin 3 can donate a proton and an electron to a free radical (R) from its phenolic (OH) groups to form resonance stabilised 3a3b. The intermediate 3b then reacts with a radical (O2−●) to form 3c, which can undergo ring epoxidation to provide 3d. The decarboxylation of 3d results in the formation of the stable benzoic derivative 3e. The overall process leads to the termination of the damaging radical chain reactions.

3.1.2. SAR of Antioxidants Compounds Identified in A. saligna

For flavonoids, the structure features required for antioxidant activity depend on the number and positions of hydroxyl (OH) groups, as well as other substituents and the glycosylation of the flavonoid nucleus [39]. Three structural features are essential determinants of the radical-scavenging activity of flavonoids: (i) the ortho-dihydroxy structure in the B-ring, (ii) the C2=C3 double bond in conjugation through the flavonoid nucleus, and (ii) the 4-oxo function in the C-ring. Flavonoids form complexes with the metal ions using the 3- or 5-hydroxyl and 4-keto substituents or hydroxyl groups in the ortho position in the B-ring, thus resulting in improved antioxidant efficacy. Studies of rare earth metal-chelated flavonol complexes confirmed that, in stable complex structures, the metal cations were found to chelate to 3-hydroxy and 4-keto sites [55,56,57]. Flavone glycosylation of the flavonoids at the 3- or 7-position diminishes their activity compared to the corresponding aglycones [39,52]. A systematic analysis of the SAR of flavonoid requirements for antioxidant activity is shown in Figure 6.
Hydroxycinnamic acids were shown to have in vitro antioxidant activities against human low-density lipid (LDL) oxidation. The activities of these compounds were ranked as caffeic acid 35 > ferulic acid 38 > p-coumaric acid 37. The presence of the ortho-dihydroxy group in the phenolic ring (as in caffeic acid 35) was suggested for the antioxidant activity of hydroxycinnamic acids toward LDL in vitro oxidation [58]. The radical scavenging activity of these hydroxycinnamic acids follows a similar mechanism to the flavonoids based on their ability to donate hydroxyl hydrogen and/or an electron to form resonance-stabilised intermediates. The scavenging mechanism is supported by (i) the ortho-dihydroxy phenyl configuration, which induces a metal ion chelation similar to that of flavonoids, (ii) the presence of –CH=CH–COOH groups in hydroxycinnamic acids that enhance the H-donating ability, and subsequent radical stabilisation due to the resonance-stabilised structure of α-β-unsaturated carbonyl [50,59].
For phenolic acids (hydroxybenzoic acid), the radical scavenging activity of the phenolic acids depends on the number and position of the hydroxyl (OH) groups and methoxy (–OCH3) substituents on the aromatic ring. The presence of π-π conjugation and para- and ortho-OH or –OCH3 increases the possibility of forming resonance-stabilised intermediates after proton abstraction or electron donation. Benzoic acid shows no radical scavenging capacity (0 mM TEAC) because of its absence of a hydroxy group and the inability to form resonance-stabilised structures in comparison to its hydroxyl derivatives, such as gallic acid 25, methyl gallate 26, syringic acid 28, vanillin 29, protocatechuic acid 30, p-hydroxybenzoic 31, and salicylic acid 32, which have been identified across the antioxidant extracts of A. saligna. These hydroxybenzoic acids have been known to have substantial antioxidant activities. For instance, gallic acid 25 (3,4,5-trihydroxy-benzoic acid) was reported to have the most potent radical scavenging capacity (3.52 mM TEAC) because of the 3,4,5-trihydroxy configuration advantage and potent H-donating ability compared to protocatechuic acid 30 (IC50 = 1.15 mM), syringic 28 (4-OH, 3,5-OCH3, 1.39 mM), vanillic acid 29 (4-OH, 3-OCH3, 0.092 mM), and p-hydroxybenzoic acid 31 (0.03–0.04 mM) [52]. The presence of these compounds, therefore, provided a sufficient phytochemical link regarding the antioxidant activities observed in the extracts from A. saligna.
In summary, the presence of flavonoids, hydroxycinnamic acids, and hydroxybenzoic acids identified across the extracts (Table 2) from various parts of the plant has provided ample support for the antioxidant capacity of these extracts.

3.2. Antibacterial

Several authors evaluated the antibacterial activities of extracts from A. saligna. The aqueous extract of flowers was shown to be active against phytopathogenic bacteria by Al-Huqail et al. [12]. The extract was active against Agrobacterium tumefaciens (MIC = 200 µg/mL), Enterobacter cloacae (MIC = 300 µg/mL), Erwinia amylovora (MIC = 300 µg/mL), and Pectobacterium carotovorum subsp (MIC = 100 µg/mL) (Table 3). The minimum inhibition concentration (MIC) values were lower than the positive control (Tobramycin in 10 µg/disc). HPLC-based analysis of the extract revealed two main phenolic and flavonoid compounds (Table 3). Among these (reported in % w/w of crude extract) were benzoic acid 24 (0.162), p-hydroxybenzoic acid 31 (0.014), syringic acid (0.006), and salicylic acid 32 (0.004). Hydroxycinnamic acids such as o-coumaric acid 36 (0.042), ferulic acid 38 (0.007), caffeic acid 35 (0.003), p-coumaric acid 37 (0.002), ellagic acid 44 (12.17), and catechol 45 (6.54) were also identified. The identified compounds were not isolated to confirm their antibacterial activity in pure form. Different work by the same group showed that pure caffeic acid 35, p-coumaric acid 37, and ferulic acid 38 inhibited the growth of P. carotovorum subsp at concentrations ranges of 800–3200 μg/mL [60].
Benzoic acid 24, p-hydroxybenzoic acid 31, and salicylic acid 32 were reported to completely inhibit E. coli lpxC/tolC strains at a concentration of 1 mg/mL. Furthermore, these benzoic acids were active again in the Gram-positive bacteria S. aureus EP167 strain with 100% inhibition at 1 mg/mL [61]. Benzoic acid 24 and its hydroxyl derivatives were active against Gram-negative bacteria due to their ability to cross the bacteria’s hydrophilic outer membrane and exert their antibacterial properties [62].
Hydroxycinnamic acids such as caffeic acid 35, o-coumaric acid 36, p-coumaric acid 37, and ferulic acid 38 were reported to have broad-spectrum antibacterial activities against Gram-positive and Gram-negative pathogen bacteria, including the Mycobacterium tuberculosis (H37Rv) [63]. For instance, o-coumaric acid 36, p-coumaric acid 37, caffeic acid 35, and ferulic acid 38 were shown to be active against the E. coli 0157:H7 strain with MIC values of 2.74 μM, 2.74 μM, 1.94 mM, and 2.23 mM, respectively [64]. o-Coumaric acid 36 and p-coumaric acid 37 were tested against M. tuberculosis H37Rv and showed MIC values of 122 μM and 244 μM, respectively [65]. o-Coumaric acid 36, p-coumaric acid 37, and caffeic acid 35 were shown to be active against S. aureus #917 with MIC values of 760 μM, 761 μM, and 694 μM, respectively [66].
Ferulic acid 38 was also reported to be active against the pathogens of concern, such as Enterococcus faecalis ATCC 2921 (MIC = 659 uM), Klebsiella pneumoniae RSKK 574 (MIC = 1.3 mM) [67], and Pseudomonas aeruginosa ATCC 10,145 (MIC = 515 μM) [68]. The literature indicates that hydroxycinnamic acids displayed marked antibacterial properties. A possible mechanism for their inhibition of bacterial growth or bactericidal properties is their damage to the bacteria’s cell wall [69]. Ferulic acid 38 and p-coumaric acid 37 were shown to interact with the cell membranes of the bacteria and disrupt the phospholipid or lipid bilayers. The loss of cell membrane integrity resulted in the formation of pores and increasing membrane permeability [70]. In addition, p-coumaric acid 37 was shown to disrupt membrane permeability and create pores in E. coli, S. dysenteriae, and S. Typhimurium [71]. These antibacterial compounds, therefore, sufficiently support the antibacterial activities exerted by the crude extracts of A. saligna.
Elansary et al. [13] were the first to determine which phytochemicals contributed to the antibacterial activities observed in their methanolic leaf extract (Table 3 and Table 4). The extract was shown to inhibit the growth of B. cereus, P. aeruginosa, Listeria monocytogenes, E. coli, Micrococcus flavus, and S. aureus with MIC values of 0.35, 0.37, 0.47, 0.31, 0.41 and 0.30 mg/mL, respectively, compared to the positive control streptomycin (MIC = 0.07–0.15 mg/mL). The extract was also bactericidal against all the tested bacteria, with minimum bactericidal concentration (MBC) values of 0.73, 0.79, 0.99, 0.72, 0.85, and 0.73 mg/mL, respectively (Table 4). HPLC-based analysis of their leaf extract revealed a high content of phytochemicals (reported in % w/w of crude extract, as shown in Supplementary Table S1), which revealed rutin 6 as the main flavonoid in the extract. Pure rutin 6, hyperoside 9, p-coumaric acid 37, quercetin 3, and miquelianin 7 were screened against the tested bacteria alongside the crude methanolic extract, as shown in Table 4. Rutin 6 and p-coumaric acid 37 showed substantial broad-spectrum antibacterial activities against tested bacteria, which were comparable to the positive control streptomycin. In contrast, hyperoside 9, quercetin 3, and miquelianin 7 showed moderate to low antibacterial activities. The antibacterial activities of compounds, especially rutin 6 and p-coumaric acid 37, supported the activity observed in the crude extract. In addition, the flavonoids such as rutin 6, quercetin 3, miquelianin 7, and isoquercetin 8 have been reported to have antibacterial properties [72]. As previously discussed, gallic acid 25 and p-coumaric acid 37 are known antibacterial compounds.
El-Toumy et al. [16] reported the antibacterial activities of their EtOAc leaf extract against Gram-positive bacteria, including S. aureus, Streptococcus pyogens, B. cereus, and B. subtilius with MIC values of 0.41, 0.46, 0.41, and 0.14 μg/mL, respectively. Interestingly, the ethyl acetate leaf extract was much more active against S. aureus and B. cereus than the methanolic leaf extract reported by Elansary et al. (Table 4) [13].
The leaf extract from the El-Toumy group was subjected to pure compound isolation by column chromatography to yield sixteen polyphenolic compounds. The compounds were structurally elucidated by NMR spectral data analysis to mainly provide flavonoids [16]. Among these were (reported in % w/w of crude extract) quercetin 3 (0.025), quercitrin 4 (0.030), quercetin-3-O-arabinoside 5 (0.030), myricetin 10 (0.025), myricitrin 11 (0.034), myricetin-3-O-arabinoside 12 (0.028), myricetin-3-O-glucopyranoside 13 (0.029), (+)-catechin 14 (0.025), 7-O-Galloyl-cathecin 15 (0.029), apigenin 16 (0.002), apigetrin 17 (0.002), luteolin 19 (0.029), cynaroside 20 (0.027), gallic acid 25 (0.027), and methyl gallate 26 (0.030), as shown in Table 3 and Supplementary Table S1.
The work by Gumgumjee et al. [17] on the ethanolic extract of the leaves collected in Saudi Arabia was active against resistant Gram-positive bacteria such as Micrococcus and Methicillin-resistant S. aureus (MRSA) at 200 mg/mL. The most susceptible bacteria were K. pneumonia, MRSA, and B. subtilius. The diameters of the inhibition zones of the extract against these bacterial strains were 29.33 mm, 27.66 mm, 22.66 mm, and 23.33 mm, respectively. The positive control streptomycin inhibition zones against the above bacteria were 25 mm, 20 mm, 19 mm, and 27 mm, respectively. The results indicated the extract was as active as the 10 μg/disc of streptomycin. The extract was also reported to be active against the pathogenic Gram-negative E. coli and P. aeruginosa with inhibition zones of 25.66 mm and 25.66 mm, respectively. The inhibition zones were compared to the positive control 10 μg/disc of streptomycin, which suggested that the activity of the extract against these three Gram-negative bacteria was comparable to streptomycin.
HPLC-based analysis of the active extract showed that it mainly contained hydroxybenzoic acids (reported in % w/w of crude extract) such as gallic acid 25 (0.00543), syringic acid 28 (0.00037), chlorogenic 40 (trace), p-hydroxybenzoic 31 (0.0002), vanillic acid 29 (0.0002), p-coumaric acid 37 (0.00083), and salicylic acid 32 (0.00013). The concentration of gallic acid 25 was the highest, followed by p-coumaric acid 37, syringic 28, and vanillic acid 29. Similar to the works described earlier, these identified compounds are known to have significant broad-spectrum antibacterial activities [63,73] and were, therefore, responsible for the antibacterial activity observed in the crude extracts.

3.2.1. Possible Mechanisms of Action (MOA) of Antibacterial Compounds Identified in A. saligna

Flavonoids’ MOAs for the inhibition or killing of bacteria has been suggested in three modes based on their structures [74]. The MOA of identified antibacterial compounds in A. saligna, such as quercetin 3, kaempferol 22, myricetin 10, and rutin 6, might occur via the destruction of the bacterial cytoplasmic membrane [75] by a perforation mechanism [76], decreasing membrane fluidity [77], or disrupting lipid bilayers and membrane barriers. They could also inhibit energy metabolism [78] by inhibiting NADH cytochrome c reductase. They might also inhibit nucleic acid synthesis [79] by inhibiting the DNA gyrase enzyme.
Other suggested MOAs associated with bacterial resistance include inhibiting biofilm formation and e-flux pumps. For instance, rutin 6 at a 50 μg/mL concentration inhibited the biofilm formation of E. coli, S. aureus [80], and Streptococcus suis at 19.5 μg/mL [81].

3.2.2. SAR of Antibacterial Flavonoids Identified in A. saligna

Comprehensive reviews by Farhadi et al. [82], Shamsudin et al. [83], and studies reported within the reviews revealed that different flavonoid structural configurations could exhibit different antibacterial activities. The SAR suggested that ring A and hydroxy groups at positions C-5 and C-7 were required for antibacterial activity against S. aureus strains (Figure 7) [84]. The presence of hydroxylation (number and position) on the B ring could influence the antimicrobial activities of these compounds, such as quercetin 3 (with 3′,4′-dihydroxy), kaempferol 22 (with 4′-hydroxy), and galangin (without a hydroxy at C-4′), as shown in Figure 8. Kaempferol 22 was found to be the most active inhibitor of E. coli DNA gyrase (MIC = 25 μg/mL), followed by quercetin 3 (MIC = 36 μg/mL), and the least active was galangin (MIC = 53 μg/mL), which demonstrated that 3′-OH decreased activity and emphasised the importance of 4′-OH in the ring B [77]. However, kaempferol 22 (4′-OH) was less active against Gram-positive bacteria than galangin [85].
Xu and Lee [86] investigated 38 plant-derived flavonoids against antibiotic-resistant bacteria such as MRSA, multidrug-resistant Burkholderia cepacian, and vancomycin-resistant enterococci (VRE); they showed that myricetin 10, kaempferol 22, quercetin 3, and luteolin 19 were active against MRSA. In contrast, only myricetin 10 was found to be active on multidrug-resistant B. cepacian and VRE with MIC values of 32 and 128 μg/mL, respectively. The results highlight the importance of 3′,4′, and 5′-OH of ring B against multidrug-resistant bacteria. Furthermore, it was suggested that the C2=C3 double bond could also be necessary for the activity when the activity of quercetin 3 was compared with that of (+)-catechin 14.
The 3-OH in ring C is considered essential for the activity; for instance, quercetin 3 (MIC50 = 36 μg/mL) was found to be more active against E. coli (DNA gyrase inhibition) than luteolin 19 (MIC50 67 μg/mL), which lacks the 3-OH [77]. In addition, the presence of glycosylic at C-3 also significantly improved antibacterial activities compared to the 3-OH counterpart [87].
The antibacterial properties of the identified compounds in Table 3 and their discussed MOA and SAR explain and provide sufficient support for the antibacterial activities observed in the crude extracts of A. saligna.

3.3. Antifungal

In addition to antioxidant and antibacterial properties, the aqueous extract from flowers of A. saligna investigated by Al-Huqail et al. [12] was also shown to have antifungal activities against three phytopathogen fungi, Fusarium culmorum, Rhizoctonia solani, and Penicillium chrysogenum, that are harmful to agriculture (Table 3). At 3% of the extract applied onto the Melia azedarach wood sample, it showed the inhibition of the mycelial growth of F. culmorum, P. chrysogenum, and R. solani, with values of 38.51%, 65.92%, and 41.48%, respectively, compared to the control (10% DMSO). As previously discussed, the HPLC-based analysis of the aqueous extract revealed that benzoic acid 24, caffeine 46, o-coumaric acid 36, quercetin 3, naringenin 42, and kaempferol 22 were the most abundant.
Although screening of these pure identified compounds was not carried out, these identified compounds were reported to have antifungal activities. For instance, benzoic acid 24 and its hydroxyl derivatives are known to protect tomato plants from early blight disease caused by Alternaria solani [51,88]. Benzoic acid 24 and p-hydroxybenzoic acid 31 effectively inhibited the mycelial growth of A. solani with IC50 values of 44.69 and 58.80 ppm, respectively. Furthermore, benzoic acid 24 has been used as a preservative against fungi that cause food spoilage. Furthermore, benzoic acid 24 and its hydroxy derivatives have been known to have broad antifungal activity against soil borne fungi, such as Fusarium sp. [89], and seed-borne pathogens, such as Aspergillus flavus, Penicillium citrinum, and Alternaria alternata [90].
Therefore, benzoic acid 24 and its derivatives in the extract support the observed antifungal activities. The high concentration of benzoic acid 24 indicated the plant’s defence mechanism against fungal infection. Interestingly, benzoic acid 24 was also reported to be produced by the soil bacteria Bacillus licheniformis MH48 as a defensive second metabolite against pathogenic fungal infections, with a minimum inhibitory concentration of 128 mg/mL [88]. The identified flavonoids, such as naringenin 42 [91], quercetin 3, and kaempferol 22 [92,93], are also known natural antifungal compounds. Therefore, their presence would synergistically support the fugal activities observed in this aqueous flower extract.
Gumgumjee et al. [17] investigated the inhibitory activities of their EtOH extract of leaves collected in Saudi Arabia on the growth of fungi known to cause human infections; these were Aspergillus niger, A. fumigatus, A. flavus and C. albican (Table 3). The study was investigated using the disc diffusion method against the four fungi species at 200 mg/mL concentration compared to the positive controls amphotericin and nystatin (10 mg/disc). In decreasing order, the extract was active against the fungi; A. fumigatus> C. albicans> A. flavus> A. niger. The diameters of the inhibition zones of the extract against these fungi strains were 25.67, 23.33, 21.33, and 20.00 mm, respectively, compared to the average inhibition zones of amphotericin and nystatin of 27.00 and 29.75 mm, respectively. The results indicated that the antifungal activities of the extract at 200 mg/mL were slightly less than amphotericin at 10 mg.
Elansary et al. [13] also screened their methanolic extract of leaves collected in Saudi Arabia against common pathogenic fungi such as A. ochraceus, A. niger, A. flavus, C. albicans, P. ochrochloron, and P. funiculosum with antifungal ketoconazole as the positive control (Table 5). The extract was active against the fungi in decreasing order: A. flavus> A. ochraceus > P. funiculosum > P. ochrochloron > A. niger> C. albicans. MIC values of the extract against these fungi strains were 0.30, 0.38, 0.43, 0.44, 0.48, and 0.58 mg/mL, respectively (Table 5). The extract was most active against A. flavus with an MIC value of 0.33 mg/mL compared to the positive control ketoconazole (MIC of 0.20 mg/mL).
The leaf extract was also fungicidal across the tested fungi, with MFC values ranging from 0.91 to 1.42 mg/mL (Table 5). The identified pure compounds, such as rutin 6, hyperoside 9, miquelianin7, and p-coumaric acid 37, were also screened. These compounds showed potent antifungal activities against all tested fungi, which were comparable to the positive control ketoconazole (MIC 0.10–2.05 mg/mL). As previously mentioned, rutin 6, hyperoside 9, gallic acid 25, miquelianin 7, isoquercetin 8, p-coumaric 37, and quercetin 3 were the main compounds detected in the HPLC-based analysis of the extract [13]. However, gallic acid 25 and isoquercetin 8 were not screened in the assay. Nevertheless, gallic acid 25 was reported to inhibit the growth of A. solani [51,88] and has been suggested as a green fungicide [94].
In addition, these identified compounds have been shown to have antifungal activities elsewhere against various phytopathogen fungi. For instance, rutin 6 and quercetin 3 were active against C. albicans [72,95]. Hyperoside 9 has been reported to be active against Alternaria alternata, Pestalotia guepinii, Fusarium avenaceum, Drechslera sp., and Epicoccum nigrum [96]. p-Coumaric acid 37 was reported to be active against Botrytis cinnerrea [97]. These phytochemicals identified by Elansary et al. [13] in their methanolic leaf extract (Table 3) would be synergistically responsible for the observed fungal activity.
The antifungal activities found in the methanolic leaf extract by Elansary et al. [13] were slightly different concerning the activity order compared to the ethanolic leaf extract investigated by Gumgumjee et al. [17]. Interestingly, the leaves used in both studies were collected in the same region (Saudi Arabia). However, the compositions of the identified compounds in the alcoholic extracts were markedly different (Table 3 and Supplementary Table S1). For instance, Gumgumjee et al. [17] mainly reported hydroxybenzoic acids and hydroxycinnamic acids in their extract. In contrast, the identified compounds in the extract of the Elansary group [13] were mainly flavonoids. The two common compounds between these leaf extracts were gallic acid 25 and p-coumaric acid 37. Although these results cannot be directly compared, it is interesting to note that there is a similar trend in order of activity against A. flavus and A. niger.
The ethanolic extract of the bark collected in Egypt was reported by Salem et al. [18] to have fungicidal properties against six Fusarium oxysporum strains isolated from different plant hosts (Table 3). The MIC values observed across the six F. oxysporum were 64–125 μg/mL, compared to the activity of the reference fungicide carbendazim (MIC 5–10 μg/mL). HPLC analysis of this bark extract revealed the presence of (reported in % w/w of crude extract) gallic acid 25 (0.0255) and benzoic acid 24 (0.0158) as the two major compounds. Other identified compounds were caffeine 46 (0.0107), chlorogenic acid 40 (0.0104), vanillin 29 (0.0067), caffeic acid 35 (0.0054), rosmarinic acid 39 (0.0054), ferulic acid 38 (0.0042), quercetin 3 (0.0037), rutin 6 (0.0016) o-coumaric acid 36 (0.0011), kaempferol 22 (0.001), and p-coumaric acid 27 (0.0008).
In summary, among the four antifungal extracts (Table 3), it is interesting to note that the dominant compounds were gallic acid 25 and benzoic acid 24. Gallic acid 25 was found in the leaf, while benzoic acid 24 was only found in the flower extracts. As previously discussed, these two compounds are known antifungals. The three identified flavonoids, quercetin 3, rutin 6, and kaempferol 22, were commonly found between the leaf and flower extracts (Table 3). It is essential to note that the wide variety of cinnamic acids also contributed to the observed antifungal activities of the extracts.

3.4. Inhibition of α-Glucosidase Enzyme

Although many research groups have reported the potent antioxidant properties of A. saligna, the plant’s antidiabetic property is under investigation. Diabetic disorders such as type 2 diabetes (T2D) are driven by metabolic abnormalities connected to obesity and impaired insulin response, together with the rise of hepatic glucose production, thus ultimately disrupting glucose homeostasis [98,99]. Previous studies have shown that compounds with antioxidant activity can improve glycaemic control in animal models of T2D [100]. Furthermore, one known therapy for T2D is the inhibition of key digestive enzymes related to diabetes, namely, human α-amylase and α-glucosidase and their inhibitors, such as acarbose, voglibose, and miglitol. These synthetic inhibitors have been known to have adverse side effects, namely, hepatotoxicity and gastrointestinal symptoms [101]. It would be beneficial to find safer and more affordable alternatives. Studies have revealed that the inhibition of α-glucosidase enzyme and antioxidant activity could be achieved using natural products such as flavonoids [102].
Buttner et al. [19] recently reported the yeast α-glucosidase and porcine pancreatic α-amylase inhibitory activities of their ethanolic bark and leaf extracts from A. saligna harvested in South Africa. The leaf extract showed inhibition against α-glucosidase and α-amylase with IC50 values of 2.35 µg/mL and 10.45 µg/mL, respectively. The IC50 of the bark extract against α-glucosidase was 3.64 µg/mL, which was relatively similar to that of the leaf extract. In comparison, the activity of the bark extract against α-amylase was weaker than that of the leaves (IC50 = 17.67 µg/mL). The IC50 values of all extracts were much lower than the positive control acarbose (IC50 = 330.71 µg/mL). Only Folin–Ciocâlteu reagent analysis was carried out on these active extracts, and they were shown to have high flavonoid and phenolic contents. As indicated in the earlier sections (Table 2 and Table 3), various compounds such as quercetin 3, rutin 6, miquelianin 7, isoquercetin 8, hyperoside 9, gallic acid 25, and p-coumaric acid 37 were identified in the crude leaf extracts of A. saligna harvested in Egypt [13]. HPLC-based analysis of the bark extract carried out by Salem et al. [18] revealed the presence of quercetin 3, rutin 6, kaempferol 22, benzoic acid 24, gallic acid 25, vanillin 29, caffeic acid 35, o-coumaric acid 36, p-coumaric acid 37, ferulic acid 38, rosmarinic acid 39, chlorogenic acid 40, and caffeine 46. These compounds might also be present in the bark and leaf extracts investigated by Buttner et al. [19].
Recent work by our group reported that the methanolic extracts were obtained via a sequential polar-based extract from the flowers, leaves, and bark of A. saligna collected in Australia. The methanolic extracts were active against yeast α-glucosidase compared to their non-polar counterpart. The methanolic bark extract showed superior α-glucosidase inhibitory activity (IC50 4.373 µg/mL) compared to acarbose (IC50 = 254 µg/mL) (Table 6) [26]. This value was comparable with the inhibitory activity of crude ethanolic bark and leaf extracts of the South African A. saligna [19].
Although the yeast enzyme was commonly used as an in vitro initial screening of medicinal plants for their α-glucosidase inhibitory activities due to the commercial availability of the enzyme, it is essential to note that an inhibitor, for instance, acarbose, was reported to exert more inhibitory activity against mammalian α-glucosidase enzymes than the yeast enzyme. Furthermore, Pacillia et al. [103] reported that naringenin 42 displayed an effective inhibition against the yeast enzyme (IC50 = 6.51 μM). However, when tested on the rat intestinal glucosidase, it was poorly active (IC50 = 384 μM). Therefore, the mammalian enzymes from rats or from humans should be considered when discovering candidates for human application.
The yeast α-glucosidase inhibitory activities of isolated compounds from the three active extracts were determined using the same procedure for the extracts. The IC50 values of isolated compounds are shown in Table 6. (–)-Epicatechin 51 (IC50 = 63.58 μM), D-(+)-pinitol 48 (IC50 = 74.69 μM), naringenin 42 (IC50 = 89.71 μM), isosalipurposide 1 (IC50 = 116.5 μM), (–)-pinitol 49 (IC50 = 164.2 ± 8.362 μM), and quercitrin 4 (IC50 = 177.3 ± 11.34 μM) inhibited the enzymes better than compounds 47, 50, 11, and the positive control acarbose. Notably, D-(+)-pinitol 48 was a potent inhibitor that was two times more active than its enantiomer (–)-pinitol 49.
D-(+)-Pinitol 48 has been used as a natural health supplement to provide therapeutic benefits in treating T2D. It is also a natural antidiabetic agent and insulin regulator with anti-inflammatory [104] and hepatoprotective [105] activities. In an animal model of diabetes, D-(+)-pinitol 48 has been described as an antidiabetic agent with an insulin-like effect that can enhance insulin activity by translocating the GLUT-4 in the mice’s skeletal muscles [106,107]. It was demonstrated in animal and clinical studies that D-(+)-pinitol 48 effectively regulated hyperglycemia and prevented insulin resistance. The mechanism of action of D-(+)-pinitol 48 was explained via its ability [108] (i) to protect the pancreas against diabetes-induced oxidative stress because of its antioxidation property [104]; (ii) to overcome insulin resistance by modulating the PI3kt/Akt signalling pathway in a rat model [109]; and (iii) to increase glucose-induced insulin secretion by reducing the expression of the subunit alpha of AMP-activated protein kinase (AMPK-α) that protected against triglyceride deposition in the liver [110]. The inhibitory activity of D-(+)-pinitol 48 against α-glucosidase would provide an additional therapeutic benefit to combat T2D.
Studies have revealed that the inhibition of the α-glucosidase enzyme could be achieved using flavonoids [102]. Proença et al. [111] reported the α-glucosidase inhibitory activity of flavonoids, particularly those identified in A. saligna. Quercetin 3, kaempferol 22, and luteolin 16 were found to have IC50 values of 15, 32m and 46 µM, respectively, compared to the positive control acarbose (IC50 = 607 µM). At the same time, rutin 6 and naringenin 42 were found to inhibit the enzyme activity by <20% and 45% at 200 µM (the highest tested concentration). Another group showed that myricetin 10, quercetin 3, kaempferol 22, luteolin 16, and naringin 42 inhibited the enzyme with IC50 values of 5, 7, 12, 21, and 75 µM, respectively [112]. Myricetin 10 was active with an IC50 of 4.48 µM compared to the positive control acarbose (304 µM) [113]. Kaempferol 22 has also been shown to inhibit the enzyme with an IC50 value of 77.42 μM [102].

SAR of Flavonoids Required for the α-Glucosidase Inhibition

SAR investigation of flavonoids carried out by Proença et al. [111] suggested that flavonoids with two phenolic groups at the A or B ring and a hydroxy group at C-3 possessed the highest α-glucosidase inhibitory activity. He et al. [114] and Şöhretoğlu et al. [102] further reiterated that the number of phenolic groups on ring B was vital for the activity. A free hydroxyl group at C-4′ was crucial for α-glucosidase inhibition. An additional hydroxy group at C-3′ and C-5′ generally increased the effect (Figure 9).
The double bond C2=C3 and a free hydroxyl group at C-4′ were crucial for α-glucosidase inhibition. The hydroxylation of flavonoids generally increased the effect, though the effects of an additional hydroxyl group at C-3′ were debatable.
Adding a sugar moiety to aglycon usually reduced the inhibitory effect; however, further phenolic acid substitutions to these sugar units restored the inhibitory effect. Based on structure-based molecular modelling studies, it is possible to conclude that hydroxyl groups at C-5 and C-7 positions, the carbonyl oxygen at the C-4 position, and hydroxyl groups in ring B were among the suggested key groups to enhance binding to the enzyme through H-bonds. Their docking study indicated that the B ring of the flavonoids located deep inside the active side of the enzyme and the presence of the phenolics significantly improved interaction via hydrogen bonding. On the other hand, bulky flavonoid glycosides showed poor inhibition due to their inability to access the binding pocket.

3.5. Anti-Inflammation

Investigation of the n-butanol extract from the shoots of A. saligna collected in Egypt was investigated for its anti-inflammation potential in the rat model of acetic acid-induced ulcerative colitis (UC) [115]. The specific application is an alternative to corticosteroids and 5-aminosalicylic acid, which are commonly used to treat inflammatory bowel diseases (IBD) and UC. Nano-formulation of the n-butanolic extract as silver nanoparticles (Ag-NPs) was also investigated. The extract and nano-formulation form showed the protection of colon tissue from inflammation, ulceration, wall thickening, necrosis, and gangrenous changes in colon tissue. Treatment of the extract also reduced Cyclooxygenase-2 (COX-2), Prostaglandin E2 (PGE2), and Interleukin-1 (IL-1β) levels in the inflamed colon induced by acetic acid. The nano-formulation of the extract appeared to perform better than the n-butanolic extract in protecting tissue against inflammation and was comparable to the reference drug dexamethasone. The nano-extract restored metabolite (lactic acid, fructose, and pyroglutamic acid) levels to normal, thus suggesting that cytokine levels were regulated by the nano-extract in UC.
Six flavonoids and nine phenolic compounds were identified in the extract. They were naringenin 42, taxifolin 41, (+)-catechin 14, quercetin 3, rutin 6, kaempferol 22, gallic acid 25, methyl gallate 26, syringic acid 28, cinnamic acid 34, ferulic acid 38, coumaric acid 37, caffeic acid 35, ellagic acid 44, and chlorogenic acid 40. Although the compounds were not screened for their specific inhibitory activities, naringenin 42, taxifolin 41, (+)-catechin 14, quercetin 3, rutin 6, and kaempferol 22 were known to have antioxidant and anti-inflammatory activities [116]; their therapeutic activities have been considered to be beneficial for the treatment of BID [117]. Mainly, naringenin 42, quercetin 3, and kaempferol 22 have been known to inhibit COX-2, IL-1β and nuclear factor kappa-B (NF-κB) activities [118,119,120]. Rutin 6 is capable of down-regulating COX-2 and NF-κB activities [121,122,123]. The literature has provided ample evidence to indicate that the identified flavonoids in the extract are responsible for inhibiting inflammatory biomarkers of PGE2, COX-2, and IL-1β in ulcerative colitis in a rat model induced by acetic acid [115]. The authors also suggested that loading bioactive extracts in nanoparticles was one of the strategies to enhance the extract’s efficacy via increasing the active compounds’ biostability and absorption in the tissues [124]. The anti-ulcer effect of the extract and its nano-formulation in the rat model highlighted the potential of A. saligna and its identified compounds as new therapeutics for acute colitis.

3.6. Anticancer

Elansary et al. [13] screened their methanolic leaf extracts and identified compounds (Table 5) against cancerous cell lines such as colon adenocarcinoma (HT-29), cervical adenocarcinoma (HeLa), breast adenocarcinoma cultures (MCF-7), and human T-cell lymphoblasts (Jurkat) in the 3-(4,5-dimethylthiazol-2-yl)-2,5-diphenyl-tetrazolium bromide (MTT) assay. The results indicated that the extract showed strong antiproliferative effects against the tested cell lines with the most potent activity against HeLa (IC50 = 33 μg/mL) > HT-29 (IC50 = 36 μg/mL) > MCF-7 (IC50 = 59 μg/mL) > Jurkat (IC50 = 62 μg/mL). The identified compounds also exhibited antiproliferative activities against the tested cell lines in the extract. For instance, rutin 6, hyperoside 9, quercetin 3, miquelianin 7, and p-coumaric acid 37 showed inhibition of HeLa with IC50 values 4, 7, 5, 5, and 7 μg/mL, respectively, compared to the positive control vinblastine sulphate (IC50 = 2 μg/mL). The author suggested that the observed cytotoxic effects in the crude extract was due to rutin 6, hyperoside 9, quercetin 3, quercertin-3-glucuronide 7, and p-coumaric acid 37. Both rutin 6 and hyperoside 9 have been known to have antiproliferative and cytotoxic properties against cancer cells [72,125,126].
Gedara et al. [25] reported the cytotoxic activity of isolated compounds from the methanolic leaf extract against liver cancer cells (HEPG2) in a sulphorhodamine B staining method [127]. The study used adriamycin as a positive control (IC50 = 0.54 mg/mL). Spirostane saponin 55 inhibited cell growth with an IC50 of 2.8 μg/mL, while erythrodiol 53 (IC50 = 11 μg/mL) and 54 showed moderate activities (IC50 = 11.2 μg/mL) (Figure 3). On the other hand, flavonoid glycosides such as myricitrin 11, quercitrin 4, and biflavonoid 33 (Figure 2) exhibited weak cytotoxic activities with IC50 values of 14, 17.2, and 17.8 μg/mL, respectively.

4. Toxicity of Bioactive Extracts and Their Safety

To apply the extracts in drug development, the crude extracts must be non-toxic towards non-cancerous mammalian cells. Elansary et al. [13] reported the non-toxic activity of their crude methanolic extract of A. saligna leaves from Saudi Arabia against HEK-293 (non-cancerous human embryonic kidney cells). Their MTT assays revealed no significant toxicity against HEK-293 cells at the highest tested concentration of 400 μg/mL. Buttner et al. [19] also reported the non-toxicity of their leaf and bark extracts of A. saligna from Saudi Arabia against human colorectal adenocarcinoma (Caco-2) cells at the highest tested concentration of 300 mg/mL, wherein they used the Hoechst 33,342 and propidium iodide dual staining method. Our recent work on methanolic extracts from flowers, leaves and bark collected in Australia revealed that these extracts showed no toxicity against 3T3-L1 adipocytes at 200 μg/mL after incubation for 72 h in an MTT assay [26]. The 3T3-L1 adipocytes were used in this study because they are the ideal cell model suitable for investigating the antidiabetic activities of A. saligna. The cell line provides an excellent model of white adipose tissue to investigate glucose uptake, lipogenesis, and glycogen synthesis under an insulin-resistant state [128]. These findings have highlighted the non-toxicity potential of A. saligna.
This review has highlighted in vitro bioactivities of A. saligna’s extracts and isolated compounds. Although the non-toxicity of the plant extracts in cell-based has been discussed here, various critical issues such as drug safety, effectiveness, and suitable administration must be first addressed before the plant can be suitable for clinical applications. The process would involve preclinical and clinical trials to determine the toxicity, drug metabolism, formulation, and stability of the plant’s extracts.
Nevertheless, some identified flavonoids in the extracts have been used as health supplements. The extract comprises a mixture of compounds, including those reported in the literature and others yet to be identified. If these phytochemicals can have synergetic effects against the targets, leading to therapeutic outcomes without side effects. In contrast, the interactions of compounds could also lead to adverse side effects. Hence their safety and effectiveness need to be cautiously investigated. At this point, we consider that the extracts from A. saligna are valuable and suitable for further investigation into investigations of its potential for treating inflammation, diabetes, and metabolic-related diseases.

5. Conclusions

Antioxidant, antimicrobial, anticancer, α-glucosidase inhibition, and anti-inflammatory activities of A. saligna have been summarised. Benzoic acids, cinnamic acids, and flavonoids were the most frequently documented active phytochemicals from A. saligna extracts. Other compounds, such as unsaturated fatty acids, saponins, and pinitols, were minor but equally had high therapeutic potential. The compositions and quantities of identified compounds varied depending on the plant parts, geographic origins (growing conditions), extraction solvents, and analytic methods. The differences in chemical compositions reflected the variability of biological activities exhibited by extracts, even in a similar assay. The biological activities of these identified compounds provided ample support for the activities exerted by the extracts.
The SAR of identified compounds revealed critical structural features required for their bioactivities. For instance, these include the structural features required of flavonoids for antioxidant activities depended on the number and positions of hydroxyl (OH) groups and other substituents and the glycosylation of the flavonoid nucleus. The hydroxyl groups were vital for the proton and electron transfer reaction in the scavenging of free radicals; the formation of non-covalent interactions in antibacterial, antifungal, and α-glucosidase inhibition; and the induction of anticancer and anti-inflammatory cell signalling pathways. The conjugated C=C of flavonoids, hydroxybenzoic, and cinnamic acids were essential for electron delocalisation and the formation of resonance-stabilised intermediates. These structural features could interact with key amino acid residues at the active site of α-glucosidase. Depending on the position, glycoside substituents might increase activity at one target while decreasing activity at others due to its bulky structure related to steric hindrance.
Furthermore, extracts of A. saligna are selectively cytotoxic against cancerous cells while being non-toxic towards non-cancerous mammalian cells. The links between the biological effects, possible MAO, and SAR of the phytochemicals identified in A. saligna explain the observed bioactivities in the crude extracts and could help provide valuable insights towards future research and development of new therapeutics from this plant.

Supplementary Materials

The following supporting information can be downloaded at: https://www.mdpi.com/article/10.3390/molecules28114396/s1, Table S1. Summary of reported phytochemicals from various parts of A. saligna.

Author Contributions

Conceptualisation, A.T.U.; methodology, A.T.U. and A.P.A.; validation, A.T.U.; formal analysis, A.T.U. and A.P.A.; data curation, A.T.U. and A.P.A.; writing—original draft preparation, A.T.U. and A.P.A.; review and editing, A.T.U. All authors have read and agreed to the published version of the manuscript.

Funding

This research was funded by the Ministry of Religious Affairs and Indonesian Endowment Funds for Education: SK Dirjen Diktis No. 5379/2019.

Institutional Review Board Statement

Not applicable.

Informed Consent Statement

Not applicable.

Data Availability Statement

Not applicable.

Acknowledgments

A.P.A. gratefully acknowledges The Ministry of Religious Affairs and the Indonesian Endowment Funds for Education for providing the scholarship. A.P.A. would like to thank the University of Technology Sydney for the Research Training Program. A.P.A. also thanks the Faculty of Science and Technology, Universitas Islam Negeri Ar-Raniry, for supporting his PhD study at UTS. The authors thank the University of Technology of Sydney for supporting this study. We thank Anchalee Prasansuklab for providing constructive feedback on the manuscript. We also thank Hugh Hiscocks for proofreading the manuscript.

Conflicts of Interest

The authors declare no conflict of interest.

Abbreviations

ABTS2,2′-Azino-bis-(3-ethylbenzothiazoline-6-sulphonic acid)
Ag-NPsSilver nanoparticles
AMPKAdenosine-monophosphate-activated protein kinase
ATCCAmerican-type culture collection
BHTButylated hydroxytoluene
COX-2Cyclooxygenase-2
DMSODimethylsulfoxide
DCMDichloromethane
DNADeoxyribonucleic acid
DPPH2,2-Diphenyl-1-picrylhydrazyl
DWDried weight
EtOAcEthyl acetate
EtOHEthanol
GC-FIDGas chromatography with flame ionisation detection
GC-MSGas chromatography coupled with mass spectrometry
GLUT-4Glucose transporter type 4
H. L. Wendl.Heinrich Ludolph (Ludwig) Wendlan
HPLCHigh-performance liquid chromatography
HPLC-DADHPLC–photodiode array detection
HPLC-VWDHPLC-variable wavelength detector
IBDInflammatory bowel diseases
IC50Half-maximal inhibitory concentration
IL-1bInterleukin-1
LDLLow-density lipid
MBCMinimum bactericidal concentration
MFCMinimum fungicidal concentration
MICMinimum inhibition concentration
MOAMechanism of action
MRSAMethicillin-resistant Staphylococcus aureus
MTT3-(4,5-Dimethylthiazol-2-yl)-2,5-diphenyl-tetrazolium bromide
NADHNicotinamide adenine dinucleotide H
NF-kBNuclear factor kappa B
NMRNuclear magnetic resonance
PGE2Prostaglandin E2
PI3ktphosphatidylinositol 3-kinase
Aktserine/threonine kinase or serine/threonine kinase (PKB)
SARStructure-activity relationships
T2DType 2 diabetes
TEACTrolox equivalent antioxidant capacity
UCUlcerative colitis
VREVancomycin-resistant enterococci

References

  1. Maslin, B.; Miller, J.; Seigler, D. Overview of the generic status of Acacia (Leguminosae: Mimosoideae). Aust. Syst. Bot. 2003, 16, 1–18. [Google Scholar] [CrossRef]
  2. Wickens, K.; Pennacchio, M. A search for novel biologically active compounds in the phyllodes of Acacia species. Conserv. Sci. West. Aust. 2002, 4, 139–153. [Google Scholar]
  3. Subhan, N. Phytochemical and Pharmacological Investigations of Australian Acacia: An Ethnomedicine-Guided Bioprospective Approach. Ph.D. Thesis, Charles Sturt University, Bathurst, Australia, 2016. [Google Scholar]
  4. Cock, I.E. Medicinal and aromatic plants–Australia. In Ethnopharmacology Section, Biological, Physiological and Health Sciences; Encyclopedia of Life Surpport Systems (EOLSS): Queensland, Australia, 2011. [Google Scholar]
  5. Williams, C. Medicinal Plants in Australia Volume 2: Gums, Resins, Tannin and Essential Oils; Rosenberg Publishing: Kenthurst, Australia, 2011; Volume 2. [Google Scholar]
  6. Saini, M.L.; Saini, R.; Roy, S.; Kumar, A. Comparative pharmacognostical and antimicrobial studies of Acacia species (Mimosaceae). J. Med. Plants Res. 2008, 2, 378–386. [Google Scholar]
  7. Batiha, G.E.-S.; Akhtar, N.; Alsayegh, A.A.; Abusudah, W.F.; Almohmadi, N.H.; Shaheen, H.M.; Singh, T.G.; De Waard, M. Bioactive Compounds, Pharmacological Actions, and Pharmacokinetics of Genus Acacia. Molecules 2022, 27, 7340. [Google Scholar] [CrossRef] [PubMed]
  8. Millar, M.A. Acacia Saligna as a Sustainable Agroforestry Crop for Southern Australia: A Genetic Assessment. Ph.D. Thesis, The University of Adelaide, Adelaide, Australia, 2008. [Google Scholar]
  9. Orchard, A.E.; Wilson, A.G. Flora of Australia: Mimosaceae, Acacia Part 2; CSIRO Melbourne: Clayton, Australia, 2001; Volume 11B, p. 475. [Google Scholar]
  10. Maslin, B.R. Studies in the genus Acacia 3: The taxonomy of A. saligna (Labill.) H. Wendl. Nuytsia 1974, 1, 332–340. [Google Scholar] [CrossRef]
  11. Ghribia, L.; Ghouilaa, H.; Omrib, A.; Besbesb, M.; Janneta, H.B. Antioxidant and anti–acetylcholinesterase activities of extracts and secondary metabolites from Acacia cyanophylla. Asian Pac. J. Trop. Biomed. 2014, 4, S417–S423. [Google Scholar] [CrossRef]
  12. Al-Huqail, A.A.; Behiry, S.I.; Salem, M.Z.; Ali, H.M.; Siddiqui, M.H.; Salem, A.Z. Antifungal, antibacterial, and antioxidant activities of Acacia saligna (Labill.) HL Wendl. flower extract: HPLC analysis of phenolic and flavonoid compounds. Molecules 2019, 24, 700. [Google Scholar] [CrossRef]
  13. Elansary, H.O.; Szopa, A.; Kubica, P.; Ekiert, H.; Al-Mana, F.; Al-Yafrsi, M.A. Antioxidant and biological activities of Acacia saligna and Lawsonia inermis natural populations. Plants 2020, 9, 908. [Google Scholar] [CrossRef]
  14. El Ayeb-Zakhama, A.; Sakka-Rouis, L.; Bergaoui, A.; Flamini, G.; Ben Jannet, H.; Harzallah-Skhiri, F. Chemical composition and allelopathic potential of essential oils obtained from Acacia cyanophylla Lindl. cultivated in Tunisia. Chem. Biodivers. 2015, 12, 615–626. [Google Scholar] [CrossRef]
  15. Jeddi, K.; Mnif Fakhfakh, L.; Siddique, K.H.; Hessini, K.; Chaieb, M. Effect of Acacia saligna (Labill.) Wendl. extracts on seed germination and seedling performance of three native Mediterranean shrubs. Bot. Lett. 2022, 169, 51–60. [Google Scholar] [CrossRef]
  16. El-Toumy, S.A.; Salib, J.; Mohamed, W.; Morsy, F. Phytochemical and antimicrobial studies on Acacia saligna leaves. Egypt. J. Chem. 2010, 53, 705–717. [Google Scholar]
  17. Gumgumjee, N.; Hajar, A. Antimicrobial efficacy of Acacia saligna (Labill.) HL Wendl. and Cordia sinensis Lam. leaves extracts against some pathogenic microorganisms. Int. J. Microbiol. Immunol. Res 2015, 3, 51–57. [Google Scholar]
  18. Salem, M.Z.; Mohamed, A.A.; Ali, H.M.; Al Farraj, D.A. Characterization of phytoconstituents from alcoholic extracts of four woody species and their potential uses for management of six Fusarium oxysporum isolates identified from some plant hosts. Plants 2021, 10, 1325. [Google Scholar] [CrossRef] [PubMed]
  19. Buttner, D.H.; Reddy, S.; Koekemoer, T.; van de Venter, M. An in vitro assessment of the potential antidiabetic activity and cytotoxic effects of ethanolic and aqueous extracts from three invasive Australian acacias. S. Afr. J. Bot. 2021, 141, 1–11. [Google Scholar] [CrossRef]
  20. Shaer, E. Utilization of Acacia saligna as livestock fodder in arid and semi-arid areas in Egypt. Cah. Options Mediterr. 2000, 45, 213–217. [Google Scholar]
  21. Mousa, M. Effect of feeding acacia as supplements on the nutrient digestion, growth performance, carcass traits and some blood constituents of Awassi lambs under the conditions of North Sinai. Asian J. Anim. Sci. 2011, 5, 102–117. [Google Scholar] [CrossRef]
  22. Gebru, G.; Tesfay, Y. Utilization of wheat bran and dried Acacia saligna (Labill) HL Wendl leaves by highland rams. Afr. J. Agric. Res. 2017, 12, 1286–1292. [Google Scholar]
  23. WHO. World Health Statistics 2022: Monitoring Health for the SDGs, Sustainable Development Goals; WHO: Geneva, Switzerland, 2022. [Google Scholar]
  24. WHO. Invisible Numbers: The True Extent of Noncommunicable Diseases and What to Do about Them; WHO: Geneva, Switzerland, 2022. [Google Scholar]
  25. Gedara, S.R.; Galala, A.A. New cytotoxic spirostane saponin and biflavonoid glycoside from the leaves of Acacia saligna (Labill.) HL Wendl. Nat. Prod. Res. 2014, 28, 324–329. [Google Scholar] [CrossRef]
  26. Asmara, A.P.; Prasansuklab, A.; Tencomnao, T.; Ung, A.T. Identification of Phytochemicals in Bioactive Extracts of Acacia saligna Growing in Australia. Molecules 2023, 28, 1028. [Google Scholar] [CrossRef]
  27. El Sissi, H.; El Sherbeiny, A. The flavanoid components of the leaves of Acacia saligna. Qual. Plant. Mater. Veg. 1967, 14, 257–266. [Google Scholar] [CrossRef]
  28. Guneidy, R.A.; Amer, M.A.; Hakim, A.E.E.; Abdel-Shafy, S.; Allam, S.A. Effect of polyphenols extracted from Punica granatum and Acacia saligna plants on glutathione S-transferase of the cattle tick Rhipicephalus (Boophilus) annulatus (Acari: Ixodidae). J. Parasit. Dis. 2021, 45, 524–538. [Google Scholar] [CrossRef]
  29. El-Toumy, S. Flavonoids from Acacia saligna leaves and Evaluation of Antihyperglycaemic Effect of Aqueous Extract. Planta Med. 2006, 72, P_004. [Google Scholar] [CrossRef]
  30. Verma, N.S. Impact of various factors responsible for fluctuation in plant secondary metabolites. J. Appl. Res. Med. Aromat. Plants 2015, 2, 105–113. [Google Scholar] [CrossRef]
  31. Streeter, J.G.; Lohnes, D.G.; Fioritto, R.J. Patterns of pinitol accumulation in soybean plants and relationships to drought tolerance. Plant Cell Environ. 2001, 24, 429–438. [Google Scholar] [CrossRef]
  32. Almazroui, M.N.I.; Nazrul Islam, M.; Athar, H.; Jones, P.D.; Rahman, M.A. Recent climate change in the Arabian Peninsula: Annual rainfall and temperature analysis of Saudi Arabia for 1978–2009. Int. J. Climatol. 2012, 32, 953–966. [Google Scholar] [CrossRef]
  33. Alghamdi, A.G.; Aly, A.A.; Majrashi, M.A.; Ibrahim, H.M. Impact of climate change on hydrochemical properties and quality of groundwater for domestic and irrigation purposes in arid environment: A case study of Al-Baha region, Saudi Arabia. Environ. Earth Sci. 2023, 82, 39–56. [Google Scholar] [CrossRef]
  34. Bahnasy, M.I.; Khamis, M.H. Distribution pattern of trees diversity in Orman Botanical Garden. Middle East J. Agric. Res 2019, 8, 1–11. [Google Scholar]
  35. Okba, S.K.; Mazrou, Y.; Mikhael, G.B.; Farag, M.E.; Alam-Eldein, S.M. Magnetized Water and Proline to Boost the Growth, Productivity and Fruit Quality of ‘Taifi’Pomegranate Subjected to Deficit Irrigation in Saline Clay Soils of Semi-Arid Egypt. Horticulturae 2022, 8, 564. [Google Scholar] [CrossRef]
  36. Chapman, J.M.; Muhlemann, J.K.; Gayomba, S.R.; Muday, G.K. RBOH-dependent ROS synthesis and ROS scavenging by plant specialized metabolites to modulate plant development and stress responses. Chem. Res. Toxicol. 2019, 32, 370–396. [Google Scholar] [CrossRef]
  37. Zheng, J.H.C.; Yang, B.; Kallio, H.; Liu, P.; Ou, S. Regulation of phytochemicals in fruits and berries by environmental variation-Sugars and organic acids. J. Food Biochem. 2019, 43, e12642–e12660. [Google Scholar] [CrossRef]
  38. Santos-Sánchez, N.F.; Salas-Coronado, R.; Villanueva-Cañongo, C.; Hernández-Carlos, B. Antioxidant compounds and their antioxidant mechanism. Antioxidants 2019, 10, 1–29. [Google Scholar]
  39. Nimse, S.B.; Pal, D. Free radicals, natural antioxidants, and their reaction mechanisms. RSC Adv. 2015, 5, 27986–28006. [Google Scholar] [CrossRef]
  40. Domitrović, R.R.K.; Cvijanović, O.; Vladimir-Knežević, S.; Škoda, M.; Višnić, A. Myricitrin exhibits antioxidant, anti-inflammatory and antifibrotic activity in carbon tetrachloride-intoxicated mice. Chem.-Biol. Interact. 2015, 239, 21–28. [Google Scholar] [CrossRef] [PubMed]
  41. Hwang, I.W.; Chung, S.K. Isolation and identification of myricitrin, an antioxidant flavonoid, from daebong persimmon peel. Prev. Nutr. Food Sci. 2018, 23, 341. [Google Scholar] [CrossRef]
  42. Chen, W.Z.X.; Lu, Q.; Zhang, L.; Wang, X.; Liu, R. C-ring cleavage metabolites of catechin and epicatechin enhanced antioxidant activities through intestinal microbiota. Food Res. Int. 2020, 135, 109271–109281. [Google Scholar] [CrossRef]
  43. Miao, J.L.X.; Zhao, C.; Gao, X.; Wang, Y.; Gao, W. Active compounds, antioxidant activity and α-glucosidase inhibitory activity of different varieties of Chaenomeles fruits. Food Chem. 2018, 248, 330–339. [Google Scholar] [CrossRef]
  44. Li, X.; Jiang, Q.; Wang, T.; Liu, J.; Chen, D. Comparison of the antioxidant effects of quercitrin and isoquercitrin: Understanding the role of the 6″-OH group. Molecules 2016, 21, 1246. [Google Scholar] [CrossRef] [PubMed]
  45. Hong, C.-O.L.; Rhee, C.H.; Choung, S.-Y.; Lee, K.-W. Separation of the antioxidant compound quercitrin from Lindera obtusiloba Blume and its antimelanogenic effect on B16F10 melanoma cells. Biosci. Biotechnol. Biochem. 2013, 77, 58–64. [Google Scholar] [CrossRef] [PubMed]
  46. Cai, R.; Li, X.; Chen, B.; Xie, Y.; Xie, H.; Chen, D. Antioxidant change in biosynthesis from naringenin chalcone to flavonoid apingenin. ChemistrySelect 2019, 4, 5155–5159. [Google Scholar] [CrossRef]
  47. Ouyang, X.L.; Li, X.; Lu, W.; Zhao, X.; Chen, D. A null B-ring improves the antioxidant levels of Flavonol: A comparative study between Galangin and 3, 5, 7-Trihydroxychromone. Molecules 2018, 23, 3083. [Google Scholar] [CrossRef]
  48. Youzbachi, N.; Elfalleh, W.; Tlili, N.; Gregoire, S.; Berdeaux, O.; Salles, C.; Triki, S.; Khouja, M.L.; Khaldi, A.; Nasri, N. Unexploited Acacia cyanophylla seeds: Potential food sources of ω6 fatty acids and antioxidants? J. Sci. Food Agric. 2012, 92, 1526–1532. [Google Scholar] [CrossRef]
  49. Yang, Z.-H.; Nill, K.; Takechi-Haraya, Y.; Playford, M.P.; Nguyen, D.; Yu, Z.-X.; Pryor, M.; Tang, J.; Rojulpote, K.V.; Mehta, N.N. Differential Effect of Dietary Supplementation with a Soybean Oil Enriched in Oleic Acid versus Linoleic Acid on Plasma Lipids and Atherosclerosis in LDLR-Deficient Mice. Int. J. Mol. Sci. 2022, 23, 8385. [Google Scholar] [CrossRef] [PubMed]
  50. Rice-Evans, C.A.; Miller, N.J.; Paganga, G. Structure—Antioxidant activity relationships of flavonoids and phenolic acids. Free Radic. Biol. Med. 1996, 20, 933–956. [Google Scholar] [CrossRef]
  51. Nehela, Y.; Taha, N.A.; Elzaawely, A.A.; Xuan, T.D.; Amin, M.; Ahmed, M.E.; El-Nagar, A. Benzoic acid and its hydroxylated derivatives suppress early blight of tomato (Alternaria solani) via the induction of salicylic acid biosynthesis and enzymatic and nonenzymatic antioxidant defense machinery. J. Fungi 2021, 7, 663. [Google Scholar] [CrossRef]
  52. Cai, Y.-Z.; Sun, M.; Xing, J.; Luo, Q.; Corke, H. Structure–radical scavenging activity relationships of phenolic compounds from traditional Chinese medicinal plants. Life Sci. 2006, 78, 2872–2888. [Google Scholar] [CrossRef]
  53. Castañeda-Ovando, A.; de Lourdes Pacheco-Hernández, M.; Páez-Hernández, M.E.; Rodríguez, J.A.; Galán-Vidal, C.A. Chemical studies of anthocyanins: A review. Food Chem. 2009, 113, 859–871. [Google Scholar] [CrossRef]
  54. Nijveldt, R.J.; Van Nood, E.; Van Hoorn, D.E.; Boelens, P.G.; Van Norren, K.; Van Leeuwen, P.A. Flavonoids: A review of probable mechanisms of action and potential applications. Am. J. Clin. Nutr. 2001, 74, 418–425. [Google Scholar] [CrossRef]
  55. Lutoshkin, M.A.; Petrov, A.I.; Kazachenko, A.S.; Kuznetsov, B.N.; Levdansky, V.A. Complexation of rare earth metals by quercetin and quercetin-5′-sulfonic acid in acidic aqueous solution. Main Group Chem. 2018, 17, 17–25. [Google Scholar] [CrossRef]
  56. Lutoshkin, M.A.; Petrov, A.I.; Kuznetsov, B.N.; Kazachenko, A.S. Aqueous complexation of morin and its sulfonate derivative with lanthanum (III) and trivalent lanthanides. J. Solut. Chem. 2019, 48, 676–688. [Google Scholar] [CrossRef]
  57. Ferrari, G.V.; Pappano, N.B.; Debattista, N.B.; Montana, M.P. Potentiometric and spectrophotometric study of 3-hydroxyflavone− La (III) complexes. J. Chem. Eng. Data 2008, 53, 1241–1245. [Google Scholar] [CrossRef]
  58. Meyer, A.S.; Donovan, J.L.; Pearson, D.A.; Waterhouse, A.L.; Frankel, E.N. Fruit hydroxycinnamic acids inhibit human low-density lipoprotein oxidation in vitro. J. Agric. Food Chem. 1998, 46, 1783–1787. [Google Scholar] [CrossRef]
  59. Natella, F.; Nardini, M.; Felice, M.D.; Scaccini, C. Benzoic and cinnamic acid derivatives as antioxidants: Structure—Activity relation. J. Agric. Food Chem. 1999, 47, 1453–1459. [Google Scholar] [CrossRef] [PubMed]
  60. Ashmawy, N.A.; Behiry, S.I.; Al-Huqail, A.A.; Ali, H.M.; Salem, M.Z. Bioactivity of selected phenolic acids and hexane extracts from Bougainvilla spectabilis and Citharexylum spinosum on the growth of pectobacterium carotovorum and Dickeya solani Bacteria: An opportunity to save the environment. Processes 2020, 8, 482. [Google Scholar] [CrossRef]
  61. Cueva, C.; Moreno-Arribas, M.V.; Martín-Álvarez, P.J.; Bills, G.; Vicente, M.F.; Basilio, A.; Rivas, C.L.; Requena, T.; Rodríguez, J.M.; Bartolomé, B. Antimicrobial activity of phenolic acids against commensal, probiotic and pathogenic bacteria. Res. Microbiol. 2010, 161, 372–382. [Google Scholar] [CrossRef] [PubMed]
  62. Perry, C.C.; Weatherly, M.; Beale, T.; Randriamahefa, A. Atomic force microscopy study of the antimicrobial activity of aqueous garlic versus ampicillin against Escherichia coli and Staphylococcus aureus. J. Sci. Food. Agric. 2009, 89, 958–964. [Google Scholar] [CrossRef]
  63. Guzman, J.D. Natural Cinnamic Acids, Synthetic Derivatives and Hybrids with Antimicrobial Activity. Molecules 2014, 19, 19292–19349. [Google Scholar] [CrossRef]
  64. Tunçel, G.N.C. Antimicrobial effect of some olive phenols in a laboratory medium. Lett. Appl. Microbiol. 1993, 17, 300–302. [Google Scholar] [CrossRef]
  65. Guzman, J.D.; Mortazavi, P.N.; Munshi, T.; Evangelopoulos, D.; McHugh, T.D.; Gibbons, S.; Malkinson, J.; Bhakta, S. 2-Hydroxy-substituted cinnamic acids and acetanilides are selective growth inhibitors of Mycobacterium tuberculosis. MedChemComm 2014, 5, 47–50. [Google Scholar] [CrossRef]
  66. Parkar, S.G.; Stevenson, D.E.; Skinner, M.A. The potential influence of fruit polyphenols on colonic microflora and human gut health. Int. J. Food Microbiol. 2008, 124, 295–298. [Google Scholar] [CrossRef] [PubMed]
  67. Ergün, B.Ç.T.; Onurdag, F.; Banoglu, E. Synthesis, antioxidant and antimicrobial evaluation of simple aromatic esters of ferulic acid. Arch. Pharm. Res. 2011, 34, 1251–1261. [Google Scholar] [CrossRef]
  68. Borges, A.; Ferreira, C.; Saavedra, M.J.; Simoes, M. Antibacterial activity and mode of action of ferulic and gallic acids against pathogenic bacteria. Microb. Drug Resist 2013, 19, 256–265. [Google Scholar] [CrossRef]
  69. Kumar, H.; Bhardwaj, K.; Cruz-Martins, N.; Nepovimova, E.; Oleksak, P.; Dhanjal, D.S.; Bhardwaj, S.; Singh, R.; Chopra, C.; Verma, R. Applications of fruit polyphenols and their functionalized nanoparticles against foodborne bacteria: A mini review. Molecules 2021, 26, 3447. [Google Scholar] [CrossRef]
  70. Nazzaro, F.; Fratianni, F.; De Martino, L.; Coppola, R.; De Feo, V. Effect of essential oils on pathogenic bacteria. Pharmaceuticals 2013, 6, 1451–1474. [Google Scholar] [CrossRef] [PubMed]
  71. Lou, Z.; Wang, H.; Rao, S.; Sun, J.; Ma, C.; Li, J. p-Coumaric acid kills bacteria through dual damage mechanisms. Food Control 2012, 25, 550–554. [Google Scholar] [CrossRef]
  72. Ganeshpurkar, A.; Saluja, A.K. The pharmacological potential of rutin. Saudi Pharm. J. 2017, 25, 149–164. [Google Scholar] [CrossRef] [PubMed]
  73. Bae, J.-Y.; Seo, Y.-H.; Oh, S.-W. Antibacterial activities of polyphenols against foodborne pathogens and their application as antibacterial agents. Food Sci. Biotechnol. 2022, 31, 985–997. [Google Scholar] [CrossRef]
  74. Ahmad, A.; Kaleem, M.; Ahmed, Z.; Shafiq, H. Therapeutic potential of flavonoids and their mechanism of action against microbial and viral infections—A review. Food Res. Int. 2015, 77, 221–235. [Google Scholar] [CrossRef]
  75. Alvarez, M.D.L.A.; Zarelli, V.E.P.; Pappano, N.B.; Debattista, N.B. Bacteriostatic action of synthetic polyhydroxylated chalcones against Escherichia coli. Biocell 2004, 28, 31–34. [Google Scholar] [CrossRef]
  76. Plaper, A.; Golob, M.; Hafner, I.; Oblak, M.; Šolmajer, T.; Jerala, R. Characterization of quercetin binding site on DNA gyrase. Biochem. Biophys. Res. Commun. 2003, 306, 530–536. [Google Scholar] [CrossRef]
  77. Wu, D.; Kong, Y.; Han, C.; Chen, J.; Hu, L.; Jiang, H.; Shen, X. D-Alanine: D-alanine ligase as a new target for the flavonoids quercetin and apigenin. Int. J. Antimicrob. Agents 2008, 32, 421–426. [Google Scholar] [CrossRef] [PubMed]
  78. Nielsen, S.F.; Boesen, T.; Larsen, M.; Schønning, K.; Kromann, H. Antibacterial chalcones-bioisosteric replacement of the 4′-hydroxy group. Bioorganic Med. Chem. 2004, 12, 3047–3054. [Google Scholar] [CrossRef]
  79. Ávila, H.P.; Smânia, E.d.F.A.; Delle Monache, F.; Júnior, A.S. Structure–activity relationship of antibacterial chalcones. Bioorg. Med. Chem. 2008, 16, 9790–9794. [Google Scholar] [CrossRef]
  80. Al-Shabib, N.A.; Husain, F.M.; Ahmad, I.; Khan, M.S.; Khan, R.A.; Khan, J.M. Rutin inhibits mono and multi-species biofilm formation by foodborne drug resistant Escherichia coli and Staphylococcus aureus. Food Control 2017, 79, 325–332. [Google Scholar] [CrossRef]
  81. Wang, S.; Wang, C.; Gao, L.; Cai, H.; Zhou, Y.; Yang, Y.; Xu, C.; Ding, W.; Chen, J.; Muhammad, I. Rutin inhibits Streptococcus suis biofilm formation by affecting CPS biosynthesis. Front. Pharmacol. 2017, 8, 379. [Google Scholar] [CrossRef]
  82. Farhadi, F.; Khameneh, B.; Iranshahi, M.; Iranshahy, M. Antibacterial activity of flavonoids and their structure–activity relationship: An update review. Phytother. Res. 2019, 33, 13–40. [Google Scholar] [CrossRef] [PubMed]
  83. Shamsudin, N.F.; Ahmed, Q.U.; Mahmood, S.; Ali Shah, S.A.; Khatib, A.; Mukhtar, S.; Alsharif, M.A.; Parveen, H.; Zakaria, Z.A. Antibacterial effects of flavonoids and their structure-activity relationship study: A comparative interpretation. Molecules 2022, 27, 1149. [Google Scholar] [CrossRef]
  84. Woźnicka, E.; Kuźniar, A.; Nowak, D.; Nykiel, E.; Kopacz, M.; Gruszecka, J.; Golec, K. Comparative study on the antibacterial activity of some flavonoids and their sulfonic derivatives. Acta Pol. Pharm 2013, 70, 567–571. [Google Scholar]
  85. Echeverría, J.; Opazo, J.; Mendoza, L.; Urzúa, A.; Wilkens, M. Structure-activity and lipophilicity relationships of selected antibacterial natural flavones and flavanones of Chilean flora. Molecules 2017, 22, 608. [Google Scholar] [CrossRef] [PubMed]
  86. Xu, H.X.; Lee, S.F. Activity of plant flavonoids against antibiotic-resistant bacteria. Phytother. Res. 2001, 15, 39–43. [Google Scholar] [CrossRef] [PubMed]
  87. Tebou, P.; Tamokou, J.-d.-D.; Ngnokam, D.; Voutquenne-Nazabadioko, L.; Kuiate, J.-R.; Bag, P. Flavonoids from Maytenus buchananii as potential cholera chemotherapeutic agents. S. Afr. J. Bot. 2017, 109, 58–65. [Google Scholar] [CrossRef]
  88. Jeong, M.-H.; Lee, Y.-S.; Cho, J.-Y.; Ahn, Y.-S.; Moon, J.-H.; Hyun, H.-N.; Cha, G.-S.; Kim, K.-Y. Isolation and characterization of metabolites from Bacillus licheniformis MH48 with antifungal activity against plant pathogens. Microb. Pathog. 2017, 110, 645–653. [Google Scholar] [CrossRef]
  89. Liu, J.; Li, X.; Jia, Z.; Zhang, T.; Wang, X. Effect of benzoic acid on soil microbial communities associated with soilborne peanut diseases. Appl. Soil Ecol. 2017, 110, 34–42. [Google Scholar] [CrossRef]
  90. Heflish, A.I.; El Samra, I.; Youssef, N. Occurrence and control of Alternaria alternata, Penicilliun citrinum and Aspergillus flavus mycotoxins in broad bean seeds by benzoic and sorbic acids. Egypt. Acad. J. Biol. Sci. G Microbiol. 2020, 12, 75–87. [Google Scholar] [CrossRef]
  91. Orhan, D.D.; Özçelik, B.; Özgen, S.; Ergun, F. Antibacterial, antifungal, and antiviral activities of some flavonoids. Microbiol. Res. 2010, 165, 496–504. [Google Scholar] [CrossRef]
  92. Tempesti, T.C.; Alvarez, M.G.; de Araújo, M.F.; Catunda Júnior, F.E.A.; de Carvalho, M.G.; Durantini, E.N. Antifungal activity of a novel quercetin derivative bearing a trifluoromethyl group on Candida albicans. Med. Chem. Res. 2012, 21, 2217–2222. [Google Scholar] [CrossRef]
  93. Mierziak, J.; Kostyn, K.; Kulma, A. Flavonoids as important molecules of plant interactions with the environment. Molecules 2014, 19, 16240–16265. [Google Scholar] [CrossRef]
  94. El-Nagar, A.; Elzaawely, A.A.; Taha, N.A.; Nehela, Y. The antifungal activity of gallic acid and its derivatives against Alternaria solani, the causal agent of tomato early blight. Agronomy 2020, 10, 1402. [Google Scholar] [CrossRef]
  95. Rocha, M.F.G.; Sales, J.A.; da Rocha, M.G.; Galdino, L.M.; de Aguiar, L.; Pereira-Neto, W.d.A.; de Aguiar Cordeiro, R.; Castelo-Branco, D.d.S.C.M.; Sidrim, J.J.C.; Brilhante, R.S.N. Antifungal effects of the flavonoids kaempferol and quercetin: A possible alternative for the control of fungal biofilms. Biofouling 2019, 35, 320–328. [Google Scholar] [CrossRef]
  96. Li, S.; Zhang, Z.; Cain, A.; Wang, B.; Long, M.; Taylor, J. Antifungal activity of camptothecin, trifolin, and hyperoside isolated from Camptotheca acuminata. J. Agric. Food Chem. 2005, 53, 32–37. [Google Scholar] [CrossRef] [PubMed]
  97. Morales, J.; Mendoza, L.; Cotoras, M. Alteration of oxidative phosphorylation as a possible mechanism of the antifungal action of p-coumaric acid against Botrytis cinerea. J. Appl. Microbiol. 2017, 123, 969–976. [Google Scholar] [CrossRef] [PubMed]
  98. Leahy, J.L.; Hirsch, I.B.; Peterson, K.A.; Schneider, D. Targeting β-cell function early in the course of therapy for type 2 diabetes mellitus. J. Clin. Endocrinol. Metab. 2010, 95, 4206–4216. [Google Scholar] [CrossRef] [PubMed]
  99. Glastras, S.J.; Chen, H.; Teh, R.; McGrath, R.T.; Chen, J.; Pollock, C.A.; Wong, M.G.; Saad, S. Mouse models of diabetes, obesity and related kidney disease. PLoS ONE 2016, 11, e0162131–e0162146. [Google Scholar] [CrossRef] [PubMed]
  100. Houstis, N.; Rosen, E.D.; Lander, E.S. Reactive oxygen species have a causal role in multiple forms of insulin resistance. Nature 2006, 440, 944–948. [Google Scholar] [CrossRef] [PubMed]
  101. Ghani, U. Re-exploring promising α-glucosidase inhibitors for potential development into oral anti-diabetic drugs: Finding needle in the haystack. Eur. J. Med. Chem. 2015, 103, 133–162. [Google Scholar] [CrossRef]
  102. Şöhretoğlu, D.; Sari, S. Flavonoids as alpha-glucosidase inhibitors: Mechanistic approaches merged with enzyme kinetics and molecular modelling. Phytochem. Rev. 2020, 19, 1081–1092. [Google Scholar] [CrossRef]
  103. Priscilla, D.H.; Roy, D.; Suresh, A.; Kumar, V.; Thirumurugan, K. Naringenin inhibits α-glucosidase activity: A promising strategy for the regulation of postprandial hyperglycemia in high fat diet fed streptozotocin induced diabetic rats. Chem.-Biol. Interact. 2014, 210, 77–85. [Google Scholar] [CrossRef]
  104. López-Domènech, S.; Bañuls, C.; de Marañón, A.M.; Abab-Jiménez, Z.; Morillas, C.; Gómez-Abril, S.Á.; Rovira-Llopis, S.; Víctor, V.M.; Hernández-Mijares, A.; Rocha, M. Pinitol alleviates systemic inflammatory cytokines in human obesity by a mechanism involving unfolded protein response and sirtuin 1. Clin. Nutr. 2018, 37, 2036–2044. [Google Scholar] [CrossRef] [PubMed]
  105. Lee, E.; Lim, Y.; Kwon, S.W.; Kwon, O. Pinitol consumption improves liver health status by reducing oxidative stress and fatty acid accumulation in subjects with non-alcoholic fatty liver disease: A randomized, double-blind, placebo-controlled trial. J. Nutr. Biochem. 2019, 68, 33–41. [Google Scholar] [CrossRef]
  106. Croze, M.L.; Géloën, A.; Soulage, C.O. Abnormalities in myo-inositol metabolism associated with type-2 diabetes in mice fed a high-fat diet: Benefits of a dietary myo-inositol supplementation. Br. J. Nutr. 2015, 113, 1862–1875. [Google Scholar] [CrossRef]
  107. Dang, N.T.; Mukai, R.; Yoshida, K.-I.; Ashida, H. D-pinitol and myo-inositol stimulate translocation of glucose transporter 4 in skeletal muscle of C57BL/6 mice. Biosci. Biotechnol. Biochem. 2010, 74, 1062–1067. [Google Scholar] [CrossRef]
  108. Pandi, A.; Kalappan, V.M.; Chandrashekar, N. Effects of d-pinitol on diabetes mellitus: An updated review. Bull. Natl. Res. Cent. 2022, 46, 1–10. [Google Scholar] [CrossRef]
  109. Gao, Y.; Zhang, M.; Wu, T.; Xu, M.; Cai, H.; Zhang, Z. Effects of D-pinitol on insulin resistance through the PI3K/Akt signaling pathway in type 2 diabetes mellitus rats. J. Agric. Food Chem. 2015, 63, 6019–6026. [Google Scholar] [CrossRef]
  110. Silva Junior, J.A.; Silva, A.C.D.; Figueiredo, L.S.; Araujo, T.R.; Freitas, I.N.; Carneiro, E.M.; Ribeiro, E.S.; Ribeiro, R.A. D-Pinitol increases insulin secretion and regulates hepatic lipid metabolism in Msg-obese mice. An. Acad. Bras. Ciências 2020, 92, 1–14. [Google Scholar] [CrossRef]
  111. Proença, C.; Freitas, M.; Ribeiro, D.; Oliveira, E.F.; Sousa, J.L.; Tome, S.M.; Ramos, M.J.; Silva, A.M.; Fernandes, P.A.; Fernandes, E. α-Glucosidase inhibition by flavonoids: An in vitro and in silico structure–activity relationship study. J. Enzym. Inhib. Med. Chem. 2017, 32, 1216–1228. [Google Scholar] [CrossRef]
  112. Tadera, K.; Minami, Y.; Takamatsu, K.; Matsuoka, T. Inhibition of alpha-glucosidase and alpha-amylase by flavonoids. J. Nutr. Sci. Vitaminol. 2006, 52, 149–153. [Google Scholar] [CrossRef] [PubMed]
  113. Zeng, L.; Zhang, G.; Lin, S.; Gong, D. Inhibitory mechanism of apigenin on α-glucosidase and synergy analysis of flavonoids. J. Agric. Food Chem. 2016, 64, 6939–6949. [Google Scholar] [CrossRef] [PubMed]
  114. He, C.; Liu, X.; Jiang, Z.; Geng, S.; Ma, H.; Liu, B. Interaction mechanism of flavonoids and α-glucosidase: Experimental and molecular modelling studies. Foods 2019, 8, 355. [Google Scholar] [CrossRef] [PubMed]
  115. Abdallah, H.M.; Ammar, N.M.; Abdelhameed, M.F.; Gendy, A.E.-N.G.E.; Ragab, T.I.; Abd-ElGawad, A.M.; Farag, M.A.; Alwahibi, M.S.; Elshamy, A.I. Protective mechanism of Acacia saligna butanol extract and its nano-formulations against ulcerative colitis in rats as revealed via biochemical and metabolomic assays. Biology 2020, 9, 195. [Google Scholar] [CrossRef]
  116. Ginwala, R.; Bhavsar, R.; Chigbu, D.G.I.; Jain, P.; Khan, Z.K. Potential role of flavonoids in treating chronic inflammatory diseases with a special focus on the anti-inflammatory activity of apigenin. Antioxidants 2019, 8, 35. [Google Scholar] [CrossRef]
  117. Vezza, T.; Rodríguez-Nogales, A.; Algieri, F.; Utrilla, M.P.; Rodriguez-Cabezas, M.E.; Galvez, J. Flavonoids in inflammatory bowel disease: A review. Nutrients 2016, 8, 211. [Google Scholar] [CrossRef]
  118. Comalada, M.; Camuesco, D.; Sierra, S.; Ballester, I.; Xaus, J.; Gálvez, J.; Zarzuelo, A. In vivo quercitrin anti-inflammatory effect involves release of quercetin, which inhibits inflammation through down-regulation of the NF-κB pathway. Eur. J. Immunol. 2005, 35, 584–592. [Google Scholar] [CrossRef]
  119. Mak, P.; Leung, Y.-K.; Tang, W.-Y.; Harwood, C.; Ho, S.-M. Apigenin suppresses cancer cell growth through ERβ. Neoplasia 2006, 8, 896–904. [Google Scholar] [CrossRef]
  120. Korhonen, R.; Lahti, A.; Kankaanranta, H.; Moilanen, E. Nitric oxide production and signaling in inflammation. Curr. Drug Targets-Inflamm. Allergy 2005, 4, 471–479. [Google Scholar] [CrossRef] [PubMed]
  121. Pavlick, K.P.; Laroux, F.S.; Fuseler, J.; Wolf, R.E.; Gray, L.; Hoffman, J.; Grisham, M.B. Role of reactive metabolites of oxygen and nitrogen in inflammatory bowel disease. Free Radic. Biol. Med. 2002, 33, 311–322. [Google Scholar] [CrossRef]
  122. Bian, Y.; Liu, P.; Zhong, J.; Hu, Y.; Zhuang, S.; Fan, K.; Liu, Z. Quercetin attenuates adhesion molecule expression in intestinal microvascular endothelial cells by modulating multiple pathways. Dig. Dis. Sci. 2018, 63, 3297–3304. [Google Scholar] [CrossRef] [PubMed]
  123. Kwon, K.H.; Murakami, A.; Tanaka, T.; Ohigashi, H. Dietary rutin, but not its aglycone quercetin, ameliorates dextran sulfate sodium-induced experimental colitis in mice: Attenuation of pro-inflammatory gene expression. Biochem. Pharm. 2005, 69, 395–406. [Google Scholar] [CrossRef]
  124. Bilia, A.R.; Guccione, C.; Isacchi, B.; Righeschi, C.; Firenzuoli, F.; Bergonzi, M.C. Essential oils loaded in nanosystems: A developing strategy for a successful therapeutic approach. Evid. Based Complement. Altern. Med. 2014, 2014, 651593–651607. [Google Scholar] [CrossRef] [PubMed]
  125. Hu, Z.; Zhao, P.; Xu, H. Hyperoside exhibits anticancer activity in non-small cell lung cancer cells with T790M mutations by upregulating FoxO1 via CCAT1. Oncol. Rep. 2020, 43, 617–624. [Google Scholar] [CrossRef] [PubMed]
  126. Zhang, Y.D.; Zhang, H.; Zhang, L. Inhibitory effect of hyperoside isolated from Zanthoxylum bungeanum leaves on SW620 human colorectal cancer cells via induction of the p53 signaling pathway and apoptosis. Mol. Med. Rep. 2017, 16, 1125–1132. [Google Scholar] [CrossRef]
  127. Skehan, P.; Storeng, R.; Scudiero, D.; Monks, A.; McMahon, J.; Vistica, D. New colorimetric cytotoxicity assay for anticancer drug screening. J. Natl. Cancer Inst. 1990, 82, 1107–1112. [Google Scholar] [CrossRef]
  128. Ruiz-Ojeda, F.J.; Rupérez, A.I.; Gomez-Llorente, C.; Gil, A.; Aguilera, C.M.; Warren, J.T.; Bokesch, H.; Kenney, S.; Boyd, M.R. Cell models and their application for studying adipogenic differentiation in relation to obesity: A review. Int. J. Mol. Sci. 2016, 17, 1040. [Google Scholar] [CrossRef] [PubMed]
Figure 4. Saponin derivatives isolated from methanolic extract of A. saligna leaves collected in Tunisia [25].
Figure 4. Saponin derivatives isolated from methanolic extract of A. saligna leaves collected in Tunisia [25].
Molecules 28 04396 g004
Figure 5. Fatty acids content of A. saligna seeds collected in Tunisia as determined via GC-MS analysis [48].
Figure 5. Fatty acids content of A. saligna seeds collected in Tunisia as determined via GC-MS analysis [48].
Molecules 28 04396 g005
Scheme 1. Possible antioxidant mechanism of quercetin 3 with a radical species (R and O2−●) [53,54].
Scheme 1. Possible antioxidant mechanism of quercetin 3 with a radical species (R and O2−●) [53,54].
Molecules 28 04396 sch001
Figure 6. Structure–activity relationship of flavonoids required for antioxidant activity.
Figure 6. Structure–activity relationship of flavonoids required for antioxidant activity.
Molecules 28 04396 g006
Figure 7. SAR of flavonoids required for antibacterial activities (adapted from Farhadi et al. [82] and Shamsudin et al. [83].
Figure 7. SAR of flavonoids required for antibacterial activities (adapted from Farhadi et al. [82] and Shamsudin et al. [83].
Molecules 28 04396 g007
Figure 8. Structures of antibacterial flavonoids.
Figure 8. Structures of antibacterial flavonoids.
Molecules 28 04396 g008
Figure 9. SAR of flavonoids required for α-glucosidase inhibition (adapted from Proença et al. [111] and Şöhretoğlu et al. [102]).
Figure 9. SAR of flavonoids required for α-glucosidase inhibition (adapted from Proença et al. [111] and Şöhretoğlu et al. [102]).
Molecules 28 04396 g009
Table 1. Taxonomy of A. saligna.
Table 1. Taxonomy of A. saligna.
DomainEurayota
KingdomPlantae
PhylumSpermatophyta
SubphylumAngiospermae
ClassDicotyledonae
OrderFabales
FamilyFabaceae
SubfamilyMimosoideae
GenusAcacia
SpeciesAcacia saligna (Labill.) H. L. Wendl.
Table 2. Antioxidant activities of plant extracts in DPPH assay.
Table 2. Antioxidant activities of plant extracts in DPPH assay.
Plant Part/OriginType of ExtractIC50 µg/mLIdentified CompoundsRef
Flowers/Tunisiaethyl acetate67.26Isosalipurposide 1, quercetin 3, and naringenin 42[11]
Flowers/EgyptAqueous461.71Quercetin 3, kaempferol 22, naringenin 42, benzoic acid 24, syringic acid 28, p-hydroxybenzoic acid 31, salicylic acid 32, caffeic acid 35, o-coumaric acid 36, p-coumaric acid 37, ferulic acid 38, ellagic acid 44, catechol 45, and caffeine 46[12]
Leaves/Saudi Arabiamethanolic17.0Quercetin 3, rutin 6, miquelianin 7, isoquercetin 8, hyperoside 9, gallic acid 25, and p-coumaric acid 37[13]
Bark/EgyptEthanolic10.10Quercetin 3, rutin 6, kaempferol 22, benzoic acid 24, gallic acid 25, vanillin 29, caffeic acid 35, o-coumaric acid 36, p-coumaric acid 37, ferulic acid 38, rosmarinic acid 39, chlorogenic acid 40, and caffeine 46[18]
Flowers/
Australia
methanolic331.50Naringenin 42, isosalipurposide 1, quercitrin 4, D-(+)-pinitol 48, and naringenin-7-O-α-L-arabinofuranoside 47[26]
Leaves/
Australia
methanolic190.10(–)-Epicatechin 51, quercitrin 4, myricitrin 11, 2,4-di-t-butylphenol 50, (−)-pinitol 49, and (3S,5S)-3-hydroxy-5-(2-aminoethyl)-dihydrofuran-2(3H)-one 52[26]
Bark/
Australia
methanolic94.24(−)-Epicatechin 51, D-(+)-pinitol 48, and sucrose[26]
Table 3. Antibacterial and antifungal extracts from A. saligna.
Table 3. Antibacterial and antifungal extracts from A. saligna.
Plant Parts/OriginExtracted SolventBacteriaFungiIdentified CompoundsRef
Flowers/EgyptwaterA. tumefaciens, E. cloacae, E. amylovora, P. carotovorum subspF. culmorum, R. solani, P. chrysogenumQuercetin 3, kaempferol 22, naringenin 42, benzoic acid 24, syringic acid 28, p-hydroxybenzoic acid 31, salicylic acid 32, caffeic acid 35, o-coumaric acid 36, p-coumaric acid 37, ferulic acid 38, ellagic acid 44, catechol 45, and caffeine 46[12]
Leaves/Saudi Arabiamethanolplease refer to Table 4please refer to Table 5Quercetin 3, rutin 6, miquelianin 7, isoquercetin 8, hyperoside 9, gallic acid 25, and p-coumaric acid 37[13]
Leaves/Egyptethyl acetateS. aureus, S. pyogens, B.cereus, B. subtiliusNRQuercetin 3, quercitrin 4, quercetin-3-O-arabinoside 5, myricetin 10, myricitrin 11, myricetin-3-O-arabinoside 12, myricetin-3-O-glucoside 13, (+)-catechin 14, 7-O-Galloyl-cathecin 15, apigenin 16, apigetrin 17, luteolin 19, cynaroside 20, gallic acid 25, and methyl gallate 26[16]
Leaves/Saudi ArabiaethanolE. coli, K. pneumonia, P. aeruginosa, Methicillin-resistant S. aureus (MRSA)A. niger, A. fumigatus, A. flavus and C. albicansGallic acid 25, syringic acid 28, chlorogenic 40, p-hydroxybenzoic 31, vanillic acid 29, p-coumaric acid 37, and salicylic acid 32[17]
Bark/EgyptmethanolNRF. oxysporumQuercetin 3, rutin 6, kaempferol 22, benzoic acid 24, gallic acid 25, vanillin 29, caffeic acid 35, o-coumaric acid 36, p-coumaric acid 37, ferulic acid 38, rosmarinic acid 39, chlorogenic acid 40, and caffeine 46[18]
NR = not reported.
Table 4. Antibacterial activities (MIC and MBC) of methanolic leaf extract and identified pure compounds [13].
Table 4. Antibacterial activities (MIC and MBC) of methanolic leaf extract and identified pure compounds [13].
Extract and CompoundsB. cereusP. aeruginosaL. monocytogenesE. coliM. flavusS. aureus
MIC, MBC (mg/mL)MIC, MBC (mg/mL)MIC, MBC (mg/mL)MIC, MBC (mg/mL)MIC, MBC (mg/mL)MIC, MBC (mg/mL)
A. saliga leaf extract0.35, 0.730.37, 0.790.47, 0.990.31, 0.720.41, 0.850.30, 0.73
Rutin 60.11, 0.220.07, 0.120.11, 0.210.12, 0.230.12, 0.230.1, 0.251
Hyperoside 923.3, >50027.2, >50034.3, >50031.2, >50022.42, >50019.54, >500
p-Coumaric acid 370.12, 0.310.06, 0.220.26, 0.580.12, 0.250.16, 28.650.23, 0.47
Quercetin 330.6, >50031.8, >50043.7, >50038.6, >50028.65, >50021.53, >500
Miquelianin 735.2, >50025.3, 315.1432.1, >50031.8, >50021.65, 411.1717.1, 427
Streptomycin0.07, 0.160.11, 0.210.12, 0.210.11, 0.200.10, 0.210.15, 0.31
Table 5. Antifungal activities (MIC and MBC) of methanolic leaf extract and identified pure compounds investigated by Elansary et al. [13].
Table 5. Antifungal activities (MIC and MBC) of methanolic leaf extract and identified pure compounds investigated by Elansary et al. [13].
Extract and CompoundsAspergillus
flavus
Aspergillus
ochraceus
L. monocytogenesCandida
albicans
Penicillium
funiculosum
Penicillium
ochrochloron
MIC, MBC (mg/mL)MIC, MBC (mg/mL)MIC, MBC (mg/mL)MIC, MBC (mg/mL)MIC, MBC (mg/mL)MIC, MBC (mg/mL)
A. saliga extract0.30, 0.910.38, 0.950.48, 1.020.58, 1.420.43, 1.010.44, 1.31
Rutin 60.21, 0.450.18, 0.550.28, 0.620.25, 0.510.30, 0.710.23, 0.43
Hyperoside 90.10, 0.460.13, 0.500.15, 0.520.21, 1.030.25, 1.030.31, 1.19
p-Coumaric acid0.22, 0.430.23, 0.450.21, 0.410.32, 0.600.22, 0.590.20, 0.40
Quercetin 30.31, 0.630.20, 0.750.21, 0.750.06, 0.330.24, 0.700.29, 0.63
Miquelianin 70.26, 0.520.17, 0.610.18, 0.620.06, 0.270.21, 0.600.26, 0.54
Ketoconazole0.20, 0.410.23, 0.460.10, 0.210.22, 0.432.05, 3.510.21, 0.40
Table 6. Inhibitory activities of extracts from flowers, leaves, and bark of Australian A. saligna and their isolated compounds and acarbose against yeast α-glucosidase [26].
Table 6. Inhibitory activities of extracts from flowers, leaves, and bark of Australian A. saligna and their isolated compounds and acarbose against yeast α-glucosidase [26].
CompoundIC50
Methanolic flower extract34.93 μg/mL
Methanolic leaf extract38.69 μg/mL
Methanolic bark extract4.37 μg/mL
Isosalipurposide 1116.5 μM
Naringenin 4289.71 μM
Quercitrin 4177.3 μM
Myricitrin 11351.6 μM
Naringenin-7-O-α-L-arabinofuranose 47769.1 μM
D-(+)-pinitol 4874.69 μM
(–)-Pinitol 49164.2 μM
(–)-Epicatechin 5163.58 μM
2,4-Di-t-butylphenol 50259 μM
(3S,5S)-3-hydroxy-5-(2-aminoethyl) dihydrofuran-2(3H)-one 52>1000 a
Acarbose239.9 μM
a The activity did not reach 50% at the highest tested concentration (1 mM).
Disclaimer/Publisher’s Note: The statements, opinions and data contained in all publications are solely those of the individual author(s) and contributor(s) and not of MDPI and/or the editor(s). MDPI and/or the editor(s) disclaim responsibility for any injury to people or property resulting from any ideas, methods, instructions or products referred to in the content.

Share and Cite

MDPI and ACS Style

Ung, A.T.; Asmara, A.P. Bioactive Phytochemicals of Acacia saligna. Molecules 2023, 28, 4396. https://doi.org/10.3390/molecules28114396

AMA Style

Ung AT, Asmara AP. Bioactive Phytochemicals of Acacia saligna. Molecules. 2023; 28(11):4396. https://doi.org/10.3390/molecules28114396

Chicago/Turabian Style

Ung, Alison T., and Anjar P. Asmara. 2023. "Bioactive Phytochemicals of Acacia saligna" Molecules 28, no. 11: 4396. https://doi.org/10.3390/molecules28114396

APA Style

Ung, A. T., & Asmara, A. P. (2023). Bioactive Phytochemicals of Acacia saligna. Molecules, 28(11), 4396. https://doi.org/10.3390/molecules28114396

Article Metrics

Back to TopTop