Abstract
Compound K (CK) is one of the major metabolites found in mammalian blood and organs following oral administration of Panax plants. CK, also known as minor ginsenoside, can be absorbed in the systemic circulation. It has garnered significant attention in healthcare and medical products due to its pharmacological activities, such as antioxidation, anticancer, antiproliferation, antidiabetics, neuroprotection, and anti-atherogenic activities. However, CK is not found in natural ginseng plants but in traditional chemical synthesis, which uses toxic solvents and leads to environmental pollution during the harvest process. Moreover, enzymatic reactions are impractical for industrial CK production due to low yield and high costs. Although CK could be generated from major ginsenosides, most ginsenosides, including protopanaxatriol-oleanane and ocotillol-type, are not converted into CK by catalyzing β-glucosidase. Therefore, microbial cell systems have been used as a promising solution, providing a safe and efficient approach to CK production. This review provides a summary of various approaches for the production of CK, including chemical and enzymatic reactions, biotransformation by the human intestinal bacteria and endophytes as well as engineered microbes. Moreover, the approaches for CK production have been discussed to improve the productivity of target compounds.
1. Introduction
The genus Panax, belonging to the family Araliaceae, is known as one of the most popular herbal medicines in East Asia and North America. Panax plants, including Panax ginseng C.A. Meyer (Korean ginseng), Panax japonicus C.A (Japanese ginseng), Panax quinquefolius L. (America ginseng), Panax notoginseng (Burkill) F.H. Chen (Sanchi ginseng), have been widely used as dietary supplements in recent years [,]. There are various chemical components in ginseng, such as ginsenosides, polysaccharides, polyacetylenes, glycoconjugate compounds, and amino acids. Among these, ginsenosides play a role as a major constituent and are responsible for the diverse biological and pharmacological activities of ginseng [,]. To date, more than 150 different types of ginsenoside have been isolated and identified from the roots, fruits, flower buds, and leaves of ginseng, and other medicinal plants. Ginsenosides, also known as triterpene saponins, are represented by Rx. While the “R” is expressed for the root, the “X” is determined by the chromatographic polarity in alphabetical order: the most polar is determined by A, and the least polar is marked by H. In general, a chemical component of most ginsenosides contains a dammarane skeleton (17 carbons in a four-ring structure) and a sugar moiety attached to the C-20 and C-3 positions (arabinose, glucose, rhamnose, and xylose) [,]. According to their backbone skeletons, ginsenosides can be categorized into four groups: protopanaxadiol (PPD), protopanaxatriol (PPT), oleanolic acid (OA), and ocotillol-type. PPD has only a dammarane backbone (for example, Ra1-3, Rb1-3, Rc, Rd, Rg3, Rh2, and Rs1), while PPT has an additional hydroxyl group at the C-6 position (for example, Re, Rf, Rg1-2, and Rh1). Moreover, the pentacyclic triterpenoid base is a characterization of OA type (Ro) whereas ocotillol-type ginsenosides possess a five-membered epoxy ring at the C-20 position (Pseudoginesnoside F11 and Majonoside R1-2) (Table 1) [,]. Along with the isolation and identification of ginsenosides from plants, extensive research has been conducted to investigate and understand the biological mechanisms of ginsenosides. Ginsenosides exhibit various beneficial effects on human health, including antimicrobial, antioxidant, anticancer, antitumor, and anti-proliferative activities [,]. Furthermore, ginsenosides have been demonstrated to enhance the central nervous system and protect the blood vessels from cardiovascular disease [,]. Recently, ginsenosides and their derivatives have been used as cosmetic and dietary supplements [,]. Interestingly, ginsenosides have shown potential as promising medicines for the treatment and prevention of SARS-CoV-2 [].

Table 1.
Classification of four types of ginsenosides.
Compound K is one PPD type of ginsenoside for application to human health. CK has a molecular weight of 622.86 g mol−1 and the chemical formula C36H62O8. The IUPAC name of CK is (2S,3R,4S,5S,6R)-2-[(2S)-2-[(3S,5R,8R,9R,10R,12R,13R,14R,17S)-3,12-dihydroxy-4,4,8,10,14-pentame-thyl-2,3,5,6,7,9,11,12,13,15,16,17-dodecahydro-1H-cyclopenta[a]phenanthren-17-yl]-6-methylhept-5-en-2-yl]oxy-6-(hydroxymethyl)oxane-3,4,5-triol. CK is also known as 20-O-β-D-glucopyranosyl-20(S)-protopanaxadiol, compound M1-O, ginsenoside M1, and GM1 saponin []. CK is rarely found in natural ginseng but through the transformation of major ginsenosides. Bioconversion of CK products has been reported through deglycosylated reactions by human intestinal bacteria and endophytes []. Enzymatically synthesized and metabolically engineered yeasts have emerged as alternative approaches to producing CK in recent years [,]. Importantly, CK exhibits significant biological and pharmaceutical properties in different aspects, such as antioxidation, antiproliferation, protecting organs, cognitive, central nervous systems, and anticancer activities, which have been reported over the decades. In addition, CK also plays a significant role in hepatic function and antidiabetic disease (Figure 1) [,]. Furthermore, while a small quantity of CK is adequate for therapeutic applications, it is insufficient for the development of novel drugs for the management of a variety of diseases. As a result, in order to create medicine, a sizable amount of CK must be used. In this review, we summarize the research progress on the biological effects of CK and provide an update on the biosynthesis of CK from microbial biotransformation, enzymatic synthesis, and metabolically engineered microbes over the past decade. The advantages and disadvantages of each approach have been discussed for future perspectives in CK production.

Figure 1.
The chemical structure of CK and its biological activities.
2. Biological Significance in Humans
CK is known as a minor ginsenoside. Compared to other ginsenosides, CK has higher and more diverse pharmacological applications in some respects. There are numerous studies on the pharmaceutical properties of CK in different aspects, such as protecting organs, cognitive and central nervous systems, antioxidation, anticancer, antiproliferation, and antidiabetics (Figure 1) [,]. Among these pharmaceutical activities, anticancer agents have been the most important aspect of CK. According to the Global Cancer Observatory (GLOBOCAN), there were an estimated 19.3 million cancer cases worldwide in the year 2020. It is projected that the global burden of cancer cases will be 29.4 million in the year 2040, based on the aging and growing population. Therefore, recently, there have been more studies about the discovery of new drugs for cancer treatments. The demonstration of the cell’s biological mechanism is necessary to develop novel drugs for the treatment of cancer cell lines. According to recent research, CK exhibits anticancer activity via multiple molecular mechanisms, such as apoptosis, inhibitory apoptotic proteins, regulation of cell growth, impact on cell invasion and metastatic activity, and autophagy. It is reported that the effect of CK on cancer cells is related to the AMPK-mTOR/JNK pathway, the PI3K/Akt/mTOR pathway, and reactive oxygen species (ROS) (Figure 2) []. For example, CK has been shown to inhibit NF-κB by hindering Annexin A2, a protein associated with cancer, from binding to the NF-κB p50 subunit. NF-κB acts as a crucial regulator in the development of human astroglial cells and liver cancer cells, primarily by inhibiting apoptosis proteins []. Furthermore, CRISPR/cas technology has been applied to inhibit p-STAT3 in human liver cancer cells. As a result, apoptosis of liver cancer in HepG2 cells is activated when CK is present. In another example, the anticancer ability of CK was examined in the HER2-positive breast cancer cell line (SKBR3) and HER2-negative breast cancer cell line (MDA-MB-231) via 3-(4-5-dimethylthiazol-2-yl)-2-5-diphenyltetrazolium bromide assays, propidium iodide, annexin V staining, and morphological changes. The results indicated that CK, by controlling protein kinase B or Akt activity, could exert anticancer effects and be employed as a medicinal component for breast cancer []. It is reported that CK induces apoptosis in lung cancer cell lines via the AMPK-mTOR and JNK pathways. In the case of colon cancer, CK induced autophagy and apoptosis through the generation of reactive oxygen species and the activation of JNK. In another study of glioblastoma cells, CK significantly inhibited the growth and metastasis of these cells via the PI3K/Akt/mTOR pathway. It can be seen that CK inhibits different cancer cell lines through various pathways (Figure 2) [].

Figure 2.
The functional mechanism of CK on different cancer cell lines. Abbriviation: AMPK, adenosine monophosphate protein kinase; Akt, protein kinase B; GSK3β, glycogen synthase kinase; HIF, hypoxia inducible factor; JNK, c-Jun N-terminal kinase; MAPK, mitogen-activated protein kinase; MAPK, mitogen-activated protein kinase; MMP, metalloproteinase; mTOR, mammalian target of rapamycin; PI3K, phosphatidylinositol 3-kinase; ROS, reactive oxygen species; STAT, signal transducer and activator of transcription.
Several studies have shown the positive impacts of CK on hepatic function, such as suppressing liver damage by preventing c-Jun N-terminal kinase signaling in HepG2 cells and also protecting the liver from sodium valproate-induced hepatotoxicity []. Furthermore, CK has shown a significant decrease in nitric oxide levels, which play an important role in the pathophysiological alterations of inflammatory disorders, at concentrations higher than 10 μg mL−1. CK has also been proven to have a better ability to prevent inflammation compared to other ginsenosides. CK reduces inflammation in lipopolysaccharide-treated RAW 264.7 cells by lowering the production of proinflammatory cytokines such as tumor necrosis factor-α, Interleukine (IL)-1β, and IL-6 []. In other research, a CK-rich fraction was developed and demonstrated to suppress nitric oxide production on lipopolysaccharide-treated RAW 264.7 cells, lower mRNA levels of inducible nitric oxide synthase and interferon-β, and inhibit nuclear factor-kappa B (NF-κB) transcriptional progress [].
In anti-diabetic research, CK has also shown remarkable activity. It has been demonstrated to improve insulin secretion triggered by glucose. In a different study, a rat model of type 2 diabetes mellitus with insulin resistance was used to test the anti-diabetic effects of CK, and the results showed that CK could increase food intake, body weight, insulin sensitivity, and fasting serum insulin level in diabetic rats []. Another notable pharmaceutical application of CK is neuroprotection. CK has shown considerable pharmacological effects on the central nervous system. Studies have explored the application of CK in the treatment of neurological disorders such as depression, Alzheimer’s disease, Parkinson’s disease, and more []. In the prefrontal cortex and hippocampus of chronic unpredictable mild stress rats, CK boosted levels of 5-hydroxytryptamine, dopamine, and their metabolites, enhanced the activity of glutathione and glutathione peroxidase, and also counteracted MAO-B overexpression in these regions. Therefore, CK treatment led to increased brain-derived neurotrophic factor and nerve growth factor expression, demonstrating its antidepressant properties in rodents []. CK has also shown positive effects on vascular dementia by reducing the Amyloid β1-42 deposition caused by chronic cerebral hypoperfusion and improving cognitive impairment through the upregulation of pSer9-Glycogen synthase kinase 3β (pSer9-GSK3β) and the insulin degrading enzyme (IDE) [].
CK has been linked to anti-atherogenic activities. CK and its derivatives have shown the ability to activate the liver X receptor alpha (LXRα) and attenuate the development of atherosclerosis in ApoE-/-mice []. CK also regulates the reverse transport of cholesterol and promotes the ATP-binding cassette transporter A1 (ABCA1), resulting in a reduction in total cholesterol in the blood, blood viscosity, and relieving atherosclerosis []. In terms of anti-aging, CK has been used as a cosmetic ingredient. It enhances the production of hyaluronic acid by activating Src (tyrosine kinase)-dependent Akt and extracellular signal-regulated kinase (ERK). Furthermore, CK reduces the production of cyclooxygenase-2 and matrix metalloproteinase-1 in ultraviolet B irradiated NIH-3T3 skin fibroblast cells or tumor necrosis factor-alpha-stimulated cells and restores the expression level of type I collagen []. This research indicates that CK plays an important role in anti-aging activities. Interestingly, it is predicted that CK or/and another ginsenoside might inhibit myocardial injury by SARS-CoV-2 [].
3. Biosynthesis Approaches for Compound K
3.1. Ginseng Extraction and Chemical Synthesis
Extraction from ginseng and chemical synthesis are two traditional approaches for the synthesis of various ginsenosides [,,]. While the major ginsenosides, such as Rb1, Rb2, Rb3, Rc, and Rd, are present in different parts of ginseng plants at different ages, CK is not naturally present in ginseng []. Although the cultivated areas of ginseng are expanding around the world, low productivity is still the major challenge in extraction for CK production []. Production of minor ginsenosides has been obtained through mild acid hydrolysis and alkaline cleavage, but the chemical synthesis of CK is rare [,]. The disadvantage of chemical synthesis approaches is the requirement for multiple components with low yields. Moreover, these chemical synthesis methods generate non-selectively hydrolyze sugar moieties and produce by-products, resulting in a decrease in the amount of ginsenosides. Furthermore, one of the major shortcomings of these chemical processes is their contribution to environmental pollution through the emission of carbon dioxide [,].
3.2. Enzymatically Synthesized CK
Enzymatic synthetic methods are conventional approaches to produce CK. Enzymatic synthesis displays higher region-specific activity in comparison with chemical synthesis. In these methods, the major ginsenosides, including Rb1, Rb2, Rb3, and Rd, are converted to CK using crude enzymes or purified enzymes [].
3.2.1. Enzyme from Native Microbes
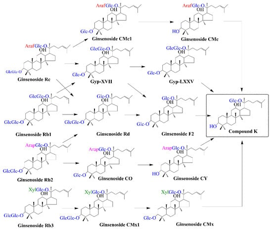
Various types of glucosidases (EC 3.2.1), consisting of β-D-glucosidase (3.2.1.2), β-D-xylosidase (EC 3.2.1.37), α-L-rhamnosidase (EC 3.2.1.40), β-galactosidase (EC 3.2.1.23; lactase), and glycoside hydrolases, are responsible for the hydrolytic reaction []. Due to its easy preparation under mild conditions, crude enzyme is the general trend for ginsenoside conversion. For example, crude enzymes can be prepared from Lactobacillus sp. [,,], Penicillium sp. [], medicinal mushroom Stereum hirsutum [], Aspergillus sp. [,], or Fomitella fraxinea []. Three β-glucosidase active bacterial strains isolated from traditional Korean fermented food (Kim Chi) were used for the conversion of Rb1 or Rd to CK. The optimal time for an enzymatic reaction was 72 h at a pH of 6.0 to 8.0 and a temperature of 30 °C. The conversion percentages from Rb1 to CK were around 99%, and 97% of Rd was decomposed to CK under optimal conditions [,,]. Notably, the hydrolysis of the PPD-type saponin mixture showed the ability to form CK by using crude glycoside hydrolase. A crude preparation of β-galactosidase from Aspergillus oryzae was found to produce CK, whereas crude lactase from Penicillium sp. showed activity for conversion to CK from a PPD-type saponin mixture []. Similarly, A. niger XD101, which produces the ginsenoside-hydrolyzing β-glucosidase, transformed Rb1 via the following pathways: Rb1 → Rd → F2 → CK at pH 4–5 and a temperature of 50–60 °C in 72 h, and resulting in a high conversion yield of 94.4% []. β-glucosidase-producing Stereum hirsutum JE0512, sourced from wild ginseng, was used to produce CK from ginseng extracts in solid-state fermentation using 20 g of corn bran as a substrate. Various biotransformation approaches were identified to produce CK from major ginsenosides, such as Rb1 → Rd → F2 → CK, Rc → Gyp XVII → Gyp LXXV → CK, Rb2 → CO → CY → CK, and Rb3 → CMx1 → CMx → CK (Figure 3; Table 2) []. Although the conversion yield of CK is high, crude enzymes require a large quantity of saponin mixture and exhibit low productivity.

Figure 3.
Biotransformation pathway for CK production by enzymatic reaction and microbes.
Recently, enzymatic catalysis has focused on using purified enzymes to produce CK from major ginsenosides []. Purified and characterized enzymes not only provide extremely selective reactions under very mild conditions but also efficiently remove by-products. Purified enzymes can be obtained from hydrolase-producing microorganisms or recombinant microbes. In the former approach, filamentous fungi are known as one of the most widely produced species of cellulolytic enzymes []. For example, ginsenoside type I and β-glucosidase were isolated and purified from Aspergillus sp. g48p and Paecilomyces Bainier. The β-glucosidase from Paecilomyces Bainier shows only the ability to convert Rb1 to CK at pH 3.5 and 60 °C. By contrast, ginsenoside type I from Aspergillus sp. g48p can hydrolyze multi-glycosides of PPD to produce F2, CK, and Rh2. It can hydrolyze Rb1, Rb2, Rb3, Rc, and Rd at β-glucoside of C-3; hydrolyze Rb1 at β-glucoside of C-20; hydrolyze Rb2 at α-arabinoside of C-20; hydrolyze Rb3 at β-xyloside; and hydrolyze Rc at α-arabinoside (Figure 3; Table 2) [,]. In another case, enzyme preparation from cultured mycelia of Armillaria mellea can convert Rb1 and Rb2 to CK with high yields and without food safety issues [,]. Interestingly, there are several commercial glycoside hydrolases available on the market. Almost all of these enzymes are isolated from fungi, which are used to hydrolyze Korean red ginseng. For example, β-glucanase in Ultraflo L is isolated from Humicolar insolens. Moreover, cellulase, xylanase, hemicellulose, and β-glucanase were mixed in Viscozyme, which is sourced from Aspergillus sp. In another case, pectinase, hemicellulose, and cellulase isolated from A. niger and Trichoderma longibrachiatum are packaged in rapidase [,]. Naringinase (flavonoid β-D-glucosidase) can be used to hydrolyze ginsenoside to generate CK from G-IV, G-IV → G-VIII → G-XII → CK []. The use of commercial enzymes has resulted in an increased rate of bioconversion and extraction.
3.2.2. Recombinant Enzymes
Because recombinant enzymes are expressed under controlled conditions, host microbes can produce the highest concentration of enzymes. Moreover, recombinant microorganisms easily address several environmental effects. As a result, microbes harboring recombinant enzymes not only exhibit the significant efficiency of biotransformation to CK but also reduce costs and processing time. Escherichia coli (E. coli) is known as a ubiquitous microbial host for heterologous gene expression due to its favorable growth conditions and well-characterized genetics and physiology []. Therefore, alternative sources of recombinant β-glucosidase have been considerably overexpressed in E. coli for the production of CK. The recombinant β-glucosidase can be isolated from bacteria, fungi, and archaea. For example, a recombinant β-glucosidase cloned from Fusobacterium K-60 showed conversion of ginsenoside Rb1 into CK []. In 2010, a novel β-glucosidase from a new strain of Terrabacter ginsenosidimutants (Gsoil 3082T) was also applied to produce CK. This enzyme showed its function in the transformation pathway as Rb1 → GypXVII → GypLXXV → CK []. Interestingly, β-glucosidase derived from Microbacterium esteraromaticum was found in two different transformation pathways for the production of CK from ginsenosides: Rb1 → Rd → CK and Rb2 → CY → CK (Figure 3; Table 2) [,]. In another case, a novel β-glucosidase from Bifidobacterium breve ATCC 15700 was able to produce CK from Rd via F2 []. Theoretically, these enzymes exhibit high selectivity and efficiency in hydrolyzing the outer glucose moiety attached to the C-20 position and/or the inner glucose moiety attached to the C-3 position of ginsenosides. While ginsenoside Rb1 and Rb2 were converted to CK by hydrolyzing glucose at both C-3 and C-20 positions, ginsenoside Rd was converted to F2 through the hydrolysis of glucose at the C-3 position. Then, hydrolysis of the C-3 glycoside of F2 produced CK [,]. Notably, E. coli is also used as a microbial platform for the overexpression of β-glucosidase from Archaea. β-glucosidases show a board specificity as they can catalyze the hydrolysis of glycosidic bonds between two and digest glycoside linkages between a sugar and the aglycone.
A thermostable recombinant β-glucosidase from Sulfolobus solfataricus exhibited ginsenoside-hydrolyzing activity. It was demonstrated that this enzyme has concomitant β-glucosidase, β-galactosidase, and β-xylosidase activities. Its catalysis converts ginseng root extract to CK through two transformation pathways, namely Rb1 or Rb2 → Rd → F2 → CK and Rc → Mc → CK []. In another case, thermostable β-glucosidase from Sulfolobus acidocaldarius was found to have the ability to convert major ginsenosides to CK via two pathways (Rb1 → Rd → CK and Rb2 → CY → CK), while β-glucosidase from Pyrococcus furiosus showed the hydrolyzing of Rb1, Rb2, and Rc to CK via Rd [,]. These enzymes, being found in hyperthermophilic bacteria, exhibited optimal hydrolyzing activity at pHs from 5.0 to 6.0 and temperatures over 80 °C. Interestingly, the combination of two or three sugar hydrolyzing enzymes showed the ability to completely convert ginsenosides Rc, Rb2, and major protopanaxadiol ginsenosides to CK. In particular, the α-L-arabinofuranosidase and β-galactosidase isolated from Caldicellulosiruptor saccharolyticus could hydrolyze α-L-arabinofuranoside and β-D-arabiopyranoside, respectively. Moreover, β-glucosidase isolated from Sulfolobus acidocaldarius showed the ability to hydrolyze β-D-glucopyranoside. The combination of α-L-arabinofuranosidase and/or β-galactosidase with β-glucosidase results in the production of CK with productivities of 388, 328, and 144 mg L−1 h−1 from Rc, Rb2, and major protopanaxadiol ginsenosides in ginseng root extract, respectively []. Similarly, the combination of α-L-arabinofuranosidase and/or β-galactosidase with β-glucosidase from Aspergillus tubingensis KCTC 14166 produced 2.47 g L−1 of CK from American ginseng extract []. These findings suggest that the combination of several enzymes provides a promising approach to improving the productivity of CK.

Table 2.
Summary of CK production enzymatic reaction and microbes.
Table 2.
Summary of CK production enzymatic reaction and microbes.
Strains | Transformation Pathway/Products | Buffer/ Medium | Temperature (Degree, °C) | pH | Time (Hours, h) | Titer/Efficiency | Ref. |
---|---|---|---|---|---|---|---|
β-glucosidase from native microbes | |||||||
Armillaria mellea | Rb1 → XVII/ Rd → F2 → CK | SA | 45–55 | 4.0–4.5 | 72–96 | 0.42 (mg mL−1) | [] |
Armillaria mellea KACC 50013 | Rb2 → Rd → F2 → C-K, Rb2 → CO → CY → CK | SA | 45 | 4.5 | 96 | N/A | [] |
Talaromyces purpureogenus | Rb1 → Rd → F2 → CK | MDES | 60 | 4.5 | 48 | 80.60% | [] |
Lactobacillus pentosus DC10 | Rd → F2 → CK | SD | 30 | 7 | 72 | 97% | [] |
Leuconostoc mesenteroides DC102 | Rb1 → XVII/Rd → F2 → CK | SD | 30 | 6.0–8.0 | 72 | 99% | [] |
Leuconostoc citreum LH1 | Rb1 → Rd → F2 → CK | SD | 30 | 6 | 72 | 99% | [] |
Stereum hirsutum JE0512 | Rb 1 → Rd → F2 → CK, Rc → Gyp XVII → Gyp LXXV → CK, Rb 2 → CO→ CY → CK, Rb 3 → CMx1 → CMx → CK | PDA | 25 | 6.8 | 10 days | 54.48 (mg g−1) | [] |
Aspergillus niger XD101 | Rb1 → Rd → F2 → CK | AB | 50-60 | 4–5 | 72 | 94.4% | [] |
Aspergillus tubingensis KCTC 14166 | Rc → Mc1 → Mc → CK Rb1 → Rd → F2 → CK Rb2 → CO → CY → CK | CB/PB | 55 | 4.0 | 20 | 418 (mg L−1 h−1) | [] |
Fomitella fraxinea | Rb1 → Rd → F2 → CK Rc → Rd → F2 → CK Rc → CMc1 → CMc → CK | AB | 45 | 4.5 | 8 | N/A | [] |
Paecilomyces Bainier sp. 229 | Rb1 → Rd → F2 → CK | FB | 45 | 3.5 | 24 | 84.30% | [] |
Aspergillus niger g.848 | Rb1 → Rd → F2 → CK | AB | 45 | 5 | 18 | 69.5% | [] |
Naringinase | |||||||
Gynostemma pentaphyllum | G-IV→ G-VIII → G-XII → CK (theory) | AB | 50 | 4.1 | 71 | 65.44% | [] |
α-L-arabinofuranosidase and/or β-galactosidase with β-glucosidase | |||||||
α-L-arabinofuranosidase and β-galactosidase from Caldicellulosiruptor saccharolyticus; β-glucosidase from Sulfolobus acidocaldarius | Rc → Mc/Rd → CK Rb1 → Rd → CK Rb2 → Rd/CY → CK | CB/PB | 75 | 6.0 | 12 | 388 (mg L−1 h−1) | [] |
14 | 328 (mg L−1 h−1) | ||||||
20 | 144 (mg L−1 h−1) | ||||||
Aspergillus tubingensis KCTC 14166 | Rb1 → Rd → F2 → CK, Rb2 → CO/Rd → CY/ F2 → CK Rc → Rd/CMc1 → F2/CMc → CK | PDB | 28 | 5.0 | 144 | 2.47 (g L−1) | [] |
Enzyme recombinant expressed in E. coli | |||||||
bgpA coding for β-glucosidase from Terrabacter ginsenosidimutans | Rb1 → Gyp XVII → Gyp LXXV → CK | SD | 45 | 7 | N/A | N/A | [] |
bgp3 coding for β-glucosidase from Microbacterium esteraromaticum | Rb1→ Rd → CK | SD | 40 | 7 | 1 | 77% (0.46 mg/mL) | [] |
Rb2 → CY → CK | SD | 40 | 7 | 12 | 0.1 (mg mL−1) | [] | |
β-glucosidase from Bifidobacterium breve ATCC 15700 | Rd → F2 → CK | CB/PB | 35 | 5.0 | 12 | 96% | [] |
β-glucosidase from Sulfolobus solfataricus | Rb1 or Rb2 → Rd → F2 → CK, Rc → CMc → CK | Z buffer | 85 | 5.5 | 12 | 1.63 (mg mL−1) | [] |
Rb1→ Rd→ CK, Rb2→ CY→ CK | CB | 85 | 5.5 | 3 | 0.53 (mg mL−1) | [] | |
β-glucosidase from Pyrococcus furiosus | Rb1, Rb2, or Rc → Rd → CK | CB | 95 | 5.5 | 1 | 2.010 (mg L−1 h−1) | [] |
Cytolase PCL5 | Rb3 → Rd → F2 → CK | N/A | 55.36 | 4.3 | 78.05 | 2.068 (mg mL−1) | [] |
Enzyme recombinant expressed in Lactococcus lactis NZ9000 | |||||||
β-glucosidase genes (BglPm and BglBX10) from Paenibacillus mucilaginosus and Flavobacterium johnsoniae | Rb1 → Rd → F2 → CK | SD | N/A | 7.0 | 36 | 70% | [] |
Enzyme recombinant expressed in Pichia pastoris | |||||||
β-glucosidase from Sulfolobus solfataricus | Rb1 → Rd → F2 → CK | AB | 80 | 6.0 | 30 | 82.5% | [] |
Intestinal bacterial hydrolysis | |||||||
Eubacterium sp. A-44 | Rb1 → Rd → F2 → CK | GAM | 37 | 24 | 9.6 nmol min−1 mg−1 | [] | |
7 | 4.8 ng mL−1 | ||||||
15 | 83.4 ng mL−1 | ||||||
Human gut bacteria | Rb1 → Rd → F2 → CK | BHI | 37 | 36 | 186.9 (µg mL−1) | [] | |
Bifidobacterium K-103 | Rc → Rd → F2 → CK | GAM or TSTA | 37 | 24 | 62.3 (µg mL−1) | [] | |
Bifidobacterium K-506 | Rc → Mb → F2/Mc → CK | GAM or TSTA | 37 | 24 | 6.5 (µg mL−1) | ||
Bacteroides JY-6 | Rc → Mb → F2/Mc → CK | GAM or TSTA | 37 | 24 | 6.7 (µg mL−1) | ||
CK production from endophytes | |||||||
Panax ginseng | |||||||
Arthrinium sp. GE 17-18 | Rb1 → Rd → F2 → CK | PDA | 30 | N/A | N/A | [] | |
Panax notoginseng | |||||||
Fusarium oxysporum YMF1.02670 | Rb1 → Rd → F2 → CK | PDA | 28 | 12 days | 4 mg | [] | |
Platycodon grandiflorum | |||||||
Luteibacter sp. JG09 | Rb1 → Rd → F2 → CK | LB | 30 | 7 days | 66.34% | [] |
Note: MDES, medium-deep eutectic solvent; SA, sodium acetate; SD, sodium phosphate; FB, formate buffer; AB, acetate buffer; CB, citrate buffer; PB, phosphate buffer; PDA, potato dextrose agar; PDB, potato dextrose broth; LB, liquid broth; GAM, general anaerobic medium; BHI, brain heart infusion; TSTA; tryptic soy broth containing 0.01% sodium thioglycolate and 0.1% ascorbic acid; and N/A, not available.
The lack of post-translational modification and low intracellular expression in E. coli led to a limit on the production of CK. Consequently, there is a need to explore alternative microbial hosts for ginsenoside production. Recently, Pichia pastoris (P. pastoris) and Lactococcus lactis have been used as microbial hosts for β-glucosidase expression [,]. Both strains are generally regarded as safe (GRAS) microbes. While lactic acid bacteria (LAB) possess probiotic characteristics, P. pastoris exhibits the ability for post-translational modification and rapid growth at high cell densities. Therefore, these strains are a suitable expression system for heterologous protein production. In the case of lactic acid bacteria, L. lactis NZ9000, carrying β-glucosidase genes (BglPm and BglBX10) from Paenibacillus mucilaginosus and Flavobacterium johnsoniae, demonstrated the conversion of up to 70% of Rb1 to CK []. In another case, P. pastoris was used as a microbial host for the expression of a thermostable β-glucosidase from Sulfolobus solfataricus. The recombinant SS-bgly expressed in P. pastoris achieved an 82.5% conversion rate of Rb1 to CK (Table 2) []. These results indicated that lactic acid bacteria and P. pastoris could be potential candidates for the industrial production of the rare ginsenoside CK.
3.3. Biotransformation by the Human Intestinal Bacteria
Although ginseng plants primarily contain major ginsenosides, the human body could obtain CK via oral administration of ginsenosides. A study was conducted to investigate the concentration of ginsenosides and CK in human plasma, involving 11 healthy Korean adults who consumed red ginseng extract for 2 weeks []. The results showed a decrease in the concentration of Rg3 while CK and its metabolites increased over time. This slow absorption suggests that CK and its metabolites can be absorbed in the intestine, with intestinal bacteria playing a crucial role in generating CK from major ginsenosides. The transformation process of ginsenosides by the gut microbiota is extremely complex, with 15 different metabolites from protopanaxadiol saponins.
Although major ginsenosides such as Rb1, Rb2, and Rc, possess high solubility, they have low membrane permeability and are susceptible to degradation []. Intestinal bacterial hydrolysis not only plays a significant role in metabolic function but also improves the absorption and stability of ginsenosides. The conversion pathway, Rb1→ Rd → F2 → CK, is known as one of the ubiquitous approaches to biotransformation by intestinal bacteria. Various bacterial species, including Eubacterium sp. A-44 isolated from rat or human gut bacteria such as Streptococcus sp. and Bifidobacterium sp., showed the ability to transform Rb1 to CK through geniposide-hydrolysing β-D-glucosidase activity [,]. Similarly, Hasegawa et al., [] isolated Prevotella oris strains from human fecal samples, which were found to have the ability to hydrolyze ginsenoside Rb1 into CK. Studies have also identified the transformation pathway of Rd → F2 → CK through selective hydrolysis of the C-3 in Rd using β-D-glucosidase enzyme []. Interestingly, another pathway via Rb1 → G-XVII → G-LXXV/F2 → CK was investigated when pooled gut bacteria were incubated anaerobically with Rb1. It was observed that the rate of the pathway was rapid and the percentage of conversion from G-XVII to G-LXXV was minor in comparison with the conversion of G-XVII to F2. These findings indicated that human gut bacteria could digest glucose residue at the C-20 position in addition to Rb1, and other major ginsenosides are also utilized by microbiota for conversion into CK. The bacteroide HJ-15 transforms Rc into CK via ginsenosides Mb and Mc (Rc → Mb → Mc → CK) (Figure 3; Table 2) []. In summary, bacteria utilize stepwise sugar cleavage reactions to transform various ginsenosides [].
A study on the plasma levels of compounds in 15 individuals found significant variation in the concentrations of Rd and CK among subjects. Some individuals had much higher levels of Rd and CK than others in the study. The data recorded on the first and fifteenth days showed that this difference was not dependent on the method of extract use: either a single dose or multiple days in a row. This difference suggests that some individuals have a higher capacity to convert ginsenosides to Rd and CK []. The absorption rate of CK in the blood is directly linked to the body’s ability to convert it []. In mice, this ratio is also influenced by the diet, including prebiotics []. Furthermore, the absorption rate of CK also varies depending on the species. The concentration in the plasma and AUC of CK in mice is 5–6 times higher than in rats, although there is no significant difference in half-life or average residence time between the two species. Analysis of bacterial composition in fecal samples revealed that groups of Bacteroides sp., Eubacterium sp., and Bifidobacterium sp. in mice have lower proportions and activity compared to humans []. It has been reported that humans with a higher proportion of Bacteroides sp. in their gut microbiota have six times higher metabolic activity of compound K than those with a lower proportion of Bacteroides sp. []. The study also highlighted the high diversity and richness of the group with strong conversion ability, particularly in the dominant groups Firmicutes, Bacteriodetes, and Tenericutes [].
Overall, the gut microbiota is healthy. However, gut bacterial enzymes are influenced by many factors, particularly dietary habits. Enzyme activity is not dependent on gender or age but varies between individuals, impacting their ability to convert ginsenosides []. These reports have shown that the low absorption of ginsenoside metabolites is significantly dependent on the composition and metabolic activity of the gut microbiota.
3.4. Biotransformation by Endophytes
As mentioned previously, CK is a minor ginsenoside that cannot be extracted in large amounts from the natural ginseng plant. Therefore, several studies have focused on transforming major ginsenosides to CK through different methods such as hydrolysis, enzymatic biotransformation, microbial transformation, etc. Inside microbial transformation, biotransformation by endophytes is an efficient method due to its low price, high accuracy, selectivity, and environmental protection []. Endophytes are microorganisms inside vascular tissues and intercellular spaces in plant tissues that have the function of infiltrating healthy plant tissues without causing any disease for the plants []. Based on their unique living conditions and extended coexistence with their hosts, endophytes have developed distinct adaptations to maintain a consistent symbiosis. They can also synthesize a variety of extracellular enzymes for the manufacture of secondary metabolites. Thus, to produce more active compounds, complicated processes involving endophytes have been applied to the biotransformation of region- and stereo-selective synthesis to converse natural compounds [].
In recent years, numerous studies have focused on exploring different endophytes that could participate in the biotransformation of major ginsenoside to minor ginsenoside, including CK. It has been reported that the glucosidase of endophytes Fusarium sp. YMF1.02670 or YMF1.02193 could deglycosylate the major ginsenoside Rb1 to CK []. Among 32 β-glucosidase-producing endophytes, extracted endophyte bacteria JG09 defined as Luteibacter sp. from P. grandiflorum is capable of efficiently converting CK from the major ginsenosides Rb1, Rb2, and Rc. To enhance the yield of CK, the optimal conditions of the fertile process and the content of saponins were evaluated. Endophyte JG09 was found to hydrolyze Rb1, Rb2, and Rc to CK by distinct β-glucosidase in the following pathways: Rb1 → Rd → F2 → CK; Rb2 → CO → CY → CK; Rc → CMc1 → CMc → CK; and Rd → F2 → CK. After 7 days, the highest yield of CK was recorded at 66.34% (Figure 3; Table 2) []. Similarly, the extracted β-glucosidase-producing endophyte from P. ginseng also participated in the biotransformation of Rb1 to CK through the hydrolyzation method in the following sequence: Rb1 → Rd → F2 → CK []. Moreover, a different study also represented a high percentage of transformation from Rb1 to CK, with the contribution of endophytes Fusarium oxysporum and Coniochaeta sp. extracted from ginseng and P. notoginseng []. In another study, using β-glucosidase isolated from Armillaria mellea mycelium, Rb2 was hydrolyzed and transformed into CK via the catalytic pathway Rb2 → CO → CY → CK []. These studies have showcased the significant control that endophytes exert in the biotransformation of major ginsenosides to CK. The advancement of fermentation, extraction, purification, characterization, and bioassay techniques has also contributed to the improvement of the biotransformation process []. Moreover, the fermentation process is speedy, efficient, and commercially sustainable, with plenty of room for manipulation through the addition of precursors, elicitors, specialized enzymes, and modifiers for the effectively increased synthesis of bioactive chemicals. However, there are ongoing challenges in maintaining the biotransformation by endophytes that should be considered.
4. Metabolically Engineered Microbes
Engineering microorganisms is a sustainable and promising approach for the production of plant-derived secondary metabolites to accelerate industrialization. Synthetic biology and metabolic engineering have made significant progress in producing high-value compounds. For example, flavonoids and stilbenes are produced by E. coli [], taxol is produced by E. coli and Saccharomyces cerevisiae [,], and artemisinin is produced by S. cerevisiae []. To date, the highest terpenoid titers have been achieved using E. coli and S. cerevisiae. Both model microbes are known as GRAS organisms with well-characterized microbial cell factories. They are not only easy to cultivate and grow fast but also produce high efficiency and productivity of terpenoids []. The toxic accumulation of CK negatively affects the growth of E. coli, and expressing plant cytochrome P450s in E. coli is challenging []. By contrast, yeasts, including S. cerevisiae and Yarrowia lipolytica, possess redox systems that allow tailoring enzymes such as CYP450s and glycosyltransferase to further modify the core structure of terpenoids. As a result, yeast cells can produce CK as well as other terpenoids [,]. According to the advantages and characteristics of yeasts, metabolic engineering strategies provide various approaches to producing CK. First, the common approach is the overexpression of heterologous genes in S. cerevisiase. The genes of CK biosynthesis from squalene involve endogenous squalene epoxidases 1 (ERG1), dammarenediol synthase (PgDDS) and UDP-glycosyltransferase (UGT71A28) from P. ginseng, and a cytochrome P450 (CYP716A47) from P. ginseng co-expressed with an NADPH-cytochrome P450 reductase (ATR2-1) from Arabidopsis thaliana. In this pathway, ERG1 catalyzes the conversion of squalene to 2,3-(S)-oxidosqualene. Then, 2,3-(S)-oxidosqualene, an intermediate from the mevalonate pathway in S. cerevisiae, is converted to dammarenediol II (DD II) by catalyzing PgDDS. Next, UGT71A28 catalyzes the formation of DMG from DD II under the availability of UDP-Glucose in the cells. After that, CYP716A47 fused-ATR2-1 is catalyzed as a monooxygenase to the formation of CK from DMG. On the other hand, DD II is converted to PPD by CYP716A47 fused-ATR2-1 and forms CK from PPD by catalyzing UGT71A28 (Figure 4). Noticeably, UGT71A28 acts as a stereospecific and regioselective glycosyltransferase, which transfers glucose residues to the C-20S-OH of PPD. As a result, engineered S. cerevisiae BK1 harboring biosynthesis pathway genes produced 155.4 μg L−1 of CK using glucose as a carbon source (Table 3) [].

Figure 4.
The proposed biosynthetic pathway for CK production in engineered yeasts. Blue: yeast native enzymes; purple: P. ginseng enzymes, and green: A. thaliana enzyme. Intermediates: HMG-CoA, β-Hydroxy β-methylglutaryl-CoA; DMAPP, dimethylallyl pyrophosphate; IPP, isopentenyl pyrophosphate; FPP, farnesyl diphosphate; MVA, mevalonate; MVAP, mevalonate 5-phosphate; MVAPP, mevalonate 5-pyrophosphate; UTP, uridine triphosphate; UDP, uridine diphosphate; and UMP, uridine monophosphate. Enzymes: ACS: acetyl-CoA synthase; ADH2, alcohol dehydrogenase; HK, hexokinase; ALD6, acetaldehyde dehydrogenase; ERG10, acetyl-CoA C-acetyltransferase; ERG13, HMG-CoA synthase; HMG, 3-hydroxy-3-methylglutaryl-CoA reductase; ERG12, mevalonate kinase; ERG8, phosphomevalonate kinase; ERG19, diphosphomevalonate; IDI, isopentenyl diphosphate-isomerase; ERG20, farnesyl diphosphate synthase; ERG9, squalene synthase; ERG1, squalene epoxidase; ERG7, lansterol synthase; CPR, cytochrome P450 reductase; PPDS, protopanaxadiol synthase; UGT, UDP-glycosyltransferase; PGM: phosphoglucomutase 2; FKS1, 1,3-β-D-glucan synthase; GLC3, glycogen-branching enzyme; and ALG5, glycosyltransferase on N-linked glycosylation.

Table 3.
List of the engineered yeasts for CK production under shake-flask/fed-batch conditions with appropriate medium at 30 °C.
Secondly, the control of gene expression has a significant effect on the optimization of cell factories. Promoter sequences encode the level of gene expression by regulating the transcription in yeast S. cerevisiae. Making a rational design of the promoter is one of the most effective approaches for controlling gene expression. Constitutive and inducible promoters have been widely used for gene expression in recent years. Constitutive promoters are constantly active under various cultural conditions. Well-known examples in yeasts include constitutive promoters of ribosomes (PRP, cytoplasmic ribosomal protein; Pribi, ribosome biogenesis; and PsnoRNA, small nucleolar RNA genes) [], promoters for genes encoding the cellular translational machinery (PTEF1, and PTEF2, translation elongation factor EF-1α and EF-2 α, respectively) [], and constitutive promoters of glycolytic genes (PGAP, glyceraldedyde-3-phosphate dehydrogenase; PGPM1, phosphoglycerate mutase; and PADH1, alcohol dehydrogenase) []. For example, the expression of genes related to the MVA pathway under the control of a constitutive promoter in S. cerevisiae ZW-F1-17, including ERG20 under the control of PGPM1, EGR9, tHMG1, and UGTPg1 under the control of PGK1, PgERG1, and CYP716A53v2 under the control of PTEF1 and PgCPR1 under the control of PTDH3, resulted in the production of 7.5 mg L−1 of CK []. Due to the strong characteristics of these promoters, the expression of certain enzymes in metabolic pathways leads to the production of toxic by-products, thus reducing cell growth []. Furthermore, the flux regulation of the central carbon metabolism and the demand for energy (ATP) and redox cofactors (NADPH) lead to an increase in metabolic burden for yeast cells []. Therefore, inducible promoters are a sustainable approach to the replacement of strong constitutive promoters under dynamic cultural conditions. Carbon source-dependent promoters allow activation of a biosynthesis pathway after the host growth phase has been completed []. For example, in the replacement of constitutive promoters PGPM1 and PTEF1 by the galactose inducible promoters PGAL1 and PGAL10 in engineered S. cerevisiae AK1, CK was produced 1.57-fold higher than a BK1 strain from galactose with a yield of 244.8 μg L−1 [].
Thirdly, the identification and overexpression of key rate-controlling enzymes in the biosynthesis pathway are promising approaches to improving the target products. In the MVA pathway, 3-hydroxy-3-methylglutaryl-coenzyme A (HMG) reductase (HMG1, HMG2) catalyzes the conversion of HMG to MVA. This enzyme is identified as the rate-limiting enzyme because it shows the ability to inhibit post-transcriptional feedback in the MVA pathway []. In order to address this bottleneck, the removal of the N-terminal transmembrane sequence, which encodes membrane-binding activity, has commonly been used to enhance enzyme activity. In addition, overexpression of tHMH1 under control of PADH1 along with a semi-dominant mutant allele of a global transcription factor for sterol biosynthesis (UPC2.1) under control of PADH1 has significantly improved CK production. The engineered S. cerevisiae AKE and BKE produced a 5-fold increase in the yield of CK, with 1424.8 and 802.2 μg L−1, respectively []. Similarly, the inefficiency of UDP-sugar, the donor sugar moieties of glycosyltransferase enzymes, is one of the major limiting factors for the production of CK in yeast cells. An engineered strain for CK production was developed by overexpressing a UDP-glucose biosynthetic pathway in PPD-producing S. cerevisiase WLT-MVA5. The UDP-glucose biosynthetic pathway included UDP-glucose glucosyltransferase (UGP1) from P. ginseng, phosphoglucomutase 2 (PGM2), and UTP-glucose-1-phosphate uridylyltransferase 1 (UGP1) from S. cerevisiae W303-1a. In this pathway, glucose-6-phosphate is converted to glucose-1-phosphate by PMG2. Then, UGP1 catalyzes the conversion of glucose-1-phosphate to UDPG. Finally, the formation of CK from PPD is carried out through the catalyzing of UGT1. After successful overexpression of three genes, a 79.81% increase in CK production and a 183.20% enhancement in the rate of conversion were achieved (Table 3) [].
Fourthly, in addition to overexpression of the genes involved in UDP-glucose biosynthesis, reducing UDP-glucose consumption is an important approach to preserving and improving the available UDP-glucose in S. cerevisiae. Overexpression of URA6 along with YNK1 or the deletion of YND1 led to improved UTP, a metabolic intermediate of UDP-glucose. While URA6 is catalyzed to produce UDP from UMP, YNK1 is converted from UMP to UTP. On the other side, UTP could be dephosphorylated by YND1 to synthesize UDP and UMP. At this stage, the combined overexpression of the genes PGM2, UPG1, URA6, and YNK1 in engineered S. cerevisiae WPK8 or the combined overexpression of the genes PGM2 and UPG1 along with the deletion of YND1 in engineered S. cerevisiae WPK8 resulted in an improvement in the CK titer (Figure 4) []. In theory, UDP-glucose could not only be converted to intermediate molecules through enzymatic reversible reactions but also be present in many yeasts’ metabolic processes, including glycogen biosynthesis, protein glycosylation, and cell well biosynthesis [,]. Therefore, knockdown and knockout of the genes encoding the consumption pathway of UDP-glucose are required for improving CK production. However, it has been demonstrated that the deletion of FKS1 (encoding for yeast 1,3-β-D-glucan synthase, which catalyzes glucan chain elongation using a glucose donor from UDP-glucose on the cell wall biosynthesis) and GLC3 (encoding for glycogen-branching enzyme) did not improve CK production in engineered S. cerevisiae WPK10 and WPK11, respectively (Figure 4) [,]. Conversely, the deletion of ALG5 (encoding for a glycosyltransferase on N-linked glycosylation of protein in yeast) resulted in an increase of 12% of CK tilter compared to the non-mutant strain, which is the highest reported yield to date with 5.74 g L−1 (Table 3) []. It is possible that UDP-sugar is used as a compensatory mechanism in a network of biochemical reactions.
Fifthly, yeast cells consist of various subcellular compartments, such as the endoplasmic reticulum, mitochondria, peroxisomes, vacuole, and cytosol. Each subcellular compartment exhibits a unique physiochemical environment with different enzymes, cofactors, and metabolites [,]. Modifying subcellular compartments in engineered yeasts provides novel strategies to produce CK. Interestingly, this strategy could achieve up to 5 g L−1 of CK. In order to engineer storage organelles (lipid droplets) of PPD substrate from DD II, the yeast PLN1 protein was expressed in the normally endoplasmic reticulum (ER), which is the localization of cytochrome P450 enzymes PPD synthase (PPDS). It was demonstrated that the change in the ratio of volume and surface area of LDs led to a decrease in the conversion from DD to PPD, while the alternative morphology of LDs showed the effects on their storage capacity [].
Noticeably, one of the greatest challenges of industrial production is the cost of raw materials. While non-renewable fossil raw materials for energy and commercial products are rapidly becoming a global crisis, the application of renewable carbon sources has been developed as a recent national and global strategy []. Currently, glucose is known as the main renewable carbon source for microbial production. However, there are various other types of renewable carbon sources available, such as agricultural and forestry residues, industrial by-products, or non-food biomass, which could be used as low-cost feedstock to produce commercial products. Moreover, these raw materials do not compete with food and feed chains. Therefore, alternative carbon source utilization is a sustainable approach to apply to microbes for bioproduction [,]. In the case of CK production, glycerol and ethanol are used as carbon sources in engineered S. cerevisiase. Glycerol, being a byproduct of the biodiesel industry, is a low-cost and abundant product. Moreover, there are several other advantages to using glycerol as a carbon source in microbial production. Firstly, glycerol provides more reducing equivalents compared to sugars. The amount of reducing equivalents from glycerol to phosphoenolpyruvate or pyruvate is 2-fold higher than the conversion from glucose []. Secondly, since glycerol does not show activity on the permeable membrane, it can increase the stabilizing enzyme conformation on the cell membrane. Furthermore, glycerol acts as a chaperone for protein folding [,]. It has been reported that glycerol increases UDPG pyrophosphatase activity and the accumulation of UDPG when S. cerevisiae is cultured in glycerol []. As a result, the production of CK from engineered S. cerevisiae WLT-MVA5 cultured in YPD medium containing 20% glycerol was 45.68% higher than that from this strain cultured in YPD medium containing 20% glucose []. Noticeably, S. cerevisiase produces ethanol during fermentation, and then ethanol is used as a carbon source when glucose becomes depleted []. Since ethanol facilitates the formation of PPD, a mixture of glycerol and ethanol was used, enabling CK production of 1.7 g L−1 in the 5-L bioreactor fed fermentation (Table 3) [].
Recently, the non-conventional oleaginous yeast Y. lipolytica has been considered a promising host for the production of lipid-based oleochemicals []. Like S. cerevisiase, Y. lipolytica is known as a eukaryote cell with “GRAS” status. Moreover, the genome of Y. lipolytica has been well sequenced and is suited for genetic manipulation []. However, there are many advantages of Y. lipolytica in the production of hydrophobic compounds compared to S. cerevisiase. Firstly, unlike the Crabtree-positive yeast S. cerevisiae, Y. lipolytica is Crabtree-negative and possesses a respiratory metabolism with a robust energy supply system, enabling higher biomass yields in fermentation processes []. Therefore, Y. lipolytica metabolism avoids carbon loss through excretion of acetate and ethanol. Moreover, unlike S. cerevisiae, Y. lipolytica can grow with high growth rates on various renewable carbon sources, such as glycerol, pentose, waste oil, fatty acids, and C1 carbon sources. This characteristic may provide a promising industrial host for the economic production of high-value compounds []. Importantly, the metabolic traits of Y. lipolytica include high acetyl-CoA flux, which is known as a key precursor of the MVA pathway []. These traits are thus of interest for the application of metabolic engineering and synthetic biology to the synthesis of terpenoids, such as monoterpenoids (limonene and linalool) [,], sesquiterpenoids (α-farnesene and (+)-nootkatone) [,], and tetraterpenoids (β-carotene and lycopene) [,]. However, engineering Y. lipolytica for the production of triterpenoids has been rarely performed; especially since Y. lipolytica cannot be directly synthesized to CK due to its lack of three enzymes, including DDS, CYP450s, and UGT. To increase the metabolic flux of 2,3-Oxidosqualene and promote the accumulation of the final product, overexpression of key genes in the MVA pathway and heterologous expression of lacking genes have been investigated.
5. Conclusions and Future Perspectives
CK exhibits various important biological and pharmaceutical properties, including antitumor, anti-cancer, anti-diabetic, anti-skin aging, hepatoprotective, and neuroprotective effects. The research of CK not only focuses on expanding various biological activities but also aims to understand its multiple molecular mechanisms. Although ginseng of the Araliaceae family commonly produces protopanaxadiol and protopanaxatriol ginsenoside, CK is still absent from natural ginseng. The various processes used for CK biosynthesis include chemical synthesis, enzymatic reactions, microbial transformation, and metabolic engineering. Chemical synthesis is not only rare but also has low yields. Chemical methods use toxic agents and organic solvents, which are hazardous to human health and the environment. While green chemistry has reduced and eliminated the use of hazardous substances, biological approaches have shown many advantages for the production of CK.
Microbial hosts, including human intestinal bacteria, endophytes, and industrial microbes, have been shown to be the most important cell factories for CK production. While endophytes are known as a promising source of ginsenosides, biotransformation has also been carried out by intestinal bacteria. The discovery of novel endophytes from ginseng plants would provide potential approaches to producing CK. Moreover, the investigation of β-glucosidase-produced endophytes is necessary to increase the amount of biotransformation for the production of CK. Similarly, further investigation is required to understand the distribution, biodiversity, and composition of gut microbiota. The β-glucosidase from endophytes and intestinal bacteria could be supported by the genes in engineered strains, such as E. coli or/and S. cerevisiae. This approach provides various sources of enzymes for in vitro reactions, which may improve the efficient production of CK.
Recently, the whole genome of ginseng plants and endophytes has been investigated through omics tools. Omics tools, including next-generation sequencing, metagenomics, transcriptomics, proteomics, and metabolomics, have been applied to identify genes encoding for three enzymes crucial for CK biosynthesis: OSCs, CYP450s, and GTs. However, the functional genes and enzymes from omics data are still limited. The reason is that the characterized OSCs, CYP450s, and GTs are most likely sourced from P. ginseng. The identified genes encoding for three enzymes from other ginseng plants have not been well understood yet. Furthermore, omics data from the ginseng endophytes is still lacking. Therefore, the development of omics data from the ginseng plants and their endophytes is required for further studies.
Noticeably, metabolic engineering assisted-synthetic biology provides a promising approach to producing CK in endophytes and engineered microbes. Various metabolic engineering strategies on yeast strains, such as heterologous gene expression, enzyme engineering, codon optimization, copy number multiplication, subcellular localization, balancing, and increasing metabolic flux, have been applied to achieve the efficient production of CK. Importantly, the development of synthetic biology tools, including RNA interference (RNAi) and CRISPR-Cas systems, have emerged as a powerful tool for genome editing, which allows knock-down, knock-out, knock-in, and fine-tuning of genes from the CK biosynthetic. While synthetic biology tools have been highly applied for genomic editing on S. cerevisiae, Y. lipolytica and P. pastoris have not been much used as hosts for CK production. Therefore, these two non-conventional yeasts could be engineered by synthetic biology tools to improve the productivity of CK.
Author Contributions
Conceptualization and writing—original draft preparation, L.L.C.; writing—review and editing, L.L.C., N.T.Y.H., M.L.Q., Q.H.N., T.T.P.L. and K.V.D.; supervision, L.L.C.; image illustration and table preparation, N.T.Y.H. and L.L.C. All authors have read and agreed to the published version of the manuscript.
Funding
The work was supported by grant PU2022-1-A-09 from Phenikaa University, Vietnam.
Institutional Review Board Statement
Not applicable.
Informed Consent Statement
Not applicable.
Data Availability Statement
This study did not report any data that needs to be available.
Conflicts of Interest
The authors declare no conflict of interest.
References
- Liu, J.; Zhang, X.; Yang, S.; Wang, S.; Liu, C.; Yang, B.; Li, Y.; Cai, T. Rapid identification of characteristic chemical constituents of Panax ginseng, Panax quinquefolius, and Panax japonicus using UPLC-Q-TOF/MS. J. Anal. Methods Chem. 2022, 2022, 6463770. [Google Scholar]
- Sun, Y.; Liu, X.; Fu, X.; Xu, W.; Guo, Q.; Zhang, Y. Discrepancy study of the chemical constituents of Panax Ginseng from different growth environments with UPLC-MS-based metabolomics strategy. Molecules 2023, 28, 2928. [Google Scholar] [CrossRef] [PubMed]
- Kim, J.H.; Yi, Y.S.; Kim, M.Y.; Cho, J.Y. Role of ginsenosides, the main active components of Panax ginseng, in inflammatory responses and diseases. J. Ginseng Res. 2017, 41, 435–443. [Google Scholar] [CrossRef] [PubMed]
- Liu, H.; Lu, X.; Hu, Y.; Fan, X. Chemical constituents of Panax ginseng and Panax notoginseng explain why they differ in therapeutic efficacy. Pharmacol. Res. 2020, 161, 105263. [Google Scholar] [CrossRef]
- Hou, J.P. The chemical constituents of ginseng plants. Comp. Med. East West 1977, 5, 123–145. [Google Scholar] [CrossRef]
- Wang, H.P.; Wang, Z.J.; Du, J.; Lin, Z.Z.; Zhao, C.; Zhang, R.; Yin, Q.; Fan, C.L.; Peng, P.; Wang, Z.B. Comprehensive identification of ginsenosides in the roots and rhizomes of Panax ginseng based on their molecular features-oriented precursor ions selection and targeted MS/MS analysis. Molecules 2023, 28, 941. [Google Scholar] [CrossRef]
- Jin, S.; Jeon, J.H.; Lee, S.; Kang, W.Y.; Seong, S.J.; Yoon, Y.R.; Choi, M.K.; Song, I.S. Detection of 13 Ginsenosides (Rb1, Rb2, Rc, Rd, Re, Rf, Rg1, Rg3, Rh2, F1, Compound K, 20(S)-Protopanaxadiol, and 20(S)-Protopanaxatriol) in human plasma and application of the analytical method to human pharmacokinetic studies following two week-repeated administration of red ginseng extract. Molecules 2019, 24, 2618. [Google Scholar]
- Peng, S.; Li, X.; Jiang, W.; Wang, Y.; Xiang, G.; Li, M.; Wang, Y.; Yang, Z.; Li, Y.; Liu, X.; et al. Identification of two key UDP-glycosyltransferases responsible for the ocotillol-type ginsenoside majonside-R2 biosynthesis in Panax vietnamensis var. fuscidiscus. Planta 2023, 257, 119. [Google Scholar] [CrossRef]
- Tong, Y.; Song, X.; Zhang, Y.; Xu, Y.; Liu, Q. Insight on structural modification, biological activity, structure-activity relationship of PPD-type ginsenoside derivatives. Fitoterapia 2022, 158, 105135. [Google Scholar] [CrossRef]
- Gao, X.Y.; Liu, G.C.; Zhang, J.X.; Wang, L.H.; Xu, C.; Yan, Z.A.; Wang, A.; Su, Y.F.; Lee, J.J.; Piao, G.C.; et al. Pharmacological properties of ginsenoside Re. Front. Pharmacol. 2022, 13, 754191. [Google Scholar] [CrossRef]
- Lu, J.; Wang, X.; Wu, A.; Cao, Y.; Dai, X.; Liang, Y.; Li, X. Ginsenosides in central nervous system diseases: Pharmacological actions, mechanisms, and therapeutics. Phytother. Res. 2022, 36, 1523–1544. [Google Scholar] [CrossRef]
- Chen, J.; Huang, Q.; Li, J.; Yao, Y.; Sun, W.; Zhang, Z.; Qi, H.; Chen, Z.; Liu, J.; Zhao, D.; et al. Panax ginseng against myocardial ischemia/reperfusion injury: A review of preclinical evidence and potential mechanisms. J. Ethnopharmacol. 2023, 300, 115715. [Google Scholar] [CrossRef]
- Hwang, E.; Park, S.Y.; Yin, C.S.; Kim, H.T.; Kim, Y.M.; Yi, T.H. Antiaging effects of the mixture of Panax ginseng and Crataegus pinnatifida in human dermal fibroblasts and healthy human skin. J. Ginseng Res. 2017, 41, 69–77. [Google Scholar] [CrossRef]
- Yi, Y.S. Potential benefits of ginseng against COVID-19 by targeting inflammasomes. J. Ginseng Res. 2022, 46, 722–730. [Google Scholar] [CrossRef]
- Sharma, A.; Lee, H.J. Ginsenoside compound K: Insights into recent studies on pharmacokinetics and health-promoting activities. Biomolecules 2020, 10, 1028. [Google Scholar] [CrossRef]
- Chu, L.L.; Bae, H. Bacterial endophytes from ginseng and their biotechnological application. J. Ginseng Res. 2020, 46, 1–10. [Google Scholar] [CrossRef]
- Upadhyaya, J.; Kim, M.J.; Kim, Y.H.; Ko, S.R.; Park, H.W.; Kim, M.K. Enzymatic formation of compound-K from ginsenoside Rb1 by enzyme preparation from cultured mycelia of Armillaria mellea. J. Ginseng Res. 2016, 40, 105112. [Google Scholar] [CrossRef] [PubMed]
- Chu, L.L.; Montecillo, J.A.V.; Bae, H. Recent advances in the metabolic engineering of yeasts for ginsenoside biosynthesis. Front. Bioeng. Biotechnol. 2020, 8, 139. [Google Scholar] [CrossRef]
- Liu, J.; Wang, Y.; Yu, Z.; Lv, G.; Huang, X.; Lin, H.; Ma, C.; Lin, Z.; Qu, P. Functional mechanism of ginsenoside Compound K on tumor growth and metastasis. Integr. Cancer Ther. 2022, 21, 15347354221101203. [Google Scholar] [CrossRef]
- Tam, D.N.H.; Nam, N.H.; Cuong, N.T.K.; Hung, D.T.; Soa, D.T.; Altom, A.; Tran, L.; Elhadad, H.; Huy, N.T. Compound K: A systematic review of its anticancer properties and probable mechanisms. Fundam. Clin. Pharmacol. 2023. [Google Scholar] [CrossRef]
- Huang, Y.; Liu, H.; Zhang, Y.; Li, J.; Wang, C.; Zhou, L.; Jia, Y.; Li, X. Synthesis and biological evaluation of ginsenoside compound K derivatives as a novel class of LXRα activator. Molecules 2017, 22, 1232. [Google Scholar] [CrossRef] [PubMed]
- Ren, S.; Liu, R.; Wang, Y.; Ding, N.; Li, Y. Synthesis and biological evaluation of ginsenoside compound K analogues as a novel class of anti-asthmatic agents. Bioorganic Med. Chem. Lett. 2019, 29, 51–55. [Google Scholar] [CrossRef] [PubMed]
- Wang, Y.S.; Zhu, H.; Li, H.; Li, Y.; Zhao, B.; Jin, Y.H. Ginsenoside compound K inhibits nuclear factor-kappa B by targeting annexin A2. J. Ginseng Res. 2018, 43, 452–459. [Google Scholar] [CrossRef]
- Choi, E.; Kim, E.; Kim, J.H.; Yoon, K.; Kim, S.; Lee, J.; Cho, J.Y. AKT1-targeted proapoptotic activity of compound K in human breast cancer cells. J. Ginseng Res. 2019, 43, 692–698. [Google Scholar] [CrossRef] [PubMed]
- Zhou, L.; Zeng, X.; Liao, J.; Chen, L.; Ouyang, D. Gut microbiota modulates the protective role of ginsenoside compound K against sodium valproate-induced hepatotoxicity in rat. Front. Microbiol. 2022, 13, 936585. [Google Scholar] [CrossRef] [PubMed]
- Ryu, S.J.; Choi, J.; Lee, J.S.; Choi, H.S.; Yoon, K.Y.; Hwang, J.H.; Kim, K.J.; Lee, B.Y. Compound K inhibits the lipopolysaccharide-induced inflammatory responses in raw 264.7 cell line and zebrafish. Appl. Sci. 2018, 8, 924. [Google Scholar] [CrossRef]
- Baik, I.H.; Kim, K.H.; Lee, K.A. Antioxidant, anti-inflammatory and antithrombotic effects of ginsenoside compound K enriched extract derived from ginseng sprouts. Molecules 2021, 26, 4102. [Google Scholar] [CrossRef]
- Liu, T.; Zhu, L.; Wang, L. A narrative review of the pharmacology of ginsenoside Compound K. Ann. Transl. Med. 2022, 10, 234. [Google Scholar] [CrossRef]
- Pagonabarraga, J.; Alamo, C.; Castellanos, M.; Diaz, S.; Manzano, S. Depression in major neurodegenerative diseases and strokes: A critical review of similarities and differences among neurological disorders. Brain Sci. 2023, 13, 318. [Google Scholar] [CrossRef]
- Song, W.; Guo, Y.; Jiang, S.; Wei, L.; Liu, Z.; Wang, X.; Su, Y. Antidepressant effects of the ginsenoside metabolite compound K, assessed by behavioral despair test and chronic unpredictable mild stress model. Neurochem. Res. 2018, 43, 1371–1382. [Google Scholar] [CrossRef]
- Zong, W.; Zeng, X.; Chen, S.; Chen, L.; Zhou, L.; Wang, X.; Ouyang, D. Ginsenoside compound K attenuates cognitive deficits in vascular dementia rats by reducing the Aβ deposition. J. Pharmacol. Sci. 2019, 139, 223–230. [Google Scholar] [CrossRef]
- Zhou, L.; Zheng, Y.; Li, Z.; Bao, L.; Dou, Y.; Tang, Y.; Zhang, J.; Zhou, J.; Liu, Y.; Jia, Y.; et al. Compound K attenuates the development of atherosclerosis in ApoE(-/-) Mice via LXRα activation. Int. J. Mol. Sci. 2016, 17, 1054. [Google Scholar] [CrossRef]
- Kim, E.; Kim, D.; Yoo, S.; Hong, Y.H.; Han, S.Y.; Jeong, S.; Jeong, D.; Kim, J.H.; Cho, J.Y.; Park, J. The skin protective effects of compound K, a metabolite of ginsenoside Rb1 from Panax ginseng. J. Ginseng Res. 2018, 42, 218–224. [Google Scholar] [CrossRef]
- Hossain, M.A.; Kim, J.H. Possibility as role of ginseng and ginsenosides on inhibiting the heart disease of COVID-19: A systematic review. J. Ginseng Res. 2022, 46, 321–330. [Google Scholar] [CrossRef]
- Corbit, R.M.; Ferreira, J.F.; Ebbs, S.D.; Murphy, L.L. Simplified extraction of ginsenosides from American ginseng (Panax quinquefolius L.) for high-performance liquid chromatography-ultraviolet analysis. J. Agric. Food Chem. 2005, 53, 9867–9873. [Google Scholar] [CrossRef]
- Shin, B.K.; Kwon, S.W.; Park, J.H. Chemical diversity of ginseng saponins from Panax ginseng. J. Ginseng Res. 2015, 39, 287–298. [Google Scholar] [CrossRef]
- Yang, X.; Nambou, K.; Wei, L.; Hua, Q. Heterologous production of α-farnesene in metabolically engineered strains of Yarrowia lipolytica. Bioresour. Technol. 2016, 216, 1040–1048. [Google Scholar] [CrossRef]
- Kim, M.J.; Upadhyaya, J.; Yoon, M.S.; Ryu, N.S.; Song, Y.E.; Park, H.W.; Kim, Y.H.; Kim, M.K. Highly regioselective biotransformation of ginsenoside Rb2 into compound Y and compound K by β-glycosidase purified from Armillaria mellea mycelia. J. Ginseng Res. 2018, 42, 504–511. [Google Scholar] [CrossRef]
- Baeg, I.H.; So, S.H. The world ginseng market and the ginseng (Korea). J. Ginseng Res. 2013, 37, 1–7. [Google Scholar] [CrossRef]
- Han, B.H.; Park, M.H.; Han, Y.N.; Woo, L.K.; Sankawa, U.; Yahara, S.; Tanaka, O. Degradation of ginseng saponins under mild acidic conditions. Planta Med. 1982, 44, 146–149. [Google Scholar] [CrossRef]
- Chen, Y.J.; Nose, M.; Ogihara, Y. Alkaline cleavage of ginsenosides. Chem. Pharm. Bull. 1987, 35, 1653–1655. [Google Scholar] [CrossRef] [PubMed]
- Shen, R.; Cao, X.; Laval, S.; Sun, J.; Yu, B. Synthesis of ocotillol-type ginsenosides. J. Org. Chem. 2016, 81, 10279–10294. [Google Scholar] [CrossRef] [PubMed]
- Shen, R.; Laval, S.; Cao, X.; Yu, B. Synthesis of Δ20-Ginsenosides Rh4, (20E)-Rh3, Rg6, and Rk1: A general approach to access dehydrated ginsenosides. J. Org. Chem. 2018, 83, 2601–2610. [Google Scholar] [CrossRef] [PubMed]
- Ma, Z.; Mi, Y.; Han, X.; Li, H.; Tian, M.; Duan, Z.; Fan, D.; Ma, P. Transformation of ginsenoside via deep eutectic solvents based on choline chloride as an enzymatic reaction medium. Bioprocess Biosyst. Eng. 2020, 43, 1195–1208. [Google Scholar] [CrossRef]
- Yang, X.D.; Yang, Y.Y.; Ouyang, D.S.; Yang, G.P. A review of biotransformation and pharmacology of ginsenoside compound K. Fitoterapia 2015, 100, 208–220. [Google Scholar] [CrossRef]
- Quan, L.H.; Cheng, L.Q.; Kim, H.B.; Kim, J.H.; Son, N.R.; Kim, S.Y.; Jin, H.O.; Yang, D.C. Bioconversion of cinsenoside Rd into compound K by Lactobacillus pentosus DC101 isolated from Kimchi. J. Ginseng Res. 2010, 34, 288–295. [Google Scholar] [CrossRef]
- Quan, L.H.; Piao, J.Y.; Min, J.W.; Kim, H.B.; Kim, S.R.; Yang, D.U.; Yang, D.C. Biotransformation of ginsenoside Rb1 to prosapogenins, gypenoside XVII, ginsenoside Rd, ginsenoside F2, and compound K by Leuconostoc mesenteroides DC102. J. Ginseng Res. 2011, 35, 344–351. [Google Scholar] [CrossRef]
- Quan, L.H.; Piao, J.Y.; Min, J.W.; Yang, D.U.; Lee, H.N.; Yang, D.C. Bioconversion of ginsenoside Rb1 into compound K by Leuconostoc citreum LH1 isolated from Kimchi. Braz. J. Microbiol. 2011, 42, 1227–1237. [Google Scholar] [CrossRef]
- Ko, S.R.; Suzuki, Y.; Suzuki, K.; Choi, K.J.; Cho, B.G. Marked production of ginsenosides Rd, F2, Rg3, and compound K by enzymatic method. Chem. Pharm. Bull. 2007, 55, 1522–1527. [Google Scholar] [CrossRef]
- Yang, W.; Zhou, J.; Harindintwali, J.D.; Yu, X. Production of minor ginsenosides by combining Stereum hirsutum and cellulase. PLoS ONE. 2021, 16, e0255899. [Google Scholar] [CrossRef]
- Jiang, Y.; Li, W.; Fan, D. Biotransformation of ginsenoside Rb1 to ginsenoside CK by strain XD101: A safe bioconversion strategy. Appl. Biochem. Biotechnol. 2021, 193, 2110–2127. [Google Scholar] [CrossRef]
- Kim, S.A.; Jeong, E.B.; Oh, D.K. Complete bioconversion of protopanaxadiol-type ginsenosides to compound K by extracellular enzymes from the isolated strain Aspergillus tubingensis. J. Agric. Food Chem. 2021, 69, 315–324. [Google Scholar] [CrossRef]
- Kim, D.W.; Lee, W.J.; Gebru, Y.A.; Upadhyaya, J.; Ko, S.R.; Kim, Y.H.; Kim, M.K. Production of minor ginsenosides C-K and C-Y from naturally occurring major ginsenosides using crude β-glucosidase preparation from submerged culture of Fomitella fraxinea. Mol. 2021, 26, 4820. [Google Scholar] [CrossRef]
- Ku, S. Finding and Producing probiotic glycosylases for the biocatalysis of ginsenosides: A mini review. Molecules 2016, 21, 645. [Google Scholar] [CrossRef]
- Sorensen, A.; Lubeck, M.; Lubeck, P.S.; Ahring, B.K. Fungal beta-glucosidases: A bottleneck in industrial use of lignocellulosic materials. Biomolecules 2013, 3, 612–631. [Google Scholar] [CrossRef]
- Yan, Q.; Zhou, X.W.; Zhou, W.; Li, X.W.; Feng, M.Q.; Zhou, P. Purification and properties of a novel beta-glucosidase, hydrolyzing ginsenoside Rb1 to CK, from Paecilomyces Bainier. J. Microbiol. Biotechnol. 2008, 18, 1081–1089. [Google Scholar]
- Liu, C.Y.; Zhou, R.X.; Sun, C.K.; Jin, Y.H.; Yu, H.S.; Zhang, T.Y.; Xu, L.Q.; Jin, F.X. Preparation of minor ginsenosides C-Mc, C-Y, F2, and C-K from American ginseng PPD-ginsenoside using special ginsenosidase type-I from Aspergillus niger g.848. J. Ginseng Res. 2015, 39, 221–229. [Google Scholar] [CrossRef]
- Kim, H.W.; Han, S.H.; Lee, S.W.; Choi, H.S.; Suh, H.J.; Hong, K.B. Enzymatic hydrolysis increases ginsenoside content in Korean red ginseng (Panax ginseng CA Meyer) and its biotransformation under hydrostatic pressure. J. Sci. Food Agric. 2019, 99, 6806–6813. [Google Scholar] [CrossRef]
- Zheng, Y.; Zheng, Z.; Ming, Y.; Bai, Y.; Chen, L.; Huang, W.; Lin, M.; Liu, S.; Xiao, J.; Lin, H. Compound K producing from the enzymatic conversion of gypenoside by naringinase. Food Chem. Toxicol. 2019, 130, 253–261. [Google Scholar] [CrossRef]
- Pontrelli, S.; Chiu, T.Y.; Lan, E.I.; Chen, F.Y.; Chang, P.; Liao, J.C. Escherichia coli as a host for metabolic engineering. Metab. Eng. 2018, 50, 16–46. [Google Scholar] [CrossRef]
- Park, S.Y.; Bae, E.A.; Sung, J.H.; Lee, S.K.; Kim, D.H. Purification and characterization of ginsenoside Rb1-metabolizing beta-glucosidase from Fusobacterium K-60, a human intestinal anaerobic bacterium. Biosci. Biotechnol. Biochem. 2001, 65, 1163–1169. [Google Scholar] [CrossRef] [PubMed]
- An, D.S.; Cui, C.H.; Lee, H.G.; Wang, L.; Kim, S.C.; Lee, S.T.; Jin, F.; Yu, H.; Chiin, Y.W.; Lee, H.K.; et al. Identification and characterization of a novel Terrabacter ginsenosidimutans sp. nov. beta-glucosidase that transforms ginsenoside Rb1 into the rare gypenosides XVII and LXXV. Appl. Environ. Microbiol. 2010, 76, 5827–5836. [Google Scholar] [CrossRef] [PubMed]
- Quan, L.H.; Min, J.W.; Jin, Y.; Wang, C.; Kim, Y.J.; Yang, D.C. Enzymatic biotransformation of ginsenoside Rb1 to compound K by recombinant β-glucosidase from Microbacterium esteraromaticum. J. Agric. Food Chem. 2012, 60, 3776–3781. [Google Scholar] [CrossRef] [PubMed]
- Quan, L.H.; Jin, Y.; Wang, C.; Min, J.W.; Kim, Y.J.; Yang, D.C. Enzymatic transformation of the major ginsenoside Rb2 to minor compound Y and compound K by a ginsenoside-hydrolyzing β-glycosidase from Microbacterium esteraromaticum. J. Ind. Microbiol. Biotechnol. 2012, 39, 1557–1562. [Google Scholar] [CrossRef]
- Zhang, R.; Huang, X.M.; Yan, H.J.; Liu, X.Y.; Zhou, Q.; Luo, Z.Y.; Tan, X.N.; Zhang, B.L. Highly selective production of compound K from Ginsenoside Rd by hydrolyzing glucose at C-3 glycoside using β-Glucosidase of Bifidobacterium breve ATCC 15700. J. Microbiol. Biotechnol. 2019, 29, 410–418. [Google Scholar] [CrossRef]
- Noh, K.H.; Oh, D.K. Production of the rare ginsenosides compound K, compound Y, and compound Mc by a thermostable beta-glycosidase from Sulfolobus acidocaldarius. Biol. Pharm. Bull. 2009, 32, 1830–1835. [Google Scholar] [CrossRef]
- Yoo, M.H.; Yeom, S.J.; Park, C.S.; Lee, K.W.; Oh, D.K. Production of aglycon protopanaxadiol via compound K by a thermostable β-glycosidase from Pyrococcus furiosus. Appl. Microbiol. Biotechnol. 2011, 89, 1019–1028. [Google Scholar] [CrossRef]
- Shin, K.C.; Oh, H.J.; Kim, B.J.; Oh, D.K. Complete conversion of major protopanaxadiol ginsenosides to compound K by the combined use of α-L-arabinofuranosidase and β-galactosidase from Caldicellulosiruptor saccharolyticus and β-glucosidase from Sulfolobus acidocaldarius. J. Biotechnol. 2013, 167, 33–40. [Google Scholar] [CrossRef]
- Song, W.S.; Kim, M.J.; Shin, K.C.; Oh, D.K. Increased production of ginsenoside compound K by optimizing the feeding of American ginseng extract during fermentation by Aspergillus tubingensis. J. Microbiol. Biotechnol. 2022, 32, 902–910. [Google Scholar] [CrossRef]
- Noh, K.H.; Son, J.W.; Kim, H.J.; Oh, D.K. Ginsenoside compound K production from ginseng root extract by a thermostable beta-glycosidase from Sulfolobus solfataricus. Biosci. Biotechnol. Biochem. 2009, 73, 316–321. [Google Scholar] [CrossRef]
- Kim, E.H.; Lim, S.; Kim, S.O.; Ahn, S.H.; Choi, Y.J. Optimization of enzymatic treatment for compound K production from white ginseng extract by response surface methodology. Biosci. Biotechnol. Biochem. 2013, 77, 1138–1140. [Google Scholar] [CrossRef]
- Li, L.; Lee, S.J.; Yuan, Q.P.; Im, W.T.; Kim, S.C.; Han, N.S. Production of bioactive ginsenoside Rg3(S) and compound K using recombinant Lactococcus lactis. J. Ginseng Res. 2018, 42, 412–418. [Google Scholar] [CrossRef]
- Wang, P.; Tang, C.; Liu, Y.; Yang, J.; Fan, D. Biotransformation of high concentrations of ginsenoside substrate into compound K by β-glycosidase from Sulfolobus solfataricus. Genes 2023, 14, 897. [Google Scholar] [CrossRef]
- Akao, T.; Kida, H.; Kanaoka, M.; Hattori, M.; Kobashi, K. Intestinal bacterial hydrolysis is required for the appearance of compound K in rat plasma after oral administration of ginsenoside Rb1 from Panax ginseng. J. Pharm. Pharmacol. 1998, 50, 1155–1160. [Google Scholar] [CrossRef]
- Shen, H.; Leung, W.I.; Ruan, J.Q.; Li, S.L.; Lei, J.P.; Wang, Y.T.; Yan, R. Biotransformation of ginsenoside Rb1 via the gypenoside pathway by human gut bacteria. Chin. Med. 2013, 8, 22. [Google Scholar] [CrossRef]
- Bae, E.A.; Choo, M.K.; Park, E.K.; Park, S.Y.; Shin, H.Y.; Kim, D.H. Metabolism of ginsenoside R(c) by human intestinal bacteria and its related antiallergic activity. Biol. Pharm. Bull. 2002, 25, 743–747. [Google Scholar] [CrossRef]
- Fu, Y.; Yin, Z.H.; Wu, L.P.; Yin, C.R. Biotransformation of ginsenoside Rb1 to ginsenoside C-K by endophytic fungus Arthrinium sp. GE 17-18 isolated from Panax ginseng. Lett. Appl. Microbiol. 2016, 63, 196–201. [Google Scholar]
- Luo, S.L.; Dang, L.Z.; Li, J.F.; Zou, C.G.; Zhang, K.Q.; Li, G.H. Biotransformation of saponins by endophytes isolated from Panax notoginseng. Chem. Biodivers. 2013, 10, 2021–2031. [Google Scholar] [CrossRef]
- Cui, L.; Wu, S.Q.; Zhao, C.A.; Yin, C.R. Microbial conversion of major ginsenosides in ginseng total saponins by Platycodon grandiflorum endophytes. J. Ginseng Res. 2016, 40, 366–374. [Google Scholar] [CrossRef]
- Leung, K.; Wong, A. Pharmacology of ginsenosides: A literature review. Chin. Med. 2010, 5, 20. [Google Scholar] [CrossRef]
- Hasegawa, H.; Sung, J.H.; Benno, Y. Role of human intestinal Prevotella oris in hydrolyzing ginseng saponins. Planta Med. 1997, 63, 436–440. [Google Scholar] [CrossRef] [PubMed]
- Wan, J.Y.; Liu, P.; Wang, H.Y.; Qi, L.W.; Wang, C.Z.; Li, P.; Yuan, C.S. Biotransformation and metabolic profile of American ginseng saponins with human intestinal microflora by liquid chromatography quadrupole time-of-flight mass spectrometry. J. Chromatogr. A 2013, 1286, 83–92. [Google Scholar] [CrossRef] [PubMed]
- Choi, M.K.; Jin, S.; Jeon, J.H.; Kang, W.Y.; Seong, S.J.; Yoon, Y.R.; Han, Y.H.; Song, I.S. Tolerability and pharmacokinetics of ginsenosides Rb1, Rb2, Rc, Rd, and compound K after single or multiple administration of red ginseng extract in human beings. J. Ginseng Res. 2020, 44, 229–237. [Google Scholar] [CrossRef] [PubMed]
- Kim, D.H. Gut microbiota-mediated pharmacokinetics of ginseng saponins. J. Ginseng Res. 2018, 42, 255–263. [Google Scholar] [CrossRef] [PubMed]
- Zhang, X.; Chen, S.; Duan, F.; Liu, A.; Li, S.; Zhong, W.; Sheng, W.; Chen, J.; Xu, J.; Xiao, S. Prebiotics enhance the biotransformation and bioavailability of ginsenosides in rats by modulating gut microbiota. J. Ginseng Res. 2021, 45, 334–343. [Google Scholar] [CrossRef]
- Jeon, J.H.; Kang, B.; Lee, S.; Jin, S.; Choi, M.K.; Song, I.S. Pharmacokinetics and intestinal metabolism of compound K in rats and mice. Pharmaceutics 2020, 12, 129. [Google Scholar] [CrossRef]
- Zhang, M.; Wang, Y.; Wu, Y.; Li, F.; Han, M.; Dai, Y.; Zheng, F.; Yue, H. In Vitro Transformation of protopanaxadiol saponins in human intestinal flora and its effect on intestinal flora. Evid. Based Complement. Alternat. Med. 2021, 2021, 1735803. [Google Scholar] [CrossRef]
- Choi, J.R.; Hong, S.W.; Kim, Y.; Jang, S.E.; Kim, N.J.; Han, M.J.; Kim, D.H. Metabolic activities of ginseng and its constituents, ginsenoside rb1 and rg1, by human intestinal microflora. J. Ginseng Res. 2011, 35, 301–307. [Google Scholar] [CrossRef]
- Murthy, H.N.; Dalawai, D.; Park, S.Y.; Paek, K.Y. Endophytes of ginseng. In Endophytes and Secondary Metabolites; Jha, S., Ed.; Reference Series in Phytochemistry; Springer: Cham, Switzerland, 2019; pp. 165–186. [Google Scholar]
- Lu, J.; Wang, J.; Zhang, J.; Zhu, Y.; Qin, L.; Zhu, B. Diversity of culturable endophytic fungi in Crocus sativus and their correlation with crocin content. Curr. Microbiol. 2023, 80, 73. [Google Scholar] [CrossRef]
- Kandasamy, G.D.; Kathirvel, P. Insights into bacterial endophytic diversity and isolation with a focus on their potential applications—A review. Microbiol. Res. 2023, 266, 127256. [Google Scholar] [CrossRef]
- Wei, G.; Chen, Z.; Wang, B.; Wei, F.; Zhang, G.; Wang, Y.; Chen, S. Endophytes isolated from Panax notoginseng converted ginsenosides. Microb. Biotechnol. 2021, 14, 1730–1746. [Google Scholar] [CrossRef]
- Yao, L.; Wang, J.; He, J.; Huang, L.; Gao, W. Endophytes, biotransforming microorganisms, and engineering microbial factories for triterpenoid saponins production. Crit. Rev. Biotechnol. 2021, 41, 249–272. [Google Scholar] [CrossRef]
- Singh, A.; Singh, D.K.; Kharwar, R.N.; White, J.F.; Gond, S.K. Fungal endophytes as efficient sources of plant-derived bioactive compounds and their prospective applications in natural product drug discovery: Insights, avenues, and challenges. Microorganisms 2021, 9, 197. [Google Scholar] [CrossRef]
- Katsuyama, Y.; Funa, N.; Miyahisa, I.; Horinouchi, S. Synthesis of unnatural flavonoids and stilbenes by exploiting the plant biosynthetic pathway in Escherichia coli. Chem. Biol. 2007, 14, 613–621. [Google Scholar] [CrossRef]
- Engels, B.; Dahm, P.; Jennewein, S. Metabolic engineering of taxadiene biosynthesis in yeast as a first step towards Taxol (Paclitaxel) production. Metab. Eng. 2008, 10, 201–206. [Google Scholar] [CrossRef]
- Biggs, B.W.; Lim, C.G.; Sagliani, K.; Shankar, S.; Stephanopoulos, G.; De Mey, M.; Ajikumar, P.K. Overcoming heterologous protein interdependency to optimize P450-mediated Taxol precursor synthesis in Escherichia coli. Proc. Natl. Acad. Sci. USA 2016, 113, 3209–3214. [Google Scholar] [CrossRef]
- Ro, D.K.; Paradise, E.M.; Ouellet, M.; Fisher, K.J.; Newman, K.L.; Ndungu, J.M.; Ho, K.A.; Eachus, R.A.; Ham, T.S.; Kirby, J.; et al. Production of the antimalarial drug precursor artemisinic acid in engineered yeast. Nature 2006, 440, 940–943. [Google Scholar] [CrossRef]
- Zhang, C.; Hong, K. Production of terpenoids by synthetic biology approaches. Front. Bioeng. Biotechnol. 2020, 8, 347. [Google Scholar] [CrossRef]
- Wang, C.; Liwei, M.; Park, J.B.; Jeong, S.H.; Wei, G.; Wang, Y.; Kim, S.W. Microbial platform for terpenoid Production: Escherichia coli and Yeast. Front. Microbiol. 2018, 9, 2460. [Google Scholar] [CrossRef]
- Yan, X.; Fan, Y.; Wei, W.; Wang, P.; Liu, Q.; Wei, Y.; Zhang, L.; Zhao, G.; Yue, J.; Zhou, Z. Production of bioactive ginsenoside compound K in metabolically engineered yeast. Cell Res. 2014, 24, 770–773. [Google Scholar] [CrossRef]
- Wei, W.; Wang, P.; Wei, Y.; Liu, Q.; Yang, C.; Zhao, G.; Zhou, Z. Characterization of Panax ginseng UDP-Glycosyltransferases catalyzing protopanaxatriol and biosyntheses of bioactive ginsenosides F1 and Rh1 in metabolically engineered yeasts. Mol. Plant Pathol. 2015, 8, 1412–1424. [Google Scholar] [CrossRef] [PubMed]
- Nan, W.; Zhao, F.; Zhang, C.; Ju, H.; Lu, W. Promotion of compound K production in Saccharomyces cerevisiae by glycerol. Microb. Cell Fact. 2020, 19, 41. [Google Scholar] [CrossRef] [PubMed]
- Wang, P.; Wang, J.; Zhao, G.; Yan, X.; Zhou, Z. Systematic optimization of the yeast cell factory for sustainable and high efficiency production of bioactive ginsenoside compound K. Synth. Syst. Biotechnol. 2021, 6, 69–76. [Google Scholar] [CrossRef] [PubMed]
- Shi, Y.; Wang, D.; Li, R.; Huang, L.; Dai, Z.; Zhang, X. Engineering yeast subcellular compartments for increased production of the lipophilic natural products ginsenosides. Metab. Eng. 2021, 67, 104–111. [Google Scholar] [CrossRef] [PubMed]
- Kavscek, M.; Bhutada, G.; Madl, T.; Natter, K. Optimization of lipid production with a genome-scale model of Yarrowia lipolytica. BMC Syst Biol. 2015, 9, 72. [Google Scholar] [CrossRef]
- Bosio, M.C.; Negri, R.; Dieci, G. Promoter architectures in the yeast ribosomal expression program. Transcription 2011, 2, 71–77. [Google Scholar] [CrossRef]
- Peng, B.; Williams, T.C.; Henry, M.; Nielsen, L.K.; Vickers, C.E. Controlling heterologous gene expression in yeast cell factories on different carbon substrates and across the diauxic shift: A comparison of yeast promoter activities. Microb. Cell Fact. 2015, 14, 91. [Google Scholar] [CrossRef]
- Rajkumar, A.S.; Ozdemir, E.; Lis, A.V.; Schneider, K.; Qin, J.; Jensen, M.K.; Keasling, J.D. Engineered reversal of function in glycolytic yeast promoters. ACS Synth. Biol. 2019, 8, 1462–1468. [Google Scholar] [CrossRef]
- Hubmann, G.; Thevelein, J.M.; Nevoigt, E. Natural and modified promoters for tailored metabolic engineering of the yeast Saccharomyces cerevisiae. Methods Mol. Biol. 2014, 1152, 17–42. [Google Scholar]
- Liu, Q.; Yu, T.; Li, X.; Chen, Y.; Campbell, K.; Nielsen, J.; Chen, Y. Rewiring carbon metabolism in yeast for high level production of aromatic chemicals. Nat. Commun. 2019, 10, 4976. [Google Scholar] [CrossRef]
- Dai, Z.; Wang, B.; Liu, Y.; Shi, M.; Wang, D.; Zhang, X.; Liu, T.; Huang, L.; Zhang, X. Producing aglycons of ginsenosides in bakers’ yeast. Sci. Rep. 2014, 4, 3698. [Google Scholar] [CrossRef]
- Giri, S.; Schmidt-Heck, W.; Bader, A. Improved metabolic pathways of glycolysis, glycogen synthesis, the urea cycle, and cytochrome peroxidase oxidative reabsorption in a miniature bioreactor. Cell. Physiol. Biochem. 2022, 56, 209–222. [Google Scholar]
- Mekoue Nguela, J.; Teuf, O.; Assuncao Bicca, S.; Vernhet, A. Impact of mannoprotein N-glycosyl phosphorylation and branching on the sorption of wine polyphenols by yeasts and yeast cell walls. Food Chem. 2023, 403, 134326. [Google Scholar] [CrossRef]
- Zhao, W.; Hang, B.; Zhu, X.; Wang, R.; Shen, M.; Huang, L.; Xu, Z. Improving the productivity of S-adenosyl-l-methionine by metabolic engineering in an industrial Saccharomyces cerevisiae strain. J. Biotechnol. 2016, 236, 64–70. [Google Scholar] [CrossRef]
- Chhetri, A.; Loksztejn, A.; Nguyen, H.; Pianalto, K.M.; Kim, M.J.; Hong, J.; Alspaugh, J.A.; Yokoyama, K. Length specificity and polymerization mechanism of (1,3)-β-d-glucan synthase in fungal cell wall biosynthesis. Biochemistry 2020, 59, 682–693. [Google Scholar] [CrossRef]
- Choi, B.H.; Kang, H.J.; Kim, S.C.; Lee, P.C. Organelle engineering in yeast: Enhanced production of protopanaxadiol through manipulation of peroxisome proliferation in Saccharomyces cerevisiae. Microorganisms 2022, 10, 650. [Google Scholar] [CrossRef]
- Chen, L.; Xiao, W.; Yao, M.; Wang, Y.; Yuan, Y. Compartmentalization engineering of yeasts to overcome precursor limitations and cytotoxicity in terpenoid production. Front. Bioeng. Biotechnol. 2023, 11, 1132244. [Google Scholar] [CrossRef]
- Kircher, M. Bioeconomy—Present status and future needs of industrial value chains. N. Biotechnol. 2020, 60, 96–104. [Google Scholar] [CrossRef]
- Busic, A.; Marđetko, N.; Kundas, S.; Morzak, G.; Belskaya, H.; Ivančić Šantek, M.; Komes, D.; Novak, S.; Šantek, B. Bioethanol production from renewable raw materials and its separation and purification: A Review. Food Technol. Biotechnol. 2018, 56, 289–311. [Google Scholar] [CrossRef]
- Xu, G.; Li, H.; Xing, W.; Gong, L.; Dong, J.; Ni, Y. Facilely reducing recalcitrance of lignocellulosic biomass by a newly developed ethylamine-based deep eutectic solvent for biobutanol fermentation. Biotechnol. Biofuels 2020, 13, 166. [Google Scholar] [CrossRef]
- Ochoa-Estopier, A.; Lesage, J.; Gorret, N.; Guillouet, S.E. Kinetic analysis of a Saccharomyces cerevisiae strain adapted for improved growth on glycerol: Implications for the development of yeast bioprocesses on glycerol. Bioresour. Technol. 2011, 102, 1521–1527. [Google Scholar] [CrossRef] [PubMed]
- Truniger, V.; Boos, W. Glycerol uptake in Escherichia coli is sensitive to membrane lipid composition. Res. Microbiol. 1993, 144, 565–574. [Google Scholar] [CrossRef] [PubMed]
- LaConte, L.E.; Chavan, V.; Mukherjee, K. Identification and glycerol-induced correction of misfolding mutations in the X-linked mental retardation gene CASK. PLoS ONE 2014, 9, e88276. [Google Scholar] [CrossRef] [PubMed]
- Dutra, M.B.; Silva, J.T.; Mattos, D.C.; Panek, A.D. Regulation of UDPG-pyrophosphorylase isoforms in Saccharomyces cerevisiae and their roles in trehalose metabolism. Biochim. Biophys. Acta. 1996, 1289, 261–269. [Google Scholar] [CrossRef]
- Aßkamp, M.R.; Klein, M.; Nevoigt, E. Saccharomyces cerevisiae exhibiting a modified route for uptake and catabolism of glycerol forms significant amounts of ethanol from this carbon source considered as ‘non-fermentable’. Biotechnol. Biofuels 2019, 12, 257. [Google Scholar] [CrossRef] [PubMed]
- Abdel-Mawgoud, A.M.; Markham, K.A.; Palmer, C.M.; Liu, N.; Stephanopoulos, G.; Alper, H.S. Metabolic engineering in the host Yarrowia lipolytica. Metab. Eng. 2018, 50, 192–208. [Google Scholar] [CrossRef]
- Ma, Y.R.; Wang, K.F.; Wang, W.J.; Ding, Y.; Shi, T.Q.; Huang, H.; Ji, X.J. Advances in the metabolic engineering of Yarrowia lipolytica for the production of terpenoids. Bioresour. Technol. 2019, 281, 449–456. [Google Scholar] [CrossRef]
- Spagnuolo, M.; Shabbir Hussain, M.; Gambill, L.; Blenner, M. Alternative substrate metabolism in Yarrowia lipolytica. Front. Microbiol. 2018, 9, 1077. [Google Scholar] [CrossRef]
- Li, D.; Wu, Y.; Zhang, C.; Sun, J.; Zhou, Z.; Lu, W. Production of triterpene ginsenoside compound K in the non-conventional yeast Yarrowia lipolytica. J. Agric. Food Chem. 2019, 67, 2581–2588. [Google Scholar] [CrossRef]
- Cao, X.; Lv, Y.B.; Chen, J.; Imanaka, T.; Wei, L.J.; Hua, Q. Metabolic engineering of oleaginous yeast Yarrowia lipolytica for limonene overproduction. Biotechnol. Biofuels 2016, 9, 214. [Google Scholar] [CrossRef]
- Cao, X.; Wei, L.J.; Lin, J.Y.; Hua, Q. Enhancing linalool production by engineering oleaginous yeast Yarrowia lipolytica. Bioresour. Technology 2017, 245, 1641–1644. [Google Scholar] [CrossRef] [PubMed]
- Guo, X.; Sun, J.; Li, D.; Lu, W. Heterologous biosynthesis of (+)-nootkatone in unconventional yeast Yarrowia lipolytica. Biochem. Eng. J. 2018, 137, 125–131. [Google Scholar] [CrossRef]
- Zhao, C.; Gao, Q.; Chen, J.; Wei, L.; Imanaka, T.; Hua, Q. Metabolomic changes and metabolic responses to expression of heterologous biosynthetic genes for lycopene production in Yarrowia lipolytica. J. Biotechnol. 2017, 251, 174–185. [Google Scholar] [CrossRef] [PubMed]
- Larroude, M.; Celinska, E.; Back, A.; Thomas, S.; Nicaud, J.M.; Ledesma-Amaro, R. A synthetic biology approach to transform Yarrowia lipolytica into a competitive biotechnological producer of β-carotene. Biotechnol. Bioeng. 2018, 115, 464–472. [Google Scholar] [CrossRef] [PubMed]
Disclaimer/Publisher’s Note: The statements, opinions and data contained in all publications are solely those of the individual author(s) and contributor(s) and not of MDPI and/or the editor(s). MDPI and/or the editor(s) disclaim responsibility for any injury to people or property resulting from any ideas, methods, instructions or products referred to in the content. |
© 2023 by the authors. Licensee MDPI, Basel, Switzerland. This article is an open access article distributed under the terms and conditions of the Creative Commons Attribution (CC BY) license (https://creativecommons.org/licenses/by/4.0/).